ՀԱՅԱՍՏԱՆԻ ՀԱՆՐԱՊԵՏՈՒԹՅԱՆ
ԱՌՈՂՋԱՊԱՀՈՒԹՅԱՆ ՆԱԽԱՐԱՐ
|
«07» հոկտեմբեր 2024 թ. |
N 302-Ն |
Հ Ր Ա Մ Ա Ն
ՀԱԶՈՎ ՊԱՑԻԵՆՏԻ ՎԱՐՄԱՆ ԳՈՐԾԵԼԱԿԱՐԳԸ ՀԱՍՏԱՏԵԼՈՒ ՄԱՍԻՆ
Հիմք ընդունելով «Բնակչության բժշկական օգնության և սպասարկման մասին» օրենքի 2-րդ հոդվածի 1-ին մասի 31-րդ կետը.
Հրամայում եմ
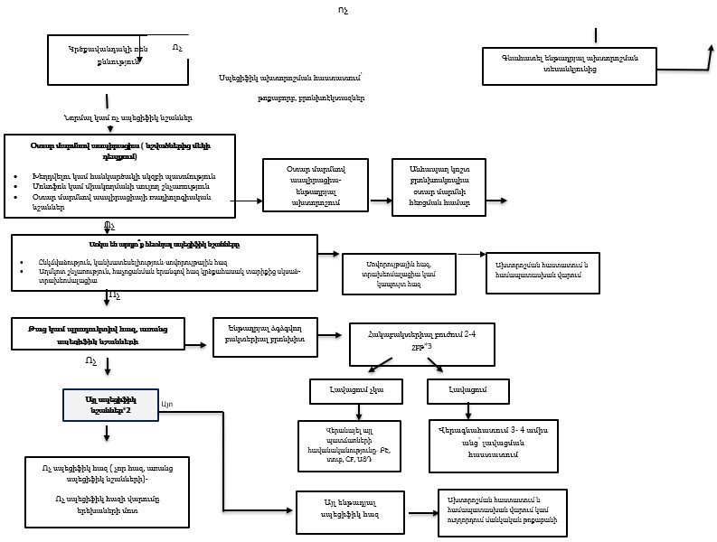
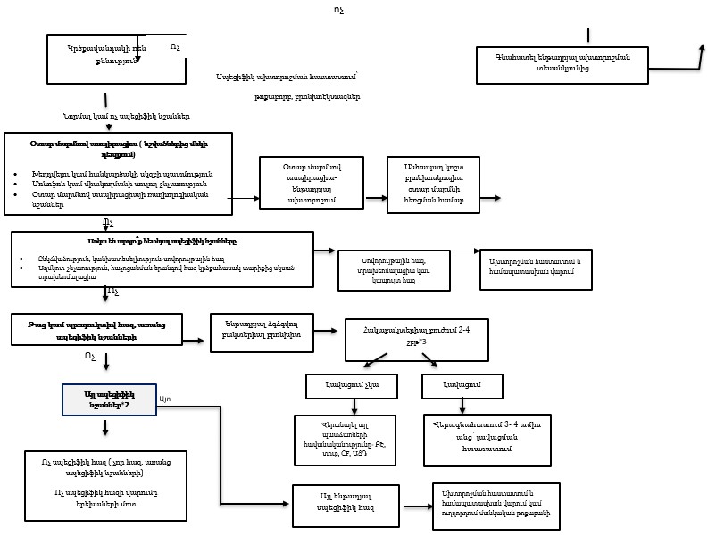
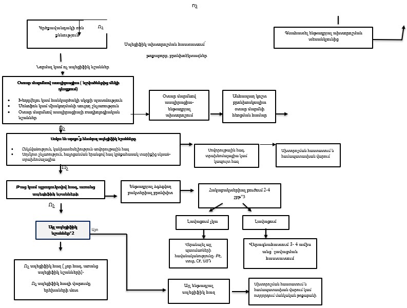
1. Հաստատել հազով պացիենտի վարման գործելակարգը` համաձայն հավելվածի:
2. Սույն հրամանն ուժի մեջ է մտնում պաշտոնական հրապարակման օրվան հաջորդող տասներորդ օրը:
|
07.10.2024 |
Ա. ԱՎԱՆԵՍՅԱՆ |
|
Հավելված ՀՀ առողջապահության նախարարի 2024 թվականի հոկտեմբեր «07»-ի N 302-Ն հրամանի |
ԳՈՐԾԵԼԱԿԱՐԳ
ՀԱԶՈՎ ՊԱՑԻԵՆՏԻ ՎԱՐՄԱՆ
1. Նոզոլոգիաների խումբ` ըստ հիվանդությունների և առողջության հետ կապված խնդիրների վիճակագրական 10–րդ վերանայման դասակարգչի.
|
Հ/Հ |
Կոդը |
Անվանում |
|
1) |
R 05 |
[R05] Հազ Բացառությամբ` արյունահոսությամբ ուղեկցվող հազի (R04.2) հոգեծին հազի (F45.3) |
|
2) |
R 04.2 |
Արյունախխում Արյունային խորխ Հազ`արյունահոսությամբ |
|
3) |
T 48.3 |
Հակահազային դեղամիջոցներ |
|
4) |
Y 55.3 |
Հակահազային միջոցներ |
2․ Նոզոլոգիաների խումբը կիրառելի է՝ ըստ սույն հավելվածով սահմանված Ձև 1–ի.
Ձև 1
|
1) |
Տարիքային խումբ |
Երեխաներ |
|
2) |
Սեռ |
արական, իգական |
|
3) |
Բարդություններ |
առանց բարդությունների (ԱԲ), բարդություններով (Բ) |
|
4) |
Հիվանդության փուլը |
Սուր, ձգձգվող, քրոնիկ |
|
5) |
Բժշկական օգնության և սպասարկման պայմանները /հիվադնաոցային, արտահիվանդանոցային, շտապօգնության/ |
հիվանդանոցային, արտահիվանդանոցային |
|
6) |
Բուժօգնության տրամադրման ձևը /անհետաձգելի, պլանային/ |
Անհետաձգելի, պլանային |
|
7) |
Կիրառման շրջանակը |
Մանկաբույժներ, մանկական ալերգոլոգ, թոքաբան, ինտենսիվ թերապիա |
|
8) |
Գանգատներ |
Հազ, Քթի փակվածություն, Հևոց, դժվարաշնչություն, Կրծքավանդակի ցավ, Աճի հապաղում, Տենդ: |
|
9) |
Անամնեզ |
Սուր սկիզբ, կատառալ երևույթներ, ջերմության բարձրացում, Ասթմայի/ալերգիայի ընտանեկան անամնեզ, Օտար մարմին, Տևական բնույթ, Նախկինում հազի կրկնվող դրվագներ: |
|
10) |
Զննման արդյունք/Ցուցում |
Աուսկուլտատիվ փոփոխություններ, Շնչառության հաճախություն Կրծքավանդակի ցավ: |
3․ Բժիշկ-մասնագետի կողմից զննումը, խորհրդատվությունը իրականացվում է ըստ Ձև 2–ի (անհրաժեշտության դեպքում անհրաժեշտ է նշել հիվանդության փուլերը)․
Ձև 2
|
Հ/Հ |
Խորհրդատվության տեսակը |
Տրամադրման քանակը | |
|
ԱԲ |
Բ | ||
|
1) |
Թոքաբան |
0-1 |
1 |
|
2) |
Մանկական ալերգոլոգ |
0-1 |
1 |
|
3) |
Ինտենսիվ թերապիայի մասնագետ |
0-1 |
1 |
4․ Սույն հավելվածի Ձև 2–ում նշված տրամադրվող քանակների համար նշվում է միջինացված ցուցանիշ, նկատի ունենալով տվյալ զննման, խորհրդատվության իրականացման հաճախականությունը։ Հաճախականության հաշվարկման միավորը պետք է լինի 0-ից 1 միջակայքում և հաշվի առնի նմանատիպ 100 դեպքերում տվյալ զննման, խորհրդատվության իրականացման հաճախականությունը։
5․ Լաբորատոր-գործիքային ախտորոշիչ հետազոտություններն իրականացվում են՝ ըստ Ձև 3–ի (անհրաժեշտության դեպքում նշել հիվանդության փուլերը)․
Ձև 3
|
Լաբորատոր հետազոտություններ | ||||
|
Հ/Հ |
Անվանումը |
Տրամադրման քանակը |
Արդյունք | |
|
ԱԲ |
Բ |
|||
|
1) |
Արյան ընդհանուր քննություն լեյկոֆորմուլայով |
1 |
2 |
Առանց շեղումների/լեյկոցիտոզ/լեյկոպենիա/էոզինոֆիլիա |
|
2) |
Ց-ռեակտիվ սպիտակուց |
1 |
2 |
Նորմա/բարձր |
|
Գործիքային հետազոտություններ | ||||
|
3) |
Պուլսօքսիմետրիա |
3-4 |
5-6 |
Նորմա/դեսատուրացիա |
|
4) |
Կրծքավանդակի ռենտգեն քննություն |
- |
1 |
Առանց շեղումների/թոքաբորբ/գոյացություն/սպեցիֆիկ փոփոխություններ |
|
5) |
Սպիրոմետրիա |
0-1 |
1 |
|
|
6) |
Բրոնխոսկոպիա |
0-1 0-1 |
1 |
Բրոնխոդիլատացիոն թեստը դրական/բացասական Նորմա/Օտար մարմնի առկայություն Նորմա/ սպեցիֆիկ փոփոխություններ |
|
7) |
Կրծքավանդակի համակարգչային շերտագրում |
1 |
||
6․ Սույն հավելվածի Ձև 3–ում սահմանված տրամադրվող քանակների համար նշվում է միջինացված ցուցանիշ, նկատի ունենալով տվյալ հետազոտության իրականացման հաճախականությունը։ Հաճախականության հաշվարկման միավորը պետք է լինի 0-ից 1 միջակայքում և հաշվի առնի նմանատիպ 100 դեպքերում տվյալ հետազոտության իրականացման հաճախականությունը։
7․ Օգտագործվող դեղերի ցանկը սահմանվում է ըստ Ձև 4–ի (անհրաժեշտության դեպքում նշել հիվանդության փուլերը)․
Ձև 4
|
Հ/Հ |
Անվանումը, դեղաչափը, դեղաձևը, փաթեթավորումը |
Անվանում (ջեներիկ) |
Չափման միավոր |
Միջինացված ցուցանիշ՝ տրամադրման հաճախա-կանություն |
Միջին օրական չափա-քանակ |
Բուժ-ման կուրսի միջին չափա-քանակ |
Օրե-րի քա-նակ |
|
1) |
Նատրիումի քլորիդ լուծույթ տեղային կիրառման 50մգ/մլ |
Նատրիումի քլորիդ լուծույթ տեղային կիրառման 50մգ/մլ |
պլաստիկե սրվակ |
3-5 |
3-5 մլ |
5-7 |
5-7 |
|
2) |
Դիմետինդեն մալեատ |
Դիմետինդեն մալեատ |
Քթի կաթիլներ |
2-3 |
6-8 կաթ |
5-7 |
5-7 |
|
3) |
Սալբուտամոլ (սալբուտամոլի սուլֆատ) դեղակախույթ շնչառման 100մկգ/դեղաչափ |
Սալբուտամոլ (սալբուտամոլի սուլֆատ) դեղակախույթ շնչառման 100մկգ/դեղաչափ |
ալյումինե տարա |
2-3 |
2-3 դեղաչափ |
3-5 |
3-5 |
|
4) |
Դեքսամեթազոն (դեքսամեթազոն նատրիումի ֆոսֆատ) լուծույթ մ/մ և ն/ե ներարկման 4մգ/մլ |
Դեքսամեթազոն (դեքսամեթազոն նատրիումի ֆոսֆատ) լուծույթ մ/մ և ն/ե ներարկման 4մգ/մլ |
ամպուլներ |
1-2 |
4-8 մգ |
2-3 |
2-3 |
|
5) |
Ամօքսիցիլին (ամօքսիցիլինի տրիհիդրատ), քլավուլանաթթու (կալիումի քլավուլանատ) թաղանթապատ 500մգ+62,5մգ, 1000մգ+125մգ |
Ամօքսիցիլին (ամօքսիցիլինի տրիհիդրատ), քլավուլանաթթու (կալիումի քլավուլանատ) թաղանթապատ 500մգ+62,5մգ, 1000մգ+125մգ |
դեղահատեր |
2-3 |
90 մգ/կգ |
7-10 |
7-10 |
|
6) |
Օսելտամիվիր 75մգ |
Օսելտամիվիր 75մգ |
դեղապոտիճ |
75 մգ |
75 մգ |
5 |
5 |
8․ Սույն հավելվածի Ձև 4–ում սահմանված՝
1) նշանակված դեղի նկատմամբ անհատական անտանելիության դեպքում ավագ բուժաշխատողը իրավասու է նշանակել այլ դեղ:
2) տրամադրվող քանակների համար նշվում է միջինացված ցուցանիշ, նկատի ունենալով տվյալ դեղի օգտագործման հաճախականությունը։ Հաճախականության հաշվարկման միավորը պետք է լինի 0-ից 1 միջակայքում և հաշվի առնի նմանատիպ 100 դեպքերում տվյալ դեղի օգտագործման հաճախականությունը։
9․ Բուժական այլ միջոցառումներ սահմանվում են Ձև 5–ում (անհրաժեշտության դեպքում նշել հիվանդության փուլեր
Ձև 5
|
Հ/Հ |
Բժշկական ծառայության տեսակը |
Տրամադրման քանակը | |
|
ԱԲ |
Բ | ||
|
1) |
Վիրահատական միջամտություն այդ թվում օտար մարմնի հեռացում |
1 |
1 |
10․ Սույն հավելվածի Ձև 5–ում սահմանված տրամադրվող քանակների համար նշվում է միջինացված ցուցանիշ, նկատի ունենալով, թե ինչ հաճախականությամբ է իրականացվում տվյալ բուժական միջոցառումը։ Հաճախականության հաշվարկման միավորը պետք է լինի 0-ից 1 միջակայքում և հաշվի առնի նմանատիպ 100 դեպքերում տվյալ բուժական միջոցառման կիրառման հաճախականությունը։
Ձև 6
|
Բուժում
● Ձգձգվող բակտերիալ բրոնխիտ ախտորոշման հաստատման համար, առաջնահերթ պետք էժխտված լինեն հազի հիմքում ընկած այլ իրավիճակները, ինչպես նաև անհրաժեշտ է խորխի մանրէաբանական քննություն։ Վարումը ներառում է երկարատև հակաբակտերիալ բուժում՝ 4- 6 շաբաթ և ֆիզիոթերապիա։
Ամոքսիցիլին/կլավուլոնաթթու -50-60 մգ/կգ/օրը -4-6 շաբաթ
● Հակահազային, խորխաբեր, հակահիստամինային պրեպարատները չունեն ապացուցողական հիմք,չեն կիրառվում՝ հաշվի առնելով նաև պոտենցիալ |
|
*2 Սպեցիֆիկ հազի առանձնահատկություններ ● Ախտանիշներ – քրոնիկ թաց/պրոդուկտիվ հազ, կրծքավանդակի ցավ, օտար մարմնիով ասպիրացիայի անամնեզ, դիսպնոե, անբավարար փարթամություն, կերակրման դժվարություններ (ներառյալ փսխումներ, կլման դժվարություն), արյունախխում, սրտային կամ նյարդամկանային անոմալիաներ, կրկնվող վարակներ, իմունոդեֆիցիտ, տուբերկուլյոզի ռիսկի խումբ ● Ֆիզիկալ զննում – Շնչական դիսթրես, ֆալանգների հաստացում, կրծքավանդակի դեֆորմացիաներ, աուսկուլտատիվ առկա խզզոցներ ● Հետազոտություններ – Ռադիոլոգիական կամ շնչառական ֆունկցիայի փոփոխություններ |
| *1 Բազային առողջ երեխաների մոտ գրիպը սուր, ինքնալավացող, առանց բարդությունների հիվանդություն է, սակայն ծանր դեպքերում, կարող է պահանջվել հոսպիտալացում, և ավարտվել մահվան ելքով։
<5 տ, հատկապես <2 տ և քրոնիկ հիվանդությամբ երեխաներն ունեն գրիպի վիրուսի բարդությունների զարգացման բարձր։ Վաղ մանկական տարիքում, հատկապես <6 ամս երեխաների մոտ առկա են հոսպիտալացման և մահացության ավելի բարձր ցուցանիշներ։ Հոսպիտալացման ցուցումներ
● Արտահայտված հևոց հանգստի ժամանակ● Գիտակցության փոփոխություններ● Կլինիկական վատացում, հատկապես հիպօքսիայով պայմանավորված● Ջրազրկում կամ հեղուկների բերանացի ընդունման անհնարինություն● Քրոնիկ հիվանդության սրացում● Լուրջ բարդությունների զարգացում (օր. միոկարդիտ, էնցեֆալիտ, ստորին շնչուղիների կողմիցբարդություններ՝ երկրորդային բակտերիալ պնևմոնիա, ծանր միոզիտ)
Ռիսկի ֆակտորների առկայության կամ ստորին շնչուղիների բարդությունների նշանների դեպքում, անհրաժեշտ է իրականացնել կրծքավանդակի ռենտգեն քննություն։
Բակտերիալ կոինֆեկցիա պետք է ենթադրել բոլոր այն դեպքերում, երբ առկա են ծանր գրիպի կամ գրիպանման հիվանդության նշաններ, կլինիկական նշանների երկրորդ ալիքով վատացման դեպքում, հակավիրուսային բուժման 3-5 օրերի ընթացքում լավացման բացակայություն, ինչպես նաև տարած գրիպի/գրիպանման հիվանդությունից 1-2 շաբաթ անց հանկարծակի տենդի զարգացման դեպքերում |
Մինչև 1 տ երեխաների օզելտամիվիրով հակավիրուսային բուժական և կանխարգելիչ
|
Բակտերիալ կոինֆեկցիայի բուժում
Եթե բակտերիալ բարդության էթիոլոգիան անհայտ է, էմպիրիկ բուժումը պետք է թիրախավորի գրիպի վիրուսի դեպքում հնարավոր բոլոր հարուցիչներին՝ Staphylococcus aureus, Streptococcus pneumoniae, Streptococcus pyogenes (group A Streptococcus), Haemophilus influenzae type b, and nontypeable H. influenzae.
Ամոքսիցիլին/կլավուլոնաթթու 90 մգ/կգ/օրը, օրը 3 անգամ, 7-10 օր |
|
Բուժում |
Կանխարգելում | |
|
3 ամս |
3 մգ/կգ/դեղաչափ, բերանացի, օրը 2 անգամ, 5 օր |
Խորհուրդ չի տրվում Միայն ծայրահեղ դեպքերում |
|
3- 8 ամս |
3 մգ/կգ/դեղաչափ, բերանացի, օրը 2 անգամ, 5 օր |
3 մգ/կգ, բերանացի, օրը 1 անգամ |
|
9-11 ամս |
3.5 մգ/կգ/դեղաչափ, բերանացի, օրը 2 անգամ, 5 օր |
3.5 մգ/կգ, բերանացի, օրը 1 անգամ |
|
Օզելտամիվիր (Տամիֆլյու)* |
Հակավիրուսային բուժում | |||
|
75 մգ, կապսուլա |
1-12 տ | |||
|
≥13 տ 150 մգ/օրը, բերանացի, օրը 2 անգամ, 5 օր |
≥12 ամս պետք է ստանան 4 մգ/կգ/օրը, բերանացի, օրը 2 անգամ, 5 օր | |||
|
≤15 կգ |
>15-23 կգ |
>23-40 կգ |
>40 կգ | |
|
60 մգ/օրը բերանացի, օրը 2 անգամ, 5 օր |
90 մգ/օրը բերանացի, օրը 2 անգամ, 5 օր |
120 մգ/օրը բերանացի, օրը 2 անգամ, 5 օր |
150 մգ/օրը բերանացի, օրը 2 անգամ, 5 օր | |
ԳՈՐԾԵԼԱԿԱՐԳԻ ՄՇԱԿՄԱՆ ԱՂԲՅՈՒՐԸ
1. Kantar A, Chang AB, Shields MD, et al. ERS statement on protracted bacterial bronchitis in children. Eur Respir J 2017; 50: 1602139., Կանտար Ա, Չանգ ԱԲ, Շիելդս ՄԴ, և այլք․ Եվրոպական ռեսպիրատոր միության հայտարարությունը երեխաների երկարատև բակտերիալ բրոնխիտի մասին․ Եվրոպական ռեսպիրատոր ամսագիր 2017; 50: 1602139.,
2. Weinberger M, Hoegger M. The cough without a cause: Habit cough syndrome. J Allergy Clin Immunol 2016; 137:930., Վեինբերգեր Մ, Հեգգեր Մ․ Հազ առանց պատճառի. սովորական հազի համախտանիշ: Ալերգիայի կլինիկա և իմունոլոգիա ամսագիր 2016; 137:930.,
3. Gaillard EA, Kuehni CE, Turner S, et al. European Respiratory Society clinical practice guidelines for the diagnosis of asthma in children aged 5-16 years. Eur Respir J 2021; 58:2004173., Գաիլլարդ ԵԱ, Կուենի ԿԵ, Թուրներ Ս և այլք․ Եվրոպական Ռեսպիրատոր միության առաջարկությունները 5-16 տարեկան երեխաների մոտ բրոնխիալ ասթմայի ախտորոշման կլինիկական պրակտիկայի վերաբերյալ․ Եվրոպական ռեսպիրատոր ամսագիր 2021; 58:2004173.,
4. https://www.ncbi.nlm.nih.gov/pmc/articles/PMC6372369/ Clinical practice guidelines: Approach to cough in children: The official statement endorsed by the Saudi Pediatric Pulmonology Association (SPPA), https://www.ncbi.nlm.nih.gov/pmc/articles/PMC6372369/ Կլինիկական պրակտիկայի ուղեցույցներ։ Երեխաների հազի բուժման մոտեցում. պաշտոնական հայտարարություն, որը հաստատվել է Սաուդյան մանկական թոքաբանության ասոցիացիայի կողմից
5. https://www.uhnm.nhs.uk/media/6508/20220117-paediatric-guidelines-2018-20-foi-ref-507-2122-2-of-2.pdf
6. Uptodate, Seasonal influenza in children: Clinical features and diagnosis, Sep 09, 2022 https://www.uptodate.com/contents/seasonal-influenza-in-children-clinical-features-and-diagnosis?topicRef=5985&source=see_link: Սեզոնային գրիպը երեխաների մոտ. կլինիկական առանձնահատկություններ և ախտորոշում, Սեպտեմբեր 09, 2022թ․ https://www.uptodate.com/contents/seasonal-influenza-in-children-clinical-features-and-diagnosis?topicRef=5985&source=see_link:
Պաշտոնական հրապարակման օրը՝ 23 հոկտեմբերի 2024 թվական: