ՀՀ ԿԱՌԱՎԱՐՈՒԹՅԱՆ ՈՐՈՇՈՒՄԸ ՀՀ ԼՈՌՈՒ ՄԱՐԶԻ ՄԵԾ ՊԱՌՆԻԻ ԳՅՈՒՂԱԿԱՆ ՀԱՄԱՅՆՔԻ ՎԱՐՉԱԿԱՆ ՍԱՀՄԱՆՆԵՐԻ ՆԿԱՐԱԳԻՐԸ ՀԱՍՏԱՏԵԼՈՒ ԵՎ ՄԵԾ ՊԱՌՆԻԻ ԳՅՈՒՂԱԿԱՆ ՀԱՄԱՅՆՔԻ ՎԱՐՉԱԿԱՆ ՍԱՀՄԱՆՆԵՐՈՒՄ ԳՏՆՎՈՂ` ՊԵՏԱԿԱՆ ՍԵՓԱԿԱՆՈՒԹՅՈՒՆ ՀԱՆԴԻՍԱՑՈՂ ՀՈՂԱՄԱՍԵՐՆ ԱՆՀԱՏՈՒՅՑ ՍԵՓԱԿԱՆՈՒԹՅԱՆ ԻՐԱՎՈՒՆՔՈՎ ՀԱՄԱՅՆՔԻՆ ՓՈԽԱՆՑԵԼՈՒ ՄԱՍԻՆ

Գլխավոր տեղեկություն
Համար
N 904-Ն
Տիպ
Որոշում
Ակտի տիպ
Հիմնական ակտ (08.09.2005-20.11.2010)
Կարգավիճակ
Գործում է
Սկզբնաղբյուր
ՀՀՊՏ 2005.09.07/56.1 Հոդ.1095.2
Ընդունող մարմին
ՀՀ կառավարություն
Ընդունման ամսաթիվ
16.06.2005
Ստորագրող մարմին
ՀՀ վարչապետ
Ստորագրման ամսաթիվ
06.07.2005
Վավերացնող մարմին
ՀՀ Նախագահ
Վավերացման ամսաթիվ
09.07.2005
Ուժի մեջ մտնելու ամսաթիվ
08.09.2005

«Վավերացնում եմ»
Հայաստանի Հանրապետության
Նախագահ Ռ. Քոչարյան
9 հուլիսի 2005 թ.

ՀԱՅԱՍՏԱՆԻ ՀԱՆՐԱՊԵՏՈՒԹՅԱՆ ԿԱՌԱՎԱՐՈՒԹՅՈՒՆ

Ո Ր Ո Շ ՈՒ Մ

16 հունիսի 2005 թվականի N 904-Ն

ՀԱՅԱՍՏԱՆԻ ՀԱՆՐԱՊԵՏՈՒԹՅԱՆ ԼՈՌՈՒ ՄԱՐԶԻ ՄԵԾ ՊԱՌՆԻԻ ԳՅՈՒՂԱԿԱՆ ՀԱՄԱՅՆՔԻ ՎԱՐՉԱԿԱՆ ՍԱՀՄԱՆՆԵՐԻ ՆԿԱՐԱԳԻՐԸ ՀԱՍՏԱՏԵԼՈՒ ԵՎ ՄԵԾ ՊԱՌՆԻԻ ԳՅՈՒՂԱԿԱՆ ՀԱՄԱՅՆՔԻ ՎԱՐՉԱԿԱՆ ՍԱՀՄԱՆՆԵՐՈՒՄ ԳՏՆՎՈՂ` ՊԵՏԱԿԱՆ ՍԵՓԱԿԱՆՈՒԹՅՈՒՆ ՀԱՆԴԻՍԱՑՈՂ ՀՈՂԱՄԱՍԵՐՆ ԱՆՀԱՏՈՒՅՑ ՍԵՓԱԿԱՆՈՒԹՅԱՆ ԻՐԱՎՈՒՆՔՈՎ ՀԱՄԱՅՆՔԻՆ ՓՈԽԱՆՑԵԼՈՒ ՄԱՍԻՆ

Հայաստանի Հանրապետության հողային օրենսգրքի 34-րդ ու 56-րդ, «Տեղական ինքնակառավարման մասին» Հայաստանի Հանրապետության օրենքի 6-րդ, 47-րդ ու 84-րդ և «Հայաստանի Հանրապետության վարչատարածքային բաժանման մասին» Հայաստանի Հանրապետության օրենքի 6-րդ հոդվածների պահանջներին համապատասխան` Հայաստանի Հանրապետության կառավարությունը որոշում է.

1. Հաստատել Հայաստանի Հանրապետության Լոռու մարզի Մեծ Պառնիի գյուղական համայնքի վարչական սահմանների նկարագիրը` համաձայն NN 1 և 2 հավելվածների:

2. Հայաստանի Հանրապետության Լոռու մարզի Մեծ Պառնիի գյուղական համայնքի վարչական սահմաններում գտնվող` պետական սեփականություն հանդիսացող 3975.87 հեկտար հողամասերից 3361.01 հեկտարը, որից` գյուղատնտեսական նշանակության` 3192.31 հեկտար, բնակավայրերի հողերի` 93.75 հեկտար, արդյունաբերության, ընդերքօգտագործման և այլ արտադրական նշանակության օբյեկտների` 61.15 հեկտար, էներգետիկայի, տրանսպորտի, կապի և կոմունալ ենթակառուցվածքների օբյեկտների` 0.95 հեկտար, հատուկ պահպանվող տարածքների` 10.76 հեկտար, ջրային հողերի` 2.09 հեկտար անհատույց սեփականության իրավունքով փոխանցել Մեծ Պառնիի գյուղական համայնքին` համաձայն NN 3, 4, 5 և 6 հավելվածների:

3. Սահմանել, որ Հայաստանի Հանրապետության հողային օրենսգրքի 60-րդ հոդվածի պահանջներին համապատասխան`

ա) Հայաստանի Հանրապետության Լոռու մարզի Մեծ Պառնիի գյուղական համայնքին անհատույց սեփականության իրավունքով փոխանցվող 3361.01 հեկտար հողերից 91.46 հեկտարը մասնավորեցման ենթակա չէ.

բ) Հայաստանի Հանրապետության Լոռու մարզի Մեծ Պառնիի գյուղական համայնքի վարչական սահմաններում գտնվող հողերից 614.86 հեկտարը համարվում է պետական սեփականություն` համաձայն N 7 հավելվածի:

4. Ընդունել ի գիտություն Հայաստանի Հանրապետության Լոռու մարզի Մեծ Պառնիի գյուղական համայնքի հողային ֆոնդի առկայության և բաշխման մասին հաշվետվությունը` 2005 թվականի հունվարի 1-ի դրությամբ` համաձայն NN 8 և 9 հավելվածների:

5. Հայաստանի Հանրապետության կառավարությանն առընթեր անշարժ գույքի կադաստրի պետական կոմիտեի նախագահին` սահմանված կարգով ապահովել սկզբնական հաշվառման նյութերի տրամադրումը Հայաստանի Հանրապետության Լոռու մարզի Մեծ Պառնիի գյուղական համայնքի ղեկավարին` հողերի ընթացիկ հաշվառումն անցկացնելու և համայնքի հողային հաշվեկշիռը կազմելու համար:

6. Թույլատրել Հայաստանի Հանրապետության կառավարությանն առընթեր անշարժ գույքի կադաստրի պետական կոմիտեի նախագահին Հայաստանի Հանրապետության պետական գեոդեզիական ցանցի հավասարակշռման արդյունքների հիման վրա Հայաստանի Հանրապետության վարչատարածքային միավորների սահմանանիշերի կոորդինատների ժողովածուի հրատարակումից հետո հողային ֆոնդի ընթացիկ հաշվառման ժամանակ Հայաստանի Հանրապետության Լոռու մարզի Մեծ Պառնիի գյուղական համայնքի հողային հաշվեկշռում սահմանված կարգով կատարել համապատասխան փոփոխություններ:

7. Հայաստանի Հանրապետության Լոռու մարզպետին` Հայաստանի Հանրապետության կառավարության 2000 թվականի հոկտեմբերի 23-ի N 656 որոշմամբ սահմանված կարգով` սկզբնական հաշվառման տվյալների հիման վրա ապահովել մարզի տարածքում ընթացիկ հաշվառման աշխատանքների իրականացումը:

8. Սույն որոշումն ուժի մեջ է մտնում պաշտոնական հրապարակմանը հաջորդող օրվանից։



Հայաստանի Հանրապետության
վարչապետ

Ա. Մարգարյան


2005 թ. հուլիսի 6
Երևան


Հավելված N 1
ՀՀ կառավարության 2005 թվականի
հունիսի 16-ի N 904-Ն որոշման


ՀԱՅԱՍՏԱՆԻ ՀԱՆՐԱՊԵՏՈՒԹՅԱՆ ԼՈՌՈՒ ՄԱՐԶԻ ՄԵԾ ՊԱՌՆԻԻ ԳՅՈՒՂԱԿԱՆ ՀԱՄԱՅՆՔԻ ՎԱՐՉԱԿԱՆ ՍԱՀՄԱՆՆԵՐԻ ՀԱՏԱԿԱԳԻԾԸ


Հայաստանի Հանրապետության
կառավարության աշխատակազմի
ղեկավար-նախարար
Մ. Թոփուզյան


Հավելված N 2
ՀՀ կառավարության 2005 թվականի
հունիսի 16-ի N 904-Ն որոշման


ՀՀ ԼՈՌՈՒ ՄԱՐԶԻ ՄԵԾ ՊԱՌՆԻԻ ԳՅՈՒՂԱԿԱՆ ՀԱՄԱՅՆՔԻ ՎԱՐՉԱԿԱՆ ՍԱՀՄԱՆՆԵՐԻ ՆԿԱՐԱԳՐՈՒԹՅՈՒՆԸ

Մեծ Պառնի համայնքը գտնվում է Լոռու մարզի արևմտյան մասում: Հեռավորությունը մարզկենտրոն Վանաձոր քաղաքից կազմում է 36 կմ:

Համայնքը հյուսիսային և արևելյան «Ա»-«Բ» հատվածով սահմանակից է մարզի համայնքների վարչական սահմաններից դուրս գտնվող հողերին, արևելյան «Բ»-«Գ» հատվածով` Գոգարան համայնքին, «Գ»-«Դ» հատվածով` Շիրակամուտ համայնքին, «Դ»-«Ե» արևելյան հատվածով` Կաթնաջուր համայնքին, «Ե»-«Զ» հարավային հատվածով` Ծաղկաբեր համայնքին, արևմտյան «Զ»-«Է» հատվածով` Հարթագյուղ համայնքին, «Է»-«Ը» հատվածով` Լուսաղբյուր համայնքին, «Է»-«Թ» հյուսիսային հատվածով` Շիրակի մարզի Ձորաշեն համայնքին, «Թ»-«Ժ» հատվածով` Սարալանջ համայնքին, «Ժ»-«Ի» արևմտյան հատվածով` մարզի համայնքների վարչական սահմաններից դուրս գտնվող հողերին, «Ի»-«Լ» հատվածով` Շիրակի մարզի Ձորաշեն համայնքին իսկ «Լ»-«Ա» հյուսիս-արևմտյան հատվածով` Շիրակի մարզի համայնքների վարչական սահմաններից դուրս գտնվող հողերին:

 

ՄԵԾ ՊԱՌՆԻ-ՄԱՐԶԻ ՀԱՄԱՅՆՔՆԵՐԻ ՎԱՐՉԱԿԱՆ ՍԱՀՄԱՆՆԵՐԻՑ ԴՈՒՐՍ ԳՏՆՎՈՂ ՀՈՂԵՐԻ ՍԱՀՄԱՆԱԳԻԾԸ` «Ա»-«Բ»

 

Մեծ Պառնի համայնքի, Շիրակի մարզի համայնքների վարչական սահմաններից դուրս գտնվող հողերի և Լոռու մարզի համայնքների վարչական սահմաններից դուրս գտնվող հողերի բաժանման «Ա» հանգուցային սահմանակետից, որը գտնվում է դաշտային ճանապարհի եզրին ջրբաժանի վրա, սահմանագիծն անցնում է դեպի հյուսիս-արևելք 703,4 մ դաշտային ճանապարհով, հասնում թիվ 1 կետին, այնուհետև շարունակվում դեպի արևելք, անցնում թիվ 2 և 3 սահմանակետերով, հասնում ջրհավաքի թիվ 4 սահմանակետին: Թիվ 4 սահմանակետից սահմանագիծն անցնում է դեպի հարավ, ջրհավաքով անցնելով թիվ 5-17 սահմանակետերով, հասնում է թիվ 18 սահմանակետին: Թիվ 18 սահմանակետից սահմանագիծը դեպի հյուսիս-արևելք անցնելով 941.5 մ, ջրբաժանով հասնում է թիվ 19 սահմանակետին, այնուհետև շարունակվում նույն ուղղությամբ դեպի հյուսիս-արևելք, անցնում 243.2 մ և ջրբաժանով, հասնում բլրի գագաթի` Մեծ Պառնի, Գոգարան համայնքների և մարզի համայնքների վարչական սահմաններից դուրս գտնվող հողերի բաժանման «Բ» հանգուցային կետին: 

«Ա»-«Բ» սահմանագծի ընդհանուր երկարությունը` 8233.84 մ է:

 

ՄԵԾ ՊԱՌՆԻ-ԳՈԳԱՐԱՆ ՍԱՀՄԱՆԱԳԻԾԸ` «Բ»-«Գ»

 

Մեծ Պառնի, Գոգարան համայնքների և մարզի համայնքների վարչական սահմաններից դուրս գտնվող հողերի «Բ» հանգուցային սահմանակետից սահմանագիծը բլրի գագաթից իջնում է ջրհավաքով դեպի հարավ, անցնելով թիվ 1-8 սահմանակետերը, հասնում Չախկալի գետակի ջրախառնուրդի` Մեծ Պառնի, Գոգարան և Շիրակամուտ համայնքների «Գ» հանգուցային սահմանակետին:

 

«Բ»-«Գ» սահմանագծի ընդհանուր երկարությունը` 2319.42 մ է:

 

ՄԵԾ ՊԱՌՆԻ-ՇԻՐԱԿԱՄՈՒՏ ՍԱՀՄԱՆԱԳԻԾԸ` «Գ»-«Դ»

 

Մեծ Պառնի, Գոգարան և Շիրակամուտ համայնքների տարածքների բաժանման «Գ» հանգուցային սահմանակետից սահմանագիծն անցնում է դեպի հյուսիս-արևելք 170.99 մ և հասնում «Չախկալի» գետի թիվ 1 սահմանակետին:

Թիվ 1 սահմանակետից սահմանագիծը Չախկալի գետակով դեպի հարավ-արևմուտք, անցնելով թիվ 2-5 սահմանակետերը, հասնում «Չիչխան» գետի թիվ 6 սահմանակետը: Թիվ 6 սահմանակետից սահմանագիծը «Չիչխան» գետով շարունակվում դեպի հարավ-արևելք, անցնում թիվ 7-10 սահմանակետերով, հասնում թիվ 11 սահմանակետին, որտեղից սկիզբ է առնում Նալբանդի ջրանցքը, որտեղից Նալբանդի ջրանցքով սահմանագիծը շարունակվում դեպի հարավ-արևելք, անցնում թիվ 12-14 սահմանակետերով, որից հետո թեքվում է դեպի հարավ-արևմուտք 99.9 մ, հասնում բլրի գագաթին դրված թիվ 15 սահմանակետը: Թիվ 15 սահմանակետից սահմանագիծն անցնում է դեպի հարավ 607.0 մ, հատելով թփուտները, հասնում թիվ 16 սահմանակետը, որից հետո փոխելով ուղղությունը դեպի հարավ-արևելք, հատելով Չիչխան գետակի վտակը, հասնում թիվ 17 սահմանակետին, որը գտնվում է ջրբաժանի վրա: Թիվ 17 սահմանակետից սահմանագիծը նույն ուղղությամբ 334,6 մ, անցնելով հասնում է բլրի գագաթի թիվ 18 սահմանակետին, այնուհետև փոխելով ուղղությունը դեպի հարավ-արևմուտք` անցնելով 753.9 մ, հասնում դաշտային ճանապարհի եզրի թիվ 19 սահմանակետին: Թիվ 19 սահմանակետից սահմանագիծն անցնելով թիվ 20-36 սահմանակետերով, հասնում է վարելահողի եզրի թիվ 37 սահմանակետին, ապա անցնում դաշտային ճանապարհով, դեպի հարավ հասնում վարելահողի եզրի թիվ 38 սահմանակետին: Թիվ 38 սահմանակետից սահմանագիծը նույն դաշտային ճանապարհով` վարելահողի և արոտավայրի եզրով անցնելով թիվ 39-42 կետերը, հասնում Նալբանդի ջրանցքի հյուսիսային մասում տեղադրված թիվ 43 սահմանակետին: Թիվ 43 սահմանակետից սահմանագիծը, հատելով Նալբանդի ջրանցքը շարունակվելով նույն ուղղությամբ, անցնելով թիվ 44, 45 կետերով, հատելով անտառաշերտը և երկաթգիծը, հասնում Գյումրի-Սպիտակ ճանապարհի եզրին գտնվող Մեծ Պառնի, Շիրակամուտ և Կաթնաջուր համայնքների տարածքների բաժանման «Դ» հանգուցային սահմանակետին:

«Գ»-«Դ» սահմանագծի ընդհանուր երկարությունը` 11633.53 մ է:

 

ՄԵԾ ՊԱՌՆԻ-ԿԱԹՆԱՋՈՒՐ ՍԱՀՄԱՆԱԳԻԾԸ` «Դ»-«Ե»

 

Մեծ Պառնի, Շիրակամուտ և Կաթնաջուր համայնքների տարածքների բաժանման «Դ» հանգուցային սահմանակետից սահմանագիծը Գյումրի-Սպիտակ ճանապարհով անցնում է դեպի արևմուտք 542.8 մ, հասնում թիվ 1 սահմանակետին, այնուհետև թեքվելով դեպի հարավ, վարելահողի միջնակով հասնում թիվ 2 սահմանակետին, հատելով դաշտային ճանապարհը, վարելահողի եզրով հասնում թիվ 3 սահմանակետին: Թիվ 3 սահմանակետից սահմանագիծը թեքվելով դեպի հարավ-արևմուտք, վարելահողի եզրով հասնում Փամբակ գետի հյուսիսում գտնվող թիվ 4 սահմանակետին: Թիվ 4 սահմանակետից, փոխելով ուղղությունը դեպի հարավ-արևմուտք, հատելով Փամբակ գետը, սահմանագիծը հասնում է խոտհարքի և վարելահողի եզրի թիվ 5 սահմանակետին: Թիվ 5 սահմանակետից սահմանագիծը նույն ուղղությամբ վարելահողի եզրով, անցնելով թիվ 6-12 սահմանակետերով, հասնում է թիվ 12 սահմանակետին: Թիվ 12 սահմանակետից սահմանագիծը, փոխելով ուղղությունը դեպի հարավ, հատելով դաշտային ճանապարհը հասնում է թիվ 13 սահմանակետին, ապա թեքվում հարավ-արևելք և հասնում թիվ 14 սահմանակետին: Թիվ 14 սահմանակետից սահմանագիծը թեքվելով հարավ-արևմուտք, անցնելով ջրբաժանով հասնում է թիվ 15 սահմանակետին: Թիվ 15 սահմանակետից սահմանագիծը թեքվում է դեպի հարավ ջրբաժանով հասնում թիվ 16 սահմանակետին: Թիվ 16 սահմանակետից, փոխելով ուղղությունը դեպի հարավ-արևելք, անցնելով թիվ 17 սահմանակետով, հասնում բլրի գագաթի թիվ 18 սահմանակետը: Թիվ 18 սահմանակետից սահմանագիծը թեքվում է դեպի հարավ-արևմուտք 448,3 մ, հասնում 2027.0 մ նիշ ունեցող բլրի գագաթի թիվ 19 սահմանակետին, այնուհետև ջրբաժանով հասնում բլրի գագաթի Կաթնաջուր, Ծաղկաբեր և Մեծ Պառնի համայնքների տարածքների բաժանման «Ե» հանգուցային սահմանակետին: 

«Դ»-«Ե» սահմանագծի ընդհանուր երկարությունը` 6001.56 մ է:

 

ՄԵԾ ՊԱՌՆԻ-ԾԱՂԿԱԲԵՐ ՍԱՀՄԱՆԱԳԻԾԸ` «Ե»-«Զ»

 

Մեծ Պառնի, Կաթնաջուր և Ծաղկաբեր համայնքների տարածքների բաժանման «Զ» հանգուցային սահմանակետից սահմանագիծը լանջով անցնում է դեպի արևելք 455.61 մ, հասնում բլրի գագաթի թիվ 1 սահմանակետին, այնուհետև մի փոքր թեքվում դեպի հյուսիս-արևելք, անցնելով 575.01 մ, հատելով դաշտային ճանապարհը, հասնում վարելահողի եզրին դրված թիվ 2 սահմանակետին: Թիվ 2 սահմանակետից սահմանագիծը վարելահողի եզրով, հատելով Նալբանդի ջրանցքը, հասնում է 1733.2 մ նիշ ունեցող բլրի գագաթի թիվ 3 սահմանակետին: Թիվ 3 սահմանակետից սահմանագիծը թեքվում է դեպի հարավ-արևելք, անցնելով վարելահողի եզրով, հատելով դաշտային ճանապարհը, այնուհետև Նալբանդի ջրանցքը հասնում թիվ 4 սահմանակետին: Թիվ 4 սահմանակետից սահմանագիծը շարունակվում է դեպի հարավ-արևելք վարելահողի եզրով, հատելով Ծաղկաբեր-Մեծ Պառնի ճանապարհը և Նալբանդի ջրանցքը, հասնում թիվ 5 սահմանակետին: Թիվ 5 սահմանակետից սահմանագիծը ջրբաժանով անցնելով 424.1 մ, հասնում թիվ 6 սահմանակետին, այնուհետև նույն ջրբաժանով շարունակվում մինչև թիվ 7 սահմանակետը, որից հետո սահմանագիծն անցնում է դեպի հարավ-արևելք անցնելով թիվ 8-9 կետերով հասնում է թիվ 10 սահմանակետին: Թիվ 10 սահմանակետից սահմանագիծն անցնում է դեպի հյուսիս-արևելք 320.27 մ ու հասնում Մեծ Պառնի, Ծաղկաբեր և Կաթնաջուր համայնքների տարածքների բաժանման «Ե» հանգուցային սահմանակետին: 

«Ե»-«Զ» սահմանագծի ընդհանուր երկարությունը` 5553.52 մ է:

 

ՄԵԾ ՊԱՌՆԻ-ՀԱՐԹԱԳՅՈՒՂ ՍԱՀՄԱՆԱԳԻԾԸ` «Զ»-«Է»

 

Մեծ Պառնի, Լուսաղբյուր և Հարթագյուղ համայնքների տարածքների բաժանման «Է» հանգուցային սահմանակետից սահմանագիծը վարելահողի եզրով իջնում է հարավ, հատելով դաշտային ճանապարհը, հասնում Փամբակ գետի եզրին դրված թիվ 1 սահմանակետին, այնուհետև նույն գետով շարունակվում է դեպի արևելք, անցնում 99.53 մ, հասնում թիվ 2 կետին: Թիվ 2 սահմանակետից սահմանագիծը վարելահողի եզրով, հատելով դաշտային ճանապարհը, անցնելով թիվ 3 սահմանակետով հատելով Նալբանդի ջրանցքը, հասնում է թիվ 4 սահմանակետին: Թիվ 4 սահմանակետից սահմանագիծը ջրբաժանով անցնելով 2028.0 մ, հասնում բլրի գագաթի թիվ 5 սահմանակետին, ապա դեպի հարավ-արևելք անցնելով 342.4 մ հասնում Մեծ Պառնի, Հարթագյուղ և Ծաղկաբեր համայնքների տարածքների բաժանման «Զ» հանգուցային սահմանակետին:

«Զ»-«Է» սահմանագծի ընդհանուր երկարությունը` 2630.84 մ է:

 

ՄԵԾ ՊԱՌՆԻ-ԼՈՒՍԱՂԲՅՈՒՐ ՍԱՀՄԱՆԱԳԻԾԸ` «Է»-«Ը»

 

Մեծ Պառնի, Լուսաղբյուր համայնքների և Շիրակի մարզի Ձորաշեն համայնքի տարածքների բաժանման «Ը» հանգուցային սահմանակետից սահմանագիծը ջրհավաքով դեպի հարավ, անցնելով թիվ 1-11 սահմանակետերով, ապա արտադրական մասերի եզրագծից թիվ 12, 13 սահմանակետերով հասնում վարելահողի եզրի թիվ 14 սահմանակետին, այնուհետև վարելահողի եզրով շարունակվում դեպի հարավ-արևմուտք, հասնում մարզի համայնքների վարչական սահմաններից դուրս գտնվող հատուկ նշանակության հողերի եզրագծի թիվ 15 կետին, որտեղից հատելով դաշտային ճանապարհը և անտառաշերտը, հասնում թիվ 16 սահմանակետին: Թիվ 16 սահմանակետից սահմանագիծը թեքվում է դեպի հարավ, հատելով երկաթգիծը ապա Գյումրի-Սպիտակ մայրուղին, հասնում վարելահողի եզրին գտնվող թիվ 17 սահմանակետին: Թիվ 17 սահմանակետից սահմանագիծը վարելահողի եզրով անցնում է դեպի հարավ-արևելք, հատելով դաշտային ճանապարհը, և Նալբանդի ջրանցքը, հասնում վարելահողի և արոտի եզրին դրված թիվ 18 սահմանակետին, որից հետո շարունակվում դեպի հարավ-արևելք, անցնում վարելահողի և արոտավայրի միջնակի թիվ 19 սահմանակետը, հասնում Մեծ Պառնի, Լուսաղբյուր և Հարթագյուղ համայնքների տարածքների բաժանման «Է» հանգուցային սահմանակետին: 

«Է»-«Ը» սահմանագծի ընդհանուր երկարությունը` 5351.57 մ է:

 

ՄԵԾ ՊԱՌՆԻ-ՇԻՐԱԿԻ ՄԱՐԶԻ ՁՈՐԱՇԵՆ ՍԱՀՄԱՆԱԳԻԾԸ` «Ը»-«Թ»

 

Մեծ Պառնի և Սարալանջ համայնքների և Շիրակի մարզի Ձորաշեն համայնքի տարածքների բաժանման «Թ» հանգուցային սահմանակետից սահմանագիծն ուղղվելով դեպի հյուսիս-արևմուտք անցնելով 455.7 մ, հասնում է Մեծ Պառնի և Լուսաղբյուր համայնքների և Շիրակի մարզի Ձորաշեն, համայնքի տարածքների բաժանման «Ը» հանգուցային սահմանակետին: 

«Ը»-«Թ» սահմանագծի ընդհանուր երկարությունը` 455.71 մ է:

 

ՄԵԾ ՊԱՌՆԻ-ՍԱՐԱԼԱՆՋ ՍԱՀՄԱՆԱԳԻԾԸ` «Թ»-«Ժ»

 

Մեծ Պառնի, Սարալանջ համայնքների և մարզի համայնքների վարչական սահմաններից դուրս գտնվող հողերի տարածքների բաժանման «Ժ» հանգուցային «Չաչան» եռանկյունաչափական սահմանակետից սահմանագիծը ջրբաժանով անցնում է դեպի հարավ-արևելք թիվ 1-2 կետերով, հատելով դաշտային ճանապարհը, հասնում բլրի գագաթի թիվ 3 սահմանակետին: Թիվ 3 սահմանակետից սահմանագիծն անցնում է դեպի հարավ-արևելք 388.28 մ, հասնում թիվ 4 կետին, այնուհետև շարունակվում նույն ուղղությամբ 170.32 մ հասնում թիվ 5 սահմանակետին, որից հետո անցնում դեպի հարավ-արևելք ու հասնում 2274.8 մ նիշ ունեցող բլրի գագաթին դրված թիվ 6 սահմանակետին: Թիվ 6 սահմանակետից սահմանագիծը դեպի հարավ անցնելով 357.4 մ, հասնում թիվ 7 սահմանակետին, շարունակվում նույն ուղղությամբ 483.4 մ և հասնում 2041.7 մ նիշ ունեցող բլրի գագաթի թիվ 8 սահմանակետին: Թիվ 8 սահմանակետից սահմանագիծն անցնում է հարավ-արևմուտք 547.9 մ, հասնում թիվ 9 կետին, հետո ջրբաժանով շարունակվում դեպի հարավ-արևմուտք 232.4 մ և հասնում բլրի գագաթի թիվ 10 սահմանակետին: Թիվ 10 սահմանակետից սահմանագիծը թեքվում է դեպի հարավ-արևմուտք 248.4 մ, հասնում 1822.5 մ նիշ ունեցող բլրի գագաթի թիվ 11 սահմանակետին, թեքվում դեպի արևմուտք 155.1 մ և հասնում ջրհավաքի թիվ 12 սահմանակետին: Թիվ 12 սահմանակետից սահմանագիծն անցնում է դեպի հարավ-արևմուտք` վարելահողի միջնակով, անցնելով թիվ 13 սահմանակետը շարունակվում դեպի հարավ` վարելահողի եզրով, հատելով նալբանդի ջրանցքը, հասնում թիվ 14 սահմանակետին: Թիվ 14 սահմանակետից, անցնելով անտառաշերտի և Մեծ Պառնի բնակավայրի եզրով, հատելով երկաթգիծը, սահմանագիծը հասնում է Գյումրի-Սպիտակ միջպետական ճանապարհի թիվ 15 սահմանակետին: Թիվ 15 սահմանակետից սահմանագիծը շարունակվում է դեպի հյուսիս-արևմուտք և անցնելով թիվ 16-17 սահմանակետերով, հասնում վարելահողի և վերը նշված ճանապարհի եզրի թիվ 18 սահմանակետին: Թիվ 18 սահմանակետից սահմանագիծը դեպի հյուսիս` վարելահողի և անտառաշերտի եզրով անցնելով թիվ 19 կետով, հատելով Նալբանդի ջրանցքը, այնուհետև երկաթգիծը, հասնում է թիվ 20 սահմանակետին: Թիվ 20 սահմանակետից սահմանը ջրհավաքով բարձրանում է դեպի հյուսիս-արևմուտք, անցնում թիվ 21 սահմանակետով, թեքվում հյուսիս-արևմուտք, անցնում 153.4 մ, հասնում թիվ 22 կետին, այնուհետև բարձրանում բլրի գագաթի թիվ 23 սահմանակետը, որից հետո մի փոքր թեքվում դեպի հյուսիս-արևմուտք, անցնում թիվ 24 սահմանակետը և հասնում բլրի գագաթի թիվ 25 սահմանակետին: Թիվ 25 սահմանակետից սահմանագիծը ջրբաժանով անցնում է դեպի հյուսիս-արևմուտք 486.4 մ և հասնում հաջորդ բլրի գագաթի թիվ 26 սահմանակետին: Թիվ 26 սահմանակետից սահմանագիծը ջրբաժանով անցնում է դեպի հյուսիս-արևմուտք 432.2 մ և հասնում 2044.6 մ նիշ ունեցող բլրի գագաթի թիվ 27 սահմանակետին: Թիվ 27 սահմանակետից սահմանագիծը ջրբաժանով անցնելով թիվ 28-29 սահմանակետերով, հասնում է 2232.9 մ նիշ ունեցող բլրի գագաթի Մեծ Պառնի, Սարալանջ համայնքների և Շիրակի մարզի Ձորաշեն համայնքի տարածքների բաժանման «Թ» հանգուցային սահմանակետին: 

«Թ»-«Ժ» սահմանագծի ընդհանուր երկարությունը` 11216.86 մ է:

 

ՄԵԾ ՊԱՌՆԻ-ԼՈՌՈՒ ՄԱՐԶԻ ՀԱՄԱՅՆՔՆԵՐԻ ՎԱՐՉԱԿԱՆ ՍԱՀՄԱՆՆԵՐԻՑ ԴՈՒՐՍ ԳՏՆՎՈՂ ՀՈՂԵՐԻ ՍԱՀՄԱՆԱԳԻԾԸ` «Ժ»-«Ի»

 

Մեծ Պառնի, Շիրակի մարզի Ձորաշեն համայնքների և Լոռու մարզի համայնքների վարչական սահմաններից դուրս գտնվող հողերի տարածքների բաժանման «Ի» հանգուցային սահմանակետից սահմանագիծն անցնում է դեպի հարավ-արևելք 547.3 մ, հասնում թիվ 1 կետին, այնուհետև նույն ուղղությամբ, հատելով «Չիչխան» գետը, անցնելով թիվ 2 սահմանակետով, նույն ձորակով հասնում է թիվ 3 սահմանակետին: Թիվ 3 սահմանակետից ջրբաժանով սահմանագիծը բարձրանում է լանջի թիվ 4 սահմանակետը, այնուհետև թեքվում դեպի հարավ-արևմուտքում գտնվող ջրբաժանի թիվ 5 սահմանակետը: Թիվ 5 սահմանակետից սահմանագիծը կտրուկ փոխելով ուղղությունը դեպի հարավ, հասնում է 2376.0 մ նիշ ունեցող բլրի գագաթի թիվ 6 սահմանակետը, շարունակվում դեպի հարավ-արևմուտք` ջրբաժանով, անցնելով թիվ 7-8 սահմանակետերով, հասնում Մեծ Պառնի, Սարալանջ համայնքների և Լոռու մարզի համայնքների վարչական սահմաններից դուրս գտնվող հողերի բաժանման` 2379.8 մ նիշ ունեցող «Չաչան» եռանկյունաչափական կետի հետ համընկնող «Ժ» հանգուցային սահմանակետին: 

«Ժ»-«Ի» սահմանագծի ընդհանուր երկարությունը` 4363.09 մ է:

 

ՄԵԾ ՊԱՌՆԻ-ՇԻՐԱԿԻ ՄԱՐԶԻ ՁՈՐԱՇԵՆ ՍԱՀՄԱՆԱԳԻԾԸ` «Ի»-«Լ»

 

Մեծ Պառնի համայնքի, Շիրակի մարզի Ձորաշեն համայնքի և Շիրակի մարզի համայնքների վարչական սահմաններից դուրս գտնվող հողերի բաժանման «Լ» հանգուցային սահմանակետից, որը գտնվում է 2612.9 մ նիշ ունեցող բլրի գագաթի վրա, սահմանագիծը ուղղվելով դեպի հարավ-արևելք, հատելով դաշտային ճանապարհը, անցնելով 528.4 մ հասնում է թիվ 1 կետին, այնուհետև թեքվում է դեպի հարավ, անցնելով բլրի գագաթին գտնվող թիվ 2 կետով, 795.8 մ հատելով դաշտային ճանապարհը հասնում է թիվ 3 սահմանակետին: Թիվ 3 սահմանակետից սահմանագիծը ջրբաժանով թեքվում է դեպի հարավ-արևմուտք` անցնում 2358.9 մ նիշ ունեցող գագաթի թիվ 4 սահմանակետով հասնում է թիվ 5 կետին: Թիվ 5 սահմանակետից սահմանագիծն անցնում է դեպի հարավ-արևմուտք հասնում է Մեծ Պառնի, Շիրակի մարզի Ձորաշեն համայնքների և Լոռու մարզի համայնքների վարչական սահմաններից դուրս գտնվող հողերի բաժանման «Ի» հանգուցային կետին:

 «Ի»-«Լ» սահմանագծի ընդհանուր երկարությունը` 2520.89 մ է:

 

ՄԵԾ ՊԱՌՆԻ-ՇԻՐԱԿԻ ՄԱՐԶԻ ՀԱՄԱՅՆՔՆԵՐԻ ՎԱՐՉԱԿԱՆ ՍԱՀՄԱՆՆԵՐԻՑ ԴՈՒՐՍ ԳՏՆՎՈՂ ՀՈՂԵՐԻ ՍԱՀՄԱՆԱԳԻԾԸ` «Լ»-«Ա»

 

Մեծ Պառնի համայնքի, Շիրակի մարզի համայնքների վարչական սահմաններից դուրս գտնվող հողերի և Լոռու մարզի համայնքների վարչական սահմաններից դուրս գտնվող հողերի բաժանման «Ա» հանգուցային սահմանակետից սահմանագիծը ջրբաժանով անցնում է դեպի հարավ հասնում թիվ 1 սահմանակետին, այնուհետև թեքվում դեպի հարավ-արևելք, հասնում դաշտային ճանապարհի եզրին դրված թիվ 2 սահմանակետին: Նշված սահմանակետից սահմանագիծն ուղղվում է դեպի հարավ-արևմուտք, անցնելով թիվ 3 սահմանակետով հասնում 26666 մ, նիշ ունեցող բլրի գագաթի թիվ 4 սահմանակետին: Թիվ 4 սահմանակետից սահմանագիծն ուղղվում է դեպի հարավ-արևմուտք, ջրբաժանով անցնելով թիվ 5-6 սահմանակետերով հասնում 2612.9 մ նիշ ունեցող բլրի գագաթին գտնվող Մեծ Պառնի համայնքի, Շիրակի մարզի Ձորաշեն համայնքների և Շիրակի մարզի համայնքների վարչական սահմաններից դուրս գտնվող հողերի բաժանման «Լ» հանգուցային սահմանակետը: 

«Լ»-«Ա»  սահմանագծի ընդհանուր երկարությունը` 2557.52 մ է:



Հայաստանի Հանրապետության
կառավարության աշխատակազմի
ղեկավար-նախարար
Մ. Թոփուզյան


Հավելված N 3
ՀՀ կառավարության 2005 թվականի
հունիսի 16-ի N 904-Ն որոշման


ՀԱՅԱՍՏԱՆԻ ՀԱՆՐԱՊԵՏՈՒԹՅԱՆ ԼՈՌՈՒ ՄԱՐԶԻ ՄԵԾ ՊԱՌՆԻԻ ԳՅՈՒՂԱԿԱՆ ՀԱՄԱՅՆՔԻ ՀՈՂԱՇԻՆԱՐԱՐԱԿԱՆ ՀԱՏԱԿԱԳԻԾԸ


Հայաստանի Հանրապետության
կառավարության աշխատակազմի
ղեկավար-նախարար
Մ. Թոփուզյան


Հավելված N 4
ՀՀ կառավարության 2005 թվականի
հունիսի 16-ի N 904-Ն որոշման


Ա Ն Վ Ա Ն Ա Ց Ա Ն Կ

ՀԱՅԱՍՏԱՆԻ ՀԱՆՐԱՊԵՏՈՒԹՅԱՆ ԼՈՌՈՒ ՄԱՐԶԻ ՄԵԾ ՊԱՌՆԻԻ ԳՅՈՒՂԱԿԱՆ ՀԱՄԱՅՆՔԻ ՎԱՐՉԱԿԱՆ ՍԱՀՄԱՆՆԵՐՈՒՄ ԳՏՆՎՈՂ` ՊԵՏԱԿԱՆ ՍԵՓԱԿԱՆՈՒԹՅՈՒՆ ՀԱՆԴԻՍԱՑՈՂ ՀՈՂԵՐԻՑ ՄԵԾ ՊԱՌՆԻԻ ԳՅՈՒՂԱԿԱՆ ՀԱՄԱՅՆՔԻՆ ԱՆՀԱՏՈՒՅՑ ՓՈԽԱՆՑՎՈՂ ՀՈՂԵՐԻ


Հայաստանի Հանրապետության
կառավարության աշխատակազմի
ղեկավար-նախարար
Մ. Թոփուզյան


Հավելված N 5
ՀՀ կառավարության 2005 թվականի
հունիսի 16-ի N 904-Ն որոշման

էջ 1,  2,  3,  4


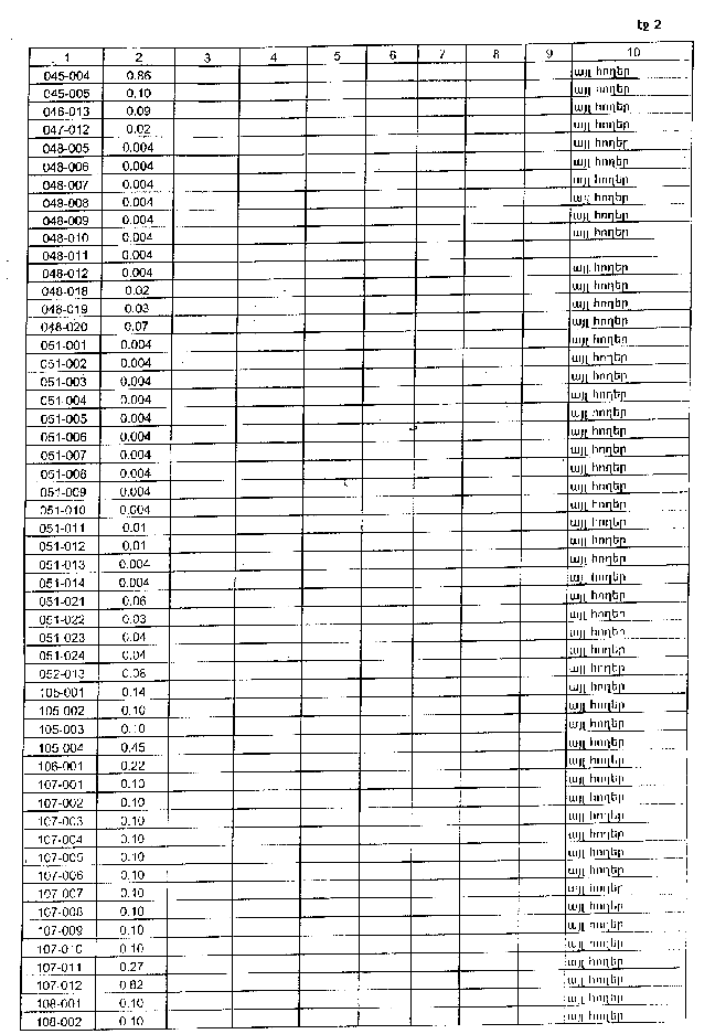
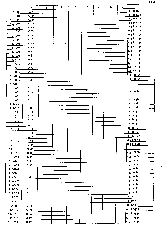
Ց Ա Ն Կ

ՀԱՅԱՍՏԱՆԻ ՀԱՆՐԱՊԵՏՈՒԹՅԱՆ ԼՈՌՈՒ ՄԱՐԶԻ ՄԵԾ ՊԱՌՆԻԻ ԳՅՈՒՂԱԿԱՆ ՀԱՄԱՅՆՔԻ ՎԱՐՉԱԿԱՆ ՍԱՀՄԱՆՆԵՐՈՒՄ ԳՏՆՎՈՂ` ՊԵՏԱԿԱՆ ՍԵՓԱԿԱՆՈՒԹՅՈՒՆ ՀԱՆԴԻՍԱՑՈՂ ՀՈՂԵՐԻՑ ՄԵԾ ՊԱՌՆԻԻ ԳՅՈՒՂԱԿԱՆ ՀԱՄԱՅՆՔԻՆ ԱՆՀԱՏՈՒՅՑ ՓՈԽԱՆՑՎՈՂ ՀՈՂԵՐԻ


Հայաստանի Հանրապետության
կառավարության աշխատակազմի
ղեկավար-նախարար
Մ. Թոփուզյան



Հավելված N 6
ՀՀ կառավարության 2005 թվականի
հունիսի 16-ի N 904-Ն որոշման

էջ 1,  2,  3,  4,  5,  6,  7,  8,  9,  10,  11


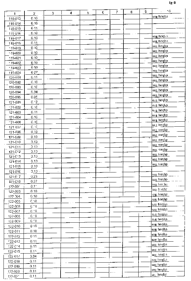
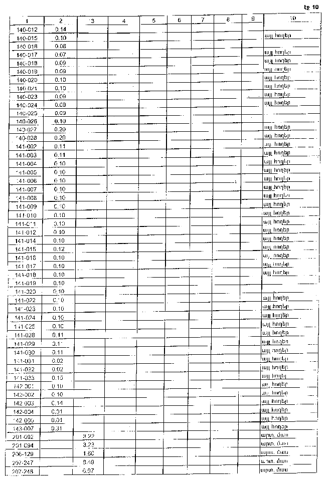
Ց Ա Ն Կ

ՀԱՅԱՍՏԱՆԻ ՀԱՆՐԱՊԵՏՈՒԹՅԱՆ ԼՈՌՈՒ ՄԱՐԶԻ ՄԵԾ ՊԱՌՆԻԻ ԳՅՈՒՂԱԿԱՆ ՀԱՄԱՅՆՔԻ ՎԱՐՉԱԿԱՆ ՍԱՀՄԱՆՆԵՐՈՒՄ ԳՏՆՎՈՂ` ՊԵՏԱԿԱՆ ՍԵՓԱԿԱՆՈՒԹՅՈՒՆ ՀԱՆԴԻՍԱՑՈՂ ՀՈՂԵՐԻՑ ՄԵԾ ՊԱՌՆԻԻ ԳՅՈՒՂԱԿԱՆ ՀԱՄԱՅՆՔԻՆ ԱՆՀԱՏՈՒՅՑ ՓՈԽԱՆՑՎՈՂ ՀՈՂԵՐԻ (ԸՍՏ ՆՊԱՏԱԿԱՅԻՆ ՆՇԱՆԱԿՈՒԹՅԱՆ)


Հայաստանի Հանրապետության
կառավարության աշխատակազմի
ղեկավար-նախարար
Մ. Թոփուզյան



Հավելված N 7
ՀՀ կառավարության 2005 թվականի
հունիսի 16-ի N 904-Ն որոշման

էջ 1,  2


Ց Ա Ն Կ

ՀԱՅԱՍՏԱՆԻ ՀԱՆՐԱՊԵՏՈՒԹՅԱՆ ԼՈՌՈՒ ՄԱՐԶԻ ՄԵԾ ՊԱՌՆԻԻ ԳՅՈՒՂԱԿԱՆ ՀԱՄԱՅՆՔԻ ՎԱՐՉԱԿԱՆ ՍԱՀՄԱՆՆԵՐՈՒՄ ԳՏՆՎՈՂ` ՊԵՏԱԿԱՆ ՍԵՓԱԿԱՆՈՒԹՅՈՒՆ ՀԱՆԴԻՍԱՑՈՂ ՀՈՂԵՐԻ (ԸՍՏ ՆՊԱՏԱԿԱՅԻՆ ՆՇԱՆԱԿՈՒԹՅԱՆ)


Հայաստանի Հանրապետության
կառավարության աշխատակազմի
ղեկավար-նախարար
Մ. Թոփուզյան



Հավելված N 8
ՀՀ կառավարության 2005 թվականի
հունիսի 16-ի N 904-Ն որոշման


Հ Ա Շ Վ Ե Տ Վ ՈՒ Թ Յ ՈՒ Ն

ՀԱՅԱՍՏԱՆԻ ՀԱՆՐԱՊԵՏՈՒԹՅԱՆ ԼՈՌՈՒ ՄԱՐԶԻ ՄԵԾ ՊԱՌՆԻԻ ԳՅՈՒՂԱԿԱՆ ՀԱՄԱՅՆՔԻ ՀՈՂԱՅԻՆ ՖՈՆԴԻ ԱՌԿԱՅՈՒԹՅԱՆ ԵՎ ԲԱՇԽՄԱՆ ՄԱՍԻՆ


Հայաստանի Հանրապետության
կառավարության աշխատակազմի
ղեկավար-նախարար
Մ. Թոփուզյան


Հավելված N 9
ՀՀ կառավարության 2005 թվականի
հունիսի 16-ի N 904-Ն որոշման

Հ Ա Շ Վ Ե Տ Վ ՈՒ Թ Յ ՈՒ Ն

ՀԱՅԱՍՏԱՆԻ ՀԱՆՐԱՊԵՏՈՒԹՅԱՆ ԼՈՌՈՒ ՄԱՐԶԻ ՄԵԾ ՊԱՌՆԻԻ ԳՅՈՒՂԱԿԱՆ ՀԱՄԱՅՆՔԻ ՈՌՈԳՎՈՂ ՀՈՂԵՐԻ ԱՌԿԱՅՈՒԹՅԱՆ ԵՎ ԲԱՇԽՄԱՆ ՄԱՍԻՆ


Հայաստանի Հանրապետության
կառավարության աշխատակազմի
ղեկավար-նախարար
Մ. Թոփուզյան

Փոփոխման պատմություն
Փոփոխող ակտ Համապատասխան ինկորպորացիան
14.10.2010, N 1359-Ն 16.06.2005, N 904-Ն
Փոփոխված ակտ
Փոփոխող ակտ Համապատասխան ինկորպորացիան