ՀՀ ԿԱՌԱՎԱՐՈՒԹՅԱՆ ՈՐՈՇՈՒՄԸ ՀՀ ԼՈՌՈՒ ՄԱՐԶԻ ՕՁՈՒՆԻ ԳՅՈՒՂԱԿԱՆ ՀԱՄԱՅՆՔԻ ՎԱՐՉԱԿԱՆ ՍԱՀՄԱՆՆԵՐԻ ՆԿԱՐԱԳԻՐԸ ՀԱՍՏԱՏԵԼՈՒ ԵՎ ՕՁՈՒՆԻ ԳՅՈՒՂԱԿԱՆ ՀԱՄԱՅՆՔԻ ՎԱՐՉԱԿԱՆ ՍԱՀՄԱՆՆԵՐՈՒՄ ԳՏՆՎՈՂ` ՊԵՏԱԿԱՆ ՍԵՓԱԿԱՆՈՒԹՅՈՒՆ ՀԱՆԴԻՍԱՑՈՂ ՀՈՂԱՄԱՍԵՐՆ ԱՆՀԱՏՈՒՅՑ ՍԵՓԱԿԱՆՈՒԹՅԱՆ ԻՐԱՎՈՒՆՔՈՎ ՀԱՄԱՅՆՔԻՆ ՓՈԽԱՆՑԵԼՈՒ ՄԱՍԻՆ

Գլխավոր տեղեկություն
Номер
N 1060-Ն
Տիպ
Որոշում
Тип
Официальная Инкорпорация (20.11.2010-по сей день)
Статус
Գործում է
Первоисточник
ՀՀՊՏ 2006.08.23/45.1 Հոդ.971.9
Принят
ՀՀ կառավարություն
Дата принятия
16.06.2006
Подписан
ՀՀ վարչապետ
Дата подписания
02.08.2006
Վավերացնող մարմին
ՀՀ Նախագահ
Վավերացման ամսաթից
07.08.2006
Дата вступления в силу
24.08.2006

«Վավերացնում եմ»
Հայաստանի Հանրապետության
Նախագահ Ռ. Քոչարյան
7 օգոստոսի 2006 թ.

ՀԱՅԱՍՏԱՆԻ ՀԱՆՐԱՊԵՏՈՒԹՅԱՆ ԿԱՌԱՎԱՐՈՒԹՅՈՒՆ

Ո Ր Ո Շ ՈՒ Մ

16 հունիսի 2006 թվականի N 1060-Ն

ՀԱՅԱՍՏԱՆԻ ՀԱՆՐԱՊԵՏՈՒԹՅԱՆ ԼՈՌՈՒ ՄԱՐԶԻ ՕՁՈՒՆԻ ԳՅՈՒՂԱԿԱՆ ՀԱՄԱՅՆՔԻ ՎԱՐՉԱԿԱՆ ՍԱՀՄԱՆՆԵՐԻ ՆԿԱՐԱԳԻՐԸ ՀԱՍՏԱՏԵԼՈՒ ԵՎ ՕՁՈՒՆԻ ԳՅՈՒՂԱԿԱՆ ՀԱՄԱՅՆՔԻ ՎԱՐՉԱԿԱՆ ՍԱՀՄԱՆՆԵՐՈՒՄ ԳՏՆՎՈՂ` ՊԵՏԱԿԱՆ ՍԵՓԱԿԱՆՈՒԹՅՈՒՆ ՀԱՆԴԻՍԱՑՈՂ ՀՈՂԱՄԱՍԵՐՆ ԱՆՀԱՏՈՒՅՑ ՍԵՓԱԿԱՆՈՒԹՅԱՆ ԻՐԱՎՈՒՆՔՈՎ ՀԱՄԱՅՆՔԻՆ ՓՈԽԱՆՑԵԼՈՒ ՄԱՍԻՆ

Հայաստանի Հանրապետության հողային օրենսգրքի 34-րդ ու 56-րդ, «Տեղական ինքնակառավարման մասին» Հայաստանի Հանրապետության օրենքի 6-րդ, 47-րդ ու 84-րդ և «Հայաստանի Հանրապետության վարչատարածքային բաժանման մասին» Հայաստանի Հանրապետության օրենքի 6-րդ հոդվածների պահանջներին համապատասխան` Հայաստանի Հանրապետության կառավարությունը որոշում է.

1. (կետն ուժը կորցրել է 14.10.10 N 1359-Ն)

2. Հայաստանի Հանրապետության Լոռու մարզի Օձունի գյուղական համայնքի վարչական սահմաններում գտնվող՝ պետական սեփականություն հանդիսացող 3630.8 հեկտար հողամասերից 3040.4 հեկտարը, որից` գյուղատնտեսական նշանակության՝ 2810.6 հեկտար, բնակավայրերի հողերի՝ 168.54 հեկտար, արդյունաբերության, ընդերքօգտագործման և այլ արտադրական նշանակության օբյեկտների՝ 33.75 հեկտար, էներգետիկայի, տրանսպորտի, կապի և կոմունալ ենթակառուցվածքների օբյեկտների՝ 2.14 հեկտար, հատուկ պահպանվող տարածքների` 23.28 հեկտար, ջրային հողերի՝ 2.09 հեկտար, անհատույց սեփականության իրավունքով փոխանցել Օձունի գյուղական համայնքին՝ համաձայն NN 3, 4, 5 և 6 հավելվածների:

3. Սահմանել, որ Հայաստանի Հանրապետության հողային օրենսգրքի 60-րդ հոդվածի պահանջներին համապատասխան`

ա) Հայաստանի Հանրապետության Լոռու մարզի Օձունի գյուղական համայնքին անհատույց սեփականության իրավունքով փոխանցվող 3040.4 հեկտար հողերից 111.56 հեկտարը մասնավորեցման ենթակա չէ.

բ) Հայաստանի Հանրապետության Լոռու մարզի Օձունի գյուղական համայնքի վարչական սահմաններում գտնվող հողերից 590.4 հեկտարը համարվում է պետական սեփականություն` համաձայն N 7 հավելվածի:

4. Ընդունել ի գիտություն Հայաստանի Հանրապետության Լոռու մարզի Օձունի գյուղական համայնքի հողային ֆոնդի առկայության և բաշխման մասին հաշվետվությունը` 2005 թվականի հունվարի 1-ի դրությամբ` համաձայն NN 8 և 9 հավելվածների:

5. Հայաստանի Հանրապետության կառավարությանն առընթեր անշարժ գույքի կադաստրի պետական կոմիտեի նախագահին` սահմանված կարգով ապահովել սկզբնական հաշվառման նյութերի տրամադրումը Հայաստանի Հանրապետության Լոռու մարզի Օձունի գյուղական համայնքի ղեկավարին` հողերի ընթացիկ հաշվառումն անցկացնելու և համայնքի հողային հաշվեկշիռը կազմելու համար:

6. Թույլատրել Հայաստանի Հանրապետության կառավարությանն առընթեր անշարժ գույքի կադաստրի պետական կոմիտեի նախագահին Հայաստանի Հանրապետության պետական գեոդեզիական ցանցի հավասարակշռման արդյունքների հիման վրա Հայաստանի Հանրապետության վարչատարածքային միավորների սահմանանիշերի կոորդինատների ժողովածուի հրատարակումից հետո հողային ֆոնդի ընթացիկ հաշվառման ժամանակ Հայաստանի Հանրապետության Լոռու մարզի Օձունի գյուղական համայնքի հողային հաշվեկշռում սահմանված կարգով կատարել համապատասխան փոփոխություններ:

7. Հայաստանի Հանրապետության Լոռու մարզպետին` Հայաստանի Հանրապետության կառավարության 2000 թվականի հոկտեմբերի 23-ի N 656 որոշմամբ սահմանված կարգով` սկզբնական հաշվառման տվյալների հիման վրա ապահովել մարզի տարածքում ընթացիկ հաշվառման աշխատանքների իրականացումը:

8. Սույն որոշումն ուժի մեջ է մտնում պաշտոնական հրապարակմանը հաջորդող օրվանից։

 

Հայաստանի Հանրապետության
վարչապետ

Ա. Մարգարյան


2006 թ. օգոստոսի 2
Երևան

Հավելված N 1
ՀՀ կառավարության 2006 թվականի
հունիսի 16-ի N 1060-Ն որոշման

ՀԱՅԱՍՏԱՆԻ ՀԱՆՐԱՊԵՏՈՒԹՅԱՆ ԼՈՌՈՒ ՄԱՐԶԻ ՕՁՈՒՆԻ ԳՅՈՒՂԱԿԱՆ ՀԱՄԱՅՆՔԻ ՎԱՐՉԱԿԱՆ ՍԱՀՄԱՆՆԵՐԻ ՀԱՏԱԿԱԳԻԾԸ
(հավելվածն ուժը կորցրել է 14.10.10 N 1359-Ն)

Հայաստանի Հանրապետության
կառավարության աշխատակազմի
ղեկավար-նախարար
Մ. Թոփուզյան

Հավելված N 2
ՀՀ կառավարության 2006 թվականի
հունիսի 16-ի N 1060-Ն որոշման

ՀԱՅԱՍՏԱՆԻ ՀԱՆՐԱՊԵՏՈՒԹՅԱՆ ԼՈՌՈՒ ՄԱՐԶԻ ՕՁՈՒՆԻ ԳՅՈՒՂԱԿԱՆ ՀԱՄԱՅՆՔԻ ՎԱՐՉԱԿԱՆ ՍԱՀՄԱՆՆԵՐԻ ՆԿԱՐԱԳԻՐԸ
(հավելվածն ուժը կորցրել է 14.10.10 N 1359-Ն)
 

Հայաստանի Հանրապետության
կառավարության աշխատակազմի
ղեկավար-նախարար
Մ. Թոփուզյան

Հավելված N 3
ՀՀ կառավարության 2006 թվականի
հունիսի 16-ի N 1060-Ն որոշման

ՀԱՅԱՍՏԱՆԻ ՀԱՆՐԱՊԵՏՈՒԹՅԱՆ ԼՈՌՈՒ ՄԱՐԶԻ ՕՁՈՒՆԻ ԳՅՈՒՂԱԿԱՆ ՀԱՄԱՅՆՔԻ ՀՈՂԱՇԻՆԱՐԱՐԱԿԱՆ ՀԱՏԱԿԱԳԻԾԸ

Հայաստանի Հանրապետության
կառավարության աշխատակազմի
ղեկավար-նախարար
Մ. Թոփուզյան

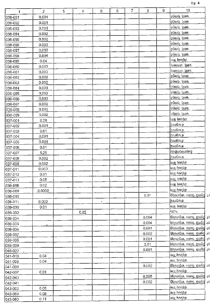
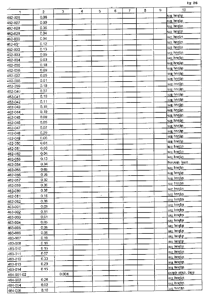
Հավելված N 4
ՀՀ կառավարության 2006 թվականի
հունիսի 16-ի N 1060-Ն որոշման

Ա Ն Վ Ա Ն Ա Ց Ա Ն Կ

ՀԱՅԱՍՏԱՆԻ ՀԱՆՐԱՊԵՏՈՒԹՅԱՆ ԼՈՌՈՒ ՄԱՐԶԻ ՕՁՈՒՆԻ ԳՅՈՒՂԱԿԱՆ ՀԱՄԱՅՆՔԻ ՎԱՐՉԱԿԱՆ ՍԱՀՄԱՆՆԵՐՈՒՄ ԳՏՆՎՈՂ` ՊԵՏԱԿԱՆ ՍԵՓԱԿԱՆՈՒԹՅՈՒՆ ՀԱՆԴԻՍԱՑՈՂ ՀՈՂԵՐԻՑ ՕՁՈՒՆԻ ԳՅՈՒՂԱԿԱՆ ՀԱՄԱՅՆՔԻՆ ԱՆՀԱՏՈՒՅՑ ՓՈԽԱՆՑՎՈՂ ՀՈՂԵՐԻ

Հայաստանի Հանրապետության
կառավարության աշխատակազմի
ղեկավար-նախարար
Մ. Թոփուզյան

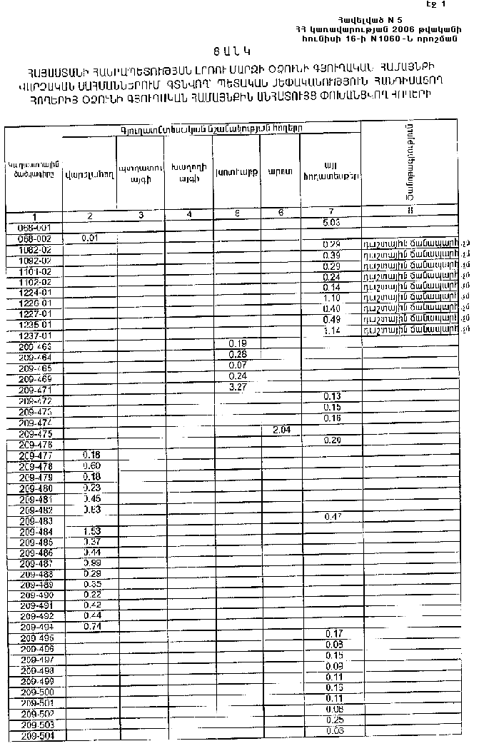
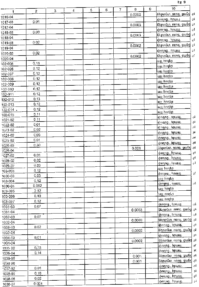
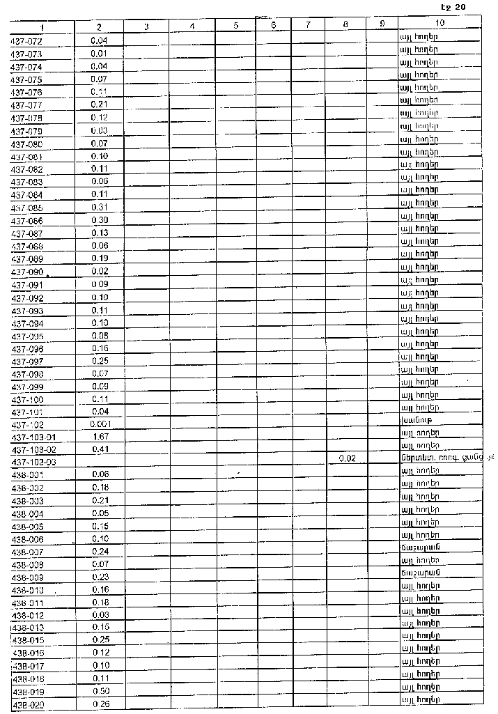
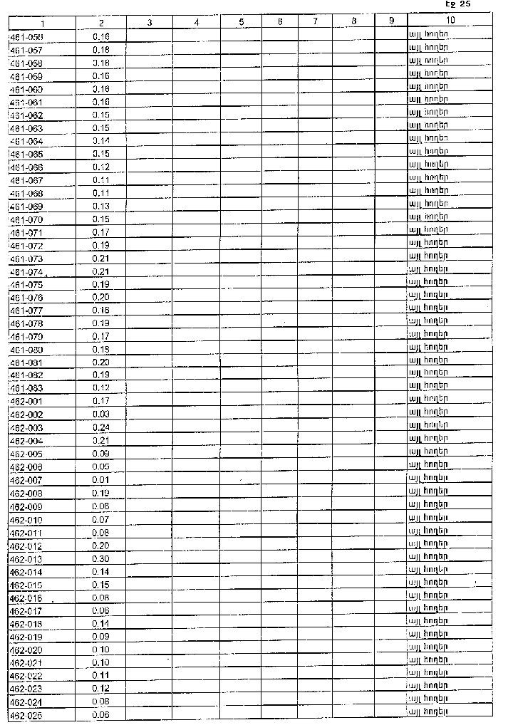
Հավելված N 5
ՀՀ կառավարության 2006 թվականի
հունիսի 16-ի N 1060-Ն որոշման

էջ  1,  2,  3,  4,  5,  6,  7,  8,  9,  10,  11,  12,  13,  14

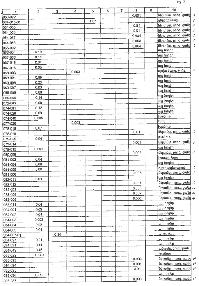
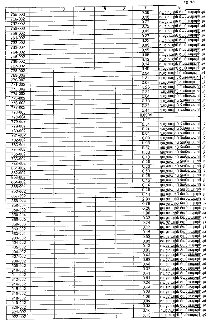
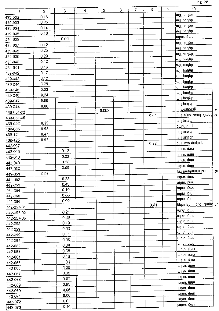
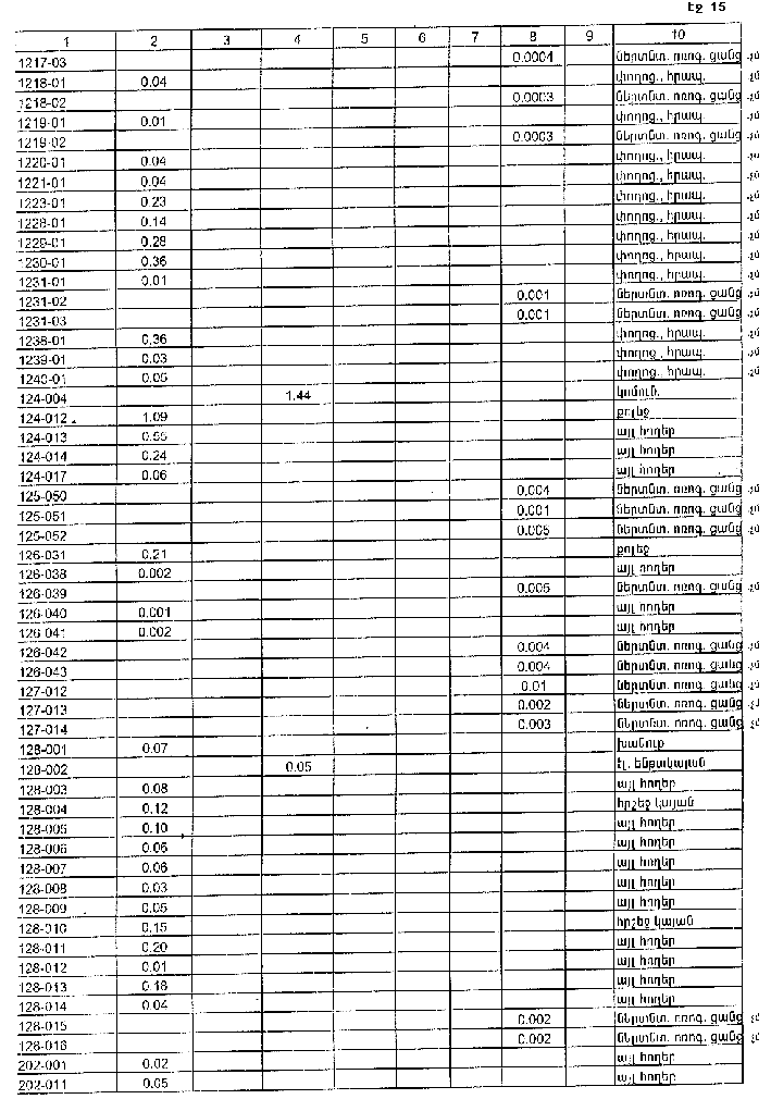
Ց Ա Ն Կ

ՀԱՅԱՍՏԱՆԻ ՀԱՆՐԱՊԵՏՈՒԹՅԱՆ ԼՈՌՈՒ ՄԱՐԶԻ ՕՁՈՒՆԻ ԳՅՈՒՂԱԿԱՆ ՀԱՄԱՅՆՔԻ ՎԱՐՉԱԿԱՆ ՍԱՀՄԱՆՆԵՐՈՒՄ ԳՏՆՎՈՂ` ՊԵՏԱԿԱՆ ՍԵՓԱԿԱՆՈՒԹՅՈՒՆ ՀԱՆԴԻՍԱՑՈՂ ՀՈՂԵՐԻՑ ՕՁՈՒՆԻ ԳՅՈՒՂԱԿԱՆ ՀԱՄԱՅՆՔԻՆ ԱՆՀԱՏՈՒՅՑ ՓՈԽԱՆՑՎՈՂ ՀՈՂԵՐԻ

Հայաստանի Հանրապետության
կառավարության աշխատակազմի
ղեկավար-նախարար
Մ. Թոփուզյան

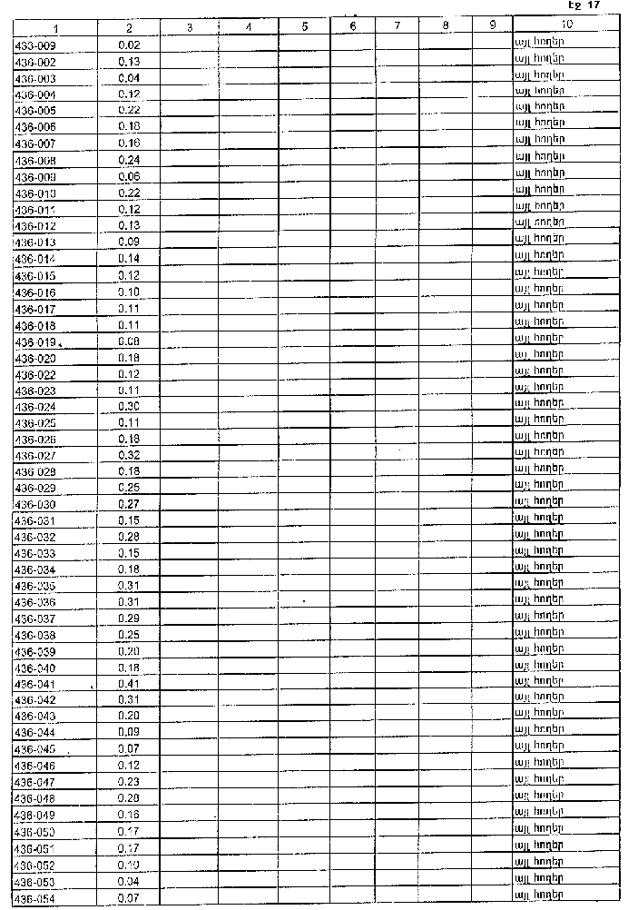
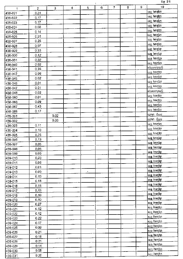
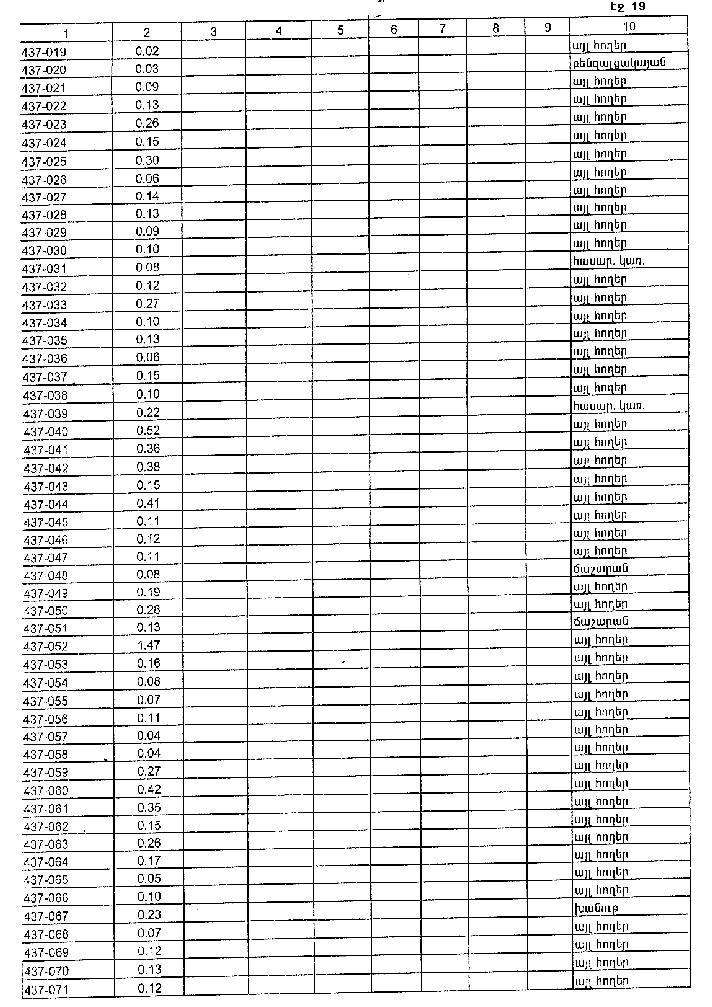
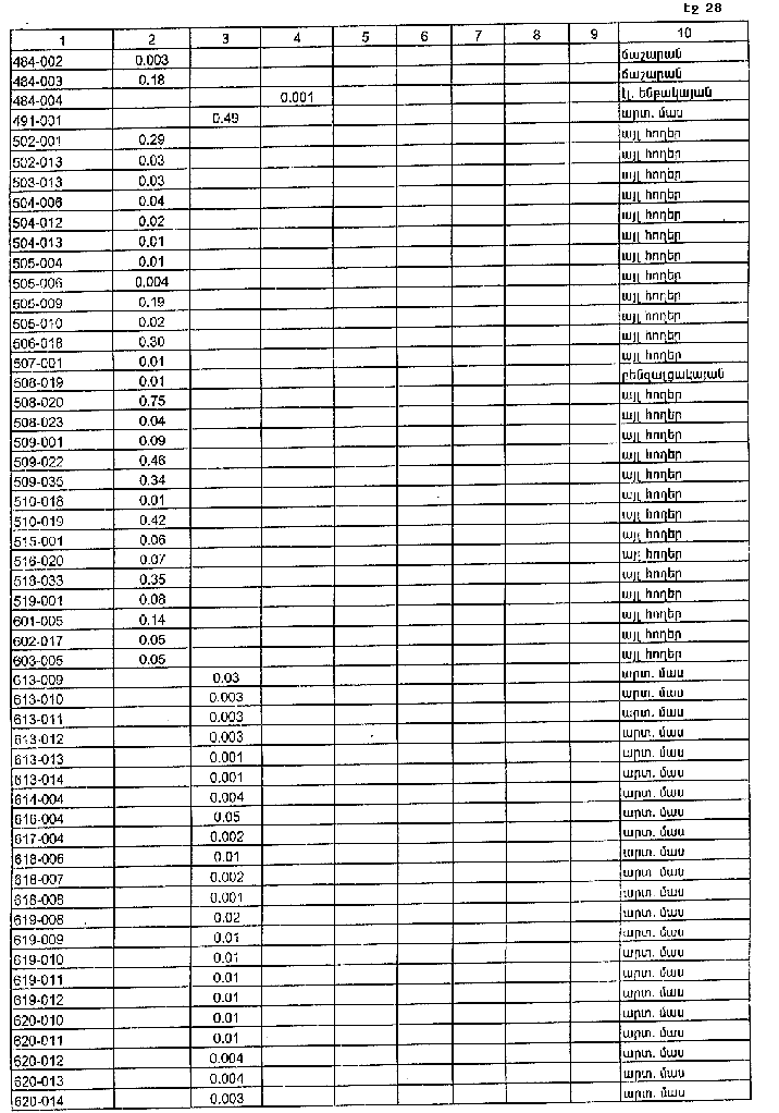
Հավելված N 6
ՀՀ կառավարության 2006 թվականի
հունիսի 16-ի N 1060-Ն որոշման

էջ  1,  2,  3,  4,  5,  6,  7,  8,  9,  10,  11,  12,  13,  14,  15,  16,  17,  18,  19,  20,  21,  22,  23,  24,  25,  26,  27,  28,  29,  30,  31,  3233

Ց Ա Ն Կ

ՀԱՅԱՍՏԱՆԻ ՀԱՆՐԱՊԵՏՈՒԹՅԱՆ ԼՈՌՈՒ ՄԱՐԶԻ ՕՁՈՒՆԻ ԳՅՈՒՂԱԿԱՆ ՀԱՄԱՅՆՔԻ ՎԱՐՉԱԿԱՆ ՍԱՀՄԱՆՆԵՐՈՒՄ ԳՏՆՎՈՂ` ՊԵՏԱԿԱՆ ՍԵՓԱԿԱՆՈՒԹՅՈՒՆ ՀԱՆԴԻՍԱՑՈՂ ՀՈՂԵՐԻՑ ՕՁՈՒՆԻ ԳՅՈՒՂԱԿԱՆ ՀԱՄԱՅՆՔԻՆ ԱՆՀԱՏՈՒՅՑ ՓՈԽԱՆՑՎՈՂ ՀՈՂԵՐԻ
(ըստ նպատակային նշանակության)

Հայաստանի Հանրապետության
կառավարության աշխատակազմի
ղեկավար-նախարար
Մ. Թոփուզյան

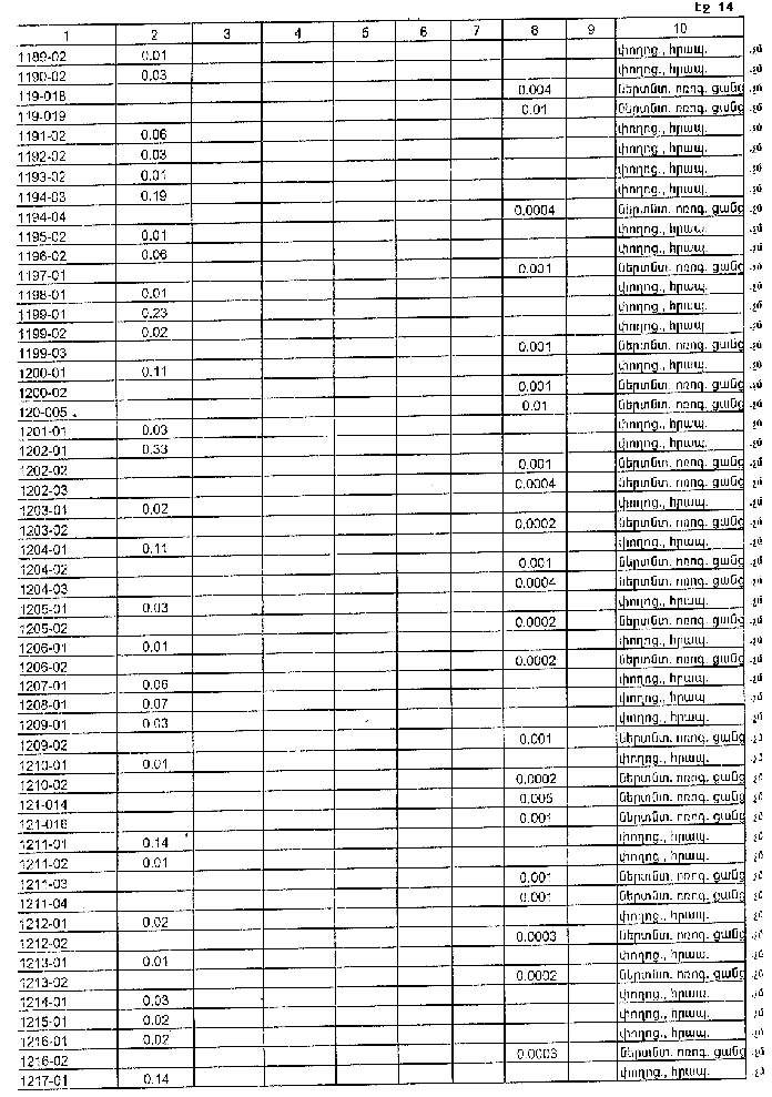
Հավելված N 7
ՀՀ կառավարության 2006 թվականի
հունիսի 16-ի N 1060-Ն որոշման

էջ  1,  2

Ց Ա Ն Կ

ՀԱՅԱՍՏԱՆԻ ՀԱՆՐԱՊԵՏՈՒԹՅԱՆ ԼՈՌՈՒ ՄԱՐԶԻ ՕՁՈՒՆԻ ԳՅՈՒՂԱԿԱՆ ՀԱՄԱՅՆՔԻ ՎԱՐՉԱԿԱՆ ՍԱՀՄԱՆՆԵՐՈՒՄ ԳՏՆՎՈՂ` ՊԵՏԱԿԱՆ ՍԵՓԱԿԱՆՈՒԹՅՈՒՆ ՀԱՆԴԻՍԱՑՈՂ ՀՈՂԵՐԻ 
(ըստ նպատակային նշանակության)

Հայաստանի Հանրապետության
կառավարության աշխատակազմի
ղեկավար-նախարար
Մ. Թոփուզյան

Հավելված N 8
ՀՀ կառավարության 2006 թվականի
հունիսի 16-ի N 1060-Ն որոշման

Հ Ա Շ Վ Ե Տ Վ ՈՒ Թ Յ ՈՒ Ն

ՀԱՅԱՍՏԱՆԻ ՀԱՆՐԱՊԵՏՈՒԹՅԱՆ ԼՈՌՈՒ ՄԱՐԶԻ ՕՁՈՒՆԻ ԳՅՈՒՂԱԿԱՆ ՀԱՄԱՅՆՔԻ ՀՈՂԱՅԻՆ ՖՈՆԴԻ ԱՌԿԱՅՈՒԹՅԱՆ ԵՎ ԲԱՇԽՄԱՆ ՄԱՍԻՆ

Հայաստանի Հանրապետության
կառավարության աշխատակազմի
ղեկավար-նախարար
Մ. Թոփուզյան

Հավելված N 9
ՀՀ կառավարության 2006 թվականի
հունիսի 16-ի N 1060-Ն որոշման

Հ Ա Շ Վ Ե Տ Վ ՈՒ Թ Յ ՈՒ Ն

ՀԱՅԱՍՏԱՆԻ ՀԱՆՐԱՊԵՏՈՒԹՅԱՆ ԼՈՌՈՒ ՄԱՐԶԻ ՕՁՈՒՆԻ ԳՅՈՒՂԱԿԱՆ ՀԱՄԱՅՆՔԻ ՈՌՈԳՎՈՂ ՀՈՂԵՐԻ ԱՌԿԱՅՈՒԹՅԱՆ ԵՎ ԲԱՇԽՄԱՆ ՄԱՍԻՆ

Հայաստանի Հանրապետության
կառավարության աշխատակազմի
ղեկավար-նախարար
Մ. Թոփուզյան

Փոփոխման պատմություն
Փոփոխող ակտ Համապատասխան ինկորպորացիան
14.10.2010, N 1359-Ն 16.06.2006, N 1060-Ն
Փոփոխված ակտ
Փոփոխող ակտ Համապատասխան ինկորպորացիան