«Վավերացնում եմ»
Հայաստանի Հանրապետության
Նախագահ Ռ. Քոչարյան
29 հունիսի 2005 թ.
ՀԱՅԱՍՏԱՆԻ ՀԱՆՐԱՊԵՏՈՒԹՅԱՆ ԿԱՌԱՎԱՐՈՒԹՅՈՒՆ
Ո Ր Ո Շ ՈՒ Մ
9 հունիսի 2005 թվականի N 843-Ն
ՀԱՅԱՍՏԱՆԻ ՀԱՆՐԱՊԵՏՈՒԹՅԱՆ ԼՈՌՈՒ ՄԱՐԶԻ ԳՅՈՒԼԱԳԱՐԱԿԻ ԳՅՈՒՂԱԿԱՆ ՀԱՄԱՅՆՔԻ ՎԱՐՉԱԿԱՆ ՍԱՀՄԱՆՆԵՐԻ ՆԿԱՐԱԳԻՐԸ ՀԱՍՏԱՏԵԼՈՒ ԵՎ ԳՅՈՒԼԱԳԱՐԱԿԻ ԳՅՈՒՂԱԿԱՆ ՀԱՄԱՅՆՔԻ ՎԱՐՉԱԿԱՆ ՍԱՀՄԱՆՆԵՐՈՒՄ ԳՏՆՎՈՂ` ՊԵՏԱԿԱՆ ՍԵՓԱԿԱՆՈՒԹՅՈՒՆ ՀԱՆԴԻՍԱՑՈՂ ՀՈՂԱՄԱՍԵՐՆ ԱՆՀԱՏՈՒՅՑ ՍԵՓԱԿԱՆՈՒԹՅԱՆ ԻՐԱՎՈՒՆՔՈՎ ՀԱՄԱՅՆՔԻՆ ՓՈԽԱՆՑԵԼՈՒ ՄԱՍԻՆ
Հայաստանի Հանրապետության հողային օրենսգրքի 34-րդ ու 56-րդ, «Տեղական ինքնակառավարման մասին» Հայաստանի Հանրապետության օրենքի 6-րդ, 47-րդ ու 84-րդ և «Հայաստանի Հանրապետության վարչատարածքային բաժանման մասին» Հայաստանի Հանրապետության օրենքի 6-րդ հոդվածների պահանջներին համապատասխան` Հայաստանի Հանրապետության կառավարությունը որոշում է.
1. Հաստատել Հայաստանի Հանրապետության Լոռու մարզի Գյուլագարակի գյուղական համայնքի վարչական սահմանների նկարագիրը` համաձայն NN 1 և 2 հավելվածների:
2. Հայաստանի Հանրապետության Լոռու մարզի Գյուլագարակի գյուղական համայնքի վարչական սահմաններում գտնվող` պետական սեփականություն հանդիսացող 465.95 հեկտար հողամասերից 436.06 հեկտարը, որից` գյուղատնտեսական նշանակության` 369.9 հեկտար, բնակավայրերի հողերի` 28.24 հեկտար, արդյունաբերության, ընդերքօգտագործման և այլ արտադրական նշանակության օբյեկտների` 32.3 հեկտար, էներգետիկայի, տրանսպորտի, կապի և կոմունալ ենթակառուցվածքների օբյեկտների` 0.25 հեկտար, հատուկ պահպանվող տարածքների` 3.9 հեկտար, ջրային հողեր 1.46 հեկտար անհատույց սեփականության իրավունքով փոխանցել Գյուլագարակի գյուղական համայնքին` համաձայն NN 3, 4, 5 և 6 հավելվածների:
3. Սահմանել, որ Հայաստանի Հանրապետության հողային օրենսգրքի 60-րդ հոդվածի պահանջներին համապատասխան`
ա) Հայաստանի Հանրապետության Լոռու մարզի Գյուլագարակի գյուղական համայնքին անհատույց սեփականության իրավունքով փոխանցվող 436.06 հեկտար հողերից 55.19 հեկտարը մասնավորեցման ենթակա չէ.
բ) Հայաստանի Հանրապետության Լոռու մարզի Գյուլագարակի գյուղական համայնքի վարչական սահմաններում գտնվող հողերից 29.89 հեկտարը համարվում է պետական սեփականություն` համաձայն N 7 հավելվածի:
4. Ընդունել ի գիտություն Հայաստանի Հանրապետության Լոռու մարզի Գյուլագարակի գյուղական համայնքի հողային ֆոնդի առկայության և բաշխման մասին հաշվետվությունը` 2005 թվականի հունվարի 1-ի դրությամբ` համաձայն NN 8 և 9 հավելվածների:
5. Հայաստանի Հանրապետության կառավարությանն առընթեր անշարժ գույքի կադաստրի պետական կոմիտեի նախագահին` սահմանված կարգով ապահովել սկզբնական հաշվառման նյութերի տրամադրումը Հայաստանի Հանրապետության Լոռու մարզի Գյուլագարակի գյուղական համայնքի ղեկավարին` հողերի ընթացիկ հաշվառումն անցկացնելու և համայնքի հողային հաշվեկշիռը կազմելու համար:
6. Թույլատրել Հայաստանի Հանրապետության կառավարությանն առընթեր անշարժ գույքի կադաստրի պետական կոմիտեի նախագահին Հայաստանի Հանրապետության պետական գեոդեզիական ցանցի հավասարակշռման արդյունքների հիման վրա Հայաստանի Հանրապետության վարչատարածքային միավորների սահմանանիշերի կոորդինատների ժողովածուի հրատարակումից հետո հողային ֆոնդի ընթացիկ հաշվառման ժամանակ Գյուլագարակի գյուղական համայնքի հողային հաշվեկշռում սահմանված կարգով կատարել համապատասխան փոփոխություններ:
7. Հայաստանի Հանրապետության Լոռու մարզպետին` Հայաստանի Հանրապետության կառավարության 2000 թվականի հոկտեմբերի 23-ի N 656 որոշմամբ սահմանված կարգով` սկզբնական հաշվառման տվյալների հիման վրա ապահովել մարզի տարածքում ընթացիկ հաշվառման աշխատանքների իրականացումը:
8. Սույն որոշումն ուժի մեջ է մտնում պաշտոնական հրապարակմանը հաջորդող օրվանից:
|
Հայաստանի Հանրապետության |
Ա. Մարգարյան |
|
|
|
Հավելված N 1 |
ՀԱՅԱՍՏԱՆԻ ՀԱՆՐԱՊԵՏՈՒԹՅԱՆ ԼՈՌՈՒ ՄԱՐԶԻ ԳՅՈՒԼԱԳԱՐԱԿԻ ԳՅՈՒՂԱԿԱՆ ՀԱՄԱՅՆՔԻ ՎԱՐՉԱԿԱՆ ՍԱՀՄԱՆՆԵՐԻ ՀԱՏԱԿԱԳԻԾԸ
Հավելված N 2
Հայաստանի Հանրապետության
կառավարության աշխատակազմի
ղեկավար-նախարարՄ. Թոփուզյան
ՀՀ կառավարության 2005 թվականի
հունիսի 9-ի N 843-Ն որոշման
ՀԱՅԱՍՏԱՆԻ ՀԱՆՐԱՊԵՏՈՒԹՅԱՆ ԼՈՌՈՒ ՄԱՐԶԻ ԳՅՈՒԼԱԳԱՐԱԿԻ ԳՅՈՒՂԱԿԱՆ ՀԱՄԱՅՆՔԻ ՎԱՐՉԱԿԱՆ ՍԱՀՄԱՆՆԵՐԻ ՆԿԱՐԱԳՐՈՒԹՅՈՒՆԸ
Գյուլագարակ համայնքը գտնվում է Լոռու մարզի կենտրոնական մասում:
Հեռավորությունը մարզկենտրոն Վանաձոր քաղաքից 25 կմ է:
Համայնքը հյուսիսային «Ա»-«Բ» հատվածով սահմանակից է Ագարակ համայնքին, «Բ»-«Գ» հատվածով` Յաղդան համայնքին, «Գ»-«Դ» հատվածով` Վարդաբլուր համայնքին, «Դ»-«Ե» հատվածով` Հոբարձի համայնքին, «Ե»-«Զ» հատվածով` մարզի համայնքների վարչական սահմաններից դուրս գտնվող անտառային հողերին, հարավ-արևմտյան «Զ»-«Է» հատվածով` Գարգառ համայնքին, իսկ հյուսիս-արևմտյան «Է»-«Ա» հատվածով` Ամրակից համայնքին:
ԳՅՈՒԼԱԳԱՐԱԿ-ԱԳԱՐԱԿ ՍԱՀՄԱՆԱԳԻԾԸ` «Ա»-«Բ»
Ամրակից, Գյուլագարակ, Ագարակ համայնքների տարածքների բաժանման «Ա» հանգուցային սահմանակետից սահմանագիծը «Ձորագետ» գետով անցնում է դեպի հարավ-արևելք անցնելով թիվ 1-8 կետերով, հասնում Գյուլագարակ, Յաղդան և Ագարակ համայնքների տարածքների բաժանման «Բ» հանգուցային սահմանակետին:
«Ա»-«Բ» սահմանագծի երկարությունը 1468.04 մ է:
ԳՅՈՒԼԱԳԱՐԱԿ-ՅԱՂԴԱՆ ՍԱՀՄԱՆԱԳԻԾԸ` «Բ»-«Գ»
Ագարակ, Յաղդան և Գյուլագարակ համայնքների տարածքների բաժանման «Բ» հանգուցային սահմանակետից սահմանագիծը Ձորագետ գետով անցնում է դեպի հարավ-արևելք, անցնելով թիվ 1-3 կետերով հասնում Գյուլագարակ, Վարդաբլուր և Յաղդան համայնքների տարածքների բաժանման «Գ» հանգուցային սահմանակետին:
«Բ»-«Գ» սահմանագծի երկարությունը 674.18 մ է:
ԳՅՈՒԼԱԳԱՐԱԿ-ՎԱՐԴԱԲԼՈՒՐ ՍԱՀՄԱՆԱԳԻԾԸ` «Գ»-«Դ»
Գյուլագարակ, Յաղդան և Վարդաբլուր համայնքների տարածքների բաժանման «Գ» հանգուցային սահմանակետից սահմանագիծը Ձորագետից անցնում է դեպի հարավ 384.7 մ հասնում թիվ 1 սահմանակետին, այնուհետև սահմանագիծը 85.0 մ անցնելով հասնում թիվ 2 սահմանակետին: Թիվ 2 կետից սահմանագիծը հատելով դաշտային ճանապարհը 145.8 մ-ի վրա, հասնում վարելահողի եզրի թիվ 3 կետին: Թիվ 3 կետից սահմանագիծը շարունակվում է դեպի հարավ վարելահողի եզրով անցնելով թիվ 4-5 սահմանակետերը, հատելով դաշտային ճանապարհը, հասնում թիվ 6 կետին, այնուհետև սահմանագիծը շարունակվում դեպի հարավ վարելահողի եզրով անցնելով թիվ 7, 8 կետերը, հասնում թիվ 9 սահմանակետին: Թիվ 9 կետից սահմանագիծը հատելով Կիրովի ջրանցքը հասնում վարելահողի եզրի թիվ 10 կետին: Թիվ 10 կետից սահմանագիծը անցնելով 75.0 մ հասնում է թիվ 11, ապա թիվ 12 կետին, նույն ուղղությամբ հատելով դաշտային ճանապարհը, հասնում խոտհարքիև վարելահողի եզրի թիվ 13 կետին: Թիվ 13 կետից սահմանագիծը թեքվելով դեպի հարավ-արևելք հասնում եռանկյունաչափական թիվ 14 կետին` բարձրությունը` 1435.7 մ: Թիվ 14 կետից /բլրի գագաթից/ սահմանագիծը անցնում է դեպի հարավ հատելով դաշտային ճանապարհը, հասնում թիվ 15 կետին, այնուհետև սահմանագիծն անցնելով դեպի հարավ-արևելք 378.2 մ, հասնում Գյուլագարակ, Հոբարձի և Վարդաբլուր համայնքների տարածքների բաժանման «Դ» հանգուցային սահմանակետին:
«Գ»-«Դ» սահմանագծի երկարությունը 2900.47 մ է:
ԳՅՈՒԼԱԳԱՐԱԿ-ՀՈԲԱՐՁԻ ՍԱՀՄԱՆԱԳԻԾԸ` «Դ»-«Ե»
Գյուլագարակ, Հոբարձի և Վարդաբլուր համայնքների տարածքների բաժանման «Դ» հանգուցային սահմանակետից սահմանագիծն անցնում է դեպի հարավ-արևմուտք 258.4 մ հասնում վարելահողի եզրի թիվ 1 կետին, այնուհետև սահմանագիծը թեքվում է հարավ-արևելք անցնելով 569.2 մ հասնում ճանապարհի եզրի թիվ 2 կետին: Թիվ 2 կետից սահմանագիծը թեքվում է դեպի հարավ-արևելք, վարելահողի եզրով հասնում Գարգառ գետակի եզրի թիվ 3 կետին, այնուհետև Գարգառ գետակով սահմանագիծը շարունակվում է դեպի հարավ-արևմուտք անցնելով թիվ 4-19 կետերով հասնում վարելահողի եզրի թիվ 20 կետին, որից հետո սահմանագիծը թեքվում է դեպի հարավ-արևելք, անցնելով վարելահողի եզրի թիվ 21 կետով, հասնում բլրի գագաթի 1548.9 մ նիշ ունեցող թիվ 22 կետին, որից հետո սահմանագիծը թեքվում դեպի հարավ-արևելք 135.0 մ հասնում թիվ 23 կետին, այնուհետև ջրբաժանով անցնում 143.8 մ` հասնում թիվ 24 կետին, որից հետո սահմանագիծը անցնում է դեպի հարավ և հասնում Գյուլագարակ, Հոբարձի և մարզի համայնքների վարչական սահմաններից դուրս գտնվող անտառային հողերի «Ե» հանգուցային սահմանակետին:
«Դ»-«Ե» սահմանագծի երկարությունը 5091.47 մ է:
ԳՅՈՒԼԱԳԱՐԱԿ-ՄԱՐԶԻ ՀԱՄԱՅՆՔՆԵՐԻ ՎԱՐՉԱԿԱՆ ՍԱՀՄԱՆՆԵՐԻՑ ԴՈՒՐՍ ԳՏՆՎՈՂ ԱՆՏԱՌԱՅԻՆ ՀՈՂԵՐ ՍԱՀՄԱՆԱԳԻԾԸ` «Ե»-«Զ»
Հոբարձի, Գյուլագարակ և մարզի համայնքների վարչական սահմաններից դուրս գտնվող անտառային հողերի տարածքների բաժանման «Ե» հանգուցային կետից սահմանագիծը թեքվում է դեպի արևմուտք 591.91 մ անտառի եզրով հասնում թիվ 1 կետին, այնուհետև շարունակվելով դեպի հարավ-արևմուտք 353.7 մ հատելով Գարգառ գետակի վտակը, հասնում թիվ 2 կետին: Թիվ 2 կետից հետո սահմանագիծը շարունակվում է դեպի հյուսիս-արևմուտք անցնելով 309.1 մ անտառի եզրով հասնում ֆերմաների մոտ դրված թիվ 3 կետին: Թիվ 3 կետից սահմանագիծը կտրուկ փոխելով ուղղությունը դեպի հարավ-արևմուտք` գետակին զուգահեռ անցնելով 334.8 մ, հասնում է անտառի եզրի թիվ 4 կետին, այնուհետև շարունակվում է դեպի հարավ արտադրական մասի եզրով, հասնում թիվ 5 կետին: Թիվ 5 կետից սահմանագիծն անցնելով 414.3 մ հատելով դաշտային ճանապարհը, հասնում անտառի եզրի թիվ 6 կետին: Թիվ 6 կետից սահմանագիծը կտրուկ փոխելով ուղղությունը դեպի արևմուտք անցնելով 138.4 մ հատելով դաշտային ճանապարհը, հասնում անտառի եզրի թիվ 7 կետին, այնուհետև թեքվում դեպի հյուսիս անցնելով 158.5 մ հասնում Գարգառ, Գյուլագարակ և մարզի համայնքների վարչական սահմաններից դուրս գտնվող անտառային հողերի բաժանման «Զ» հանգուցային կետին:
«Ե»-«Զ» սահմանագծի երկարությունը 2594.90 մ է:
ԳՅՈՒԼԱԳԱՐԱԿ-ԳԱՐԳԱՌ ՍԱՀՄԱՆԱԳԻԾԸ` «Զ»-«Է»
Ամրակից, Գարգառ, Գյուլագարակ համայնքների տարածքների բաժանման «Է» հանգուցային կետից սահմանագիծը ջրբաժանով անցնում է հարավ-արևելք 563.8 մ հասնում թիվ 1 կետին, այնուհետև սահմանագիծն անցնում է դեպի հարավ-արևելք և հասնում 1611.0 մ նիշ ունեցող բլրի գագաթի թիվ 2 կետին: Թիվ 2 կետից սահմանագիծն անցնում է դեպի արևելք 224.38 մ հասնում թիվ 3 կետին, որից հետո սահմանագիծը թեքվում է հարավ-արևելք ջրբաժանով անցնելով թիվ 4 կետը, հասնում նախկին ջրամբարի տարածքում գտնվող թիվ 5 կետին: Թիվ 5 կետից սահմանագիծը անցնելով թիվ 6 կետով` հատելով Գարգառ-Գյուլագարակ ճանապարհը` հասնում տնամերձի եզրի թիվ 7 կետին: Թիվ 7 կետից սահմանագիծը հատելով դաշտային ճանապարհը հասնում ձորակի թիվ 8 կետին, շարունակվում դեպի հարավ-արևելք անցնելով թիվ 9 կետով հասնում վարելահողի եզրի թիվ 10 կետին: Թիվ 10 կետից սահմանագիծը հատելով ձորակը հասնում է թիվ 11 կետին: Թիվ 11 կետից սահմանագիծը անցնում է հարավ-արևելք` վարելահողի եզրով անցնելով թիվ 12-13 կետերով, հասնում եկեղեցու մոտ գտնվող թիվ 14 կետին: Թիվ 14 կետից հատելով եկեղեցու սահմանագիծը հասնում թիվ 15 կետին: Թիվ 15 կետից սահմանագիծն անցնում է դեպի հարավ անտառի եզրով հասնում Գարգառ, Գյուլագարակ և մարզի համայնքների վարչական սահմաններից դուրս գտնվող անտառային հողերի բաժանման «Զ» հանգուցային սահմանակետին:
«Զ»-«Է» սահմանագծի երկարությունը 5672.22 մ է:
ԳՅՈՒԼԱԳԱՐԱԿ-ԱՄՐԱԿԻՑ ՍԱՀՄԱՆԱԳԻԾԸ` «Է»-«Ա»
Ագարակ, Ամրակից և Գյուլագարակ համայնքների տարածքների բաժանման «Ա» հանգուցային կետից սահմանագիծն անցնում է դեպի հարավ-արևմուտք, հատելով Կուրթանի ջրանցքը վարելահողի եզրով հատելով դաշտային ճանապարհը հասնում թիվ 1 կետին, այնուհետև շարունակելով նույն ուղղությամբ հատելով դաշտային ճանապարհներ անցնելով թիվ 2 կետով հասնում թիվ 3 կետին: Թիվ 3 կետից սահմանագիծը թեքվում է դեպի հարավ-արևելք անցնելով 47.8 մ, հասնում խոտհարքի եզրի թիվ 4 կետին: Թիվ 4 կետից սահմանագիծը թեքվում է դեպի հարավ-արևմուտք և անցնելով թիվ 5-6 կետերով, հասնում Ամրակից Գյուլագարակ ճանապարհի եզրի թիվ 7 կետին: Թիվ 7 կետից սահմանագիծը հատելով ճանապարհը վարելահողի և խոտհարքի եզրով հասնում բլրի գագաթին գտնվող Ամրակից, Գարգառ և Գյուլագարակ համայնքների տարածքների բաժանման «Է» հանգուցային կետին:
«Է»-«Ա» սահմանագծի երկարությունը 3653.55 մ է:
| Հայաստանի Հանրապետության կառավարության աշխատակազմի ղեկավար-նախարար |
Մ. Թոփուզյան |
|
|
|
|
Հավելված N 3 |
ՀԱՅԱՍՏԱՆԻ ՀԱՆՐԱՊԵՏՈՒԹՅԱՆ ԼՈՌՈՒ ՄԱՐԶԻ ԳՅՈՒԼԱԳԱՐԱԿԻ ԳՅՈՒՂԱԿԱՆ ՀԱՄԱՅՆՔԻ ՀՈՂԱՇԻՆԱՐԱՐԱԿԱՆ ՀԱՏԱԿԱԳԻԾԸ
| Հայաստանի Հանրապետության կառավարության աշխատակազմի ղեկավար-նախարար |
Մ. Թոփուզյան |
|
|
|
|
Հավելված N 4 |
Ա Ն Վ Ա Ն Ա Ց Ա Ն Կ
ՀԱՅԱՍՏԱՆԻ ՀԱՆՐԱՊԵՏՈՒԹՅԱՆ ԼՈՌՈՒ ՄԱՐԶԻ ԳՅՈՒԼԱԳԱՐԱԿԻ ԳՅՈՒՂԱԿԱՆ ՀԱՄԱՅՆՔԻ ՎԱՐՉԱԿԱՆ ՍԱՀՄԱՆՆԵՐՈՒՄ ԳՏՆՎՈՂ` ՊԵՏԱԿԱՆ ՍԵՓԱԿԱՆՈՒԹՅՈՒՆ ՀԱՆԴԻՍԱՑՈՂ ՀՈՂԵՐԻՑ ԳՅՈՒԼԱԳԱՐԱԿԻ ԳՅՈՒՂԱԿԱՆ ՀԱՄԱՅՆՔԻՆ ԱՆՀԱՏՈՒՅՑ ՓՈԽԱՆՑՎՈՂ ՀՈՂԵՐԻ
| Հայաստանի Հանրապետության կառավարության աշխատակազմի ղեկավար-նախարար |
Մ. Թոփուզյան |
|
|
|
|
Հավելված N 5 |
Ց Ա Ն Կ
ՀԱՅԱՍՏԱՆԻ ՀԱՆՐԱՊԵՏՈՒԹՅԱՆ ԼՈՌՈՒ ՄԱՐԶԻ ԳՅՈՒԼԱԳԱՐԱԿԻ ԳՅՈՒՂԱԿԱՆ ՀԱՄԱՅՆՔԻ ՎԱՐՉԱԿԱՆ ՍԱՀՄԱՆՆԵՐՈՒՄ ԳՏՆՎՈՂ` ՊԵՏԱԿԱՆ ՍԵՓԱԿԱՆՈՒԹՅՈՒՆ ՀԱՆԴԻՍԱՑՈՂ ՀՈՂԵՐԻՑ ԳՅՈՒԼԱԳԱՐԱԿԻ ԳՅՈՒՂԱԿԱՆ ՀԱՄԱՅՆՔԻՆ ԱՆՀԱՏՈՒՅՑ ՓՈԽԱՆՑՎՈՂ ՀՈՂԵՐԻ
Հավելված N 6
Հայաստանի Հանրապետության
կառավարության աշխատակազմի
ղեկավար-նախարարՄ. Թոփուզյան
ՀՀ կառավարության 2005 թվականի
հունիսի 9-ի N 843-Ն որոշման
Ց Ա Ն Կ
ՀԱՅԱՍՏԱՆԻ ՀԱՆՐԱՊԵՏՈՒԹՅԱՆ ԼՈՌՈՒ ՄԱՐԶԻ ԳՅՈՒԼԱԳԱՐԱԿԻ ԳՅՈՒՂԱԿԱՆ ՀԱՄԱՅՆՔԻ ՎԱՐՉԱԿԱՆ ՍԱՀՄԱՆՆԵՐՈՒՄ ԳՏՆՎՈՂ` ՊԵՏԱԿԱՆ ՍԵՓԱԿԱՆՈՒԹՅՈՒՆ ՀԱՆԴԻՍԱՑՈՂ ՀՈՂԵՐԻՑ ԳՅՈՒԼԱԳԱՐԱԿԻ ԳՅՈՒՂԱԿԱՆ ՀԱՄԱՅՆՔԻՆ ԱՆՀԱՏՈՒՅՑ ՓՈԽԱՆՑՎՈՂ ՀՈՂԵՐԻ (ԸՍՏ ՆՊԱՏԱԿԱՅԻՆ ՆՇԱՆԱԿՈՒԹՅԱՆ)
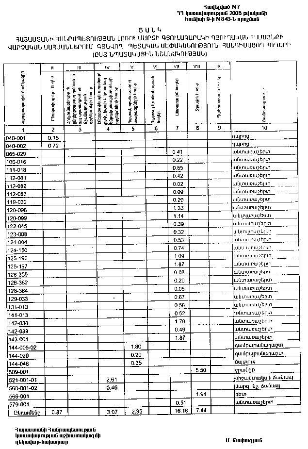
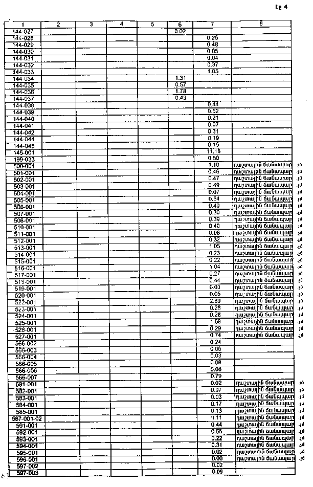
Հավելված N 7
Հայաստանի Հանրապետության
կառավարության աշխատակազմի
ղեկավար-նախարարՄ. Թոփուզյան
ՀՀ կառավարության 2005 թվականի
հունիսի 9-ի N 843-Ն որոշման
Ց Ա Ն Կ
ՀԱՅԱՍՏԱՆԻ ՀԱՆՐԱՊԵՏՈՒԹՅԱՆ ԼՈՌՈՒ ՄԱՐԶԻ ԳՅՈՒԼԱԳԱՐԱԿԻ ԳՅՈՒՂԱԿԱՆ ՀԱՄԱՅՆՔԻ ՎԱՐՉԱԿԱՆ ՍԱՀՄԱՆՆԵՐՈՒՄ ԳՏՆՎՈՂ` ՊԵՏԱԿԱՆ ՍԵՓԱԿԱՆՈՒԹՅՈՒՆ ՀԱՆԴԻՍԱՑՈՂ ՀՈՂԵՐԻ (ԸՍՏ ՆՊԱՏԱԿԱՅԻՆ ՆՇԱՆԱԿՈՒԹՅԱՆ)
Հավելված N 8
Հայաստանի Հանրապետության
կառավարության աշխատակազմի
ղեկավար-նախարարՄ. Թոփուզյան
ՀՀ կառավարության 2005 թվականի
հունիսի 9-ի N 843-Ն որոշման
Ձև 22
Հ Ա Շ Վ Ե Տ Վ ՈՒ Թ Յ ՈՒ Ն
ՀԱՅԱՍՏԱՆԻ ՀԱՆՐԱՊԵՏՈՒԹՅԱՆ ԼՈՌՈՒ ՄԱՐԶԻ ԳՅՈՒԼԱԳԱՐԱԿԻ ԳՅՈՒՂԱԿԱՆ ՀԱՄԱՅՆՔԻ ՀՈՂԱՅԻՆ ՖՈՆԴԻ ԱՌԿԱՅՈՒԹՅԱՆ ԵՎ ԲԱՇԽՄԱՆ ՄԱՍԻՆ
| Հայաստանի Հանրապետության կառավարության աշխատակազմի ղեկավար-նախարար |
Մ. Թոփուզյան |
|
|
|
|
Հավելված N 9
|
Ձև 22 ա
Հ Ա Շ Վ Ե Տ Վ ՈՒ Թ Յ ՈՒ Ն
ՀԱՅԱՍՏԱՆԻ ՀԱՆՐԱՊԵՏՈՒԹՅԱՆ ԼՈՌՈՒ ՄԱՐԶԻ ԳՅՈՒԼԱԳԱՐԱԿԻ ԳՅՈՒՂԱԿԱՆ ՀԱՄԱՅՆՔԻ ՈՌՈԳՎՈՂ ՀՈՂԵՐԻ ԱՌԿԱՅՈՒԹՅԱՆ ԵՎ ԲԱՇԽՄԱՆ ՄԱՍԻՆ
| Հայաստանի Հանրապետության կառավարության աշխատակազմի ղեկավար-նախարար |
Մ. Թոփուզյան |