ՀԱՅԱՍՏԱՆԻ ՀԱՆՐԱՊԵՏՈՒԹՅԱՆ
ԱՌՈՂՋԱՊԱՀՈՒԹՅԱՆ ՆԱԽԱՐԱՐ
|
18 հուլիս 2024 թ. |
N 228-Ն |
Հ Ր Ա Մ Ա Ն
ՍՈՒՐ ԵՎ ՌԵԱԿՏԻՎ ԱՐԹՐԻՏՈՎ ՊԱՑԻԵՆՏԻ ՎԱՐՄԱՆ ԳՈՐԾԵԼԱԿԱՐԳԸ ՀԱՍՏԱՏԵԼՈՒ ՄԱՍԻՆ
Հիմք ընդունելով «Բնակչության բժշկական օգնության և սպասարկման մասին» օրենքի 2-րդ հոդվածի 1-ին մասի 31-րդ կետը՝
ՀՐԱՄԱՅՈՒՄ ԵՄ`
1․ Հաստատել սուր և ռեակտիվ արթրիտով պացիենտի վարման գործելակարգը՝ համաձայն Հավելվածի։
2. Սույն հրամանն ուժի մեջ է մտնում պաշտոնական հրապարակման օրվան հաջորդող տասներորդ օրը:
|
Պարտականությունները կատարող`
18.07.2024 |
Լ. ՆԱՆՈՒՇՅԱՆ |
|
Հավելված ՀՀ առողջապահության նախարարի «18» հուլիս 2024 թվականի N 228-Ն հրամանի |
ԳՈՐԾԵԼԱԿԱՐԳ
ՍՈՒՐ ԵՎ ՌԵԱԿՏԻՎ ԱՐԹՐԻՏՈՎ ՊԱՑԻԵՆՏԻ ՎԱՐՄԱՆ
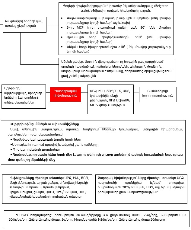
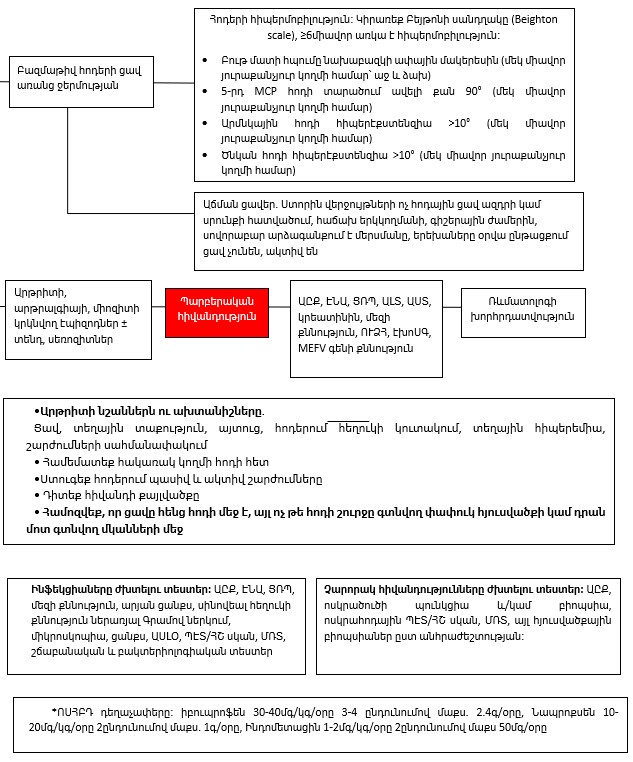
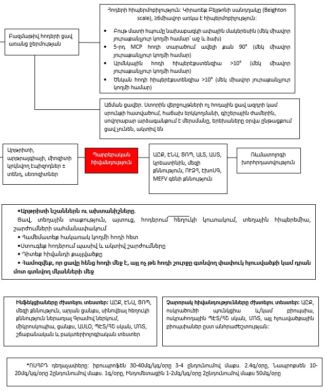
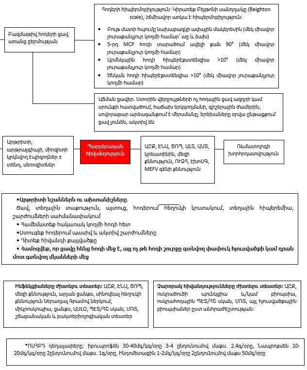
1. Նոզոլոգիաների խումբ` ըստ հիվանդությունների և առողջության հետ կապված խնդիրների վիճակագրական 10–րդ վերանայման դասակարգչի․
|
Հ/Հ |
Կոդ |
Անվանում |
|
1) |
M03.0 |
Հետվարակային և ռեակտիվ արթրոպաթիաներ` այլ դասերում դասակարագված հիվանդությունների ժամանակ |
|
2) |
M65.8 |
Այլ սինովիտներ և տենոսինովիտներ Գրգռված կոնքազդրային հոդ (սուր անցողիկ սինովիտ) |
|
3) |
M67.3 |
Թափառող (անցողիկ) սինովիտ Թունավոր (տոքսիկ) սինովիտ |
|
4) |
M13.9 |
Հոդաբորբ` չճշտված |
2․ Նոզոլոգիաների խումբը կիրառելի է՝ ըստ սույն հավելվածով սահմանված Ձև 1–ի․
Ձև 1
| 1) |
Տարիքային խումբ |
Երեխաներ |
| 2) |
Սեռ |
արական, իգական |
| 3) |
Բարդություններ |
առանց բարդությունների (ԱԲ), բարդություններով (Բ) |
| 4) |
Հիվանդության փուլը |
Սուր, ձգձգվող |
| 5) |
Բժշկական օգնության և սպասարկման պայմանները (հիվադանոցային, արտահիվանդանոցային, շտապօգնության) |
Արտահիվանդանոցային, հիվանդանոցային |
| 6) |
Բուժօգնության տրամադրման ձևը (անհետաձգելի, պլանային) |
անհետաձգելի |
| 7) |
Կիրառման շրջանակը |
Մանկաբույժ, մանկական ռևմատոլոգ |
|
8) |
Գանգատներ |
Հոդացավեր, |
|
9) |
Անամնեզ |
Գանգատների վաղեմություն, |
|
10) |
Զննման արդյունք/Ցուցում |
Ջերմություն, |
3․ Բժիշկ-մասնագետի կողմից պացիենտի զննումը, խորհրդատվությունը իրականացվում է ըստ Ձև 2–ի (անհրաժեշտության դեպքում անհրաժեշտ է նշել հիվանդության փուլերը)․
Ձև 2
|
Հ/Հ |
Խորհրդատվության տեսակը |
Տրամադրման քանակը | |
|
ԱԲ |
Բ | ||
| 1) |
Օրթոպեդ |
1 |
2-4 |
| 2) |
Ռևմատոլոգ |
1 |
2-4 |
|
3) |
Ակնաբույժ |
1 |
1 |
4․ Սույն հավելվածի Ձև 2–ում նշված տրամադրվող քանակների համար նշվում է միջինացված ցուցանիշ, նկատի ունենալով տվյալ զննման, խորհրդատվության իրականացման հաճախականությունը։ Հաճախականության հաշվարկման միավորը պետք է լինի 0-ից 1 միջակայքում և հաշվի առնի նմանատիպ 100 դեպքերում տվյալ զննման, խորհրդատվության իրականացման հաճախականությունը։
5․ Լաբորատոր-գործիքային ախտորոշիչ հետազոտություններն իրականացվում են՝ ըստ Ձև 3–ի (անհրաժեշտության դեպքում անհրաժեշտ է նշել հիվանդության փուլերը)․
Ձև 3
|
Լաբորատոր հետազոտություններ | ||||
|
Կոդը |
Անվանումը |
Տրամադրման քանակը |
Արդյունք | |
|
Արյան ընդհանուր քննություն, ԷՆԱ |
ԱԲ |
Բ |
||
| 1) |
1 |
2-3 |
բորբոքային ցուցանիշներ կան/չկան | |
| 2) |
ՑՌՊ |
1 |
2-3 |
բարձր/ցածր |
|
3) |
ԱՍԼՕ |
1 |
1-2 |
դրական/բացասական |
|
4) |
Ռայտ-Խեդելսոնի ռ-ա |
1 |
1 |
դրական/բացասական |
|
5) |
Բորելյոզ ԻգՄ |
0-1 |
1 |
դրական/բացասական |
|
6) |
Կղանքի մանրեաբանական և ՊՇՌ տեստեր |
0-1 |
1 |
դրական/բացասական |
|
7) |
Վիրուսային սերոլոգիա |
0-1 |
1 |
դրական/բացասական |
|
8) |
Մեզի քննություն |
0-1 |
1 |
պրոտեինուրիա, հեմատուրիա կա/չկա |
|
9) |
Մանթուի տեստ |
0-1 |
1 |
դրական/բացասական |
|
10) |
Արյան ցանքս |
0-1 |
1 |
աճ կա/չկա |
|
11) |
Սինովեալ հեղուկի միկրոսկոպիա և ցանքս |
0-1 |
1 |
հարուցչի հայտնաբերում |
|
12) |
Ոսկրածուծի պունկցիա, բիոպսիա |
0-1 |
1 |
արյան համակարգի հիվանդություն կա/չկա |
|
13) |
C3, C4, ANA, anti-ds-DNA, anti Sm ՀՄ , հակաֆոսֆոլիպիդային ՀՄ, ԱԼՏ, ԱՍՏ, ՌՖ, HLA B-27 |
0 |
1 |
հակամարմինները բարձր/նորմալ |
|
Գործիքային հետազոտություններ | ||||
|
14) |
Հոդերի ՈՒՁՀ |
1 |
2-3 |
|
|
15) |
արթրիտ կա/չկա | |||
|
16) |
ՌԳ |
0-1 |
1-2 |
ոսկրային փոփոխություն կա/չկա |
|
17) |
ՀՇ |
1-2 |
ոսկրահոդային փոփոխություն կա/չկա | |
|
18) |
ՄՌՏ |
1-2 |
ոսկրահոդային փոփոխություն կա/չկա | |
|
19) |
ԷխոՍԳ |
1-2 |
փականային փոփոխություններ կան/չկան | |
|
20) |
Որովայնի ՈՒՁՀ |
1-2 |
հեպատոսպլենոմեգալիա, սեռոզիտ կա/չկա | |
6․ Սույն հավելվածի Ձև 3–ում սահմանված տրամադրվող քանակների համար նշվում է միջինացված ցուցանիշ, նկատի ունենալով տվյալ հետազոտության իրականացման հաճախականությունը։ Հաճախականության հաշվարկման միավորը պետք է լինի 0-ից 1 միջակայքում և հաշվի առնի նմանատիպ 100 դեպքերում տվյալ հետազոտության իրականացման հաճախականությունը։
7․ Օգտագործվող դեղերի ցանկը սահմանվում է ըստ Ձև 4–ի (անհրաժեշտության դեպքում նշել հիվանդության փուլերը)․
Ձև 4
|
Անվանումը, դեղաչափը, դեղաձևը, փաթեթավորումը |
Անվանում (ջեներիկ) |
Չափման միավոր |
Միջինացված ցուցանիշ՝ տրամադրման հաճախա-կանություն |
Միջին օրական չափա-քանակ |
Բուժման կուրսի միջին չափա-քանակ |
Օրերի քանակ | |
|
1) |
Իբուպրոֆեն օշարակ 20մգ/մլ |
Իբուպրոֆեն օշարակ 20մգ/մլ |
ապակե շշիկ |
30մգ/կգ/օրը |
1-4 շաբաթ | ||
|
2) |
Իբուպրոֆեն 200մգ |
Իբուպրոֆեն 200մգ |
դեղահատեր |
30մգ/կգ/օրը |
- |
1-4 շաբաթ | |
|
3) |
Նապրօքսեն (նապրօքսեն նատրիում) 220մգ |
Նապրօքսեն (նապրօքսեն նատրիում) 220մգ |
դեղահատեր |
10-20մգ/կգ/օրը |
- |
1-4 շաբաթ | |
|
4) |
Ինդոմետացին 25մգ |
Ինդոմետացին 25մգ |
դեղահատեր |
1-2մգ/կգ օրը |
- |
1-4 շաբաթ | |
|
5) |
Ամօքսիցիլին (ամօքսիցիլին տրիհիդրատ), քլավուլանաթթու (կալիումի քլավուլանատ) դեղափոշի ներքին ընդունման դեղակախույթի մրգային համով 200մգ/5մլ+ |
Ամօքսիցիլին (ամօքսիցիլին տրիհիդրատ), քլավուլանաթթու (կալիումի քլավուլանատ) դեղափոշի ներքին ընդունման դեղակախույթի մրգային համով 200մգ/5մլ |
ապակե շշիկ |
90-150մգ/կգ/օրը |
- |
7օր |
8․ Սույն հավելվածի Ձև 4–ում սահմանված տրամադրվող քանակների համար նշվում է միջինացված ցուցանիշ, նկատի ունենալով տվյալ դեղի օգտագործման հաճախականությունը։ Հաճախականության հաշվարկման միավորը պետք է լինի 0-ից 1 միջակայքում և հաշվի առնի նմանատիպ 100 դեպքերում տվյալ դեղի օգտագործման հաճախականությունը։
9․ Բուժական այլ միջոցառումներ սահմանվում են Ձև 5–ում (անհրաժեշտության դեպքում անհրաժեշտ է նշել հիվանդության փուլերը)․
Ձև 5
|
Հ/Հ |
Բժշկական ծառայության տեսակը |
Տրամադրման քանակը | |
|
ԱԲ |
Բ | ||
|
1) |
Հոդի խոռոչից պունկցիա |
0-1 |
1 |
|
2) |
Ոսկրածուծի պունկցիա |
1 | |
|
3) |
Ներհոդային ներարկում |
1 | |
10․ Սույն հավելվածի Ձև 5–ում սահմանված տրամադրվող քանակների համար նշվում է միջինացված ցուցանիշ, նկատի ունենալով, թե ինչ հաճախականությամբ է իրականացվում տվյալ բուժական միջոցառումը։ Հաճախականության հաշվարկման միավորը պետք է լինի 0-ից 1 միջակայքում և հաշվի առնի նմանատիպ 100 դեպքերում տվյալ բուժական միջոցառման կիրառման հաճախականությունը։
Ենթադրյալ ախտորոշումները կախված ներգրավված հոդերի քանակից և ջերմության առկայութունից
Մեկ հոդի ախտահարում ջերմությունով ուղեկցվող
Բացառել անմիջապես բուժում պահանջող ինֆեկցիոն վիճակները:
Սեպտիկ արթրիտ, օստեոմիելիտ. Տես համապատասխան ուղեցույցը:
Հոդում օտար մարմին. Փուշը, ապակու բեկորը կամ այլ օտար մարմին կարող է առաջացնել երկրորդային վարակ կամ ստերիլ սինովիտ: ՀՇ սկանավորումը գերազանցում է ռադիոգրաֆին՝ թափանցիկ օտար մարմին հայտնաբերելու համար:
Տրավմատիկ արթրիտ. Վնասվածքային շճարյունային հեղուկը կարող է առաջացնել ջերմություն որպես հոդում արյան կուտակման հետևանք: Գրեթե միշտ կա տրավմայի պատմություն: Ասպիրացիան սովորաբար բացահայտում է ստերիլ սինովեալ հեղուկ: Հեղուկի կուտակումը կարող է շարունակվել կամ կրկնվել: Հնարավոր է արթրոսկոպիկ վիրահատության անհրաժեշտություն: Բացի այդ, պետք է բացառվեն մակարդման անոմալիաները:
Փափուկ հյուսվածքային ինֆեկցիա (ցելուլիտ). Այս վիճակը կարող է նմանակել արթրիտի, երբ գտնվում է հոդի մոտ:
Եթե վերը նշվածները բացառվել են, ապա հաշվի առեք հիվանդությունների այլ խմբեր՝ սկսած ռևմատիվ հիվանդություններից։
Ռևմատոլոգիական հիվանդություններ. Օլիգոարտիկուլյար ՅԻԱ-ը կարող է դրսևորվել մեկ հոդի ընդգրկումով:
Հետինֆեկցիոն ռեակտիվ արթրիտ. Հետվիրուսային կամ հետբակտերիալ իրավիճակներ են, ունեն բարենպաստ, ինքնասահմանափակ ընթացք, որը կարող է պահանջել սիմպտոմատիկ և օժանդակ թերապիա՝ ՈՍՀԲԴ, ձգձգվող ընթացքի դեպքում ներհոդային ներարկում: Միջին տարիքը 3-8տարեկանն է:
Տոքսիկ սինովիտ կամ տրանզիտոր սինովիտ. Եթե ախտահարված է կոնք-ազդրային հոդը, պետք է հաշվի առնել տրանզիտոր սինովիտը, հանդիպում է 3-10 տարեկան երեխաների մոտ, առավելապես տղաների, հաճախ կա շնչառական վարակի պատմություն։ Մի քանի շաբաթվա ընթացքում ծնկին ուղղված ցավ է զարգանում և կաղություն, կարող է լինել ցածր աստիճանի ջերմություն, ԷՆԱ կարող է փոքր-ինչ բարձրանալ: Հիվանդությունը անհետանում է 1-2 շաբաթ հետո և սովորաբար չի կրկնվում։ Այնուամենայնիվ, Legg-Calve-Perthes հիվանդությունը երբեմն հետևանքն է:
Հեմոգլոբինոպաթիաներ. Սևամորթ երեխայի մոտ մանգաղաձև բջջային անեմիան պետք է բացառվի հեմոգլոբինի էլեկտրոֆորեզի միջոցով: Շատ փոքր երեխայի մոտ այն առաջացնում է դակտիլիտ, որը կարող է նմանակել իսկական արթրիտին: Ավելի մեծ երեխաների մոտ այն առաջացնում է միկրոինֆարկտներ, որոնք առաջացնում են պերիօստիտ և պերիարթրիտ, որոնք պատասխանատու են այս հիվանդության ցավային կրիզների համար:
Մեկ հոդի ախտահարում առանց ջերմության
Մեկ հոդի ցավը կամ այտուցը առանց ջերմության սովորաբար լինում է մեծ հոդերում:
Տրավմա. Եթե կա տրավմայի պատմություն, ապա տեղային վնասվածքը ամենաակնհայտ հնարավոր պատճառն է:
Մեխանիկական խանգարումներ. Հատուկ վնասվածքները, ինչպիսիք են մենիսկի կամ խաչաձև կապանների վնասվածքը, հազվադեպ են փոքր երեխաների մոտ, բայց հաճախ են դեռահասների մոտ:
Երբ վնասվածքը բացառված է, պետք է հաշվի առնել արթրիտը, կապված ռևմատիկ հիվանդության կամ աղիների բորբոքային հիվանդության հետ:
Ռևմատոլոգիական հիվանդություններ. Օլիգոարտիկուլյար ՅԻԱ-ն ամենատարածված հիվանդությունն է, որին հաջորդում է աղիների բորբոքային հիվանդությունը:
Տոքսիկ/տրանզիտոր սինովիտ. Պետք է հաշվի առնել կոնք-ազդրային հոդի ընդգրկման դեպքում:
Ազդրոսկրի գլխիկի ավասկուլյար նեկրոզ. Եթե կ/ա հոդի ցավը շարունակվում է, հնարավոր ախտորոշում է օստեոխոնդրիտը (Legg-Calve-Perthes հիվանդություն): Այս վիճակը հատկապես տարածված է քրոնիկ ստերոիդային թերապիա ստացող երեխաների մոտ (օրինակ՝ ՀԿԳ հիվանդների) և մանգաղաձև բջջային անեմիա ունեցող երեխաների մոտ:
Ենթասուր օստեոմիելիտ. Ինֆեկցիաները, հազվադեպ, բայց կարող են լինել առանց տենդի:
Դիսկիտ. Դիսկիտը հազվագյուտ հիվանդություն է փոքր երեխաների մոտ: Սկզբի պիկը 4-6 տարեկանում է։ Հիվանդությունը դրսևորվում է մեջքի ցավով և կարկամությամբկամ դեպի որովայն կամ ստորին վերջույթներ ուղղված ցավով: Երեխան սովորաբար հրաժարվում է քայլել կամ ծանրություն կրել մեկ կամ երկու ոտքերի վրա: Ռենտգեն փոփոխությունները կարող են չնկատվել մի քանի շաբաթվա կամ ամիսների ընթացքում, սակայն հոդա ոսկրային ՀՇ սկանավորումը և ՄՌՏ-ն կարող են օգտակար լինել հիվանդության վաղ ախտորոշման համար:
Արյան դիսկրազիաներ և հեմոգլոբինոպաթիաներ. Արյան դիսկրազիաները, ինչպիսին է հեմոֆիլիան, կարող են ազդել մեկ հոդի, հատկապես ծնկան հոդի վրա:
Չարորակ նորագոյացություններ. Դրանք ավելի քիչ հավանական են, բայց պետք է ներառվեն դիֆերենցիալ ախտորոշման մեջ:
Հոգեբանական ցավ. Սա հնարավոր է, երբ կա հուշող նախադրյալ և նորմալ ֆիզիկալ զննում:
Բազմաթիվ հոդերի ախտահարում, տենդով
Ինչպես մեկ հոդի ախտահարվածությամբ հիվանդների դեպքում, սկսեք դիտարկել վարակը:
Սեպսիսը, տուբերկուլոզը, բրուցելոզը կարող են ախտահարել բազմաթիվ հոդեր:
Ջերմությամբ և պոլիարթրալգիայով կամ արթրիտով երեխաների մեծ մասի մոտ, ովքեր լուրջ հիվանդ չեն, հոդերի ախտանշանները անհետանում են՝ տենդի անհետանալու հետ, հիմքում ընկած հիվանդության բուժումից հետո:
Վիրուսային հիվանդություններ. Վիրուսներից շատերը կարող են առաջացնել ռեակտիվ արթրիտի կլինիկական պատկեր: Առավել տարածված է կարմրախտի վիրուսի և պատվաստանյութի հետ կապված արթրիտը: Հայտնի է, որ էպիդեմիկ պարօտիտի վիրուսը, հեպատիտ B-ի վիրուսը, ադենովիրուսը, Էպշտեյն-Բար վիրուսը, ցիտոմեգալովիրուսը, պարվովիրուս B19 և հերպեսը առաջացնում են արթրիտ:
Ռեակտիվ արթրիտ:
Ռևմատիկ հիվանդություններ. Համակարգային ՅԻԱ, պոլիարտիկուլյար ՅԻԱ, ՍՌՏ, ՀԿԳ, ԻգԱՎ:
Չարորակ նորագոյացություններ. Երբ ի լրումն հոդերի ներգրավվածության, առաջանում է ոսկրային ցավ, պետք է հաշվի առնել լեյկոզը, լիմֆոման և նեյրոբլաստոման: Նման հիվանդների մոտ կարող է զարգանալ արթրալգիա և նույնիսկ արթրիտ, նախքան նրանց հիվանդության այլ դրսևորումները ակնհայտ դառնալը:
Իմուն անբավարարության սինդրոմներ. Ամենատարածված իմուն անբավարարության վիճակները, որոնք ասոցացվում են քրոնիկ արթրիտի հետ, սելեկտիվ ԻգԱ դեֆիցիտն է, ագամագլոբուլինեմիան և հիպոգամագլոբուլինեմիան, ինչպես նաև կոմպլեմենտի բաղադրիչների անբավարարությունը: Արթրիտը չի տարբերվում օլիգոարտիկուլյար ՅԻԱ-ից:
Բազմաթիվ հոդերի ախտահարում, առանց տենդի
Ռևմատիկ հիվանդություններ. Երբ կա բազմաթիվ հոդերի ցավ կամ այտուց, առանց ջերմության, նախ հաշվի առեք ռևմատիկ հիվանդությունները, ներառյալ սուր ռևմատիկ տենդը պոլիարթրալգիայով կամ պոլիարթրիտով հիվանդների մոտ, պոլիարտիկուլյար ՅԻԱ:
Աղիների բորբոքային հիվանդություններ. Երբ հոդային ախտանիշներից բացի կան ստամոքս-աղիքային ախտանշաններ, ինչպիսիք են որովայնի ցավը, փորլուծությունը և քաշի կորուստը, հաշվի առեք Կրոնի հիվանդությունը կամ խոցային կոլիտը: Արթրիտը հանդիպում է այս հիվանդների մինչև 30%-ի մոտ, սովորաբար ծանրություն կրող հոդերում:
Հոդերի հիպերմոբիլություն/գերճկունություն:
Աճման ցավեր:
Չարորակ նորագոյացություններ. հաշվի առեք, երբ վերը նշված բոլոր վիճակները բացառվեն:
Հոգեբանական արթրալգիա. Հիստերիան կարող է առաջանալ դեռահասների մոտ, և նրանք, ովքեր ունեն դեպրեսիա, կարող են ցավ ունենալ ոտքի կամ կոճի շրջանում և հրաժարվել քայլելուց: Ժամանակի ընթացքում դա կարող է հանգեցնել մկանների ատրոֆիայի և շարժումների տիրույթի նվազման՝ առանց այտուցի կամ բորբոքման նշանների: Սա կարող է դառնալ բարդ խնդիր և պահանջում է համագործակցություն սոցիալական աշխատողի, հոգեբանի կամ հոգեբույժի հետ:
ԳՈՐԾԵԼԱԿԱՐԳԻ ՄՇԱԿՄԱՆ ԱՂԲՅՈՒՐԸ
1. IMAJ | The Israel Medicine Association Journal | Volume , Number 10, October 2002 | Joint Pain in Children: An Algorithmic Approach. Accessed August 21, 2023. https://www.ima.org.il/MedicineIMAJ/viewarticle.aspx?year=2002&month=10&page=837 Ամսագիր Իսրայելի բժշկական ասոցիացիայի Հատոր, թիվ 10, 2002 թ. հոկտեմբեր / հոդացավեր երեխաների մոտ. ալգորիթմական մոտեցում․ Թույլատրված օգոստոս 21, 2023թ․ https://www.ima.org.il/MedicineIMAJ/viewarticle.aspx?year=2002&month=10&page=837
2. Evaluation of the child with joint pain and/or swelling - UpToDate. Accessed August 21, 2023. https://www.uptodate.com/contents/evaluation-of-the-child-with-joint-pain-and-or-swelling/print Համատեղ ցավ և (կամ) այտուց ունեցող երեխայի հետազոտություն – UpToDate․ Թույլատրված օգոստոս 21, 2023թ․
3. WHO. Pocket Book of Hospital Care for Children: Guidelines for the Management of Common Childhood Illnesses. Vol 348. Second. (World Health Organization (WHO), ed.). World Health Organization; 2013. Accessed August 21, 2023. http://www.who.int/maternal_child_adolescent/documents/9241546700/en/ ԱՀԿ․ Երեխաների Հիվանդանոցային խնամքի գրպանի գիրք։ Ուղեցույցներ մանկական ընդհանուր հիվանդությունների բուժման համար: 348-րդ հատոր․ (ԱՀԿ) 2013թ․, Թարմացված է օգոստոս 21, 2023թ․ http://www.who.int/maternal_child_adolescent/documents/9241546700/en/
4. Clinical Practice Guidelines : The acutely swollen joint. Accessed August 21, 2023. https://www.rch.org.au/clinicalguide/guideline_index/the_acutely_swollen_joint/ Կլինիկական պրակտիկայի ուղեցույցներ։ Խիստ այտուցված հոդ․ Թարմացված է օգոստոս 21, 2023թ․ https://www.rch.org.au/clinicalguide/guideline_index/the_acutely_swollen_joint/
5. Clinical Practice Guidelines : The limping or non-weight bearing child. Accessed August 21, 2023. https://www.rch.org.au/clinicalguide/guideline_index/Child_with_limp/ Կլինիկական պրակտիկայի ուղեցույցներ։ Կաղ երեխա կամ թուլակազմ երեխա․ Թույլատրված է օգոստոս 21, 2023թ․ https://www.rch.org.au/clinicalguide/guideline_index/Child_with_limp/
6. Juvenile Idiopathic Arthritis Clinical Practice Guidelines. Accessed August 22, 2023. https://rheumatology.org/juvenile-idiopathic-arthritis-guideline Յուվենիլ իդիոպաթիկ արթրիտների կլինիկական պրակտիկայի ուղեցույցներ․ Թույլատրված է օգոստոս 21, 2023թ․ https://rheumatology.org/juvenile-idiopathic-arthritis-guideline
Պաշտոնական հրապարակման օրը՝ 23 հուլիսի 2024 թվական: