ՀԱՅԱՍՏԱՆԻ ՀԱՆՐԱՊԵՏՈՒԹՅԱՆ ԿԱՌԱՎԱՐՈՒԹՅՈՒՆ
Ո Ր Ո Շ ՈՒ Մ
(որոշումը խմբ. 18.05.17 N 519-Ն, 08.06.23 N 906-Ն)
15 նոյեմբերի 2012 թվականի N 1442-Ն
ԱՐՏԱԿԱՐԳ ԻՐԱՎԻՃԱԿՆԵՐՈՒՄ, ԱՐՏԱԿԱՐԳ ԿԱՄ ՌԱԶՄԱԿԱՆ ԴՐՈՒԹՅԱՆ ԺԱՄԱՆԱԿ ԷԼԵԿՏՐՈՆԱՅԻՆ ՀԱՂՈՐԴԱԿՑՈՒԹՅԱՆ ՑԱՆՑԵՐԸ ՇԱՀԱԳՈՐԾԵԼՈՒ, ԿԱՌԱՎԱՐԵԼՈՒ, ԷԼԵԿՏՐՈՆԱՅԻՆ ՀԱՂՈՐԴԱԿՑՈՒԹՅԱՆ ՑԱՆՑԵՐԸ ԵՎ ԳԾԱՅԻՆ ԵՆԹԱԿԱՌՈՒՑՎԱԾՔՆԵՐՆ ՕԳՏԱԳՈՐԾԵԼՈՒ ԵՎ ԼՐԱՑՈՒՑԻՉ ԿԱՊՈՒՂԻՆԵՐ ՀԱՏԿԱՑՆԵԼՈՒ ԿԱՐԳԸ ՀԱՍՏԱՏԵԼՈՒ ՄԱՍԻՆ
(վերնագիրը խմբ. 18.05.17 N 519-Ն, 08.06.23 N 906-Ն)
Հիմք ընդունելով «Էլեկտրոնային հաղորդակցության մասին» Հայաստանի Հանրապետության օրենքի 4-րդ հոդվածի 1-ին մասի 4-րդ կետի դրույթները՝ Հայաստանի Հանրապետության կառավարությունը որոշում է.
1. Հաստատել արտակարգ իրավիճակներում, արտակարգ կամ ռազմական դրության ժամանակ էլեկտրոնային հաղորդակցության ցանցերը շահագործելու, կառավարելու, էլեկտրոնային հաղորդակցության ցանցերը և գծային ենթակառուցվածքներն օգտագործելու և լրացուցիչ կապուղիներ հատկացնելու կարգը՝ համաձայն հավելվածի:
2. Առաջարկել Հայաստանի Հանրապետության հանրային ծառայությունները կարգավորող հանձնաժողովին՝ Հայաստանի Հանրապետության բարձր տեխնոլոգիական արդյունաբերության նախարարության պահանջով աջակցել արտակարգ իրավիճակներում, արտակարգ կամ ռազմական դրության ժամանակ էլեկտրոնային հաղորդակցության ցանցերի շահագործման և կառավարման հետ կապված գործառույթների իրականացմանը:
3. Սույն որոշումն ուժի մեջ է մտնում պաշտոնական հրապարակմանը հաջորդող օրվանից:
|
Հավելված ՀՀ կառավարության 2012 թվականի նոյեմբերի 15-ի N 1442-Ն որոշման |
Կ Ա Ր Գ
ԱՐՏԱԿԱՐԳ ԻՐԱՎԻՃԱԿՆԵՐՈՒՄ, ԱՐՏԱԿԱՐԳ ԿԱՄ ՌԱԶՄԱԿԱՆ ԴՐՈՒԹՅԱՆ ԺԱՄԱՆԱԿ ԷԼԵԿՏՐՈՆԱՅԻՆ ՀԱՂՈՐԴԱԿՑՈՒԹՅԱՆ ՑԱՆՑԵՐԸ ՇԱՀԱԳՈՐԾԵԼՈՒ, ԿԱՌԱՎԱՐԵԼՈՒ, ԷԼԵԿՏՐՈՆԱՅԻՆ ՀԱՂՈՐԴԱԿՑՈՒԹՅԱՆ ՑԱՆՑԵՐԸ ԵՎ ԳԾԱՅԻՆ ԵՆԹԱԿԱՌՈՒՑՎԱԾՔՆԵՐՆ ՕԳՏԱԳՈՐԾԵԼՈՒ ԵՎ ԼՐԱՑՈՒՑԻՉ ԿԱՊՈՒՂԻՆԵՐ ՀԱՏԿԱՑՆԵԼՈՒ
1. Սույն կարգով կարգավորվում են Հայաստանի Հանրապետության տարածքում արտակարգ իրավիճակներում, արտակարգ կամ ռազմական դրության ժամանակ Հայաստանի Հանրապետության բարձր տեխնոլոգիական արդյունաբերության նախարարության (այսուհետ՝ իրավասու մարմին) կողմից էլեկտրոնային հաղորդակցության ցանցերը շահագործելու և կառավարելու, էլեկտրոնային հաղորդակցության ցանցերը և գծային ենթակառուցվածքներն օգտագործելու, ինչպես նաև լրացուցիչ կապուղիներ հատկացնելու գործընթացների հետ կապված հարաբերությունները:
2. Արտակարգ իրավիճակներում, արտակարգ կամ ռազմական դրության ժամանակ էլեկտրոնային հաղորդակցության ցանցերի շահագործելը և կառավարելը, էլեկտրոնային հաղորդակցության ցանցերը և գծային ենթակառուցվածքների օգտագործելը և լրացուցիչ կապուղիներ հատկացնելն իրականացվում է Հայաստանի Հանրապետության օրենքներին, սույն կարգին և այլ իրավական ակտերին համապատասխան:
3. Սույն կարգի իմաստով լրացուցիչ կապուղի է տվյալ ուղղությամբ գործող կապի ընդհատման իրական վտանգի առկայության, տվյալ կապի միջոցով իրականացվող գործունեության անհնարինության կամ արգելման, պաշտպանական կամ ռազմական բնույթի և քաղաքացիական պաշտպանության միջոցառումների կազմակերպման, արտակարգ իրավիճակների հետևանքների կանխման կամ նվազեցման (վերացման) միջոցառումները պլանավորելու կամ իրականացնելու նպատակով տրամադրվող՝ նույն կամ այլ տեսակի կապուղին:
4. Արտակարգ իրավիճակ հայտարարվելու, ռազմական դրության կամ ազգային մեկ այլ արտակարգ իրավիճակի պարագայում դրա տևողության ամբողջ ընթացքում էլեկտրոնային հաղորդակցության բոլոր ցանցերը կամ ծառայությունները կամ դրանցից ցանկացածը շահագործելու և կառավարելու պատասխանատվությունը ստանձնում է իրավասու մարմինը:
5. Արտակարգ իրավիճակ հայտարարվելու, ռազմական դրության կամ ազգային մեկ այլ արտակարգ իրավիճակի պարագայում դրա տևողության ամբողջ ընթացքում օպերատորները, ինչպես նաև էլեկտրոնային հաղորդակցության ցանցեր տնօրինող այլ կազմակերպությունները (անկախ կազմակերպաիրավական ձևից) իրավունք չունեն առանց իրավասու մարմնի հետ գրավոր համաձայնեցման իրականացնելու էլեկտրոնային հաղորդակցության ցանցերի շահագործման կամ կառավարման հետևյալ գործընթացները, բացառությամբ սույն կարգի 25-րդ կետով նախատեսված դեպքերի.
1) սահմանամերձ տարածքներում առկա էլեկտրոնային հաղորդակցության ենթակառուցվածքների շահագործման հետ կապված աշխատանքների իրականացում.
2) էլեկտրոնային հաղորդակցության ամրակցված կապի գծային և անլար հասանելիության տեխնոլոգիաների ենթակառուցվածքների, շարժական կապի ծածկույթի ընդլայնման նպատակով աշխատանքների իրականացում (այդ թվում՝ օպտիկամանրաթելային գծերի անցկացում, բջջային կապի նոր կայանների տեղակայում).
3) ցանցային շերտերով (L2 կամ L3 շերտեր) կապուղու ապահովում տարբեր վայրերի միջև.
4) գործող էլեկտրոնային հաղորդակցության ցանցերի և գծային ենթակառուցվածքների ապամոնտաժում, տեղափոխություն, գործունեության կասեցում (նաև այն դեպքում, երբ այդ գործողությունները բխում են լրացուցիչ կապուղիներ հատկացնելու հայտի բավարարման անհրաժեշտությունից).
5) էլեկտրոնային հաղորդակցության ծառայությունների մատուցման դադարեցում, բացառությամբ ֆիզիկական անձ հանդիսացող բաժանորդներին տրամադրվող էլեկտրոնային հաղորդակցության ծառայությունների մասով.
6) ԱյՓի (IP) հասցեների վերաբերյալ հնարավորության դեպքում տեղեկատվության տրամադրում:
6. Արտակարգ իրավիճակ հայտարարվելու, ռազմական դրության կամ ազգային մեկ այլ արտակարգ իրավիճակի պարագայում դրա տևողության ամբողջ ընթացքում էլեկտրոնային հաղորդակցության ցանցերը շահագործելու և կառավարելու նպատակով իրավասու մարմնի կողմից իրականացվում են՝
1) գրավոր ծանուցում օպերատորներին՝ նրանց պատկանող էլեկտրոնային հաղորդակցության ցանցերի շահագործման և կառավարման պատասխանատվությունն իրավասու մարմնի կողմից ստանձնելու, դրանից բխող պարտավորությունները և առաջացած հրատապ խնդիրները լուծելու վերաբերյալ.
2) ծանուցում զորահավաքային առաջադրանքներ ունեցող օպերատորներին՝ ուժեղացված կամ ռազմական դրության աշխատանքային ռեժիմների փոխադրման մեկնարկի վերաբերյալ.
3) էլեկտրոնային հաղորդակցության ցանցերի և ենթակառուցվածքների վիճակի վերաբերյալ ամբողջական տեղեկության հավաքում.
4) օպերատորների հնարավորությունների գնահատում, առաջադրված խնդիրներն իրականացնելու, ուժերը և միջոցները նպատակաուղղելու նպատակով միմյանց միջև փոխգործակցության ապահովում.
5) ռազմական դրության ժամանակ օպերատորների պլանավորած նոր ցանցեր կառուցելու կամ կառուցման ընթացքում գտնվող ցանցերի վերաբերյալ տեղեկատվության ստացում և համաձայնեցում Հայաստանի Հանրապետության պաշտպանության նախարարության և Հայաստանի Հանրապետության ազգային անվտանգության ծառայության հետ, անհրաժեշտության դեպքում՝ աշխատանքների հետաձգման վերաբերյալ ծանուցում օպերատորներին.
6) օպերատորների տրամադրած տեղեկատվության գաղտնիության ապահովում.
7. Արտակարգ իրավիճակներում, արտակարգ կամ ռազմական դրության ժամանակ օպերատորների կողմից իրականացվում են՝
1) գործունեության փոխադրում ուժեղացված կամ ռազմական դրության աշխատանքային ռեժիմների, ուժեղացված կամ ռազմական դրության աշխատանքային ռեժիմների փոխադրման պլանով, զորահավաքային, արտակարգ իրավիճակներում գործելու և քաղաքացիական պաշտպանության պլաններով նախատեսված միջոցառումների իրականացում.
2) ըստ անհրաժեշտության՝ անցում շուրջօրյա կամ փոփոխված օրակարգով աշխատանքի.
3) մշտական գործող հերթապահ հեռախոսահամարների տրամադրում իրավասու մարմնին.
4) լրացուցիչ կապուղիների տրամադրման աշխատանքներում ներգրավված աշխատակիցների վերաբերյալ սահմանված կարգով տեղեկատվության տրամադրում իրավասու մարմնին՝ ամրագրման գործընթաց իրականացնելու նպատակով.
5) լրացուցիչ կապուղիների տրամադրման գործընթացում այլ օպերատորների ներգրավման անհրաժեշտության կամ այլ օպերատորների հետ համատեղ աշխատանքներ կատարելու մասին տեղեկատվության տրամադրում իրավասու մարմնին.
6) ռազմական դրության ժամանակ պլանավորած նոր ցանցեր կառուցելու կամ կառուցման ընթացքում գտնվող ցանցերի վերաբերյալ տեղեկության տրամադրում իրավասու մարմնին, անհրաժեշտության դեպքում՝ աշխատանքների հետաձգում.
7) ուժերի և միջոցների նպատակաուղղում Հայաստանի Հանրապետության պաշտպանության և անվտանգության ապահովման, քաղաքացիական պաշտպանության միջոցառումների իրականացման, արտակարգ իրավիճակների կանխման և հետևանքների վերացման, փրկարարական աշխատանքների կազմակերպման և իրականացման միջոցառումների և հրատապ ծագած խնդիրների կատարմանը.
8) օրենքներով, ենթաօրենսդրական նորմատիվ իրավական այլ ակտերով և սույն կարգով սահմանված միջոցառումների իրականացում:
8. Արտակարգ իրավիճակներում, արտակարգ կամ ռազմական դրության ժամանակ էլեկտրոնային հաղորդակցության ցանցերը և գծային ենթակառուցվածքներն օգտագործելու և լրացուցիչ կապուղիները հատկացնելու առաջնահերթությունը, ըստ հաջորդականության տրվում է Հայաստանի Հանրապետության պաշտպանության նախարարությանը (Հայաստանի Հանրապետության զինված ուժերի գլխավոր շտաբին), Հայաստանի Հանրապետության ազգային անվտանգության ծառայությանը, Հայաստանի Հանրապետության ներքին գործերի նախարարությանը, Հայաստանի Հանրապետության վարչապետի աշխատակազմին, Հայաստանի Հանրապետության տարածքային կառավարման և ենթակառուցվածքների նախարարությանը, Հայաստանի Հանրապետության արտաքին գործերի նախարարությանը, Հայաստանի Հանրապետության առողջապահության նախարարությանը, ինչպես նաև հանրային իշխանության այլ մարմիններին, Հայաստանի Հանրապետության մարզպետների աշխատակազմերին, Երևանի քաղաքապետարանին, տեղական ինքնակառավարման մարմիններին, զորահավաքային առաջադրանքներ ունեցող կազմակերպություններին (այսուհետ՝ պատվիրատու մարմին):
9. Արտակարգ իրավիճակում, արտակարգ դրության ժամանակ, կախված իրադրությունից կամ հայտը բավարարելու հրատապությունից՝ սույն կարգի 8-րդ կետով նշված առաջնահերթությունը կարող է փոփոխվել: Ռազմական դրության կամ պատերազմի ժամանակ պահպանվում է էլեկտրոնային հաղորդակցության ցանցերը և գծային ենթակառուցվածքներն օգտագործելու և լրացուցիչ կապուղիները հատկացնելու՝ պաշտպանության շահերից բխող հայտերի առաջնահերթ կատարումը:
10. Արտակարգ իրավիճակներում, արտակարգ կամ ռազմական դրության ժամանակ էլեկտրոնային հաղորդակցության ցանցերը և գծային ենթակառուցվածքներն առաջնահերթ օգտագործվում են ղեկավարման անընդհատությունը, Հայաստանի Հանրապետության պաշտպանությունը և անվտանգությունն ապահովելու, քաղաքացիական պաշտպանության միջոցառումներն իրականացնելու, արտակարգ իրավիճակները կանխելու և հետևանքները վերացնելու, փրկարարական աշխատանքներ կազմակերպելու և իրականացնելու նպատակներով:
11. Արտակարգ իրավիճակներում, արտակարգ կամ ռազմական դրության ժամանակ էլեկտրոնային հաղորդակցության ցանցերի և գծային ենթակառուցվածքների օգտագործման իրավունքի տրամադրումն իրականացնում է իրավասու մարմինը՝ պատվիրատու մարմնի կողմից ներկայացված էլեկտրոնային հաղորդակցության ցանցերի և գծային ենթակառուցվածքների օգտագործման հայտի հիման վրա՝ համաձայն N 1 ձևի:
12. Արտակարգ իրավիճակներում, արտակարգ կամ ռազմական դրության ժամանակ լրացուցիչ կապուղիների հատկացումն իրականացնում է իրավասու մարմինը՝ պատվիրատու մարմնի կողմից ներկայացված լրացուցիչ կապուղիներ հատկացնելու հայտի հիման վրա՝ համաձայն N 2 ձևի:
13. Տարածքային կառավարման և տեղական ինքնակառավարման մարմիններն իրենց, ինչպես նաև բնակչության պահանջմունքների բավարարման և առաջացած խնդիրների հաղթահարման համար անհրաժեշտ լրացուցիչ կապուղիներ ունենալու նպատակով կարող են համագործակցել մարզի կամ համայնքի տարածքում գործունեություն ծավալող օպերատորի հետ՝ այդ նպատակով իրավասու մարմին ներկայացնելով oպերատորի անվանման, լրացուցիչ կապուղի ձեռք բերելու նպատակի, լրացուցիչ կապուղու տեսակի, քանակի, սկզբնակետի և վերջնակետի աշխարհագրական կոորդինատների կամ հասցեների, ինչպես նաև լրացուցիչ կապուղիների տրամադրման գործընթացն օպերատորի և Հայաստանի Հանրապետության պաշտպանության նախարարության համապատասխան բանակային կորպուսի, իսկ Հայաստանի Հանրապետության ազգային անվտանգության ծառայության սահմանապահ զորքերի կողմից պահպանվող տարածքներում լրացուցիչ կապուղիներ նախատեսելու դեպքում՝ նաև Հայաստանի Հանրապետության ազգային անվտանգության ծառայության հետ համաձայնեցված լինելու վերաբերյալ տեղեկատվությունը:
14. Տարածքային կառավարման և տեղական ինքնակառավարման մարմինների ու օպերատորների միջև համագործակցությունն իրականացվում է երկկողմ պայմանագրային հիմունքներով՝ սույն կարգի 20-ից 24-րդ կետերի պահանջներին համապատասխան:
15. Իրավասու մարմինը լրացուցիչ կապուղիների տրամադրման հայտը ստանալուց հետո սեղմ ժամկետում այն տրամադրում է համապատասխան տեխնիկական հնարավորություններ ունեցող օպերատորներին՝ հայտում նշված վայրում կապի ապահովման համար պահանջվող միանվագ և ամսական սպասարկման ֆինանսական ծախսերի հաշվարկ-հիմնավորումների (առկայության դեպքում նաև ծախսերը հավաստող փաստաթղթերը), ըստ անհրաժեշտության՝ տեխնիկական հնարավորությունների գնահատման և հայտը բավարարելու ժամանակահատվածի վերաբերյալ տեղեկությունները ստանալու նպատակով:
16. Իրավասու մարմինը սույն կարգի 15-րդ կետով պահանջվող տեղեկությունը օպերատորներից ստանալուց և ամփոփելուց հետո, այդ մասին սեղմ ժամկետում գրավոր տեղեկացնում է պատվիրատու մարմնին՝ նշելով օպերատորին, միանվագ և ամսական վճարման չափերը, հատկացման ժամանակահատվածը և ներկայացուցչի կոնտակտային տվյալները:
17. Օպերատորի ընտրությունը կատարվում է ինչպես տեխնիկական համապատասխանությունից ելնելով, այնպես էլ առավել ցածր գնային և կարճ ժամանակահատվածում կապուղին տրամադրելու առաջարկությունների համադրումից՝ կախված հայտի բովանդակությունից:
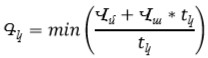
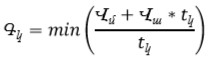
18. Օպտիմալ գնային առաջարկի ընտրության համար կիրառվում է հետևյալ բանաձևը.
որտեղ՝
1) Գկ – հայտի վերաբերյալ օպերատորներից ստացված նվազագույն գնային առաջարկն է.
2) Վմ – հայտի տրամադրման միանվագ վճարն է.
3) Վա – ամսական սպասարկման վճարն է.
4) 𝑡կ – այն ժամանակամիջոցը, որով պլանավորվում է օգտագործել տվյալ կապուղին։
19. Պատվիրատու մարմինն իրավասու մարմնի կողմից ստացված տեղեկության բավարարման դեպքում պատվիրում է համապատասխան օպերատորին՝ հնարավորինս սեղմ ժամկետում իրականացնելու հայտում նշված վայրում կապի ապահովման աշխատանքները՝ այդ մասին տեղեկացնելով իրավասու մարմնին:
20. Պատվիրատու մարմնի և oպերատորի միջև համագործակցությունն իրականացվում է երկկողմ պայմանագրային հիմունքներով՝ Հայաստանի Հանրապետության օրենսդրությանը համապատասխան: Պատվիրատուն պայմանագիրը կնքելուց հետո հնգօրյա ժամկետում պայմանագրի պատճենը ներկայացնում է իրավասու մարմնին:
21. Արտակարգ իրավիճակներում, արտակարգ կամ ռազմական դրության ժամանակ կապուղու տրամադրման վճարների փոխհատուցումն իրականացվում է պատվիրատու մարմնի կողմից՝ արտակարգ իրավիճակների, արտակարգ կամ ռազմական դրության ավարտից հետո:
22. Հայաստանի Հանրապետության տվյալ տարվա պետական բյուջեի մասին Հայաստանի Հանրապետության օրենքով ֆինանսական միջոցներ նախատեսված չլինելու դեպքում այդ փոխհատուցումն իրականացվում է արտակարգ իրավիճակների, արտակարգ կամ ռազմական դրության ավարտից հետո հաջորդող երեք ամիսների ընթացքում՝ պատվիրատու մարմնի (բացառությամբ զորահավաքային առաջադրանքներ ունեցող մասնավոր կազմակերպությունների) կողմից մշակված և սահմանված կարգով Հայաստանի Հանրապետության կառավարության քննարկմանը ներկայացված՝ Հայաստանի Հանրապետության պետական բյուջեով նախատեսված՝ Հայաստանի Հանրապետության կառավարության պահուստային ֆոնդից կամ օրենքով չարգելված այլ աղբյուրներից գումար հատկացնելու մասին Հայաստանի Հանրապետության կառավարության որոշման հիման վրա:
23. Սույն կարգի պահանջների համաձայն՝ էլեկտրոնային հաղորդակցության ցանցերի, տեխնիկական միջոցների և սարքավորումների օգտագործման դիմաց հասցված իրական վնասը փոխհատուցվում է օրենսդրությամբ սահմանած կարգով:
24. Ռազմական դրության ժամանակ պատվիրատու մարմնի կողմից ներկայացված լրացուցիչ կապուղիներ հատկացնելու hայտը բավարարող oպերատորը ստանում է զորահավաքային առաջադրանքներ ունեցող կազմակերպության կարգավիճակ (եթե նախկինում չի ունեցել) և նրա հետ ծագած հարաբերությունները կարգավորվում են օրենսդրությամբ սահմանված կարգով:
25. Հայաստանի Հանրապետության պաշտպանության նախարարությունը արտակարգ կամ ռազմական դրության ժամանակ էլեկտրոնային հաղորդակցության ցանցերը և գծային ենթակառուցվածքներն օգտագործելու և լրացուցիչ կապուղիներ պատվիրելու համար անմիջականորեն կարող է համագործակցել օպերատորների հետ:
Ձև N 1
ՁԵՎ
ԱՐՏԱԿԱՐԳ ԻՐԱՎԻՃԱԿՆԵՐՈՒՄ, ԱՐՏԱԿԱՐԳ ԿԱՄ ՌԱԶՄԱԿԱՆ ԴՐՈՒԹՅԱՆ ԺԱՄԱՆԱԿ ԷԼԵԿՏՐՈՆԱՅԻՆ ՀԱՂՈՐԴԱԿՑՈՒԹՅԱՆ ՑԱՆՑԵՐԻ ԵՎ ԳԾԱՅԻՆ ԵՆԹԱԿԱՌՈՒՑՎԱԾՔՆԵՐԻ ՕԳՏԱԳՈՐԾՄԱՆ ՀԱՅՏԻ
__________________________________________
Պատվիրատու մարմնի անվանումը
|
Հ/Հ |
Ցանցերը կամ գծային ենթակառուցվածքները տնօրինող օպերատորի անվանումը |
Էլեկտրոնային հաղորդակցության ցանցի կամ գծային ենթակառուցվածքի անվանումը (տեսակը) |
Ենթակառուցվածքի գտնվելու վայրը (վարչատարածքային միավորը և (կամ) հասցեն կամ աշխարհագրական կոորդինատները) կամ հաճախականային տիրույթը |
Օգտագործման ժամկետը |
Օգտագործման նպատակը |
|
___________________________________ |
________________ |
____________________________ |
Ձև N 2
ՁԵՎ
ԱՐՏԱԿԱՐԳ ԻՐԱՎԻՃԱԿՆԵՐՈՒՄ, ԱՐՏԱԿԱՐԳ ԿԱՄ ՌԱԶՄԱԿԱՆ ԴՐՈՒԹՅԱՆ ԺԱՄԱՆԱԿ ԼՐԱՑՈՒՑԻՉ ԿԱՊՈՒՂԻՆԵՐ ՀԱՏԿԱՑՆԵԼՈՒ ՀԱՅՏԻ
__________________________________________
Պատվիրատու մարմնի անվանումը
|
Ծա-ռա-յու-թյան տե-սակը |
Կապուղու տեսակը |
Թողունա-կությունը (արագու-թյունը) (Կբիթ կամ Մբիթ/վրկ) |
Վերջնա-կետային սարքա-վորման տեսակը |
Վարչա-տարած- քային միավորը և (կամ) մոտակա բնակավայրը |
Սկզբնակետի և վերջնակետի հասցեները կամ աշխարհա-գրական կոորդինատները |
Հայտի բավա-րարման ժամկետը (հրատա-պությունը) |
Օգտա-գործելու ժամանա-կահա-տվածը |
Լրացուցիչ կապուղու անհրա-ժեշտու- թյունը և նպատակը |
Պատասխա- նատու անձի տվյալները (ԱԱՀ, հեռախոսա- համար) |
|
___________________________________ |
________________ |
____________________________ |
1. «Ծառայության տեսակ» սյունակում լրացվում են՝
1) համացանցի հասանելիություն՝ լարային (օպտիկամանրաթելային/պղնձեմալուխային)
2) տվյալների փոխանակման ծառայություն՝ լարային (օպտիկամանրաթելային/պղնձեմալուխային)
3) 4Ջի ԷՄ2ԷՄ (4G M2M)/համացանց
4) 3Ջի ԷՄ2ԷՄ (3G M2M)/համացանց
5) 2Ջի ԷՄ2ԷՄ (2G M2M)/համացանց
6) անլար հատկացված կապուղի
7) անլար հատկացված համացանցի հասանելիություն
2. «Կապուղու տեսակ» սյունակում լրացվում են՝
1) Ե1 (E1)
2) իթրնետ 10 Մբ/վ (Ethernet 10 Mb/s)
3) իթրնետ 100 Մբ/վ (Ethernet 100 Mb/s)
4) իթրնետ 1000 Մբ/վ (Ethernet 1000 Mb/s)
5) օպտիկական ՍՖՊ 1000 Մբ/վ (Optical SFP 1000 Mb/s)
6) օպտիկական ՍՖՊ 1 Գբ/վ (Optical SFP 1 Gb/s)
3. «Վերջնակետային սարքավորման տեսակը» սյունակում լրացվում են՝
1) ԷՍԴԻԷԻՋ, ՓԻԴԻԷՅՋ, ԻԿԱԷՄ (SDH, PDH, ИКМ) և այլն
2) իթրնետ երթուղիչ (Ethernet Router)
3) ՍՖՊ փոխարկիչ (SFP Converter)
4) օպտիկական անջատիչ (Switch Optical)
5) անլար երթուղիչ: