ՀՀ ԿԱՌԱՎԱՐՈՒԹՅԱՆ ՈՐՈՇՈՒՄԸ ՀՀ ԳԵՂԱՐՔՈՒՆԻՔԻ ՄԱՐԶԻ ՎԱՂԱՇԵՆԻ ԳՅՈՒՂԱԿԱՆ ՀԱՄԱՅՆՔԻ ՎԱՐՉԱԿԱՆ ՍԱՀՄԱՆՆԵՐԻ ՆԿԱՐԱԳԻՐԸ ՀԱՍՏԱՏԵԼՈՒ ԵՎ ՎԱՂԱՇԵՆԻ ԳՅՈՒՂԱԿԱՆ ՀԱՄԱՅՆՔԻ ՎԱՐՉԱԿԱՆ ՍԱՀՄԱՆՆԵՐՈՒՄ ԳՏՆՎՈՂ` ՊԵՏԱԿԱՆ ՍԵՓԱԿԱՆՈՒԹՅՈՒՆ ՀԱՆԴԻՍԱՑՈՂ ՀՈՂԱՄԱՍԵՐՆ ԱՆՀԱՏՈՒՅՑ ՍԵՓԱԿԱՆՈՒԹՅԱՆ ԻՐԱՎՈՒՆՔՈՎ ՀԱՄԱՅՆՔԻՆ ՓՈԽԱՆՑԵԼՈՒ ՄԱՍԻՆ

Գլխավոր տեղեկություն
Номер
N 1680-Ն
Տիպ
Որոշում
Тип
Официальная Инкорпорация (20.11.2010-по сей день)
Статус
Գործում է
Первоисточник
ՀՀՊՏ 2005.11.21/71.1 Հոդ.1363.20
Принят
ՀՀ կառավարություն
Дата принятия
25.08.2005
Подписан
ՀՀ վարչապետ
Дата подписания
07.09.2005
Վավերացնող մարմին
ՀՀ Նախագահ
Վավերացման ամսաթից
25.10.2005
Дата вступления в силу
22.11.2005

«Վավերացնում եմ»
Հայաստանի Հանրապետության
Նախագահ Ռ. Քոչարյան
25 հոկտեմբերի 2005 թ.

ՀԱՅԱՍՏԱՆԻ ՀԱՆՐԱՊԵՏՈՒԹՅԱՆ ԿԱՌԱՎԱՐՈՒԹՅՈՒՆ

Ո Ր Ո Շ ՈՒ Մ

25 օգոստոսի 2005 թվականի N 1680-Ն

ՀԱՅԱՍՏԱՆԻ ՀԱՆՐԱՊԵՏՈՒԹՅԱՆ ԳԵՂԱՐՔՈՒՆԻՔԻ ՄԱՐԶԻ ՎԱՂԱՇԵՆԻ ԳՅՈՒՂԱԿԱՆ ՀԱՄԱՅՆՔԻ ՎԱՐՉԱԿԱՆ ՍԱՀՄԱՆՆԵՐԻ ՆԿԱՐԱԳԻՐԸ ՀԱՍՏԱՏԵԼՈՒ ԵՎ ՎԱՂԱՇԵՆԻ ԳՅՈՒՂԱԿԱՆ ՀԱՄԱՅՆՔԻ ՎԱՐՉԱԿԱՆ ՍԱՀՄԱՆՆԵՐՈՒՄ ԳՏՆՎՈՂ` ՊԵՏԱԿԱՆ ՍԵՓԱԿԱՆՈՒԹՅՈՒՆ ՀԱՆԴԻՍԱՑՈՂ ՀՈՂԱՄԱՍԵՐՆ ԱՆՀԱՏՈՒՅՑ ՍԵՓԱԿԱՆՈՒԹՅԱՆ ԻՐԱՎՈՒՆՔՈՎ ՀԱՄԱՅՆՔԻՆ ՓՈԽԱՆՑԵԼՈՒ ՄԱՍԻՆ

Հայաստանի Հանրապետության հողային օրենսգրքի 34-րդ ու 56-րդ, «Տեղական ինքնակառավարման մասին» Հայաստանի Հանրապետության օրենքի 6-րդ, 47-րդ ու 84-րդ և «Հայաստանի Հանրապետության վարչատարածքային բաժանման մասին» Հայաստանի Հանրապետության օրենքի 6-րդ հոդվածների պահանջներին համապատասխան` Հայաստանի Հանրապետության կառավարությունը որոշում է.

1. (կետն ուժը կորցրել է 14.10.10 N 1359-Ն)

2. Հայաստանի Հանրապետության Գեղարքունիքի մարզի Վաղաշենի գյուղական համայնքի վարչական սահմաններում գտնվող՝ պետական սեփականություն հանդիսացող 753.02 հեկտար հողամասերից 639.21 հեկտարը, որից՝ գյուղատնտեսական նշանակության 544.72 հեկտար, բնակավայրերի հողերի՝ 56.72 հեկտար, արդյունաբերության, ընդերքօգտագործման և այլ արտադրական նշանակության օբյեկտների՝ 15.82 հեկտար, էներգետիկայի, տրանսպորտի, կապի և կոմունալ ենթակառուցվածքների օբյեկտների՝ 3.03 հեկտար, հատուկ պահպանվող տարածքների՝ 5.19 հեկտար, ջրային հողերի` 13.73 հեկտար, անհատույց սեփականության իրավունքով փոխանցել Վաղաշենի գյուղական համայնքին՝ համաձայն NN 3, 4, 5 և 6 հավելվածների:

3. Սահմանել, որ Հայաստանի Հանրապետության հողային օրենսգրքի 60-րդ հոդվածի պահանջներին համապատասխան՝

ա) Հայաստանի Հանրապետության Գեղարքունիքի մարզի Վաղաշենի գյուղական համայնքին անհատույց սեփականության իրավունքով փոխանցվող 639.21 հեկտար հողերից 85.84 հեկտարը մասնավորեցման ենթակա չէ.

բ) Հայաստանի Հանրապետության Գեղարքունիքի մարզի Վաղաշենի գյուղական համայնքի վարչական սահմաններում գտնվող հողերից 113.81 հեկտարը համարվում է պետական սեփականություն՝ համաձայն N 7 հավելվածի:

4. Ընդունել ի գիտություն Հայաստանի Հանրապետության Գեղարքունիքի մարզի Վաղաշենի գյուղական համայնքի հողային ֆոնդի առկայության և բաշխման մասին հաշվետվությունը՝ 2005 թվականի հունվարի 1-ի դրությամբ՝ համաձայն NN 8 և 9 հավելվածների:

5. Հայաստանի Հանրապետության կառավարությանն առընթեր անշարժ գույքի կադաստրի պետական կոմիտեի նախագահին` սահմանված կարգով ապահովել սկզբնական հաշվառման նյութերի տրամադրումը Հայաստանի Հանրապետության Գեղարքունիքի մարզի Վաղաշենի գյուղական համայնքի ղեկավարին՝ հողերի ընթացիկ հաշվառումն անցկացնելու և համայնքի հողային հաշվեկշիռը կազմելու համար:

6. Թույլատրել Հայաստանի Հանրապետության կառավարությանն առընթեր անշարժ գույքի կադաստրի պետական կոմիտեի նախագահին Հայաստանի Հանրապետության պետական գեոդեզիական ցանցի հավասարակշռման արդյունքների հիման վրա Հայաստանի Հանրապետության վարչատարածքային միավորների սահմանանիշերի կոորդինատների ժողովածուի հրատարակումից հետո հողային ֆոնդի ընթացիկ հաշվառման ժամանակ Հայաստանի Հանրապետության Գեղարքունիքի մարզի Վաղաշենի գյուղական համայնքի հողային հաշվեկշռում սահմանված կարգով կատարել համապատասխան փոփոխություններ:

7. Հայաստանի Հանրապետության Գեղարքունիքի մարզպետին՝ Հայաստանի Հանրապետության կառավարության 2000 թվականի հոկտեմբերի 23-ի N 656 որոշմամբ սահմանված կարգով՝ սկզբնական հաշվառման տվյալների հիման վրա ապահովել մարզի տարածքում ընթացիկ հաշվառման աշխատանքների իրականացումը:

8. Սույն որոշումն ուժի մեջ է մտնում պաշտոնական հրապարակմանը հաջորդող օրվանից։



Հայաստանի Հանրապետության
վարչապետ

Ա. Մարգարյան


2005 թ. սեպտեմբերի 7
Երևան



Հավելված N 1
ՀՀ կառավարության 2005 թվականի
օգոստոսի 25-ի N 1680-Ն որոշման

ՀԱՅԱՍՏԱՆԻ ՀԱՆՐԱՊԵՏՈՒԹՅԱՆ ԳԵՂԱՐՔՈՒՆԻՔԻ ՄԱՐԶԻ ՎԱՂԱՇԵՆԻ ԳՅՈՒՂԱԿԱՆ ՀԱՄԱՅՆՔԻ ՎԱՐՉԱԿԱՆ ՍԱՀՄԱՆՆԵՐԻ ՀԱՏԱԿԱԳԻԾԸ
(հավելվածն ուժը կորցրել է 14.10.10 N 1359-Ն)


Հավելված N 2
ՀՀ կառավարության 2005 թվականի
օգոստոսի 25-ի N 1680-Ն որոշման


ՀԱՅԱՍՏԱՆԻ ՀԱՆՐԱՊԵՏՈՒԹՅԱՆ ԳԵՂԱՐՔՈՒՆԻՔԻ ՄԱՐԶԻ ՎԱՂԱՇԵՆԻ ԳՅՈՒՂԱԿԱՆ ՀԱՄԱՅՆՔԻ ՎԱՐՉԱԿԱՆ ՍԱՀՄԱՆՆԵՐԻ ՆԿԱՐԱԳՐՈՒԹՅՈՒՆԸ
(հավելվածն ուժը կորցրել է 14.10.10 N 1359-Ն)


Հավելված N 3
ՀՀ կառավարության 2005 թվականի
օգոստոսի 25-ի N 1680-Ն որոշման

ՀԱՅԱՍՏԱՆԻ ՀԱՆՐԱՊԵՏՈՒԹՅԱՆ ԳԵՂԱՐՔՈՒՆԻՔԻ ՄԱՐԶԻ ՎԱՂԱՇԵՆԻ ԳՅՈՒՂԱԿԱՆ ՀԱՄԱՅՆՔԻ ՀՈՂԱՇԻՆԱՐԱՐԱԿԱՆ ՀԱՏԱԿԱԳԻԾԸ


Հայաստանի Հանրապետության
կառավարության աշխատակազմի
ղեկավար-նախարար

Մ. Թոփուզյան


Հավելված N 4
ՀՀ կառավարության 2005 թվականի
օգոստոսի 25-ի N 1680-Ն որոշման


Ա Ն Վ Ա Ն Ա Ց Ա Ն Կ

ՀԱՅԱՍՏԱՆԻ ՀԱՆՐԱՊԵՏՈՒԹՅԱՆ ԳԵՂԱՐՔՈՒՆԻՔԻ ՄԱՐԶԻ ՎԱՂԱՇԵՆԻ ԳՅՈՒՂԱԿԱՆ ՀԱՄԱՅՆՔԻ ՎԱՐՉԱԿԱՆ ՍԱՀՄԱՆՆԵՐՈՒՄ ԳՏՆՎՈՂ` ՊԵՏԱԿԱՆ ՍԵՓԱԿԱՆՈՒԹՅՈՒՆ ՀԱՆԴԻՍԱՑՈՂ ՀՈՂԵՐԻՑ ՎԱՂԱՇԵՆԻ ԳՅՈՒՂԱԿԱՆ ՀԱՄԱՅՆՔԻՆ ԱՆՀԱՏՈՒՅՑ ՓՈԽԱՆՑՎՈՂ ՀՈՂԵՐԻ


Հայաստանի Հանրապետության
կառավարության աշխատակազմի
ղեկավար-նախարար

Մ. Թոփուզյան


Հավելված N 5
ՀՀ կառավարության 2005 թվականի
օգոստոսի 25-ի N 1680-Ն որոշման

էջ  1,  2,  3,  4,  5,  6

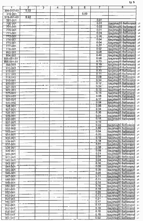
Ց Ա Ն Կ

ՀԱՅԱՍՏԱՆԻ ՀԱՆՐԱՊԵՏՈՒԹՅԱՆ ԳԵՂԱՐՔՈՒՆԻՔԻ ՄԱՐԶԻ ՎԱՂԱՇԵՆԻ ԳՅՈՒՂԱԿԱՆ ՀԱՄԱՅՆՔԻ ՎԱՐՉԱԿԱՆ ՍԱՀՄԱՆՆԵՐՈՒՄ ԳՏՆՎՈՂ` ՊԵՏԱԿԱՆ ՍԵՓԱԿԱՆՈՒԹՅՈՒՆ ՀԱՆԴԻՍԱՑՈՂ ՀՈՂԵՐԻՑ ՎԱՂԱՇԵՆԻ ԳՅՈՒՂԱԿԱՆ ՀԱՄԱՅՆՔԻՆ ԱՆՀԱՏՈՒՅՑ ՓՈԽԱՆՑՎՈՂ ՀՈՂԵՐԻ


Հայաստանի Հանրապետության
կառավարության աշխատակազմի
ղեկավար-նախարար

Մ. Թոփուզյան


Հավելված N 6
ՀՀ կառավարության 2005 թվականի
օգոստոսի 25-ի N 1680-Ն որոշման

էջ  1,  2,  3,  4,  5,  6,  7,  8,  9,  10,  11

Ց Ա Ն Կ

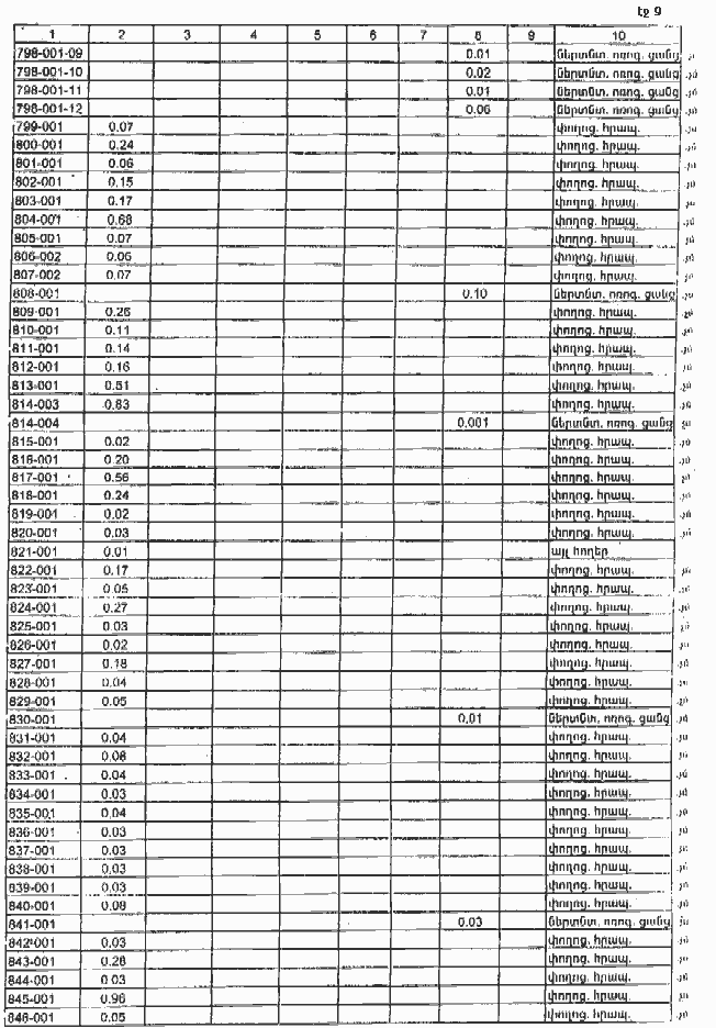
ՀԱՅԱՍՏԱՆԻ ՀԱՆՐԱՊԵՏՈՒԹՅԱՆ ԳԵՂԱՐՔՈՒՆԻՔԻ ՄԱՐԶԻ ՎԱՂԱՇԵՆԻ ԳՅՈՒՂԱԿԱՆ ՀԱՄԱՅՆՔԻ ՎԱՐՉԱԿԱՆ ՍԱՀՄԱՆՆԵՐՈՒՄ ԳՏՆՎՈՂ` ՊԵՏԱԿԱՆ ՍԵՓԱԿԱՆՈՒԹՅՈՒՆ ՀԱՆԴԻՍԱՑՈՂ ՀՈՂԵՐԻՑ ՎԱՂԱՇԵՆԻ ԳՅՈՒՂԱԿԱՆ ՀԱՄԱՅՆՔԻՆ ԱՆՀԱՏՈՒՅՑ ՓՈԽԱՆՑՎՈՂ ՀՈՂԵՐԻ (ԸՍՏ ՆՊԱՏԱԿԱՅԻՆ ՆՇԱՆԱԿՈՒԹՅԱՆ)


Հայաստանի Հանրապետության
կառավարության աշխատակազմի
ղեկավար-նախարար

Մ. Թոփուզյան


Հավելված N 7
ՀՀ կառավարության 2005 թվականի
օգոստոսի 25-ի N 1680-Ն որոշման


Ց Ա Ն Կ

ՀԱՅԱՍՏԱՆԻ ՀԱՆՐԱՊԵՏՈՒԹՅԱՆ ԳԵՂԱՐՔՈՒՆԻՔԻ ՄԱՐԶԻ ՎԱՂԱՇԵՆԻ ԳՅՈՒՂԱԿԱՆ ՀԱՄԱՅՆՔԻ ՎԱՐՉԱԿԱՆ ՍԱՀՄԱՆՆԵՐՈՒՄ ԳՏՆՎՈՂ` ՊԵՏԱԿԱՆ ՍԵՓԱԿԱՆՈՒԹՅՈՒՆ ՀԱՆԴԻՍԱՑՈՂ ՀՈՂԵՐԻ (ԸՍՏ ՆՊԱՏԱԿԱՅԻՆ ՆՇԱՆԱԿՈՒԹՅԱՆ)


Հայաստանի Հանրապետության
կառավարության աշխատակազմի
ղեկավար-նախարար

Մ. Թոփուզյան


Հավելված N 8
ՀՀ կառավարության 2005 թվականի
օգոստոսի 25-ի N 1680-Ն որոշման


Հ Ա Շ Վ Ե Տ Վ ՈՒ Թ Յ ՈՒ Ն

ՀԱՅԱՍՏԱՆԻ ՀԱՆՐԱՊԵՏՈՒԹՅԱՆ ԳԵՂԱՐՔՈՒՆԻՔԻ ՄԱՐԶԻ ՎԱՂԱՇԵՆԻ ԳՅՈՒՂԱԿԱՆ ՀԱՄԱՅՆՔԻ ՀՈՂԱՅԻՆ ՖՈՆԴԻ ԱՌԿԱՅՈՒԹՅԱՆ ԵՎ ԲԱՇխՄԱՆ ՄԱՍԻՆ


Հայաստանի Հանրապետության
կառավարության աշխատակազմի
ղեկավար-նախարար

Մ. Թոփուզյան


Հավելված N 9
ՀՀ կառավարության 2005 թվականի
օգոստոսի 25-ի N 1680-Ն որոշման


ՀԱՅԱՍՏԱՆԻ ՀԱՆՐԱՊԵՏՈՒԹՅԱՆ ԳԵՂԱՐՔՈՒՆԻՔԻ ՄԱՐԶԻ ՎԱՂԱՇԵՆԻ ԳՅՈՒՂԱԿԱՆ ՀԱՄԱՅՆՔԻ ՈՌՈԳՎՈՂ ՀՈՂԵՐԻ ԱՌԿԱՅՈՒԹՅԱՆ ԵՎ ԲԱՇԽՄԱՆ ՄԱՍԻՆ


Հայաստանի Հանրապետության
կառավարության աշխատակազմի
ղեկավար-նախարար

Մ. Թոփուզյան