ՀԱՅԱՍՏԱՆԻ ՀԱՆՐԱՊԵՏՈՒԹՅԱՆ
ՀԱՆՐԱՅԻՆ ԾԱՌԱՅՈՒԹՅՈՒՆՆԵՐԸ ԿԱՐԳԱՎՈՐՈՂ ՀԱՆՁՆԱԺՈՂՈՎ
|
25 դեկտեմբերի 2019 թվականի |
N 517-Ն |
Ո Ր Ո Շ ՈՒ Մ
Հայաստանի Հանրապետության էլեկտրաէներգետիկական մանրածախ շուկայի առԵՎտրային կանոնները ՀԱՍՏԱՏԵԼՈՒ ԵՎ ՀԱՅԱՍՏԱՆԻ ՀԱՆՐԱՊԵՏՈՒԹՅԱՆ ՀԱՆՐԱՅԻՆ ԾԱՌԱՅՈՒԹՅՈՒՆՆԵՐԸ ԿԱՐԳԱՎՈՐՈՂ ՀԱՆՁՆԱԺՈՂՈՎԻ 2006 ԹՎԱԿԱՆԻ ԴԵԿՏԵՄԲԵՐԻ 27-Ի N 358-Ն ՈՐՈՇՈՒՄՆ ՈՒԺԸ ԿՈՐՑՐԱԾ ՃԱՆԱՉԵԼՈՒ ՄԱՍԻՆ
Հիմք ընդունելով «Էներգետիկայի մասին» օրենքի 17-րդ հոդվածի 1-ին մասի «զ» կետը, «Նորմատիվ իրավական ակտերի մասին» օրենքի 37-րդ հոդվածը` Հայաստանի Հանրապետության հանրային ծառայությունները կարգավորող հանձնաժողովը որոշում է.
1. Հաստատել Հայաստանի Հանրապետության էլեկտրաէներգետիկական մանրածախ շուկայի առևտրային կանոնները` համաձայն հավելվածի:
2. Ուժը կորցրած ճանաչել Հայաստանի Հանրապետության հանրային ծառայությունները կարգավորող հանձնաժողովի 2006 թվականի դեկտեմբերի 27-ի «Էլեկտրական էներգիայի մատակարարման և օգտագործման կանոնները հաստատելու մասին» N 358-Ն որոշումը:
3. Սույն որոշումն ուժի մեջ է մտնում 2021 թվականի փետրվարի 1-ից:
|
Հայաստանի Հանրապետության հանրային ծառայությունները կարգավորող հանձնաժողովի նախագահ՝ |
Գ. Բաղրամյան |
|
Հավելված Հաստատված է Հայաստանի Հանրապետության հանրային ծառայությունները կարգավորող հանձնաժողովի 2019 թվականի դեկտեմբերի 25-ի N 517-Ն որոշմամբ |
ԱՌԵՎՏՐԱՅԻՆ ԿԱՆՈՆՆԵՐ
ՀԱՅԱՍՏԱՆԻ ՀԱՆՐԱՊԵՏՈՒԹՅԱՆ ԷԼԵԿՏՐԱԷՆԵՐԳԵՏԻԿԱԿԱՆ ՄԱՆՐԱԾԱԽ ՇՈՒԿԱՅԻ
ԲԱԺԻՆ 1
ԸՆԴՀԱՆՈՒՐ ԴՐՈՒՅԹՆԵՐ
ԳԼՈՒԽ 1. ԱՌԱՐԿԱՆ ԵՎ ՀԱՍԿԱՑՈՒԹՅՈՒՆՆԵՐԸ
1. Հայաստանի Հանրապետության Էլեկտրաէներգետիկական մանրածախ շուկայի կանոններով (այսուհետ՝ Կանոններ) կանոնակարգվում են` Էլեկտրաէներգետիկական մանրածախ շուկայի (այսուհետ՝ Մանրածախ շուկա) գործունեության սկզբունքները, Մանրածախ շուկայում առևտրի իրականացման կանոնները, էլեկտրական էներգիայի մատակարարման և մատակարարման երաշխավորված ծառայություններին ներկայացվող պահանջները, էլեկտրական էներգիայի բաշխման լիցենզիա ունեցող անձին ներկայացվող պահանջները, Սպառողների կողմից Մատակարարին փոխելու կարգը, սպառած էլեկտրական էներգիայի հաշվառման ու վճարման կարգը, առևտրային հաշվառքի սարքի աշխատանքի ճշտության ստուգման և անճշտության հայտնաբերման դեպքում մատակարարի ու Սպառողի փոխհարաբերությունները, Մանրածախ շուկայում տվյալների պահպանմանը և թափանցիկությանը ներկայացվող պահանջները, ինչպես նաև Մանրածախ շուկայի աշխատանքի արդյունավետության բարձրացմանն ուղղված կանոնները և ընթացակարգերը։
2. Կանոններում օգտագործվող հիմնական հասկացություններն են․
1) Ամրագրված վթարային հզորություն՝ Պայմանագրում ամրագրված այն ակտիվ հզորությունը, որը վթարային ռեժիմներում Պայմանագրով սահմանված ժամկետում պարտավոր է ապահովել Բաշխողը մարդկանց կյանքի, գույքի և շրջակա միջավայրի անվտանգությունն ապահովող էլեկտրասարքավորումների աշխատանքն ապահովելու համար,
2) Ամրագրված տեխնոլոգիական հզորություն՝ Պայմանագրում ամրագրված այն ակտիվ հզորությունը, որը Պայմանագրով սահմանված ժամկետում պարտավոր է ապահովել Բաշխողը արտադրության մեջ գտնվող հումքի վերամշակումը մինչև վերջ հասցնելու կամ առանց արտադրական սարքավորումների վնասման հումքն արտադրությունից առանց խոտանի հանելու համար,
3) Ակցեպտ՝ Հանձնաժողովի հաստատած օրինակելի ձևին համապատասխան՝ Սպառողի կողմից Բաշխողի Օֆերտայի պայմանների լրիվ և անվերապահ ընդունումը,
4) Ապօրինի սպառում՝ առանց Պայմանագրի էլեկտրական էներգիայի սպառում,
5) Առավելագույն հզորություն՝ էլեկտրական ակտիվ հզորության կեսժամյա միջին առավելագույն մեծությունը, որն ամրագրվում է Պայմանագրով,
6) Առևտրային հաշվիչ` Պայմանագրում ամրագրված էլեկտրական էներգիայի (հզորության) առևտրային հաշվառման հաշվիչ.
7) Առևտրային Հաշվառքի սարքի խախտում՝ Չափագիտական մարմնի կողմից հաստատված՝ չափագիտական փորձաքննության եզրակացությամբ փաստված առևտրային Հաշվառքի սարքի առանձին բաղադրիչների խափանումները կամ դրանց վնասվածքները կամ առևտրային Հաշվառքի սարքի կնիքների բացակայությունը կամ դրանց կեղծված, կամ վնասված լինելը,
8) Բաշխման ցանցային կանոններ՝ Հանձնաժողովի հաստատած՝ Հայաստանի Հանրապետության էլեկտրաէներգետիկական շուկայի բաշխման ցանցային կանոններ,
9) Բաշխող՝ էլեկտրական էներգիայի բաշխման լիցենզիա ունեցող անձ,
10) Բաշխման ծառայություն՝ Բաշխողի կողմից Օրենքի, էլեկտրական էներգիայի բաշխման լիցենզիայի, Կանոններին, Բաշխման ցանցային կանոնների համաձայն մատուցվող ծառայություն,
11) Բնակիչ-բաժանորդ՝ կենցաղային նպատակներով (բնակարան, ավտոտնակ, այգեգործարան տնակ) էլեկտրական էներգիան օգտագործող ֆիզիկական անձ,
12) Գաղտնապահական տեղեկատվություն՝ լիցենզավորված անձի ֆինանսական վիճակի և առևտրային գաղտնիքների վերաբերյալ տեղեկատվությունը կամ այլ տեղեկություններ, որոնց հրապարակումը կարող է վնասել լիցենզավորված անձին, ինչպես նաև Սպառողներին վերաբերող՝ լիցենզավորված անձի մոտ առկա տեղեկությունները,
13) Ենթասպառող` Սպառող, որի էներգամատակարարումն իրականացվում է այլ Սպառողի սպառման համակարգից, և որն էլեկտրական էներգիայի մատակարարման նպատակով ունի Բաշխողի/Երաշխավորված մատակարարի կամ Մատակարարի հետ սահմանված կարգով կնքված պայմանագիր,
14) Երաշխավորված մատակարար՝ Էլեկտրական էներգիայի երաշխավորված մատակարարի լիցենզիա ունեցող անձ,
15) Ինքնավար էներգաարտադրող՝ սեփական կարիքների բավարարման համար էլեկտրական էներգիա արտադրող իրավաբանական կամ ֆիզիկական անձ, որի տեղակայանքների դրվածքային հզորությունը չի գերազանցում էլեկտրական էներգիայի իր սպառիչների տեղակայված ընդհանուր հզորությունը, բայց ոչ ավելի քան Օրենքով ամրագրված հզորությունը,
16) Խոցելի Սպառող՝ բնակիչ բաժանորդ, որը Հայաստանի Հանրապետության կառավարության կողմից սահմանված կարգով ստացել է խոցելի Սպառողի կարգավիճակ՝ հաշվի առնելով վերջինիս սոցիալապես անապահով լինելու կամ հատուկ կարգավիճակ ունենալու հանգամանքը,
17) Հաղորդման ցանցային կանոններ՝ Հանձնաժողովի հաստատած՝ Հայաստանի Հանրապետության էլեկտրաէներգետիկական շուկայի հաղորդման ցանցային կանոններ,
18) Համակարգի օպերատոր՝ էլեկտրաէներգետիկական համակարգի օպերատորի ծառայության մատուցման լիցենզիա ունեցող անձ,
19) Հանձնաժողով՝ Հայաստանի Հանրապետության հանրային ծառայությունները կարգավորող հանձնաժողով,
20) Հաշվառքի սարք` Չափագիտական մարմնի կողմից ստուգաչափված էլեկտրական էներգիայի հաշվիչ կամ էլեկտրական էներգիայի հաշվիչի, հոսանքի և լարման չափիչ տրանսֆորմատորների միացությունների համախումբ,
21) Մանրածախ շուկայի մասնակիցներ՝ Մատակարար, Երաշխավորված մատակարար, Ինքնավար էներգաարտադրողները և Սպառողները (բացառությամբ որակավորված Սպառողների),
22) Մեծածախ շուկայի առևտրային կանոններ՝ Հանձնաժողովի հաստատած էլեկտրաէներգետիկական մեծածախ շուկայի (այսուհետ՝ Մեծածախ շուկա) առևտրային կանոններ,
23) Մատակարար՝ Էլեկտրական էներգիայի մատակարարման լիցենզիա ունեցող անձ,
24) Մատակարարման պայմանագիր՝ Մատակարարի և Սպառողի միջև կնքվող էլեկտրական էներգիայի մատակարարման պայմանները սահմանող պայմանագիր,
25) Շուկայի օպերատոր՝ էլեկտրաէներգետիկական Շուկայի օպերատորի ծառայությունների մատուցման լիցենզիա ունեցող անձ,
26) Որակավորված Սպառող՝ սեփական դիմումի հիման վրա հանձնաժողովի հաստատած՝ Մեծածախ շուկայի կանոններով սահմանված չափանիշներին համապատասխանելու հիմքով էլեկտրաէներգետիկական շուկայի օպերատորի կողմից որակավորված ճանաչված Սպառող,
27) Չափագիտական մարմին՝ «Չափումների միասնականության ապահովման մասին» Հայաստանի Հանրապետության օրենքով սահմանված պետական չափագիտական հսկողություն իրականացնող կազմակերպություն,
28) Պայմանագիր՝ Հանձնաժողովի հաստատած օրինակելի ձևին համապատասխան՝ Սպառման համակարգն էլեկտրական ցանցին միացման, էլեկտրական էներգիայի բաշխման և էլեկտրական էներգիայի երաշխավորված մատակարարման կամ էլեկտրական էներգիայի բաշխման ծառայության մատուցման և էլեկտրական էներգիայի երաշխավորված մատակարարման մասին պայմանագիր,
29) Սակագին՝ էլեկտրական էներգիայի միավորի վաճառքի, էներգետիկայի բնագավառում լիցենզավորված գործունեության մատուցվող ծառայությունների համար Հանձնաժողովի կողմից Օրենքին համապատասխան սահմանված առավելագույն գին կամ վճար,
30) Սահմանազատման կետ` էլեկտրակայանքների հաշվեկշռային պատկանելության սահման,
31) Սպառող՝ էլեկտրական էներգիայի սպառման պահանջարկ ունեցող անձ, որն էներգիայի մատակարարման պայմանագիր է կնքել մատակարարման լիցենզիա ունեցող անձի (ներառյալ՝ երաշխավորված մատակարարի) հետ կամ գտնվում է այդ գործընթացում,
32) Սպառողի սպառման համակարգ՝ Սպառողի կամ նոր Սպառողի էլեկտրատեղակայանքների համախումբ,
33) Վերստուգիչ հաշվիչ՝ Պայմանագրում ամրագրված էլեկտրաէներգիայի վերստուգիչ հաշվառման հաշվիչ,
34) Օրենք՝ «Էներգետիկայի մասին» Հայաստանի Հանրապետության օրենք,
35) Օֆերտա՝ Բաշխման ծառայության մատուցման և էլեկտրական էներգիայի Երաշխավորված մատակարարման մասին Բաշխողի կողմից հրապարակային առաջարկ, որի օրինակելի ձևը հաստատում է Հանձնաժողովը։
ԳԼՈՒԽ 2. ՄԱՆՐԱԾԱԽ ՇՈՒԿԱՅԻ նպատակներն ու գործունեության սկզբունքները
3. Կանոնների համաձայն՝ Մանրածախ շուկայի նպատակներն են ապահովել՝
1) Էլեկտրաէներգետիկական մանրածախ շուկայի գործունեության թափանցիկ պայմաններ,
2) Խոցելի Սպառողների շահերի պաշտպանություն՝ կարգավորման մեխանիզմների կիրառմամբ,
3) բաշխման ցանցի ոչ խտրական մուտքի իրավունքի երաշխավորում,
4) Սպառողի կողմից Մատակարարի փոխելու հնարավորություն։
4. Մանրածախ շուկան հիմնված է հետևյալ սկզբունքների վրա․
1) մանրածախ շուկայում Երաշխավորված մատակարարի կողմից Սպառողներին էլեկտրական էներգիայի վաճառք` կարգավորվող սակագներով, իսկ Մատակարարի կողմից՝ չկարգավորվող գներով,
2) Սպառողի կողմից Մատակարարին փոխելու հնարավորության ապահովում,
3) Սպառողին Երաշխավորված մատակարարի կողմից էլեկտրական էներգիայի մատակարարման ապահովում,
4) Խոցելի Սպառողների շահերի պաշտպանություն՝ տարբերակված Սակագների կիրառմամբ,
5) էլեկտրական էներգիայի սպասարկման որակի ցուցանիշների խախտման դեպքում՝ Բաշխողի պատասխանատվություն,
6) Երաշխավորված մատակարարի, Մատակարարի և Բաշխողի կողմից Սպառողին տեղեկատվության հասանելիության ապահովում:
ԳԼՈՒԽ 3. ՏԵՂԵԿԱՏՎՈՒԹՅԱՆ ՏՐԱՄԱԴՐՈՒՄ ԵՎ ԾԱՆՈՒՑՈՒՄ
5. Կանոնների շրջանակում՝ Մանրածախ շուկայի մասնակիցների և Բաշխողի միջև տեղեկատվության փոխանակումը հրապարակային է, եթե այն Օրենքի համաձայն կամ այն ներկայացրած անձի կողմից չի համարվում գաղտնի (նշված չէ որպես «Գաղտնապահական տեղեկատվություն»): Գաղտնիք պարունակող տեղեկատվություն ստանալիս և այն օգտագործելիս՝ համապատասխան անձն ապահովում է դրա գաղտնիությունը և պատասխանատվություն կրում դրա ոչ օրինական հրապարակման համար:
6. Մանրածախ շուկայի մասնակիցները և Բաշխողը իրավասու են բացահայտել գաղտնիք պարունակող տեղեկատվությունը օրենքով սահմանված դեպքերում և կարգով և պատասխանատվություն է կրում տեղեկատվության գաղտնիության վերաբերյալ օրենսդրության պահանջների խախտման համար։
7. Երաշխավորված մատակարարի, Մատակարարի և Բաշխողի կողմից Սպառողին ներկայացված տեղեկատվությունը, որում այնուհետև հայտնաբերվել են սխալներ, պետք է ուղղվի տեղեկատվությունը տրամադրած անձի կողմից՝ սխալի հայտնաբերումից հետո հնարավորինս սեղմ ժամկետներում, բայց ոչ ավելի, քան 3 աշխատանքային օրը։
8. Կանոնների շրջանակում՝ Մանրածախ շուկայի մասնակիցների և Բաշխողի միջև տեղեկատվության փոխանակումը, ինչպես նաև փաստաթղթերի հանձնումը համարվում է պատշաճ ձևով կատարված, եթե դրանք ուղարկվել են պատվիրված նամակով` հանձնման մասին ծանուցմամբ կամ հաղորդագրության ձևակերպումն ապահովող կապի այլ միջոցների օգտագործմամբ (այդ թվում` Սպառողի կողմից նշված հեռախոսահամարին հաղորդագրություն ուղարկելով) կամ էլեկտրոնային համակարգի միջոցով (այդ թվում` Սպառողի կողմից նշված էլեկտրոնային փոստի միջոցով), ինչպես նաև օրենսդրությամբ սահմանված էլեկտրոնային կապի այլ միջոցներով, կամ հանձնվել են ստացականով, եթե Կանոններով տեղեկացման կամ փաստաթղթերի հանձնման այլ ձև նախատեսված չէ:
9. Կանոններով նախատեսված ցանկացած գրառում կամ փաստաթուղթ պետք է պահպանվի առնվազն հինգ տարի ժամկետով, բայց ոչ պակաս, քան տվյալ տեսակի փաստաթղթերի պահպանության համար Հայաստանի Հանրապետության օրենսդրությամբ սահմանված ժամկետով: Գրառումը ներառում է որևէ կերպ գրանցված ցանկացած տեղեկատվություն, լինի դա տպագիր, էլեկտրոնային կամ այլ տեսակի:
ԳԼՈՒԽ 4. ՎԵՃԵՐԻ (ՏԱՐԱՁԱՅՆՈՒԹՅՈՒՆՆԵՐԻ) ԼՈՒԾՈՒՄ
10. Մանրածախ շուկայի մասնակիցները և Բաշխողը Կանոնների դրույթները չկատարելու կամ ոչ պատշաճ կատարելու համար պատասխանատվություն են կրում Օրենքով և Պայմանագրով սահմանված կարգով:
11. Մանրածախ շուկայի մասնակիցները Կանոններով սահմանված պարտավորությունների խախտման համար պատասխանատվություն չեն կրում, եթե այն հետևանք է ֆորս մաժորի:
12. Կանոնների իմաստով ֆորս մաժոր է համարվում ցանկացած հանգամանք կամ դեպք (դրա հետևանք), որը հանգեցրել է (հանգեցնում կամ կարող է հանգեցնել) Կանոններով սահմանված պարտավորությունների չկատարման կամ ոչ պատշաճ կատարման և միաժամանակ բավարարում է հետևյալ պայմանները՝
1) չի գտնվում Մանրածախ շուկայի մասնակցի կամ Բաշխողի վերահսկողության ներքո,
2) Մանրածախ շուկայի մասնակիցը և Բաշխողը ձեռնարկել է բոլոր անհրաժեշտ միջոցները և գործադրել ջանքերը (այդ թվում՝ նախազգուշական, այլընտրանքային, օրենսդրությամբ նախատեսված) նշված հանգամանքները (հետևանքները) կանխելու, վերացնելու, մեղմելու կամ դրանցից խուսափելու համար,
3) տեղեկացրել է մյուս կողմին իրազեկվելուց հետո հնարավորինս սեղմ ժամկետում, բայց ոչ ուշ, քան այդ մասին իրազեկվելուց հետո 10 օրվա ընթացքում:
13. Կանոնների իմաստով, մասնավորապես, ֆորս մաժոր են՝
1) բնական և տեխնածին աղետները, համաճարակները, բնության ուժերի արտասովոր դրսևորումները (այդ թվում՝ ջրհեղեղներ, երկրաշարժեր, փոթորիկներ, պտտահողմեր, կայծակով և ամպրոպով ուղղորդվող հորդառատ անձրևներ, ձնաբքեր, սողանքներ), ատոմային, քիմիական կամ կենսաբանական աղտոտում, գործադուլները, հասարակական անկարգությունները,
2) ապստամբությունները, ահաբեկչությունները, պատերազմները, ներխուժումներ, զինված հակամարտություններ, արտաքին թշնամու գործողություններ կամ շրջափակում, որոնցից յուրաքանչյուրը տեղի է ունենում Հայաստանի տարածքում, կամ ներգրավում է այն, ինչը գոյություն չի ունեցել կամ չէր կարող ողջամտորեն կանխատեսվել,
3) պետական և տեղական ինքնակառավարման մարմնի կամ այլ իրավասու կազմակերպության ակտը, գործողությունը կամ անգործությունը այն դեպքում, երբ դրա արդյունքում չի տրամադրվել, երկարաձգվել պայմանագրային պարտավորության կատարման համար անհրաժեշտ որևէ թույլտվություն կամ իրավունք կամ խոչընդոտվել է այդ պարտավորության կատարումը, պայմանով, որ Մանրածախ շուկայի մասնակիցը և Բաշխողը գործել են համաձայն օրենսդրության:
14. Մանրածախ շուկայի մասնակիցների և Բաշխողի միջև առաջացող բոլոր վեճերը (տարաձայնությունները) կարգավորվում են բանակցությունների միջոցով:
15. Վեճը (տարաձայնությունը) կողմերի համաձայնությամբ չկարգավորվելու դեպքում վեճի (տարաձայնության) ցանկացած կողմ կարող է դիմել Հանձնաժողով` վերջինիս իրավասությունների շրջանակում վիճարկվող հարցերը լուծելու խնդրանքով, ինչպես նաև վեճի լուծումը հանձնել իրավասու դատարանին։
ԲԱԺԻՆ 2
ՄԱՆՐԱԾԱԽ ՇՈՒԿԱՅՈՒՄ ԱՌԵՎՏՐԻ ԻՐԱԿԱՆԱՑՄԱՆ ԿԱՆՈՆՆԵՐԸ
ԳԼՈՒԽ 5. ԸՆԴՀԱՆՈՒՐ ԴՐՈՒՅԹՆԵՐ
16. Սպառողները Մանրածախ շուկայում էլեկտրական էներգիա կարող են գնել իրենց ընտրությամբ Երաշխավորված մատակարարից կամ Մատակարարից, բացառությամբ Խոցելի Սպառողների, որոնք էլեկտրական էներգիա կարող են գնել միայն Երաշխավորված մատակարարից։
17. Մանրածախ շուկայում էլեկտրական էներգիայի բաշխումը և երաշխավորված մատակարարումն իրականացվում է Պայմանագրի հիման վրա, որի կնքումը յուրաքանչյուր Սպառողի համար պարտադիր է, իսկ էլեկտրական էներգիայի մատակարարումը՝ Մատակարարման պայմանագրի հիման վրա:
18. Սպառողի կողմից Մատակարարի, ներառյալ Երաշխավորված մատակարարի, փոփոխությունը իրականացվում է Կանոնների համաձայն՝ տարեկան ոչ ավելի, քան 4 անգամ։
19. Այն դեպքերում, երբ Սպառողի սպառման համակարգերը մեկից ավելի են (անկախ դրանց գտնվելու վայրից և սնող գծերի քանակից), վերջինս իրավունք ունի էլեկտրական էներգիայի մատակարարման համար կնքել մեկ միասնական Պայմանագիր կամ յուրաքանչյուր սպառման համակարգի համար կնքել առանձին Պայմանագիր:
20. Չի թույլատրվում Սպառողներից պահանջել կատարել վճարումներ, տրամադրել հատուցում, ներկայացնել տեղեկատվություն և փաստաթղթեր կամ նրանց ծանրաբեռնել պարտավորություններով, եթե դրանք սահմանված չեն Կանոններով, Պայմանագրով կամ այլ նորմատիվ իրավական ակտերով։
21. Մեծածախ շուկայի կանոններով սահմանված կարգով Համակարգի օպերատորի կողմից վթարային կամ անհաղթահարելի ուժի հետևանքով առաջացած իրավիճակ հայտարարվելու դեպքում Մանրածախ շուկայի մասնակիցները գործում են Բաշխողի կարգավարական հրահանգներով։
22. Ինքնավար էներգաարտադրողի և Բաշխողի միջև իրականացվող ՎԷ փոխհոսքերի շրջանակում մատակարարված էլեկտրական էներգիայի դիմաց հատուցումը տրամադրում է Կանոնների N 1 հավելվածով սահմանված կարգով՝ Կանոնների 17-րդ կետով նախատեսված Պայմանագրից բացի կնքելով նաև Հանձնաժողովի հաստատած օրինակելի ձևին համապատասխան էլեկտրական էներգիայի մատակարարման և հատուցման պայմանագիր:
23. Ինքնավար էներգաարտադրողի և Բաշխողի միջև իրականացվող ՎԷ փոխհոսքերի շրջանակում մատակարարված էլեկտրական էներգիայի դիմաց հատուցում տրամադրելու կարգավորումները չեն գործում, երբ Ինքնավար էներգաարտադրողն իրականացնում է էլեկտրական էներգիայի առուվաճառք Մեծածախ շուկայում։
24. Հանձնաժողովի սահմանած կարգին համապատասխան՝ Սպառողը պարտավոր է իր էլեկտրակայանքներով փոխանցել էլեկտրական էներգիան, որը նախատեսված է Ենթասպառողների կամ Բաշխողի այլ ցանցերի սնման համար: Սպառողի կողմից Բաշխողին փոխանցման ծառայության համար մատուցված ծախսերը փոխհատուցվում են ամեն ամիս Բաշխողի կողմից՝ կողմերի միջև կնքված պայմանագրով սահմանված կարգով։
ԳԼՈՒԽ 6. ԵՐԱՇԽԱՎՈՐՎԱԾ ՄԱՏԱԿԱՐԱՐՄԱՆ ԾԱՌԱՅՈՒԹՅԱՆԸ ՆԵՐԿԱՅԱՑՎՈՂ ՊԱՀԱՆՋՆԵՐԸ
25. Երաշխավորված մատակարարը Մանրածախ շուկայում իրականացնում է՝
1) էլեկտրական էներգիա մատակարարում յուրաքանչյուր Սպառողի, որի սպառման համակարգը սահմանված կարգով միացված է բաշխման, հաղորդման կամ այլ Սպառողի ցանցին, Բաշխողի հետ կնքել է Պայմանագիր և տվյալ ժամանակահատվածում չունի Մատակարարման պայմանագիր այլ Մատակարարի հետ,
2) Կանոնների պայմաններով էլեկտրական էներգիա մատակարարում բոլոր այն Սպառողներին, որոնց ընտրած Մատակարարի կողմից էլեկտրական էներգիայի մատակարարում չի իրականացվում՝ Սպառողից անկախ պատճառներով, այն դեպքում, երբ Սպառողը գրավոր դիմել է Երաշխավորված մատակարարի՝ Կանոնների ԳԼՈՒԽ 11-ով սահմանված պայմաններով մատակարարում իրականացնելու համար,
3) Էլեկտրական էներգիայի մատակարարումը Սպառողներին կատարում է Հանձնաժողովի կողմից սահմանած սակագներով,
4) Ապահովում է Խոցելի Սպառողների էլեկտրամատակարարումը,
5) Հանձնաժողովին ներկայացնում է ամսական գնված, վաճառված էլեկտրական էներգիայի վերաբերյալ հաշվետվություններ՝ համաձայն վերջինիս կողմից հաստատված ձևերի,
6) Կատարում է Պայմանագրերով սահմանված այլ պարտավորություններ։
ԳԼՈՒԽ 7. ԷԼԵԿՏՐԱԿԱՆ ԷՆԵՐԳԻԱՅԻ ԲԱՇԽՄԱՆ ԼԻՑԵՆԶԻԱ ՈՒՆԵՑՈՂ ԱՆՁԻՆ ՆԵՐԿԱՅԱՑՎՈՂ ՊԱՀԱՆՋՆԵՐԸ
26. Բաշխման լիցենզիա ունեցող անձը պարտավոր է էլեկտրական էներգիայի բաշխման ծառայություն մատուցել բաշխման ցանցին միացած բոլոր Սպառողներին՝ ոչ խտրական պայմաններով։
27. Բաշխման լիցենզիա ունեցող անձը՝
1) Տրամադրում է տեղեկատվություն Մատակարարի հետ պայմանագիր կնքած Սպառողին մատակարարված էլեկտրական էներգիայի քանակի, ինչպես նաև մատուցված բաշխման ծառայության արժեքի մասին տեղեկատվության,
2) Կանոնների համաձայն ներկայացնում է հաշվարկային փաստաթղթեր մատուցված բաշխման ծառայության և (կամ) Երաշխավորված մատակարարի կողմից մատակարարված էլեկտրական էներգիայի արժեքի համար՝ Կանոններով սահմանված դեպքում նշված տեղեկատվությունը տեղակայելով իր հետ պայմանագիր կնքած ՀՀ գործող բանկերի, վճարահաշվարկային կազմակերպությունների, փոստային բաժանմունքների սպասարկման կետերում,
3) կատարում է առևտրային հաշվառքի սարքերի տվյալների գրանցում և ներկայացում Մատակարարին և Երաշխավորված մատակարարին,
4) Սպառողի գրավոր դիմումն ստանալուց հետո 10 աշխատանքային օրվա ընթացքում տրամադրում է գրավոր տեղեկատվություն կամ պարզաբանում վերջինիս հարցադրումների` ներառյալ Պայմանագրի կնքման ընթացակարգի, էլեկտրամատակարարման ընդհատումների, դադարեցումների պատճառների և վերականգնման ժամկետների, մատուցվող բաշխման ծառայության և (կամ) երաշխավորված մատակարարի կողմից մատակարարված էլեկտրական էներգիայի արժեքի և քանակի, բաշխման ծառայության և երաշխավորված մատակարարման սակագների, վճարման ժամկետների, դրանց խախտման տույժերի, մատակարարի կողմից մատակարարված էլեկտրական էներգիայի քանակի, ինչպես նաև իր կողմից մատուցվող ծառայությունների հետ կապված այլ հարցերի վերաբերյալ և Հանձնաժողովի սահմանած կարգով ապահովում Սպառողների ներկայացրած դիմումների գրանցումը,
5) սույն կետի 4)-րդ ենթակետով սահմանված տեղեկատվությունն Սպառողին տրամադրում է նաև շուրջօրյա գործող հեռախոսով և Հանձնաժողովի սահմանած կարգով ապահովում Սպառողների հարցումների գրանցումը,
6) սպասարկման գրասենյակներում և պաշտոնական կայքում տեղադրում է՝
ա․ Պայմանագրի և Ակցեպտի օրինակելի ձևերը, Պայմանագրի կնքման համար պահանջվող տեղեկատվությունն ու փաստաթղթերը,
բ․ Սպառողների սպասարկման որակի ցուցանիշները,
գ․ էլեկտրաէներգիայի բաշխման ծառայության և երաշխավորված մատակարարման դիմաց վճարների հաշվարկի և վճարման կարգը, դրա խախտման հետևանքները,
դ. Սպառողների կողմից բողոքների և դիմումների ներկայացման և Բաշխողի կողմից դրանց պատասխանելու կարգը։
ԳԼՈՒԽ 8. ՄԱՏԱԿԱՐԱՐՄԱՆ ԾԱՌԱՅՈՒԹՅՈՒՆՆԵՐԻՆ ՆԵՐԿԱՅԱՑՎՈՂ ՊԱՀԱՆՋՆԵՐԸ
28. Մատակարարը էլեկտրական էներգիան մատակարարում է լիցենզիայի պայմաններին, Կանոններին ու Սպառողի հետ կնքված պայմանագրի պահանջներին համապատասխան՝ չկարգավորվող գներով։
29. Մանրածախ շուկայում Մատակարարի կողմից Սպառողին Էլեկտրական էներգիան մատակարարվում է Մատակարար-Սպառող Մատակարարման պայմանագրի հիման վրա:
30.Մատակարարը Մեծածախ շուկայում գնվող էլեկտրական էներգիան կարող է Մանրածախ շուկայում Սպառողին մատակարարել հետևյալ պայմաններով․
1) Սպառողը Կանոնների 17-րդ կետով սահմանված կարգով Բաշխողի հետ կնքված Պայմանագրի հիման վրա ստանում է էլեկտրական էներգիայի բաշխման ծառայություն,
2) Մատակարարը էլեկտրական էներգիան մատակարարում է Սպառողին Սահմանազատման կետում, որտեղ ապահովված է Հաշվառքի սարքերի տվյալների փոխանցումը Էլեկտրաէներգետիկական մեծածախ շուկայի կառավարման ծրագրային համակարգ.
31. Մատակարարը՝
1) Սպառողին անվճար տրամադրում է իր կողմից մատակարարված էլեկտրական էներգիայի քանակի և արժեքի մասին տեղեկատվություն, իսկ օրենքով սահմանված դեպքերում նաև հաշիվ՝ Կանոնների 8-րդ կետով սահմանված կարգով,
2) Սպասարկման գրասենյակներում առկայության դեպքում՝ Սպառողներին հասանելի տեղում, ինչպես նաև իր պաշտոնական կայքում տեղադրում է պայմանագրի կնքման համար անհրաժեշտ փաստաթղթերի ցանկը։
ԳԼՈՒԽ 9. ԷԼԵԿՏՐԱԿԱՆ ԷՆԵՐԳԻԱՅԻ ԲԱՇԽՄԱՆ ԾԱՌԱՅՈՒԹՅԱՆ ՄԱՏՈՒՑՄԱՆ ԵՎ ԵՐԱՇԽԱՎՈՐՎԱԾ ՄԱՏԱԿԱՐԱՐՄԱՆ ՊԱՅՄԱՆԱԳՐԻ ԿՆՔՈՒՄԸ, ՓՈՓՈԽՈՒՄԸ ԵՎ ԼՈՒԾՈՒՄԸ
32. Էլեկտրական էներգիայի բաշխման ծառայության մատուցման և երաշխավորված մատակարարման պայմանագիրը հրապարակային պայմանագիր է, որը կնքում է Սպառողը Հանձնաժողովի հաստատած օրինակելի ձևին համապատասխան ներկայացված Ակցեպտի հիման վրա:
33. Պայմանագիրն ուժի մեջ է մտնում Ակցեպտը Բաշխողի կողմից հաստատվելու պահից։
34. Ակցեպտը Բաշխողին ներկայացվում է գրավոր ձևով՝ կամ թղթային փաստաթղթի տեսքով (Սպառողի ձեռագիր ստորագրությամբ), կամ էլ՝ էլեկտրոնային հաղորդակցության այնպիսի միջոցով, որը հնարավորություն է տալիս Բաշխողին հաստատելու դրա իսկությունը և ճշգրիտ որոշելու, որ այն ելնում է Սպառողից (օրինակ, Սպառողի էլեկտրոնային թվային ստորագրությամբ հաստատված տեսքով կամ Սպառողի կողմից նախապես տրամադրված էլեկտրոնային փոստի հասցեից (անկախ էլեկտրոնային թվային ստորագրության առկայությունից) ուղարկում Բաշխողի պաշտոնական էլեկտրոնային փոստի հասցեին, Սպառողի կողմից անհրաժեշտ տեղեկատվության ուղարկում և պահանջվող կարգավորումների իրականացում՝ Բաշխողի կայքէջում Սպառողի համար բացված անձնական էջից՝ իրեն տրամադրված մուտքանվան ու գաղտնաբառի գործադրմամբ և Կանոնների 8-րդ կետով սահմանված կարգով:
35. Ակցեպտը թղթային կամ էլեկտրոնային տեսքով ստացած Բաշխողը պարտավոր է տեղում կամ մեկ աշխատանքային օրվա ընթացքում հաստատել դրա ընդունումը և Սպառողին տեղեկացնել Պայմանագիրը կնքված լինելու մասին՝ վերջինիս տրամադրելով նաև Սպառողի համար բացված անձնական էջի մուտքանուն և ծածկագիր, ինչպես նաև Կանոնների 36-րդ կետում նշված տեղեկատվությունը, կամ հայտնել Սպառողին Ակցեպտում առկա էական թերությունների կամ համաձայնեցման ենթակա դրույթների մասին, որոնց առկայությունը թույլ չի տալիս համարել Պայմանագիրը կնքված՝ նշելով այդ թերությունների վերացման (դրույթների համաձայնեցման) հստակ կարգն ու ժամկետները:
36.Կանոնների 34-րդ կետի համաձայն՝ Բաշխողը Սպառողին է տրամադրում հետևյալ տեղեկատվությունը։
1) Պայմանագրի կնքման ամսաթիվը և համարը,
2) Սպառողի անունը, ազգանունը, (իրավաբանական անձի դեպքում՝ անվանումը),
3) Սպառողի սպառման համակարգի հասցեն,
4) Սպառողի սպառման համակարգն էլեկտրական ցանցին միացման տեխնիկական պայմանները՝ համաձայն Կանոնների N 2 հավելվածի,
5) միագծանի սխեման՝ համաձայն Կանոնների N 3 հավելվածի,
6) Բաշխողի բիլինգային համակարգում համարը,
7) Առևտրային (վերստուգիչ) հաշվառքի սարքի տվյալները՝ համաձայն Կանոնների N 4 հավելվածի,
8) էլեկտրամատակարարման հուսալիության ցուցանիշները,
9) սահմանազատման և շահագործման պատասխանատվության կետերը՝ համաձայն Կանոնների N 5 հավելվածի,
10) լարման մակարդակ Սահմանազատման կետում՝ համաձայն Կանոնների N 6 հավելվածի,
11) Ամրագրված վթարային և տեխնոլոգիական հզորությունների վերաբերյալ ակտը։
37. Այն դեպքերում, երբ էլեկտրամատակարարվող տարածքի (շենքի, շինության) նկատմամբ բնակիչ-բաժանորդի իրավունքը (այդ թվում` սեփականության, օգտագործման) Հայաստանի Հանրապետության օրենսդրությամբ սահմանված կարգով ձևակերպված չէ, սակայն առկա է իրավասու մարմնի կողմից տրամադրված` էլեկտրամատակարարվող տարածքում դիմող անձի բնակության փաստը հավաստող տեղեկանք, Բաշխողը՝ գնահատելով սպառման համակարգը էլեկտրական ցանցին միացման հնարավորությունը և դրա հետ կապված իր ռիսկերը, իրավասու է կնքել Պայմանագիր։
38. Տարածքի սեփականության իրավունքի նկատմամբ անձի փոփոխության դեպքում, եթե նոր սեփականատերը չի ներկայացնում պահանջվող հզորության և (կամ) սնման պահուստավորման, հուսալիության կարգի, արտաքին էլեկտրամատակարարման սխեմայի փոփոխությունների պահանջ, ապա Պայմանագիր նոր սեփականատիրոջ հետ կնքվում է նույն պայմաններով, ինչ նախկին սեփականատիրոջ հետ։ Տարածքի, շինության սեփականատիրոջ փոփոխության, վարձակալության տալու կամ տնօրինման, տիրապետման իրավունքի փոփոխության դեպքում նոր սեփականատերը պարտավոր է այդ մասին հայտնել Բաշխողին՝ Պայմանագրի լուծման համար։ Պայմանագրի վերակնքումն անվճար է։
39. Պայմանագրի կնքման դեպքում Բաշխողը Սպառողի համար բացում և վարում է առանձին հաշվառման քարտ՝ իր համարանիշով (այսուհետ՝ հաշվառման քարտ կամ քարտի համար): Հաշվառման քարտում պահպանվում են Սպառողի՝ էլեկտրական ցանցին միացման կետերի, միացման ժամկետի, հաշվառման համակարգի հարաչափերի, դրանց հետագա փոփոխությունների, այլ Մատակարարի հետ Մատակարարման պայմանագիր կնքելու դեպքում՝ այդ Մատակարարի անունը/անվանումը, ինչպես նաև սպառված (վերահաշվարկված) էլեկտրական էներգիայի քանակի և արժեքի մասին ողջ տեղեկատվությունը: Հաշվառման քարտի տեղեկատվությունը էլեկտրամատակարարող ընկերությունը պահպանում է այն էլեկտրական ցանցից անջատելու պահից առնվազն 10 տարի ժամկետով։
40. Բաշխողի հետ Պայմանագիրը կնքվում է անորոշ ժամկետով՝ բացառությամբ, երբ․
1) նոր սպառման համակարգը էլեկտրական ցանցին միացվում է ժամանակավոր (շինարարություն` մինչև ճարտարապետահատակագծային առաջադրանքում նշված շինարարության ավարտի ամսաթիվը, ժամանակավոր առևտուր` առավելագույնը վեց ամիս ժամկետով, և այլ դեպքերում` առավելագույնը մինչև մեկ տարի ժամկետով),
2) նախատեսվում է նոր սպառման համակարգը էլեկտրական ցանցին միացնել 6 (10) կՎ (միայն համայնքի վարչական տարածքի բնակավայրի սահմաններից դուրս), 35 կՎ կամ 110 կՎ լարմամբ, և Դիմող անձը՝ իր հայեցողությամբ, ցանկություն է հայտնել նոր սպառման համակարգը էլեկտրական ցանցին միացնել Մատակարարից տեխնիկական պայմաններ ստանալու միջոցով,
3) էլեկտրական ցանցին է միացվում հանրային էլեկտրոնային հաղորդակցության ցանցի լիցենզիա ունեցող անձի՝ հանրային էլեկտրոնային հաղորդակցության ցանցի շահագործումն ապահովող նոր կամ վերակառուցվող սպառման համակարգը,
4) էլեկտրական ցանցին է միացվում մինչև 0,5 կՎտ դրվածքային հզորությամբ և 0,22 կՎ անվանական լարմամբ նոր սպառման համակարգ, և Դիմող անձը` իր հայեցողությամբ, ցանկություն է հայտնել նոր սպառման համակարգն էլեկտրական ցանցին միացնել Մատակարարից տեխնիկական պայմաններ ստանալու միջոցով` առանց Հաշվառքի սարքի տեղակայման:
41. Բաշխողի հետ կնքվող Պայմանագրում փոփոխություններ կարող են կատարվել գրավոր՝ պայմանով, որ չեն հակասում Հանձնաժողովի կողմից հաստատված և գործող օրինակելի ձևին և Հանձնաժողովի ընդունած այլ իրավական ակտերին:
42. Հանձնաժողովի կողմից Պայմանագրի նոր օրինակելի ձև հաստատվելու կամ դրանում փոփոխություններ, լրացումներ կատարվելու դեպքում Սպառողի հետ կնքված Պայմանագիրը Հանձնաժողովի սահմանած ժամկետում՝ Բաշխողի կողմից Սպառողին պատշաճ ծանուցելու պայմանով, համարվում է վերակնքված:
43. Պայմանագիրը լուծվում է`
1) կողմերի փոխադարձ համաձայնությամբ,
2) Սպառողի կողմից միակողմանի` այդ մասին Բաշխողին տեղեկացնելու և Երաշխավորված մատակարարի կողմից մատակարարված էլեկտրական էներգիայի և մատակարարված բաշխման ծառայության դիմաց ամբողջությամբ վճարելու պայմանով,
3) Բաշխողի կողմից միակողմանի՝ էլեկտրամատակարարվող տարածքի (շենքի, շինության) նկատմամբ իրավունք ունեցող անձի գրավոր պահանջի և առաջարկվող ժամկետի ներկայացման դեպքում, եթե Սպառողը չունի տարածքի (շենքի, շինության) նկատմամբ իր իրավունքները կամ իրավունքների ձեռքբերումը հավաստող (հաստատող) փաստաթուղթ՝ Սպառողին նախապես տեղեկացնելու պայմանով: Էլեկտրամատակարարվող տարածքի (շենքի, շինության) նկատմամբ իրավունքի վերաբերյալ վեճի առկայության դեպքում էլեկտրամատակարարման դադարեցման և Պայմանագրի լուծման հարցը որոշվում է վեճը Հայաստանի Հանրապետության օրենսդրությամբ սահմանված կարգով լուծելուց հետո,
4) Բաշխողի կողմից միակողմանի` Հանձնաժողովի ընդունած այլ իրավական ակտերով նախատեսված դեպքերում էլեկտրամատակարարման դադարեցումից անմիջապես առաջ այդ մասին Սպառողին նախապես տեղեկացնելու պայմանով:
44. Պայմանագրի լուծման դեպքում Բաշխողը պարտավոր է կատարել վերջնահաշվարկ։
45. Պայմանագրի փոփոխումը կամ դադարումը Կողմերին չի ազատում մինչ այդ պայմանագրով ստանձնած և չկատարված պարտավորությունների կատարումից:
ԳԼՈՒԽ 10. ՄԱՏԱԿԱՐԱՐՄԱՆ ՊԱՅՄԱՆԱԳՐԻ ԿՆՔՄԱՆ ԸՆԹԱՑԱԿԱՐԳ
46. Մատակարարի փոխելու գործընթացն իրականացվում է․
1) Սպառողի նախաձեռնությամբ, պայմանագիր կնքած Մատակարարին կամ Երաշխավորված մատակարարին այլ Մատակարարով փոխելու դեպքում,
2) Մատակարարի նախաձեռնությամբ՝ Մատակարարման պայմանագրի լուծման միջոցով,
3) Սպառողից անկախ պատճառներով Մատակարարի կողմից էլեկտրական էներգիայի մատակարարում չիրականացվելու դեպքում։
47. Մատակարարի փոփոխման գործընթացն անվճար է:
48. Գործող Մատակարարի կամ Բաշխողի նկատմամբ Սպառողի ունեցած պարտքը արգելք չէ այլ Մատակարարի հետ Մատակարարման պայմանագրի կնքման համար:
49. Մատակարարման պայմանագիր կնքելու մտադրության դեպքում Սպառողը Մատակարարին մինչև յուրաքանչյուր ամսվա 10-ը ներկայացնում է դիմում, որը պետք է պարունակի Ակցեպտով նախատեսված տեղեկատվությունը։
50. Մատակարարը Սպառողին տրամադրում է Մատակարարի փոխելու գործընթացի հետ կապված տեղեկատվություն, այդ թվում`
1) Մատակարարի փոփոխման գործընթացի իրականացման տևողության և պայմանների մասին,
2) էլեկտրական էներգիայի մատակարարման պայմանագրի նմուշը, որը պետք է ներառի հետևյալ տեղեկատվությունը,
ա․ մատակարարվող էլեկտրական էներգիայի գինը,
բ․ վճարումների կարգը և խախտման հետևանքները,
գ․ պայմանագրի գործողության ժամկետը,
3) տեղեկացում, որ Մատակարարի հետ Պայմանագրի կնքման դեպքում դադարում է էլեկտրաէներգիայի Երաշխավորված մատակարարումը, ինչը չի ազատում Սպառողին այդ Պայմանագրով ստանձնած պարտավորությունների կատարումից, իսկ դրանց խախտման դեպքում` սահմանված պատասխանատվությունից,
51. Նոր Մատակարարը Մատակարարի փոխման դիմումն ստանալուց հետո մեկ աշխատանքային օրվա ընթացքում Բաշխողին է ուղարկում Մատակարարի փոխելու պահանջ, որը պարունակում է Սպառողի ներկայացրած դիմումում պարունակվող տեղեկատվությունը:
52. Բաշխողը Կանոնների 51-րդ կետով նախատեսված պահանջն ստանալուց հետո մեկ աշխատանքային օրվա ընթացքում ստուգում է՝
1) Մատակարարի կողմից Մեծածախ շուկայում գնվող էլեկտրական էներգիան Մանրածախ շուկայում Սպառողին մատակարարելու հնարավորությունը, այդ թվում՝ Կանոնների 30-րդ կետի 2)-րդ ենթակետի համաձայն՝ Սպառողի Էլեկտրական էներգիայի ընդունման կետերի կահավորված լինելն էլեկտրաէներգետիկական շուկայի բաշխման ցանցային կանոններով սահմանված Հաշվառքի սարքերով և ապահովված այդ Հաշվառքի սարքերի տվյալների փոխանցումը Էլեկտրաէներգետիկական մեծածախ շուկայի կառավարման ծրագրային համակարգ․
2) Մատակարարի փոխման պահանջ ներկայացնելու Կանոնների 18-րդ կետով ամրագրված թույլատրելի քանակը չգերազանցելու փաստը:
53. Կանոնների 51-րդ կետով նախատեսված փոփոխման պահանջի համապատասխանությունը Կանոնների 52-րդ կետով նախատեսված պայմաններին՝
1) համապատասխանության դեպքում Բաշխողն անմիջապես գրանցում է Մատակարարի փոխման պահանջը, կցում է հերթական համար և Մատակարարին ու Շուկայի օպերատորին տրամադրում Սպառողի միացման, առևտրային հաշվառքի սարքերի անհատականացման և նախկին սպառման ծավալների տվյալները,
2) չհամապատասխանելու դեպքում՝ անմիջապես մերժման ծանուցում է ուղարկում Մատակարարին։
54. Այն դեպքում, երբ Սպառողն արդեն իսկ գտնվում է Մատակարարի փոխման գործընթացում, Բաշխողը հիմք է ընդունում Մատակարարի փոխելու մասին Սպառողի վերջին դիմումը։
55. Մատակարարը Կանոնների 53-րդ կետին համապատասխան փոխման պահանջը գրանցելու մասին տեղեկությունն ստանալուց հետո մեկ աշխատանքային օրվա ընթացքում Սպառողին տեղեկացնում է Մատակարարի փոխման գործընթացի ավարտի մասին:
56. Գործող Մատակարարի հետ Սպառողի կնքած Մատակարարման պայմանագիրն ամբողջությամբ լուծվում է, իսկ երաշխավորված մատակարարումը դադարեցվում է հաջորդող ամսվա 1-ից, և այդ պահից Սպառողին էլեկտրական էներգիա մատակարարվում է նոր Մատակարարի հետ կնքված Մատակարարման պայմանագրի հիման վրա:
ԳԼՈՒԽ 11. ՍՊԱՌՈՂԻՑ ԱՆԿԱԽ ՊԱՏՃԱՌՆԵՐՈՎ ՄԱՏԱԿԱՐԱՐԻ ՓՈՓՈԽՄԱՆ ԿԱՐԳԸ
57. Այն դեպքերում, երբ Մատակարարման պայմանագիրը լուծվում է Մատակարարի նախաձեռնությամբ՝ միակողմանի, կամ էլեկտրաէներգիայի մատակարարումը դադարեցվում է Սպառողից անկախ պատճառներով, ներառյալ, սակայն չսահմանափակվելով՝ Մատակարարի սնանկ ճանաչվելու, լիցենզիայի գործողությունը դադարելու, Մատակարարի ընկերության լուծարման կամ գործունեության դադարեցման դեպքերով՝ Սպառողին էլեկտրական էներգիայի մատակարարումն իրականացվում է Երաշխավորված մատակարարի կողմից՝ սույն գլխով սահմանված կարգով, մինչև Սպառողի կողմից Կանոնների համաձայն այլ Մատակարարի ընտրությունը:
58. Գործող Մատակարարի նախաձեռնությամբ Մատակարարման պայմանագրի լուծման դեպքում վերջինս պարտավոր է այդ մասին գրավոր ծանուցել Սպառողին ոչ ուշ, քան մինչև յուրաքանչյուր ամսվա 5-ը, որի դեպքում Մատակարարման պայմանագիրը համարվում է լուծված հաջորդող ամսվա 1-ից:
59. Սպառողը Կանոնների 58-րդ կետով նշված ծանուցումն ստանալուց հետո նոր Մատակարարին կամ Երաշխավորված մատակարարին դիմում է ներկայացնում էլեկտրաէներգիայի մատակարարման պայմանագիր կնքելու վերաբերյալ, որի դեպքում գործում են Կանոնների 2-րդ բաժնով սահմանված կարգավորումները։
60. Կանոնների 57-րդ կետով նշված հանգամանքներն ի հայտ գալու դեպքում՝ Բաշխողի կողմից Սպառողին էլեկտրական էներգիա մատակարարվում է Երաշխավորված մատակարարի կողմից Հաշվեկշռման շուկայում ձևավորված էլեկտրական էներգիայի արտադրության, ինչպես նաև այդ էլեկտրաէներգիան Սպառողին մատակարարելու համար մատուցված Համակարգի օպերատորի, Շուկայի օպերատորի, Հաղորդողի և Բաշխողի ծառայությունների սակագների հանրագումարով։
61. Սույն բաժնով սահմանված կարգով Մատակարարի փոփոխությունը հաշվառվում է Բաշխողի կողմից:
ԲԱԺԻՆ 3
ՄԱՏԱԿԱՐԱՐՎԱԾ ԷԼԵԿՏՐԱԿԱՆ ԷՆԵՐԳԻԱՅԻ ԵՎ ՄԱՏՈՒՑՎԱԾ ԲԱՇԽՄԱՆ ԾԱՌԱՅՈՒԹՅԱՆ ՀԱՇՎԱՌՄԱՆ ՈՒ ՎՃԱՐՄԱՆ ԿԱՐԳԸ
ԳԼՈՒԽ 12. ԸՆԴՀԱՆՈՒՐ ԴՐՈՒՅԹՆԵՐ
62. Առևտրային հաշվառքի սարքի տվյալները ամրագրվում են Պայմանագրում: Սպառողը իրավունք ունի տեղակայել առևտրային Հաշվառքի սարքի հարաչափերին համապատասխան վերստուգիչ Հաշվառքի սարք, որի տվյալները ևս նշվում են Պայմանագրում:
63. Սպառողն իրավունք ունի լրացուցիչ կնքել առևտրային, իսկ Բաշխողը՝ վերստուգիչ հաշվառքի սարքերը, այդ թվում՝ հաշվիչների սեղմակաշարերը։
64. Սպառողը պարտավոր է Բաշխողին տրամադրել մուտքի իրավունք իր տարածք՝ Հաշվառքի սարքերի ստուգման համար։ Ստուգումները կատարվում են Սպառողի պատասխանատու ներկայացուցչի պարտադիր մասնակցությամբ:
65. Սպառողի տարածք մուտք գործելու համար Բաշխողը պարտավոր է ոչ պակաս, քան 24 ժամ առաջ հեռախոսագրով կամ կապի այլ միջոցներով հայտնել Սպառողին ստուգումներ կատարելու մասին և ստուգող անձի տվյալները: Մուտքի իրավունք ստանալու համար ստուգողը պարտավոր է ներկայացնել անձը հաստատող փաստաթուղթ: Մուտքի կրկնակի անհիմն մերժման դեպքում Մատակարարը իրավունք ունի դադարեցնել (սահմանափակել) Սպառողի էներգամատակարարումը:
ԳԼՈՒԽ 13. ՄԱՏԱԿԱՐԱՐՎԱԾ ԷԼԵԿՏՐԱԿԱՆ ԷՆԵՐԳԻԱՅԻ ԵՎ ՄԱՏՈՒՑՎԱԾ ԲԱՇԽՎԱԾ ԷԼԵԿՏՐԱԿԱՆ ԷՆԵՐԳԻԱՅԻ ՔԱՆԱԿԻ ՀԱՇՎԱՌՄԱՆ ԿԱՐԳԸ
66. Մատակարարված (բաշխված) էլեկտրական էներգիայի քանակը որոշվում է հաշվարկային ամսում Սպառողի ծախսը հաշվառող Առևտրային հաշվիչի գրանցած ցուցմունքների տարբերությամբ կամ այդ տարբերությունը հաշվառքի գործակցով՝ (հոսանքի և լարման չափիչ տրանսֆորմատորների տրանսֆորմացիայի գործակիցների) արտադրյալի միջոցով, ըստ սակագնային զոնաների։ Եթե առևտրային հաշվիչն անմիջապես գրանցում է էլեկտրական էներգիայի քանակը՝ որպես հաշվարկային ամսվա ընթացքում սպառված, ընդունվում է էլեկտրական էներգիայի այդ քանակը: Եթե առևտրային Հաշվառքի սարքը տեղադրված է Սահմանազատման կետից դուրս, ապա առևտրային Հաշվառքի սարքով հաշվառված էլեկտրական էներգիայի քանակին գումարվում կամ այդ քանակից հանվում է առևտրային Հաշվառքի սարքի տեղադրման և Սահմանազատման կետերի միջև էլեկտրատեղակայանքներում առաջացած էլեկտրական էներգիայի տեխնիկական կորուստների մեծությունը, որը հաշվարկվում է Պայմանագրով սահմանված կարգով: Եթե Սպառողի էլեկտրատեղակայանքներին միացված են Ենթաապառողներ, ապա հաշվարկվում է միայն Սպառողի բեռին համապատասխանող տեխնիկական կորուստը:
67. 0,4 կՎ և բարձր լարման Սպառողների (բացառությամբ՝ բնակչության) համար, երբ նվազագույն բեռնվածքի ռեժիմներում տեխնիկապես անհնար է առևտրային Հաշվառքի սարքերի բնականոն աշխատանքը, և եթե նվազագույն ռեժիմի տևողությունը գերազանցում է ընդհանուր աշխատաժամանակի 80 %-ը, մատակարարված էլեկտրական էներգիայի քանակը հաշվարկվում է նվազագույն բեռնվածքի ամբողջ ժամանակահատվածում փաստացի միացված էլեկտրական ընդունիչների հզորության հիման վրա և ավելացվում առևտրային (վերստուգիչ) հաշվիչի ցուցմունքով հաշվարկված էլեկտրաէներգիայի քանակին: Նվազագույն բեռնվածքի ժամանակահատվածի տևողությունը և այդ ժամանակահատվածում միացված գումարային բեռնվածքի մեծությունները, դրանց հաշվարկի կարգի հետ միասին, հավելվում են Պայմանագրին և վերանայվում յուրաքանչյուր տարի կամ կողմերից մեկի գրավոր պահանջով տարվա ընթացքում` նվազագույն բեռնվածքի փոփոխման դեպքում:
68. Առևտրային (Վերստուգիչ) հաշվիչի ցուցմունքը գրանցում է Բաշխողը` տվյալ հաշվարկային ամսվան հաջորդող ամսվա առաջին երեք օրերի ընթացքում: Մատակարարված էլեկտրական էներգիան բազմասակագնային էլեկտրոնային հաշվիչով (այսուհետ՝ էլեկտրոնային հաշվիչ) հաշվառելու դեպքում Բաշխողը առևտրային (Վերստուգիչ) հաշվիչի ցուցմունքի փոխարեն գրանցում է ավտոմատացված ռեժիմում առևտրային հաշվիչի լուսատախտակի վրա արտածվող` Սպառողի նախորդ հաշվարկային ամսվա ծախսը (ըստ Սակագների):
69. Բաշխողը պարտավոր է Սպառողի (բացառությամբ՝ բնակչության) առևտրային հաշվիչի ցուցմունքը գրանցել նրա ներկայացուցչի մասնակցությամբ, եթե վերջինս ներկայացրել է նման գրավոր պահանջ: Այդ դեպքում Բաշխողը պարտավոր է առևտրային հաշվիչի ցուցմունքը գրանցել Սպառողի հետ համատեղ` Կանոնների 68-րդ կետով սահմանված և Սպառողի հետ փոխհամաձայնեցված ժամկետում: Բաշխողն իրավունք ունի առևտրային հաշվիչի ցուցմունքը գրանցել առանց Սպառողի ներկայացուցչի, եթե վերջինս փոխհամաձայնեցված ժամկետում չի ներկայացել։
70. Այն դեպքերում, երբ առևտրային (վերստուգիչ) հաշվիչը ներառված է էլեկտրական էներգիայի հաշվառման և վերահսկման ավտոմատացված համակարգում, Բաշխողը կարող է հաշվիչի գրանցված ողջ տեղեկատվությունը հավաքագրել ավտոմատացված համակարգի միջոցով:
71. Եթե 6(10) կՎ և բարձր լարման Սպառողին մատակարարած էլեկտրական էներգիայի հաշվառումը կատարվում է էլեկտրոնային հաշվիչով, որն իր հերթին ներառված է էլեկտրական էներգիայի հաշվառման և վերահսկման ավտոմատացված համակարգում, ապա վերջինիս գրավոր դիմումի դեպքում, դիմումն ստանալուց ոչ ուշ, քան 10 աշխատանքային օրվա ընթացքում Բաշխողը պարտավոր է ավտոմատացված համակարգի հիշողության մուտքի իրավունք տրամադրել տվյալ Սպառողին վերաբերող մասով՝ մշտադիտարկման նպատակով:
72. Բաշխողը առևտրային հաշվիչների բոլոր տվյալները ներկայացնում է համապատասխանաբար Երաշխավորված մատակարարին և Մատակարարին, ոչ ուշ, քան հաշվարկային ամսվան հաջորդող ամսվա 5-ը։ Կասկածի դեպքում վերջիններս իրավունք ունեն պահանջելու Բաշխողից կասկածելի ցուցմունքների լրացուցիչ ստուգում։
ԳԼՈՒԽ 14. ՊԱՅՄԱՆԱԳՐՈՎ ՄԱՏԱԿԱՐԱՐՎԱԾ ԷԼԵԿՏՐԱԿԱՆ ԷՆԵՐԳԻԱՅԻ ԵՎ ՄԱՏՈՒՑՎԱԾ ԲԱՇԽՄԱՆ ԾԱՌԱՅՈՒԹՅԱՆ ԱՐԺԵՔԻ ՀԱՇՎԱՐԿՄԱՆ ԵՎ ՎՃԱՐՄԱՆ ԿԱՐԳԸ
73. Հաշվարկային ամսվա ընթացքում Երաշխավորված մատակարարի կողմից Սպառողին մատակարարված էլեկտրական էներգիայի արժեքը որոշվում է տվյալ լարման մակարդակի և ժամային տիրույթների համար (եթե Առևտրային հաշվիչն ունի նման տարանջատված հաշվառման հնարավորություն) Հանձնաժողովի կողմից սահմանված Սակագների և մատակարարված էլեկտրական էներգիայի քանակի արտադրյալների գումարով՝ բացառությամբ Երաշխավորված մատակարարի Հաշվեկշռման շուկայում էլեկտրական էներգիայի անհաշվեկշռույթների առուվաճառքի: Բաշխման ծառայության վճարը հաշվարկվում է որպես հաշվարկային ամսվա ընթացքում Սպառողին առաքված էլեկտրական էներգիայի և բաշխման ծառայության Սակագնի արտադրյալ։
74. Բաշխողը (Երաշխավորված մատակարարը) պարտավոր է.
1) մինչև յուրաքանչյուր ամսվա 10-ը Հայաստանի Հանրապետությունում գործող բանկերի, փոստային բաժանմունքների համապատասխան սպասարկման կետերում տեղադրել տեղեկատվություն` նախորդ ամսվա ընթացքում Երաշխավորված մատակարարի կողմից Սպառողներին մատակարարված էլեկտրական էներգիայի քանակի և արժեքի, ինչպես նաև Բաշխողի մատուցած բաշխման ծառայության արժեքի մասին, եթե Պայմանագրով այլ բան նախատեսված չէ.
2) մինչև յուրաքանչյուր ամսվա 10-ը հանրապետական սփռման առնվազն մեկ հեռուստաընկերության միջոցով 2 անգամ՝ ժամը 18:00-ից 20:00-ն և 20:00-ից 23:00-ն ընկած ժամանակահատվածներում, հայտարարել սույն կետի 1-ին ենթակետով նախատեսված տեղեկատվությունը տեղադրելու օրը.
3) նախորդ ամսվա ընթացքում Երաշխավորված մատակարարի կողմից մատակարարված էլեկտրական էներգիայի քանակի և արժեքի, ինչպես նաև Բաշխողի կողմից մատուցված բաշխման ծառայության արժեքի դիմաց Սպառողին ներկայացվող հաշվարկային փաստաթղթում ապահովել հետևյալ տեղեկատվության առկայությունը. Սպառողի անունը, անվանումը, ազգանունը, գտնվելու (բնակության) վայրը, քարտի համարը, հաշվարկային ամիսը, Առևտրային հաշվիչի նախորդ և վերջին ցուցմունքները (իսկ էլեկտրոնային հաշվիչի առկայության դեպքում` նաև գիշերային Սակագնով էլեկտրական էներգիայի մատակարարման ցուցմունքը), Առևտրային հաշվիչի նախորդ և վերջին ցուցմունքների գրանցման օրը, հաշվարկային ամսում մատակարարված էլեկտրական էներգիայի քանակը (արտահայտված կիլովատտ ժամերով, իսկ էլեկտրոնային հաշվիչի առկայության դեպքում` նաև գիշերային Սակագնով մատակարարված էլեկտրական էներգիայի քանակը) և արժեքը (արտահայտված Հայաստանի Հանրապետության դրամով` ներառյալ ավելացված արժեքի հարկը), նախորդ տարվա նույն ամսում մատակարարված էլեկտրական էներգիայի քանակը (արտահայտված կիլովատտ ժամերով, իսկ էլեկտրոնային հաշվիչի առկայության դեպքում՝ նաև գիշերային Սակագնով մատակարարված էլեկտրական էներգիայի քանակը), պարտքի մնացորդը հաշվարկային ամսվա սկզբին և վերջին (արտահայտված Հայաստանի Հանրապետության դրամով` ներառյալ ավելացված արժեքի հարկը) և վճարման ամսաթիվը.
4) Սպառողի գրավոր դիմումի դեպքում, դիմումը ստանալուն հաջորդող հաշվարկային ամսվանից սկսած՝ յուրաքանչյուր ամիս, սույն կետի 1-ին ենթակետում սահմանված ժամկետում, վերջինիս նախընտրած եղանակով (փոստով՝ գրավոր կամ էլեկտրոնային փոստով) ծանուցել նախորդ հաշվարկային ամսում Երաշխավորված մատակարարի կողմից մատակարարված էլեկտրական էներգիայի քանակի և արժեքի, ինչպես նաև Բաշխողի կողմից մատուցված բաշխման ծառայության արժեքի մասին հաշվարկման ընթացքում օգտագործված բոլոր ցուցանիշների մասին: Ծանուցումը փոստով առաքելու համար վճարում է Սպառողը, իսկ էլեկտրոնային փոստով` իրականացվում է անվճար: Փոստային առաքման վճարը ներառվում է հաշվարկային փաստաթղթում առանձին տողով և ենթակա է վճարման Երաշխավորված մատակարարի կողմից մատակարարված էլեկտրական էներգիայի արժեքի, ինչպես նաև Բաշխողի մատուցած բաշխման ծառայության արժեքի ընդ որում, Բաշխողը Սպառողի կատարած վճարումներից առաջնահերթ մարում է փոստային առաքման արժեքը.
5) իր վեբ-կայքի միջոցով հնարավորություն ընձեռել Սպառողին՝ էլեկտրոնային եղանակով ծանոթանալ սույն կետի 3-րդ ենթակետում նշված` առնվազն վերջին մեկ տարվա տեղեկատվությանը:
75. Սպառողը նախորդ ամսվա ընթացքում Երաշխավորված մատակարարի մատակարարած էլեկտրական էներգիայի, ինչպես նաև Բաշխողի մատուցած բաշխման ծառայության արժեքը պարտավոր է վճարել Կանոնների 74-րդ կետով սահմանված կարգով և ժամկետներում տեղեկացված լինելուց հետո 7 օրվա ընթացքում:
ԳԼՈՒԽ 15. ՄԱՏԱԿԱՐԱՐՎԱԾ ԷԼԵԿՏՐԱԿԱՆ ԷՆԵՐԳԻԱՅԻ ԵՎ ՄԱՏՈՒՑՎԱԾ ԲԱՇԽՄԱՆ ԾԱՌԱՅՈՒԹՅԱՆ ԱՐԺԵՔԻ ԴԻՄԱՑ ՉՎՃԱՐՄԱՆ ՀԵՏԵՎԱՆՔՆԵՐԸ
76. Սպառողի կողմից Կանոնների 74-րդ կետով սահմանված ժամկետի խախտման դեպքում Բաշխողն իրավունք ունի դադարեցնել Սպառողի էլեկտրամատակարարումը՝ առնվազն 3 օր առաջ հեռուստատեսությամբ կամ Սպառողին հասու այլ ձևերով (հայտարարություն փակցնելով շքամուտքերում, փոստային բաժանմունքներում և այլն) զգուշացնելուց հետո: Զգուշացումը հեռուստատեսությամբ պետք է կատարվի հանրապետական սփռման 2 հեռուստաընկերությունների միջոցով 2-ական անգամ՝ 18:00-ից 20:00-ն և 20:00-ից 23:00-ն ընկած ժամանակահատվածներում: Ընդ որում, եթե Սպառողը սույն կանոնների 74-րդ կետի համաձայն պահանջել է վճարման հաշիվը իրեն ներկայացնել գրավոր կամ էլեկտրոնային փոստով, ապա վերջինս պետք է զգուշացվի գրավոր կամ էլեկտրոնային փոստով: Զգուշացման վերաբերյալ գրությունը փոստով առաքելու պահանջի դեպքում վճարում է Սպառողը: Զգուշացումը էլեկտրոնային փոստով կատարվում է անվճար:
77. Պայմանագրում ամրագրված Վթարային և (կամ) տեխնոլոգիական ամրագրված հզորություն ունեցող Սպառողների կողմից չվճարման դեպքում Երաշխավորված մատակարարը (Բաշխողը) իրավունք ունի․
1) սահմանափակել Սպառողի էլեկտրամատակարարումը մինչև Պայմանագրում Ամրագրված վթարային կամ տեխնոլոգիական հզորությունը` առնվազն 3 աշխատանքային օր առաջ Պայմանագրով սահմանված կարգով նրան զգուշացնելուց հետո․
2) վթարային կամ տեխնոլոգիական հզորությունների ապահովման վերաբերյալ Պայմանագրում նշված ժամկետներում չվճարելու դեպքում դադարեցնել Սպառողի էլեկտրամատակարարումը` ժամկետները լրանալուց հետո՝ առնվազն 3 աշխատանքային օր առաջ Պայմանագրով սահմանված կարգով նրան կրկին զգուշացնելուց հետո։
78. Մատակարարված էլեկտրաէներգիայի արժեքը Սպառողի կողմից Մատակարարման պայմանագրով սահմանված ժամկետում չվճարելու դեպքում Մատակարարը էլեկտրական էներգիայի մատակարարման դադարեցման նախատեսվող ժամկետից առնվազն 3 օր առաջ պատշաճ կերպով դիմում է Բաշխողին, այդ մասին տեղեկացնելով նաև Սպառողին:
79. Սպառողի կողմից Կանոնների 78-րդ կետով նախատեսված ծանուցումն ստանալուց հետո եռօրյա ժամկետում պարտավորության կատարումը հավաստող ապացույցներ Բաշխողին՝ չներկայացնելու դեպքում Բաշխողը դադարեցնում է էլեկտրական էներգիայի մատակարարումը:
80. Սպառված էլեկտրաէներգիայի, ինչպես նաև մատուցված բաշխման ծառայության դիմաց վճարման համար հատկացված ժամկետի խախտման դեպքում, երբ Բաշխողը դադարեցրել է Սպառողի էլեկտրամատակարարումը, այն պարտավոր է վերականգնել ոչ ուշ, քան.
1) նույն օրը` մինչև ժամը 18:00-ն, եթե Սպառողը պարտքի վճարումը հավաստող փաստաթուղթը Բաշխողին է ներկայացրել աշխատանքային օրերին մինչև ժամը 14:00-ն, կամ Բաշխողը նույն ժամկետում այլ աղբյուրներից ստացել է հավաստի տեղեկություն, որ Սպառողը կատարել է պարտքի վճարումը,
2) հաջորդ օրը` մինչև ժամը 13:00-ն, եթե Սպառողը պարտքի վճարումը հավաստող փաստաթուղթը Բաշխողին է ներկայացրել աշխատանքային օրերին՝ ժամը 14:00-ից հետո, կամ Բաշխողը նույն ժամկետում այլ աղբյուրներից ստացել է հավաստի տեղեկություն, որ Սպառողը կատարել է պարտքի վճարումը,
3) պարտքի մարման մասին տեղեկանալու պահից 24 ժամվա ընթացքում, եթե Սպառողը պարտքի վճարումը հավաստող փաստաթուղթը Բաշխողին է ներկայացրել ոչ աշխատանքային օրերին կամ Բաշխողը նույն ժամկետում այլ աղբյուրներից ստացել է հավաստի տեղեկություն, որ Սպառողը կատարել է պարտքի վճարումը:
81. Բաշխողը (Երաշխավորված մատակարարը) Սպառողի (բացառությամբ՝ բնակչության) կողմից Կանոնների 75-րդ կետով սահմանված ժամկետի խախտման դեպքում իրավունք ունի նաև.
1) ուշացրած յուրաքանչյուր օրվա համար Պայմանագրով սահմանված չափով հաշվարկել տույժ, բայց ոչ ավելի, քան օրական չվճարված գումարի 0,1 %-ը։ Հաշվարկված տույժը չի կարող գերազանցել պարտքի ընդհանուր գումարի 10 %-ը։ Տույժը կարող է հաշվարկվել հաշվարկային ամսվան հաջորդող ամսի 20-ից, եթե դրանից առնվազն 7 օր առաջ Կանոնների 74-րդ կետով սահմանված կարգով տեղեկացրել է Սպառողին նրա կողմից սպառված էլեկտրական էներգիայի, ինչպես նաև մատուցված բաշխման ծառայության քանակի և արժեքի մասին: Հակառակ դեպքում տույժը հաշվարկվում է Կանոնների 74-րդ կետով սահմանված կարգով տեղեկացնելուց ոչ շուտ, քան 7 օր հետո․
2) խախտմանը հաջորդող 12 ամիսների ընթացքում տվյալ խախտումը կրկնվելու դեպքում վերջին խախտմանը հաջորդող 3 ամիսների ընթացքում պահանջել վճարել կանխավճար կամ ներկայացնել իր համար ընդունելի վճարման այլ երաշխիք, որի մեծությունը չպետք է գերազանցի Սպառողի նախորդ տարում օգտագործած էլեկտրական էներգիայի ծախսի միջին ամսական արժեքի 50 տոկոսը․
3) եթե Սպառողը նման դեպքում հրաժարվում է կանխավճար տալուց կամ Երաշխավորված մատակարարի (Բաշխողի) համար ընդունելի վճարման այլ երաշխիքներ ներկայացնելուց, ապա Երաշխավորված մատակարարն (Բաշխողը) իրավունք ունի նաև Սպառողին առնվազն 3 աշխատանքային օր առաջ գրավոր կամ հեռախոսագրով զգուշացնելուց հետո դադարեցնել նրա էլեկտրամատակարարումը, եթե նա չունի Ամրագրված պայմանագրային վթարային կամ տեխնոլոգիական հզորություն: Եթե Սպառողն ունի Ամրագրված պայմանագրային վթարային կամ տեխնոլոգիական հզորություն, ապա Մատակարարը նրա էլեկտրամատակարարումը կարող է դադարեցնել միայն Կանոնների 77-րդ կետով նախատեսված ընթացակարգերն ապահովելուց հետո:
82. Կանոնների 81-րդ կետի 1-ին ենթակետի համաձայն տույժ հաշվարկելու դեպքում Բաշխողը Սպառողի կատարած վճարումներից առաջնահերթ մարում է սպառված էլեկտրական էներգիայի և մատուցված բաշխման ծառայության արժեքը՝ ըստ դրա վճարման համար սահմանված ժամկետի վաղեմության, հետո միայն հաշվարկված տույժի գծով պարտավորությունները:
83. Պարտքի առկայության դեպքում Բաշխողը չպետք է դադարեցնի Սպառողի էլեկտրամատակարարումը, եթե Սպառողը ներկայացրել է Բաշխողի համար ընդունելի վճարման երաշխիքներ կամ նրա հետ կազմվել է պարտքի մարման ժամանակացույց։ Սույն կետը չի սահմանափակում Բաշխողի (Երաշխավորված մատակարարի) իրավունքը պարտքի մարման ժամանակացույցի խախտման դեպքում դադարեցնելու Սպառողի էլեկտրամատակարարումը՝ ապահովելով սույն գլխով սահմանված` տվյալ Սպառողի էլեկտրամատակարարման դադարեցման ընթացակարգերը:
ԳԼՈՒԽ 16. ՀԱՇՎԱՐԿԱՅԻՆ ՓԱՍՏԱԹՂԹՈՒՄ ՍԽԱԼԻ ՈՒՂՂՄԱՆ ԿԱՐԳԸ
84. Սպառողը վճարման փաստաթղթում կամ հաշվում գրառումների սխալ հայտնաբերելու դեպքում գրավոր դիմում է Բաշխողին (Երաշխավորված մատակարարին) սխալն ուղղելու պահանջով: Բաշխողը (Երաշխավորված մատակարարը) Սպառողի դիմումն ստանալու օրվանից` 5, իսկ լրացուցիչ ուսումնասիրությունների անհրաժեշտության դեպքում` 15 սպասարկման օրվա ընթացքում պարտավոր է ստուգել իր գրառումները և արդյունքների մասին գրավոր տեղեկացնել Սպառողին:
85.Բաշխողը (Երաշխավորված մատակարարը) վճարման փաստաթղթում կամ հաշվում գրառումների սխալ հայտնաբերելու դեպքում գրավոր տեղեկացնում է Սպառողին և առաջնորդվում Կանոնների 84-րդ կետով սահմանված ընթացակարգով:
86. Եթե Բաշխողը (Երաշխավորված մատակարարը) հաստատում է վճարման փաստաթղթում կամ հաշվում սխալի փաստը կամ սխալը հայտնաբերվում է իր կողմից, ապա ուղղումը հաշվի է առնվում ընթացիկ ամսվա համար ներկայացվելիք վճարման հաշվում:
87. Եթե Սպառողի էլեկտրական էներգիայի մատակարարումը իրականացնում է Մատակարարը, ապա հաշվարկային փաստաթղթերում սխալի հայտնաբերման դեպքում կողմերը առաջնորդվում են պայմանագրի պայմաններով։
ԲԱԺԻՆ 4
ԱՌԵՎՏՐԱՅԻՆ ՀԱՇՎԱՌՔԻ ՍԱՐՔԵՐԻ ԽԱԽՏՈՒՄՆԵՐԻ ԴԵՊՔՈՒՄ ՄԱՏԱԿԱՐԱՐՎԱԾ ԷԼԵԿՏՐԱԿԱՆ ԷՆԵՐԳԻԱՅԻ ՎԵՐԱՀԱՇՎԱՐԿՈՒՄԸ
ԳԼՈՒԽ 17. ԸՆԴՀԱՆՈՒՐ ԴՐՈՒՅԹՆԵՐ
88. Մանրածախ շուկայում Սպառողի փաստացի ծախսած էլեկտրական էներգիայի քանակը, որը որոշվել է առևտրային Հաշվառքի սարքերով, թույլատրվում է վերահաշվարկել հետևյալ դեպքերում.
1) երբ Բաշխողի կողմից կատարվող պլանային կամ արտապլանային ստուգումների ժամանակ հայտնաբերվում է Առևտրային հաշվիչի, դրա ուրվակի խախտումներ, որը կարող է հանգեցնել ծախսված էլեկտրական էներգիայի հաշվառքի խախտման․
2) երբ Առևտրային հաշվիչի պլանային փոխարինման և ստուգաչափման ժամանակ հայտնաբերվում են դրա աշխատանքի հրաժարումներ․
3) երբ Սպառողի դիմումի համաձայն կատարվող Առևտրային հաշվիչի ստուգումների ժամանակ հայտնաբերվում են Սպառողի էլեկտրամատակարարման առևտրային հաշվառքի սարքի տարրերի հրաժարումներ, որոնք կարող են հանգեցնել ծախսված էլեկտրական էներգիայի հաշվառքի խախտման․
4) երբ Բաշխողի ստուգայցերի ժամանակ հայտնաբերվել է Սպառողի կողմից Ապօրինի սպառում:
89. Առևտրային Հաշվառքի սարքի ստուգումը կատարվում է պլանային և արտապլանային կարգով: Արտապլանային ստուգումը կատարվում է Սպառողի կամ Բաշխողի պահանջի, Հաշվառքի սարքի հրաժարումների, աշխատանքի նկատմամբ հիմնավոր կասկածի դեպքում:
90. Սպառողի կողմից վերահսկվող տարածքում գտնվող Սպառողի առևտրային Հաշվառքի սարքերի պլանային զննումը և տեղում ստուգումը կատարվում է միայն Սպառողի (լիազորած անձի) մասնակցությամբ: Ստուգման արդյունքները ձևակերպվում են երկկողմանի ակտով։
91. Ստուգման ընթացքում թերություններ կամ խախտումներ հայտնաբերելու դեպքում ակտում նշվում է դրանց բնույթը և հաշվառքի վերականգման միջոցառումները։
92. Հաշվառքի սարքերի արտապլանային ստուգումները կատարվում են բոլոր շահագրգիռ կողմերի՝ Երաշխավորված մատակարարի, Մատակարարի, Սպառողի (Ենթասպառողի) մասնակցությամբ:
93.Ստուգման արդյունքների վերաբերյալ կազմվում է ակտ, այդ թվում՝ հաշվառքի տարրերի ստուգաչափման անհրաժեշտության կամ որևէ տարրի փոխարինման վերաբերյալ:
94. Առանց Պայմանագրի օգտագործած էլեկտրական էներգիայի քանակը որոշվում է ՀՀ կառավարության կողմից սահմանված կարգով։
ԳԼՈՒԽ 18. ԱՌԵՎՏՐԱՅԻՆ ՀԱՇՎԱՌՔԻ ՍԱՐՔԻ ԽԱԽՏՄԱՆ ԴԵՊՔՈՒՄ ՄԱՏԱԿԱՐԱՐՎԱԾ ԷԼԵԿՏՐԱԿԱՆ ԷՆԵՐԳԻԱՅԻ ՎԵՐԱՀԱՇՎԱՐԿՄԱՆ ԿԱՐԳԸ
95.Առևտրային Հաշվառքի սարքի խախտման դեպքում Բաշխողը կատարում է մատակարարված էլեկտրական էներգիայի քանակի և արժեքի վերահաշվարկ, եթե Պայմանագրով իրականացնում է նաև էլեկտրական էներգիայի երաշխավորված մատակարարում: Եթե որպես էլեկտրական էներգիայի վաճառող/մատակարար հանդես է գալիս այլ Մատակարար, ապա մասնակցում է նաև վերահաշվարկին։
96. Առևտրային Հաշվառքի սարքի խախտման դեպքում վերականգնման բոլոր ծախսերը կատարում է Բաշխողը՝ Բաշխման ցանցային կանոններով սահմանված կարգով:
97. Առևտրային Հաշվառքի սարքի խախտման դեպքում, երբ խախտումը պայմանավորված չէ լարման կամ հոսանքի չափիչ տրանսֆորմատորների խափանմամբ և`
1) սույն Կանոնների 62-րդ կետի համաձայն առկա է վերստուգիչ Հաշվառքի սարք, ապա սպառված էլեկտրաէներգիայի քանակի վերահաշվարկը կատարվում է համաձայն վերստուգիչ Հաշվառքի սարքի ցուցմունքի` առևտրային Հաշվառքի սարքի ապահավաքակցման օրվանից մինչև առևտրային Հաշվառքի սարքի նախավերջին ցուցմունքի գրանցման օրն ընկած ժամանակահատվածի համար: Վերահաշվարկված էլեկտրաէներգիայի քանակը որոշվում է հետևյալ բանաձևով`
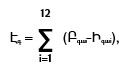
Վէք = ՀՎէք + ՏԿ - ՀԱէք ,
որտեղ`
Վէք -ն առևտրային Հաշվառքի սարքի խախտման ժամանակահատվածի համար վերահաշվարկված էլեկտրաէներգիայի քանակն է (կՎտժ),
ՀՎէք -ն վերստուգիչ Հաշվառքի սարքի նախավերջին ցուցմունքի գրանցման պահից մինչև առևտրային Հաշվառքի սարքի ապահավաքակցման օրը վերստուգիչ Հաշվառքի սարքով հաշվառված էլեկտրաէներգիայի քանակն է (կՎտժ),
ՏԿ - վերստուգիչ հաշվառքի սարքի նախավերջին ցուցմունքի գրանցման պահից մինչև առևտրային հաշվառքի սարքի ապահավաքակցման օրն ընկած ժամանակահատվածում վերստուգիչ և առևտրային հաշվառքի սարքերի միջև եղած էլեկտրատեղակայանքներում էլեկտրաէներգիայի տեխնոլոգիական կորուստների մեծությունն է (կՎտժ),
ՀԱէք -ն առևտրային հաշվառքի սարքի նախավերջին ցուցմունքի գրանցման պահից մինչև առևտրային հաշվառքի սարքի ապահավաքակցման օրը առևտրային հաշվառքի սարքով հաշվառված էլեկտրաէներգիայի քանակն է (կՎտժ), իսկ ենթասպառողների առկայության դեպքում՝ հաշվառված էլեկտրաէներգիայի քանակի՝ Սպառողին վերագրված մասն է (կՎտժ)։
Սույն կետում սահմանված ՀՎէք , ՏԿ և ՀԱէք մեծությունները հաշվարկվում են սույն Կանոնների 66-րդ կետի համաձայն.
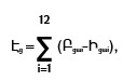
2) առկա չէ վերստուգիչ հաշվառքի սարք, սակայն սպառված էլեկտրաէներգիայի քանակը հաշվառվում է էլեկտրոնային հաշվիչի միջոցով, ապա վերահաշվարկված էլեկտրաէներգիայի քանակությունը որոշվում է` օգտագործելով էլեկտրոնային հաշվիչի հիշողությունից արտածված տվյալները: Վերահաշվարկն իրականացվում է հետևյալ բանաձևով՝
Վէք = (ՑԱ – ՑՆ ) Գհլ - ՀԱէք ,
որտեղ`
ՑԱ -ն - էլեկտրոնային հաշվիչի հիշողությունից արտածված՝ առևտրային հաշվառքի սարքի ապահավաքակցման օրվա ցուցմունքն է, որն ամրագրվում է առևտրային հաշվառքի սարքի Չափագիտական մարմնի փորձագիտական եզրակացությամբ,
ՑՆ -ն - առևտրային հաշվառքի սարքի գրանցված նախավերջին ցուցմունքն է, որը որոշվում է սույն Կանոնների 81-րդ կետի համաձայն,
Գհլ - հոսանքի և լարման չափիչ տրանսֆորմատորների առկայության դեպքում՝ դրանց տրանսֆորմացիայի գործակիցների արտադրյալն է, որը, դրանց բացակայության դեպքում, ընդունվում է հավասար 1-ի.
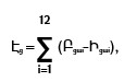
3) առկա չէ վերստուգիչ հաշվառքի սարք, առևտրային հաշվիչի ստուգաչափման արդյունքում հնարավոր չի եղել արտածել էլեկտրոնային հաշվիչի հիշողության տվյալները, սակայն Սպառողին ամրակցված առևտրային հաշվիչը ներառված է էլեկտրական էներգիայի հաշվառման և վերահսկման ավտոմատացված համակարգում և Սպառողին մշտադիտարկման նպատակով տրվել է ավտոմատացված համակարգի հիշողության մուտքի իրավունք կամ Սպառողը օրենքով սահմանված կարգով իրազեկվել է այդ իրավունքի վերաբերյալ, ապա վերահաշվարկը կատարվում է հետևյալ բանաձևով՝
Վէք = (Տօր1 * Մօծ1 + Տօր2 * Մօծ2)-ՀԱէք1,
որտեղ՝
Տօր1-ը առևտրային հաշվիչի խախտման ժամանակահատվածում աշխատանքային օրերի թիվն է,
Մօծ1-ը առևտրային հաշվիչի խախտմանը նախորդող 5 աշխատանքային օրերի միջին օրական ծախսն է,
Տօր2-ը առևտրային հաշվիչի խախտման ժամանակահատվածում ոչ աշխատանքային օրերի թիվն է,
Մօծ2-ը առևտրային հաշվիչի խախտմանը նախորդող 2 ոչ աշխատանքային օրերի միջին օրական ծախսն է,
ՀԱէք1-ն հաշվառքի սարքի խախտման ժամանակահատվածում առևտրային հաշվիչի ցուցմունքներով գրանցված էլեկտրաէներգիայի քանակն է (կՎտ.ժ), իսկ ենթասպառողների առկայության դեպքում՝ հաշվառված էլեկտրաէներգիայի քանակի՝ Սպառողին վերագրված մասն է։
Վերահաշվարկված էլեկտրաէներգիայի քանակը դրական արժեքի դեպքում գումարվում, իսկ բացասական արժեքի դեպքում հանվում է հաշվիչով գրանցված էլեկտրաէներգիայի քանակից: Առևտրային հաշվիչի խախտման ժամանակահատվածը՝ 20 օրը գերազանցելու դեպքում վերահաշվարկն իրականացվում է խախտման հայտնաբերման օրվանից 20 օրվա համար.
4) երբ առկա չէ վերստուգիչ հաշվառքի սարք, առևտրային հաշվառքի սարքի ստուգաչափման արդյունքում հնարավոր չի եղել արտածել էլեկտրոնային հաշվիչի հիշողության տվյալները, առևտրային հաշվիչը ներառված չէ էլեկտրական էներգիայի հաշվառման և վերահսկման ավտոմատացված համակարգում, սակայն Չափագիտական մարմնի փորձագիտական եզրակացությամբ հնարավոր է եղել որոշել առևտրային հաշվառքի սարքի աշխատանքի սխալանքի տոկոսը, ապա վերահաշվարկը կատարվում է հետևյալ բանաձևերով`
երբ առևտրային հաշվիչը դանդաղ է աշխատել, քան իր սխալանքի թույլատրելի տիրույթն է և
երբ առևտրային հաշվիչն արագ է աշխատել, քան իր սխալանքի թույլատրելի տիրույթն է,
որտեղ`
ՀԱէք2-ն առևտրային հաշվառքի սարքի նախավերջին ցուցմունքի գրանցման պահից մինչև առևտրային հաշվառքի սարքի ապահավաքակցման օրը առևտրային հաշվառքի սարքով հաշվառված էլեկտրաէներգիայի քանակն է (կՎտժ).
Ս%Հ-ն Չափագիտական մարմնի փորձագիտական եզրակացության մեջ նշված առևտրային հաշվիչի չափման սխալանքի թույլատրելի տիրույթը գերազանցող տոկոսային այն մեծությունն է, որն առավելագույնս բնութագրում է խախտման հայտնաբերմանը նախորդող ամսում Սպառողի սպառման համակարգի հզորության գործակցի (cos φ) և հոսանքային բեռի մեծությունը.
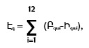
5) առկա չէ վերստուգիչ հաշվառքի սարք, առևտրային հաշվառքի սարքի ստուգաչափման արդյունքում հնարավոր չի եղել արտածել էլեկտրոնային հաշվիչի հիշողության տվյալները, առևտրային հաշվիչը ներառված չէ էլեկտրական էներգիայի հաշվառման և վերահսկման ավտոմատացված համակարգում, միևնույն ժամանակ Չափագիտական մարմնի փորձագիտական եզրակացությամբ արձանագրվել է փորձաքննության ենթակա չլինելու հանգամանքը կամ հնարավոր չի եղել որոշել առևտրային հաշվառքի սարքի աշխատանքի սխալանքի տոկոսը, ապա վերահաշվարկը կատարվում է հետևյալ բանաձևով.
Վէք = ԱՏօր . ՆՄօծ – ՀԱէք,
որտեղ`
ՆՄօծ-ն առևտրային հաշվառքի սարքի ապահավաքակցմանը նախորդող տարվա նույն ամսվա միջին օրական ծախսը բազմապատկած խախտմանը նախորդող երեք ամիսների ծախսի և նախորդ տարվա նույն ժամանակահատվածի ծախսի քանորդով: Եթե խախտմանը նախորդող երեք ամիսներին և նախորդ տարվա նույն ժամանակահատվածի որևէ ամսում Սպառողը ծախս չի ունեցել, ապա ՆՄօծ-ն ընդունվում է հավասար առևտրային հաշվառքի սարքի խախտմանը նախորդող տարվա նույն ամսվա միջին օրական ծախսին: Եթե նախորդ տարվա նույն ամսվա ընթացքում Սպառողը ծախս չի ունեցել, ապա միջին օրական ծախսն ընդունվում է հավասար առևտրային հաշվառքի սարքի վերականգնմանը հաջորդող առաջին ծախս ունեցած ամսվա Սպառողի միջին օրական ծախսին,
ԱՏօր-ը առևտրային հաշվառքի սարքի նախավերջին ցուցմունքի գրանցման օրվանից մինչև առևտրային հաշվառքի սարքի ապահավաքակցման օրն ընկած ժամանակահատվածն է` արտահայտված օրերով, որը 60 օրը գերազանցելու դեպքում ընդունվում է հավասար 60-ի, ինչը սակայն չի սահմանափակում մատակարարի իրավունքը համապատասխան հիմնավորումների առկայության դեպքում կիրառել ավելի կարճ ժամկետ:
98. Առևտրային հաշվառքի սարքի խախտման դեպքում, երբ խախտումը պայմանավորված է լարման կամ հոսանքի չափիչ տրանսֆորմատորների խափանմամբ և առկա է վերստուգիչ հաշվառքի սարք, ապա վերահաշվարկն իրականացվում է սույն Կանոնների 97-րդ կետի 1)-ին ենթակետի համաձայն: Վերստուգիչ հաշվառքի սարքի բացակայության դեպքում, երբ առևտրային հաշվառքի սարքը`
1) լարման տրանսֆորմատորի խափանման պատճառով սխալ է գրանցել սպառված էլեկտրաէներգիայի քանակը, սակայն Սպառողին ամրակցված առևտրային հաշվիչը ներառված է էլեկտրական էներգիայի հաշվառման և վերահսկման ավտոմատացված համակարգում և Սպառողին մշտադիտարկման նպատակով տրվել է ավտոմատացված համակարգի հիշողության մուտքի իրավունք կամ Սպառողը օրենքով սահմանված կարգով իրազեկվել է այդ իրավունքի վերաբերյալ, ապա վերահաշվարկը կատարվում է Կանոնների 97-րդ կետի 3-րդ ենթակետի համաձայն: Այն դեպքերում, երբ առևտրային հաշվիչը ներառված չէ էլեկտրական էներգիայի հաշվառման և վերահսկման ավտոմատացված համակարգում՝ վերահաշվարկը կատարվում է Կանոնների 97-րդ կետի 5-րդ ենթակետի համաձայն.
2) հոսանքի տրանսֆորմատորների խափանման պատճառով սխալ է գրանցել սպառված էլեկտրաէներգիայի քանակը, ապա յուրաքանչյուր հոսանքի չափիչ տրանսֆորմատորի համար կատարվում է վերահաշվարկ հետևյալ բանաձևերով`
|
ՀԱէք . Ս%ՀՏ |
|||
|
Վէք |
= |
_________ |
, |
|
n .100% |
երբ հոսանքի տրանսֆորմատորի սխալանքը դուրս է բացասական թույլատրելի տիրույթից,
|
- ( |
ՀԱէք . Ս%ՀՏ |
) |
|||
|
Վէք |
= |
___________ |
, | ||
|
n .100%+Ս%ՀՏ |
երբ հոսանքի տրանսֆորմատորի սխալանքը դուրս է դրական թույլատրելի տիրույթից,
որտեղ`
1)Ս%ՀՏ-ն Չափագիտական մարմնի փորձագիտական եզրակացության մեջ նշված առևտրային հաշվառքի սարքի հոսանքի չափիչ տրանսֆորմատորի սխալանքի թույլատրելի տիրույթը գերազանցող տոկոսային մեծությունն է, որն առավելագույնս բնութագրում է խախտման հայտնաբերմանը նախորդող ամսվա հոսանքային բեռի մեծությունը,
2)n-ը հաշվառման մեջ ներառված հոսանքի տրանսֆորմատորների քանակն է:
99. Վերահաշվարկված էլեկտրաէներգիայի գումարային քանակությունն ընդունվում է հավասար հոսանքի բոլոր տրանսֆորմատորների համար կատարված վերահաշվարկների գումարին
100. Առևտրային հաշվառքի սարքի խախտման դեպքում վերահաշվարկված էլեկտրաէներգիայի արժեքը որոշվում է վերահաշվարկված էլեկտրաէներգիայի՝ տարանջատված ըստ ցերեկային ու գիշերային քանակների և առևտրային հաշվառքի սարքի խախտման հայտնաբերման ամսվա համապատասխան սակագնի արտադրյալով:
101. Առևտրային հաշվառքի սարքի խախտման դեպքում, երբ Բաշխողը հիմնավոր փաստարկներ ունի, որ խախտումը պայմանավորված է Սպառողի գործողություններով (ներառյալ, սակայն չսահմանափակելով դեպքերը, երբ առևտրային հաշվառքի սարքի կնիքները պոկված, կեղծված կամ վնասված են, կամ առկա է այլ ներգործություն առևտրային հաշվառքի սարքի աշխատանքին), մատակարարն իրավունք ունի Սպառողից պահանջել վճարելու տույժ` վերահաշվարկված էլեկտրաէներգիայի արժեքի հնգապատիկի չափով: Սպառողի կողմից Բաշխողի տույժ վճարելու պահանջին համաձայնելու դեպքում մատակարարը հաշվարկված տույժը հաշվի է առնում վերահաշվարկի կատարմանը հաջորդող հաշվարկային ամսվա համար Սպառողին ներկայացվող հաշվարկային փաստաթղթում: Սպառողի կողմից Բաշխողի` տույժ վճարելու պահանջին չհամաձայնելու դեպքում մատակարարը վեճը լուծում է դատական կարգով: Բաշխողն իրավունք չունի տույժի չվճարման համար դադարեցնել Սպառողի էլեկտրամատակարարումը մինչև վեճի վերջնական լուծումը:
102. Առևտրային հաշվառքի սարքի խախտման դեպքում, երբ Սպառողը հիմնավոր փաստարկներ ունի, որ խախտումը պայմանավորված է Բաշխողի գործողություններով (ներառյալ, սակայն չսահմանափակելով դեպքերը, երբ առևտրային հաշվառքի սարքի կնիքները պոկված, կեղծված կամ վնասված են, կամ առկա է այլ ներգործություն առևտրային հաշվառքի սարքի աշխատանքին), Սպառողն իրավունք ունի մատակարարից պահանջել վճարելու տույժ` վերահաշվարկված էլեկտրաէներգիայի արժեքի հնգապատիկի չափով: Բաշխողի կողմից Սպառողի տույժ վճարելու պահանջին համաձայնելու դեպքում Բաշխողը հաշվարկված տույժը հաշվի է առնում վերահաշվարկի կատարմանը հաջորդող հաշվարկային ամսվա համար Սպառողին ներկայացվող հաշվարկային փաստաթղթում: Բաշխողի կողմից Սպառողի` տույժ վճարելու պահանջին չհամաձայնելու դեպքում Սպառողը վեճը լուծում է դատական կարգով:
103. Սպառողից վերահաշվարկի արդյունքների վերաբերյալ առարկություններ ստանալու դեպքում Բաշխողը պարտավոր է դրանք ստանալուց հետո՝ 7 աշխատանքային օրվա ընթացքում քննարկել և արդյունքների մասին գրավոր տեղեկացնել Սպառողին՝ պարզաբանելով վերահաշվարկի արդյունքների հետ կապված վիճելի դրույթները և դրանց հիմքերը: Բաշխողն իր կատարած վերահաշվարկում անճշտություններ հայտնաբերելու դեպքում պարտավոր է ճշգրտել վերահաշվարկված էլեկտրական էներգիայի արժեքը: Բաշխողի և Սպառողի միջև վերահաշվարկի արդյունքների վերաբերյալ տարաձայնությունների դեպքում Սպառողը վերահաշվարկի կատարմանը հաջորդող հաշվարկային ամսվա ընթացքում վճարման ենթակա էլեկտրական էներգիայի արժեքի հետ վճարում է վերահաշվարկված էլեկտրական էներգիայի արժեքի` իր կողմից չվիճարկվող մասի համար: Այդ դեպքում Բաշխողն իրավունք չունի դադարեցնել Սպառողի էլեկտրամատակարարումը` մինչև վեճի վերջնական լուծումը:
104. Հանձնաժողովը, Սպառողի և Բաշխողի շահերի հավասարակշռման նպատակով, առանձին դեպքերում` սպառման առանձնահատկություններով պայմանավորված, մատակարարի կամ դիմող անձի դիմումի (կից հիմնավորումներով) հիման վրա կարող է ընդունել վերահաշվարկման վերաբերյալ անհատական որոշումներ:
105. Առևտրային Հաշվառքի սարքի խախտման դեպքում սույն գլխում ներկայացված ընթացակարգը չի սահմանափակում կողմերի իրավունքը` վեճը դատական կարգով լուծելու կամ պահանջելու վնասի փոխհատուցում:
ԳԼՈՒԽ 19. ԿԱՆՈՆՆԵՐԸ ԽԱԽՏԵԼՈՒ ՀԱՄԱՐ ԲԱՇԽՈՂԻ ՆԿԱՏՄԱՄԲ ԿԻՐԱՌՎՈՂ ՏՈՒՅԺԵՐԸ
106. Բաշխողը Սպառողին վճարում է տույժ՝ Երաշխավորված մատակարարի կողմից մատակարարված էլեկտրական էներգիայի միջին ամսական քանակի և տվյալ ժամանակահատվածին Սպառողական խմբի համար սահմանված սակագնի արտադրյալի չափով, բայց ոչ ավելի, քան 2500 դրամը՝ հետևյալ դեպքերում․
1) վճարման համար հատկացված ժամկետի խախտման դեպքում մինչև Սպառողի էլեկտրամատակարարումը դադարեցնելը Կանոնների 76-րդ, 78-րդ, 80-րդ կետերում սահմանված ընթացակարգերի յուրաքանչյուր խախտման համար,
2) վճարման համար հատկացված ժամկետի խախտման համար Սպառողի էլեկտրամատակարարումը դադարեցնելուց հետո այն վերականգնելու՝ Կանոնների 80-րդ կետում սահմանված ժամկետի խախտման համար,
3) հաշվարկային փաստաթղթում սխալի ուղղման՝ Կանոնների 16-րդ գլխում սահմանված կարգի յուրաքանչյուր խախտման համար,
4) սպառված էլեկտրաէներգիայի վերահաշվարկման՝ Կանոնների 19-րդ գլխում սահմանված ընթացակարգերի յուրաքանչյուր խախտման համար,
5) Սպառողի դիմումի հիման վրա՝ Պայմանագրի վերակնքման՝ Կանոններով սահմանված ժամկետի խախտման համար:
6) Սպառողի դիմում-բողոքին պատասխանելու համար Կանոններով սահմանված ժամկետի խախտման համար:
107. Սպառողին մատակարարված էլեկտրական էներգիայի միջին ամսական քանակն ընդունվում է տվյալ տարում Սպառողին մատակարարված էլեկտրական էներգիայի քանակի և տվյալ տարում ծախս ունեցած ամիսների քանակի քանորդին հավասար:
108. Հաշվարկված տույժը Բաշխողը հաշվի է առնում Սպառողին ընթացիկ ամսում ծախսած էլեկտրական էներգիայի համար ներկայացվելիք հաշվարկային հաշվում: Հաշվարկված տույժը հաշվարկային հաշվում նշվում է առանձին տողով և նվազեցվում է մատակարարված էլեկտրական էներգիայի արժեքից:
109. Բաշխողը Կանոնների 106-րդ կետում նշված խախտումների համար տույժ չի վճարում, եթե դրանք հետևանք են ֆորս մաժորի:
ԲԱԺԻՆ 5
ՄԱՆՐԱԾԱԽ ՇՈՒԿԱՅԻ ԶԱՐԳԱՑՈՒՄԸ
ԳԼՈՒԽ 20. ՄԱՆՐԱԾԱԽ ՇՈՒԿԱՅՈՒՄ ՏՎՅԱԼՆԵՐԻ ՊԱՀՊԱՆՄԱՆԸ ԵՎ ԹԱՓԱՆՑԻԿՈՒԹՅԱՆԸ ՆԵՐԿԱՅԱՑՎՈՂ ՊԱՀԱՆՋՆԵՐԸ
110. Մանրածախ շուկայում Երաշխավորված մատակարար Բաշխողը վարում է բոլոր Սպառողների տվյալների վերաբերյալ էլեկտրոնային գրանցամատյան, և թղթային տարբերակով ներկայացված ԳԼՈՒԽ 10-րդ տրված փաստաթղթերը, դիմումները, խախտումների վերաբերյալ ակտերը։
111. Էլեկտրոնային ռեեստրը պետք է պարունակի հետևյալ տեղեկատվությունը․
1) Սպառողի հետ կնքած Պայմանագիրը, դրա հիմքերը,
2) Էլեկտրական էներգիայի առևտրային հաշվառման համակարգի տեխնիկական տվյալները,
3) Էլեկտրական էներգիայի վերահսկիչ համակարգի տեխնիկական տվյալները,
4) Սպառողի ներկայացրած էլեկտրական էներգիայի պահանջարկի տարեկան հայտերը,
5) Սպառողի էլեկտրական էներգիայի ընթացիկ ծախսերը, վճարումները,
6) տեղեկատվություն հաշվառման տվյալների բազայի գրանցումներում կատարված փոփոխությունների և դրանք իրականացնողի մասին։
112. Հաշվառման տվյալների բազայում հաշվառման տվյալները պահպանվում են 24 ամիս, այնուհետև արխիվացվում են և պահպանվում Բաշխողի մոտ 10 տարի ժամկետով:
113. Էլեկտրոնային ռեեստրը պետք է ունենա պաշտպանություն կողմնակի միջամտությունից՝ համաձայն ISO/IEC 27001 և ISO/IEC 27002 ստանդարտների պահանջների։
114. Սպառողներին պետք է տրվի մուտքի իրավունք՝ հաշվառման տվյալների բազայից ստանալու իրենց վերաբերող տեղեկատվությունը։
ԳԼՈՒԽ 21. ՄԱՆՐԱԾԱԽ ՇՈՒԿԱՅԻ ԱՇԽԱՏԱՆՔԻ ԱՐԴՅՈՒՆԱՎԵՏՈՒԹՅԱՆ ԲԱՐՁՐԱՑՄԱՆՆ ՈՒՂՂՎԱԾ ԿԱՆՈՆՆԵՐԸ ԵՎ ԸՆԹԱՑԱԿԱՐԳԵՐԸ
115. Մանրածախ շուկայի գործունեության արդյունավետության բարձրացման միջոցառումները նպատակադրված են տնտեսական այնպիսի մեխանիզմների ներդրմանը, որոնք կապահովեն․
1) Էներգախնայողության միջոցառումների կիրառում Սպառողների և Բաշխողի կողմից՝
2) Սպառողների կողմից Մատակարարի ընտրության հնարավորություն՝ սահմանափակ պահանջարկ ունեցող Սպառողների համար;
3) Վերջնական Սպառողներին էլեկտրական էներգիայի վաճառքի սակագնային քաղաքականության կատարելագործում, այդ թվում՝ հաստատուն վճարի աստիճանական սահմանում բոլոր Սպառողների համար։
4) Վերջնական Սպառողների համար գնվող էլեկտրական էներգիայի քանակի և ռեժիմի խախտման համար պատասխանատվության սահմանում։
|
Հավելված N 1 Հայաստանի Հանրապետության հանրային ծառայությունները կարգավորող հանձնաժողովի 2019 թվականի դեկտեմբերի 25-ի N 517-Ն որոշմամբ հաստատված կանոնների |
Կ Ա Ր Գ
ՎԵՐԱԿԱՆԳՆՎՈՂ ԷՆԵՐԳԵՏԻԿ ՌԵՍՈՒՐՍՆԵՐ ՕԳՏԱԳՈՐԾՈՂ ԻՆՔՆԱՎԱՐ ԷՆԵՐԳԱԱՐՏԱԴՐՈՂԻ ԵՎ ԷԼԵԿՏՐԱԿԱՆ ԷՆԵՐԳԻԱՅԻ ԲԱՇԽՄԱՆ ԼԻՑԵՆԶԻԱ ՈՒՆԵՑՈՂ ԱՆՁԻ ՄԱՏԱԿԱՐԱՐԱԾ ԷԼԵԿՏՐԱԿԱՆ ԷՆԵՐԳԻԱՅԻ ԴԻՄԱՑ ՀԱՏՈՒՑՈՒՄ ՏՐԱՄԱԴՐԵԼՈՒ
1. Սույն կարգը սահմանում է էլեկտրաէներգետիկական համակարգում վերականգնվող էներգետիկ ռեսուրսներ օգտագործող Ինքնավար էներգաարտադրողի և Բաշխողի միջև իրականացվող ՎԷ փոխհոսքերի շրջանակում մատակարարված էլեկտրական էներգիայի դիմաց հատուցում տրամադրելու ընթացակարգը:
2. ՎԷ փոխհոսքեր իրականացնող Ինքնավար էներգաարտադրողի և Բաշխողի մատակարարած էլեկտրական էներգիայի դիմաց վճարման ենթակա գումարների հաշվարկը կատարվում է ամսական, իսկ վերջնահաշվարկը՝ տարեկան կտրվածքով: ՎԷ փոխհոսքերի շրջանակում հաշվարկային տարի է համարվում յուրաքանչյուր տարվա հունվարի 1-ից մինչև դեկտեմբերի 31-ը ներառյալ ընկած ժամանակահատվածը:
3. ՎԷ փոխհոսքեր իրականացնող Ինքնավար էներգաարտադրողների մոտ պետք է տեղակայված լինեն դարձափոխիչային (ռեվերսային) բազմասակագնային էլեկտրոնային հաշվիչներ, որոնց ձեռքբերման և սպասարկման հետ կապված հարցերը կարգավորվում են Բաշխման ցանցային կանոններով և Հանձնաժողովի այլ իրավական ակտերով:
4. ՎԷ փոխհոսքեր իրականացնող Ինքնավար էներգաարտադրողի կողմից Բաշխողին էլեկտրական էներգիայի մատակարարումը և դրա դիմաց հատուցումը կատարվում է ՎԷ փոխհոսքեր իրականացնող Ինքնավար էներգաարտադրողի և Բաշխողի միջև Հանձնաժողովի սահմանված օրինակելի ձևին համապատասխան կնքված՝ էլեկտրական էներգիայի մատակարարման և հատուցման պայմանագրի հիման վրա:
5. ՎԷ փոխհոսքեր իրականացնող Ինքնավար էներգաարտադրողի էլեկտրական ցանցին նոր միացման հետ կապված հարաբերությունները կարգավորվում են Բաշխման ցանցային կանոններով, Կանոններով և Հանձնաժողովի այլ իրավական ակտերով:
6. ՎԷ փոխհոսքեր իրականացնող Ինքնավար էներգաարտադրողի և Բաշխողի միջև Հաշվարկային ամսվա համար կատարվում է էլեկտրական էներգիայի հաշվեկշռային հաշվարկ հետևյալ բանաձևերով՝
Էփցi = Էփց (i -1) + (Բցաi - Իցաi ),
Էփգi = Էփգ (i -1) + (Բգաi – Իգաi ),
որտեղ՝
1) Էփցi -ն i-րդ Հաշվարկային ամսում ցերեկային սակագնի համար նախատեսված ժամանակահատվածում էլեկտրական էներգիայի հաշվեկշռային հաշվարկի արդյունքն է,
2) Էփց(i-1) -ն (i-1)-րդ Հաշվարկային ամսում ցերեկային սակագնի համար նախատեսված ժամանակահատվածում էլեկտրական էներգիայի հաշվեկշռային հաշվարկի արդյունքն է,
3) Բցաi -ն i-րդ Հաշվարկային ամսում Բաշխողի կողմից ՎԷ փոխհոսքեր իրականացնող Ինքնավար էներգաարտադրողին ցերեկային սակագնով մատակարարված էլեկտրական էներգիայի քանակն է,
4) Իցաi -ն i-րդ Հաշվարկային ամսում ՎԷ փոխհոսքեր իրականացնող Ինքնավար էներգաարտադրողի կողմից ցերեկային սակագնի համար նախատեսված ժամանակահատվածում Բաշխողի մատակարարված էլեկտրական էներգիայի քանակն է,
5) i-ն հաշվարկային տարվա Հաշվարկային ամիսներն են,
6) Էփգi -ն i-րդ Հաշվարկային ամսում գիշերային սակագնի համար նախատեսված ժամանակահատվածում էլեկտրական էներգիայի հաշվեկշռային հաշվարկի արդյունքն է,
7) Էփգ(i-1) -ն (i-1)-րդ Հաշվարկային ամսում գիշերային սակագնի համար նախատեսված ժամանակահատվածում էլեկտրական էներգիայի հաշվեկշռային հաշվարկի արդյունքն է,
8) Բգաi -ն i-րդ Հաշվարկային ամսում Բաշխողի կողմից ՎԷ փոխհոսքեր իրականացնող Ինքնավար էներգաարտադրողին գիշերային սակագնով մատակարարված էլեկտրական էներգիայի քանակն է,
9) Իգաi -ն i-րդ Հաշվարկային ամսում ՎԷ փոխհոսքեր իրականացնող Ինքնավար էներգաարտադրողի կողմից գիշերային սակագնի համար նախատեսված ժամանակահատվածում Բաշխողին մատակարարված էլեկտրական էներգիայի քանակն է:
7. Յուրաքանչյուր հաշվարկային տարվա առաջին Հաշվարկային ամսվա համար «Էփց(i-1)» և «Էփգ(i-1)» մեծություններն ընդունվում են հավասար 0-ի: «Էփց(i-1)» և «Էփգ(i-1)» մեծություններն ընդունվում են հավասար 0-ի նաև այն դեպքերում, երբ դրանք ունեն դրական նշան:
8. Այն Հաշվարկային ամսում, երբ «Էփցi» մեծությունը դրական է, ապա այդ քանակով էլեկտրական էներգիան համարվում է Բաշխողի կողմից ՎԷ փոխհոսքեր իրականացնող Ինքնավար էներգաարտադրողին (որպես Սպառող) ցերեկային սակագնով մատակարարված էլեկտրական էներգիա, և դրա հետ կապված հաշվարկային փաստաթղթի ներկայացման և վճարման ժամկետները կարգավորվում են կողմերի միջև կնքված Պայմանագրով և Կանոններով:
9. Այն Հաշվարկային ամսում, երբ «Էփգi» մեծությունը դրական է, ապա այդ քանակով էլեկտրական էներգիան համարվում է Բաշխողի կողմից ՎԷ փոխհոսքեր իրականացնող Ինքնավար էներգաարտադրողին (որպես Սպառող) գիշերային սակագնով մատակարարված էլեկտրական էներգիա, և դրա հետ կապված հաշվարկային փաստաթղթի ներկայացման և վճարման ժամկետները կարգավորվում են կողմերի միջև կնքված Պայմանագրով և Կանոններով:
10. Հաշվարկային տարվա ընթացքում ՎԷ փոխհոսքեր իրականացնող Ինքնավար էներգաարտադրողի կողմից վճարման ենթակա էլեկտրական էներգիայի քանակը հաշվարկվում է հետևյալ բանաձևերով՝
որտեղ՝
1) Էվց -ն հաշվարկային տարվա Հաշվարկային ամիսներում «Էփցi» դրական մեծությունների հանրագումարն է,
2) Էվգ -ն հաշվարկային տարվա Հաշվարկային ամիսներում «Էփգi» դրական մեծությունների հանրագումարն է:
11. Բաշխողի և ՎԷ փոխհոսքեր իրականացնող Ինքնավար էներգաարտադրողի միջև հաշվարկային տարվա ընթացքում ՎԷ փոխհոսքերի քանակը հաշվարկվում է հետևյալ բանաձևով՝
Էտ = Էց + Էգ,
որտեղ՝
1) Էտ-ն Բաշխողի և ՎԷ փոխհոսքեր իրականացնող Ինքնավար էներգաարտադրողի միջև հաշվարկային տարվա ընթացքում ՎԷ փոխհոսքերի տարբերությունն է,
2) Էց-ն Բաշխողի և ՎԷ փոխհոսքեր իրականացնող Ինքնավար էներգաարտադրողի միջև հաշվարկային տարվա ընթացքում ցերեկային ՎԷ փոխհոսքերի տարբերությունն է, որը որոշվում է հետևյալ բանաձևով՝
որտեղ՝
1) Էգ-ն Բաշխողի և ՎԷ փոխհոսքեր իրականացնող Ինքնավար էներգաարտադրողի միջև հաշվարկային տարվա ընթացքում գիշերային ՎԷ փոխհոսքերի տարբերությունն է, որը որոշվում է հետևյալ բանաձևով՝
12. Բաշխողի կողմից ՎԷ փոխհոսքեր իրականացնող Ինքնավար էներգաարտադրողին հատուցման ենթակա էլեկտրական էներգիայի քանակը և գումարի չափը որոշվում են հետևյալ կերպ.
1) եթե Էտ>0, միևնույն ժամանակ Էց>0, Էգ>0, Էց = Էվց և Էգ = Էվգ, ապա ՎԷ փոխհոսքեր իրականացնող Ինքնավար էներգաարտադրողին հատուցում չի տրամադրվում.
2) եթե Էտ>0, միևնույն ժամանակ Էց>0, Էգ>0, Էց<Էվց և Էգ = Էվգ, ապա հատուցման ենթակա էլեկտրական էներգիայի քանակը կազմում է (Էվց - Էց), և այդ քանակի էլեկտրական էներգիայի համար վճարված գումարները (ներառյալ ավելացված արժեքի հարկը) վերադարձվում են ՎԷ փոխհոսքեր իրականացնող Ինքնավար էներգաարտադրողին: Հաշվարկը կատարվում է հաշվարկային տարվա սկզբից աճողական կարգով՝ մինչև տվյալ չափաքանակի լրանալը.
3) եթե Էտ>0, միևնույն ժամանակ Էց>0, Էգ>0, Էց= Էվց և Էգ<Էվգ, ապա հատուցման ենթակա էլեկտրական էներգիայի քանակը կազմում է (Էվգ – Էգ), և այդ քանակի էլեկտրական էներգիայի համար վճարված գումարները (ներառյալ ավելացված արժեքի հարկը) վերադարձվում են ՎԷ փոխհոսքեր իրականացնող Ինքնավար էներգաարտադրողին: Հաշվարկը կատարվում է հաշվարկային տարվա սկզբից աճողական կարգով՝ մինչև տվյալ չափաքանակի լրանալը.
4) եթե Էտ>0, միևնույն ժամանակ Էց>0, Էգ>0, Էց < Էվց և Էգ<Էվգ, ապա հատուցման ենթակա էլեկտրական էներգիայի քանակը կազմում է (Էվց - Էց) և (Էվգ – Էգ ) հանրագումարը և այդ քանակի էլեկտրական էներգիայի համար վճարված գումարները (ներառյալ ավելացված արժեքի հարկը) վերադարձվում են ՎԷ փոխհոսքեր իրականացնող Ինքնավար էներգաարտադրողին: Հաշվարկը կատարվում է հաշվարկային տարվա սկզբից աճողական կարգով՝ մինչև տվյալ չափաքանակի լրանալը.
5) եթե Էտ>0, միևնույն ժամանակ Էց<0 և Էգ>0, ապա Էվց քանակի էլեկտրական էներգիայի համար վճարված գումարները (ներառյալ ավելացված արժեքի հարկը) վերադարձվում են ՎԷ փոխհոսքեր իրականացնող Ինքնավար էներգաարտադրողին: ՎԷ փոխհոսքեր իրականացնող Ինքնավար էներգաարտադրողի գիշերային ժամանակահատվածում սպառված էլեկտրական էներգիայի քանակից հատուցվում է նաև (Էվգ – Էտ ) քանակի էլեկտրական էներգիան, և այդ քանակի էլեկտրական էներգիայի համար վճարված գումարները (ներառյալ ավելացված արժեքի հարկը) վերադարձվում են ՎԷ փոխհոսքեր իրականացնող Ինքնավար էներգաարտադրողին: Հաշվարկը կատարվում է հաշվարկային տարվա սկզբից աճողական կարգով՝ մինչև տվյալ չափաքանակի լրանալը.
6) եթե Էտ>0, միևնույն ժամանակ Էց>0 և Էգ<0, ապա Էվգ քանակի էլեկտրական էներգիայի համար վճարված գումարները (ներառյալ ավելացված արժեքի հարկը) վերադարձվում են ՎԷ փոխհոսքեր իրականացնող Ինքնավար էներգաարտադրողին: ՎԷ փոխհոսքեր իրականացնող Ինքնավար էներգաարտադրողի ցերեկային ժամանակահատվածում սպառված էլեկտրական էներգիայի քանակից հատուցվում է նաև (Էվց – Էտ) քանակի էլեկտրական էներգիան, և այդ քանակի էլեկտրական էներգիայի համար վճարված գումարները (ներառյալ ավելացված արժեքի հարկը) վերադարձվում են ՎԷ փոխհոսքեր իրականացնող Ինքնավար էներգաարտադրողին: Հաշվարկը կատարվում է հաշվարկային տարվա սկզբից աճողական կարգով՝ մինչև տվյալ չափաքանակի լրանալը.
7) եթե Էտ<0, միևնույն ժամանակ Էց<0 և Էգ>0, ապա Էվց և Էվգ քանակի էլեկտրական էներգիայի համար վճարված գումարները (ներառյալ ավելացված արժեքի հարկը) վերադարձվում են ՎԷ փոխհոսքեր իրականացնող Ինքնավար էներգաարտադրողին: Միևնույն ժամանակ, ՎԷ փոխհոսքեր իրականացնող Ինքնավար էներգաարտադրողին հատուցվում է նաև Էտ բացարձակ արժեքի չափով էլեկտրական էներգիայի քանակը՝ դրա նկատմամբ կիրառելով հաշվարկային տարվա յուրաքանչյուր Հաշվարկային ամսի համար տվյալ Սպառողական խմբի համար Հանձնաժողովի կողմից սահմանված ցերեկային սակագնի 50 տոկոսի չափը՝ բացառությամբ հետևյալ դեպքերի.
ա) փոքր հիդրոէլեկտրակայանների դեպքում՝ Հանձնաժողովի կողմից տվյալ խմբի (բնական ջրահոսք, ոռոգման համակարգ, խմելու ջրատար) համար սահմանված գործող սակագնին հավասար.
բ) արևային և հողմային էներգիայի աղբյուրների կիրառմամբ էլեկտրական էներգիա արտադրող կայանների դեպքում` Հանձնաժողովի կողմից արևային էներգիայի աղբյուրի կիրառմամբ արդյունաբերական մասշտաբի էլեկտրակայանների համար սահմանված գործող սակագներից ամենացածր սակագնին հավասար` տվյալ Սպառողական խմբի համար Հանձնաժողովի կողմից սահմանված ցերեկային սակագնի 50 տոկոսի չափից ցածր լինելու դեպքում.
8) եթե Էտ<0, միևնույն ժամանակ Էց>0 և Էգ<0, ապա Էվց և Էվգ քանակի էլեկտրական էներգիայի համար վճարված գումարները (ներառյալ ավելացված արժեքի հարկը) վերադարձվում են ՎԷ փոխհոսքեր իրականացնող Ինքնավար էներգաարտադրողին: Միևնույն ժամանակ ՎԷ փոխհոսքեր իրականացնող Ինքնավար էներգաարտադրողին հատուցվում է նաև Էտ բացարձակ արժեքի չափով էլեկտրական էներգիայի քանակը՝ դրա նկատմամբ կիրառելով հաշվարկային տարվա յուրաքանչյուր Հաշվարկային ամսվա համար տվյալ Սպառողական խմբի համար Հանձնաժողովի կողմից սահմանված գիշերային սակագնի 50 տոկոսի չափը՝ բացառությամբ հետևյալ դեպքերի.
ա) փոքր հիդրոէլեկտրակայանների դեպքում՝ Հանձնաժողովի կողմից տվյալ խմբի (բնական ջրահոսք, ոռոգման համակարգ, խմելու ջրատար) համար սահմանված գործող սակագնին հավասար.
բ) արևային և հողմային էներգիայի աղբյուրների կիրառմամբ էլեկտրական էներգիա արտադրող կայանների դեպքում` Հանձնաժողովի կողմից արևային էներգիայի աղբյուրի կիրառմամբ արդյունաբերական մասշտաբի էլեկտրակայանների համար սահմանված գործող սակագներից ամենացածր սակագնին հավասար` տվյալ Սպառողական խմբի համար Հանձնաժողովի կողմից սահմանված գիշերային սակագնի 50 տոկոսի չափից ցածր լինելու դեպքում.
9) եթե Էտ<0, միևնույն ժամանակ Էց<0 և Էգ<0, ապա Էվց և Էվգ քանակի էլեկտրական էներգիայի համար վճարված գումարները (ներառյալ ավելացված արժեքի հարկը) վերադարձվում են ՎԷ փոխհոսքեր իրականացնող Ինքնավար էներգաարտադրողին: Միևնույն ժամանակ ՎԷ փոխհոսքեր իրականացնող Ինքնավար էներգաարտադրողին հատուցվում է նաև Էց և Էգ բացարձակ արժեքի չափով էլեկտրական էներգիայի քանակը՝ դրանց նկատմամբ կիրառելով համապատասխանաբար հաշվարկային տարվա յուրաքանչյուր Հաշվարկային ամսվա համար տվյալ Սպառողական խմբի համար Հանձնաժողովի կողմից սահմանված ցերեկային և գիշերային սակագների 50 տոկոսի չափը՝ բացառությամբ հետևյալ դեպքերի.
ա) փոքր հիդրոէլեկտրակայանների դեպքում՝ Հանձնաժողովի կողմից տվյալ խմբի (բնական ջրահոսք, ոռոգման համակարգ, խմելու ջրատար) համար սահմանված գործող սակագնին հավասար.
բ) արևային և հողմային էներգիայի աղբյուրների կիրառմամբ էլեկտրական էներգիա արտադրող կայանների դեպքում` Հանձնաժողովի կողմից արևային էներգիայի աղբյուրի կիրառմամբ արդյունաբերական մասշտաբի էլեկտրակայանների համար սահմանված գործող սակագներից ամենացածր սակագնին հավասար` տվյալ Սպառողական խմբի համար Հանձնաժողովի կողմից սահմանված՝ համապատասխանաբար ցերեկային և գիշերային սակագների 50 տոկոսի չափից ցածր լինելու դեպքում:
13. Հաշվարկային տարվա ավարտից հետո՝ մինչև հաջորդ տարվա հունվարի 25-ը, Բաշխողից հատուցում ստանալու համար ՎԷ փոխհոսքեր իրականացնող Ինքնավար էներգաարտադրողը և Բաշխողը Հայաստանի Հանրապետության օրենսդրությամբ սահմանված կարգով կազմում են հաշվարկային փաստաթուղթ: Բաշխողի հաշվարկային փաստաթղթի հիման վրա հատուցվող գումարը փոխանցում է ՎԷ փոխհոսքեր իրականացնող Ինքնավար էներգաարտադրողի բանկային հաշվեհամարին՝ հաշվարկային տարվա ավարտից հետո մինչև հաջորդ տարվա փետրվարի 1-ը:
|
Հավելված N 2 Հայաստանի Հանրապետության հանրային ծառայությունները կարգավորող հանձնաժողովի 2019 թվականի դեկտեմբերի 25-ի N 517-Ն որոշմամբ հաստատված կանոնների |
ՍՊԱՌՄԱՆ ՀԱՄԱԿԱՐԳՆ ԷԼԵԿՏՐԱԿԱՆ ՑԱՆՑԻՆ ՄԻԱՑՄԱՆ ՏԵԽՆԻԿԱԿԱՆ ՊԱՅՄԱՆՆԵՐ
ՍՊԱՌՄԱՆ ՀԱՄԱԿԱՐԳՆ ԷԼԵԿՏՐԱԿԱՆ ՑԱՆՑԻՆ ԺԱՄԱՆԱԿԱՎՈՐ ՄԻԱՑՄԱՆ ՏԵԽՆԻԿԱԿԱՆ ՊԱՅՄԱՆՆԵՐ
|
Բաշխող՝ |
Սպառող՝ |
|
______________________________ (անուն, ազգանուն, պաշտոն) |
___________________________________________ (անուն, ազգանուն) |
|
______________________________ (ստորագրություն) |
______________________________ (ստորագրություն) |
|
Հավելված N 3 Հայաստանի Հանրապետության հանրային ծառայությունները կարգավորող հանձնաժողովի 2019 թվականի դեկտեմբերի 25-ի N 517-Ն որոշմամբ հաստատված կանոնների |
ՍՊԱՌՈՂԻ ԷԼԵԿՏՐԱՄԱՏԱԿԱՐԱՐՄԱՆ ՄԻԱԳԻԾ ՍԽԵՄԱՆ
|
Բաշխող՝ |
Սպառող՝ |
|
______________________________ (անուն, ազգանուն, պաշտոն) |
___________________________________________ (անուն, ազգանուն) |
|
______________________________ (ստորագրություն) |
______________________________ (ստորագրություն) |
|
Հավելված N 4 Հայաստանի Հանրապետության հանրային ծառայությունները կարգավորող հանձնաժողովի 2019 թվականի դեկտեմբերի 25-ի N 517-Ն որոշմամբ հաստատված կանոնների |
ՍՊԱՌՈՂԻ (ԵՆԹԱՍՊԱՌՈՂԻ) ԱՌԵՎՏՐԱՅԻՆ (ՎԵՐՍՏՈՒԳԻՉ) ՀԱՇՎԱՌՔԻ ՍԱՐՔԻ ՏՎՅԱԼՆԵՐԸ
|
Հաշվառքի սարքի |
Առևտրային հաշվառքի սարք (վերստուգիչ հաշվառքի սարք) |
Սպառողի սեփակա-նությունը հան-դիսացող կամ իր կողմից տնօրինվող տարածք-ներում առևտրային հաշվառքի սարքի ամբողջա-կանության պահ-պանման պատաս-խանատու կողմը | |||||||||
|
Հաշվիչի |
Հոսանքի չափիչ |
Լարման չափիչ | |||||||||
|
տեսակը, |
թույլա- |
անվա- |
հաջորդ |
տեսակը, |
ճշտու-թյան |
տրանս-ֆոր- |
տեսակը, |
ճշտու-թյան |
տրանս-ֆոր- | ||
|
1 |
2 |
3 |
4 |
5 |
6 |
7 |
8 |
9 |
10 |
11 |
12 |
|
Բաշխող՝ |
Սպառող՝ |
|
______________________________ (անուն, ազգանուն, պաշտոն) |
___________________________________________ (անուն, ազգանուն) |
|
______________________________ (ստորագրություն) |
______________________________ (ստորագրություն) |
|
Հավելված N 5 Հայաստանի Հանրապետության հանրային ծառայությունները կարգավորող հանձնաժողովի 2019 թվականի դեկտեմբերի 25-ի N 517-Ն որոշմամբ հաստատված կանոնների |
Ա Կ Տ
ՄԱՏԱԿԱՐԱՐԻ ԷԼԵԿՏՐԱԿԱՆ ՑԱՆՑԻ ԵՎ ՍՊԱՌՈՂԻ ՍՊԱՌՄԱՆ ՀԱՄԱԿԱՐԳԻ ՍԱՀՄԱՆԱԶԱՏՄԱՆ ԿԵՏԻ ԵՎ ԷԼԵԿՏՐԱՏԵՂԱԿԱՅԱՆՔՆԵՐԻ ՇԱՀԱԳՈՐԾՄԱՆ ՊԱՏԱՍԽԱՆԱՏՎՈՒԹՅԱՆ ՍԱՀՄԱՆԱԶԱՏՄԱՆ ՎԵՐԱԲԵՐՅԱԼ
1. Կողմերի սահմանազատման կետն է`_______________________________________:
2. Կողմերի էլեկտրատեղակայանքների շահագործման պատասխանատվության սահմանազատման կետն է` _______________________________________________________:
3. Սպառողի և ենթասպառողի էլեկտրատեղակայանքների սահմանազատման կետն է`_____________________________________:
|
Բաշխող՝ |
Սպառող՝ |
|
______________________________ (անուն, ազգանուն, պաշտոն) |
___________________________________________ (անուն, ազգանուն) |
|
______________________________ (ստորագրություն) |
______________________________ (ստորագրություն) |
|
Հավելված N 6 Հայաստանի Հանրապետության հանրային ծառայությունները կարգավորող հանձնաժողովի 2019 թվականի դեկտեմբերի 25-ի N 517-Ն որոշմամբ հաստատված կանոնների |
ՍՊԱՌՈՂԻ (ԵՆԹԱՍՊԱՌՈՂԻ) ՍՆՄԱՆ ՈՒՂՂՈՒԹՅԱՆ, ԼԱՐՄԱՆ, ԱՌԱՎԵԼԱԳՈՒՅՆ ԹՈՒՅԼԱՏՐԵԼԻ ՀԶՈՐՈՒԹՅԱՆ ՎԵՐԱԲԵՐՅԱԼ
|
N |
Սնման ուղղության անվանումը |
Հասցեն |
Էլեկտրա-ընդունիչների կարգը (I,II,II) |
Սահմա-նազատման կետի լարումը |
Առա-վելագույն |
Աշխա-տանքային օրերի և ժամերի քանակը (ժամ) |
Հայտարարված առավելագույն բեռը (կՎտ) աշխա-տանքային և ոչ աշխատանքային ժամերին |
|
1 |
2 |
3 |
4 |
5 |
6 |
7 |
8 |
|
1 |
|||||||
|
2 |
|||||||
|
3 |
1. Սույն աղյուսակի 6-րդ սյունակը լրացվում է համաձայն Սպառողին տրված տեխնիկական պայմանների: Տեխնիկական պայմանների բացակայության դեպքում 6-րդ սյունակը լրացվում է `
1) 0.22 կՎ լարման Սպառողների համար` հաշվիչի թույլատրելի հոսանքի և անվանական լարման արտադրյալով.
2) 0.4 կՎ լարման Սպառողների համար` հաշվիչի թույլատրելի հոսանքի, անվանական լարման և հոսանքի չափիչ տրանսֆորմատորի տրանսֆորմացիայի գործակցի արտադրյալով.
3) 6 (10) կՎ և բարձր լարման Սպառողների համար` հաշվիչի թույլատրելի հոսանքի, անվանական լարման, հոսանքի չափիչ տրանսֆորմատորի տրանսֆորմացիայի գործակցի և լարման չափիչ տրանսֆորմատորի տրանսֆորմացիայի գործակցի արտադրյալով:
2. Սույն աղյուսակի 4-րդ սյունակը լրացվում է Հայաստանի Հանրապետության կառավարության 2006 թվականի դեկտեմբերի 21-ի N 1943-Ն որոշմամբ հաստատված՝ «Էլեկտրատեղակայանքների սարքվածքներին ներկայացվող ընդհանուր պահանջներ» տեխնիկական կանոնակարգում նշված էլեկտրաընդունիչների կարգերի համաձայն:
|
Բաշխող՝ |
Սպառող՝ |
|
______________________________ (անուն, ազգանուն, պաշտոն) |
___________________________________________ (անուն, ազգանուն) |
|
______________________________ (ստորագրություն) |
______________________________ (ստորագրություն) |