«Գրանցված է»
ՀՀ արդարադատության
նախարարության կողմից
3 օգոստոսի 2006 թ.
Պետական գրանցման թիվ 10006229
ՀԱՅԱՍՏԱՆԻ ՀԱՆՐԱՊԵՏՈՒԹՅԱՆ
ԱՌՈՂՋԱՊԱՀՈՒԹՅԱՆ ՆԱԽԱՐԱՐ
|
15 հունիսի 2006 թ. |
N 673-Ն |
Հ Ր Ա Մ Ա Ն
«ՍՆՆԴԱՄԹԵՐՔԻ ՀԵՏ ՇՓՎՈՂ ՊՈԼԻՄԵՐԱՅԻՆ ԵՎ ԱՅԴ ՀԻՄՔՈՎ ՊԼԱՍՏՄԱՍՍԱՅԵ ԱՐՏԱԴՐԱՆՔՆԵՐԻՑ ՍՆՆԴԱՄԹԵՐՔԻ ՄԵՋ ԱՐՏԱԶԱՏՎՈՂ ՎՆԱՍԱԿԱՐ ՔԻՄԻԱԿԱՆ ՆՅՈՒԹԵՐԻ ՍԱՀՄԱՆԱՅԻՆ ԹՈՒՅԼԱՏՐԵԼԻ ՔԱՆԱԿՈՒԹՅՈՒՆԸ ԵՎ ԴՐԱՆՑ ՈՐՈՇՄԱՆ ՄԵԹՈԴՆԵՐԸ» ՀՆ N 2-III-4.8-01-2006 ՀԱՍՏԱՏԵԼՈՒ ՄԱՍԻՆ
Ի կատարումն Հայաստանի Հանրապետության կառավարության 2005 թվականի մայիսի 25-ի «Սննդամթերքի հետ շփվող պոլիմերային և այդ հիմքով պլաստմասսայե արտադրանքների տեխնիկական կանոնակարգը հաստատելու մասին» N 679-Ն որոշման 2-րդ կետի և համաձայն «Հայաստանի Հանրապետության բնակչության սանիտարահամաճարակային անվտանգության ապահովման մասին» Հայաստանի Հանրապետության օրենքի 4-րդ հոդվածի, Հայաստանի Հանրապետության կառավարության 2002 թվականի օգոստոսի 15-ի «Հայաստանի Հանրապետության առողջապահության նախարարության պետական հիգիենիկ և հակահամաճարակային ծառայությունը և դրա ենթակայության մարմինները վերակազմակերպելու և Հայաստանի Հանրապետության առողջապահության նախարարության պետական հիգիենիկ և հակահամաճարակային տեսչության կանոնադրությունն ու կառուցվածքը հաստատելու մասին» N 1316-Ն որոշմամբ հաստատված Հայաստանի Հանրապետության առողջապահության նախարարության պետական հիգիենիկ և հակահամաճարակային տեսչության կանոնադրության 7-րդ կետի «ե» ենթակետի՝ ելնելով բնակչության առողջության պահպանման շահերից՝ սննդամթերքի հետ շփվող պոլիմերային և այդ հիմքով պլաստմասսայե արտադրանքներից սննդամթերքի մեջ արտազատվող վնասակար քիմիական նյութերի սահմանային թույլատրելի քանակությունը և դրանց որոշման մեթոդները սահմանելու նպատակով,
ՀՐԱՄԱՅՈՒՄ ԵՄ՝
Հաստատել «Սննդամթերքի հետ շփվող պոլիմերային և այդ հիմքով պլաստմասսայե արտադրանքներից սննդամթերքի մեջ արտազատվող վնասակար քիմիական նյութերի սահմանային թույլատրելի քանակությունը և դրանց որոշման մեթոդները» ՀՆ N 2-III-4.8-01-2006 (կցվում է):
| Նախարար | Ն. Դավիդյան |
|
Հավելված |
«Սննդամթերքի հետ շփվող պոլիմերային և այդ հիմքով պլաստմասսայե արտադրանքներից սննդամթերքի մեջ արտազատվող վնասակար քիմիական նյութերի սահմանային թույլատրելի քանակությունը և դրանց որոշման մեթոդները»
Հիգիենիկ նորմատիվներ N 2-III-4.8-01-2006
1. Ընդհանուր դրույթներ
1.1. Սույն հիգիենիկ նորմատիվները սահմանում են սննդամթերքի և սննդային միջավայրերի հետ շփման համար նախատեսված պոլիմերային և այլ սինթետիկ նյութերից պատրաստված արտադրանքներին ներկայացվող հիգիենիկ պահանջները:
1.2. Սույն հիգիենիկ նորմատիվները պարտադիր են Հայաստանի Հանրապետության բոլոր իրավաբանական և ֆիզիկական անձանց համար:
1.3. Սույն հիգիենիկ նորմատիվների նկատմամբ հսկողությունն իրականացվում է ՀՀ առողջապահության նախարարության պետական հիգիենիկ և հակահամաճարակային տեսչության կողմից:
2. Տերմիններ և սահմանումներ
Սննդամթերքի և սննդային միջավայրերի հետ շփման համար նախատեսված պոլիմերային և այլ սինթետիկ նյութերից պատրաստված արտադրանքները շփվող մոդելային լուծույթներում և օդային միջավայրում չպետք է արտազատեն մարդու առողջության համար վտանգավոր, միգրացիայի թույլատրելի քանակությունները (այսուհետ` ՄԹՔ) գերազանցող նյութեր, ինչպես նաև ուռուցքային, մուտագեն կամ այլ ազդեցություն ունեցող միացություններ:
ՄԹՔ (մգ/լ) արժեքներ -քիմիական նյութերի միգրացիայի թույլատրելի քանակությունները համարվում են 15 %-ից բարձր խոնավությամբ սննդամթերքի հետ շփման համար նախատեսված արտադրանքի սանիտարաքիմիական հետազոտությունների անցկացման ժամանակ գնահատման հիմնական չափորոշիչները: Այդ դեպքում քիմիական նյութերի միգրացիայի թույլատրելի քանակությունները որոշվում են այն մոդելային միջավայրերում (թորած ջուր, թույլ թթվային միջավայր և այլն), որոնք նմանակված են ենթադրվող սննդամթերքի տեսականու հատկություններին` այն ջերմաստիճանային ժամանակային ռեժիմներում, որոնք վերարտադրում են տվյալ արտադրանքի շահագործման իրական պայմանները:
Մոդելային լուծույթներում նույնականացվող նյութերի քանակական պարունակությունները չպետք է գերազանցեն տվյալ նյութերի համար նախատեսված ՄԹՔ արժեքները:
ՍԹԽջ (մգ/լ) արժեքներ - խմելու ջրում քիմիական նյութերի սահմանային թույլատրելի խտություներով (այսուհետ` ՍԹԽ) ղեկավարվում են այն դեպքում, երբ նույնականացվող նյութերի ՄԹՔ արժեքները սահմանված չեն (բացակայում են):
Չոր սննդամթերքի (15 % խոնավությունը չգերազանցող) հետ շփման համար նախատեսված արտադրանքի սանիտարաքիմիական հետազոտության ժամանակ արտազատվող քիմիական նյութերի որոշումը կատարվում է օդային միջավայրում` այն ջերմաստիճանային ժամանակային ռեժիմներում, որոնք վերարտադրում են արտադրանքի շահագործման իրական պայմանները: Հայտնաբերված քանակությունները գնահատվում են ելնելով բնակելի տարածքների մթնոլորտային օդում տվյալ նյութերի թույլատրելի քանակություններից:
ՍԹԽմ.օ. (մգ/մ3) - բնակավայրերի մթնոլորտային օդում քիմիական նյութերի սահմանային թույլատրելի միջին օրական խտությունները համարվում են օդում քիմիական նյութերի միգրացիայի որոշված մակարդակի գնահատման չափորոշիչները:
ՍԹԽմ.օ արժեքի բացակայության դեպքում նույնականացվող նյութերի համար պետք է ղեկավարվել բնակավայրերի մթնոլորտային օդը կեղտոտող նյութերի կողմնորոշիչ անվտանգության մակարդակների (այսուհետ` ՆԿԱՄ) մգ/մ3 արժեքներով:
Սույն հիգիենիկ նորմատիվների հետ ներկայացվում են օդում և ջրում պարունակվող քիմիական նյութերի վտանգավորության դասերը: Մարդու օրգանիզմի վրա ազդեցության աստիճանից կախված վնասակար նյութերը բաժանվում են վտանգավորության չորս դասերի.
1-ին դաս - խիստ վտանգավորության նյութեր
2-րդ դաս - բարձր վտանգավորության նյութեր
3-րդ դաս - չափավոր վտանգավորության նյութեր
4-րդ դաս - քիչ վտանգավորության նյութեր
Մանկական սննդամթերքի փաթեթավորման և մանկական ապրանքների տեսականու պատրաստման համար նախատեսված նյութերի և արտադրանքի գնահատման ժամանակ արգելվում է վտանգավորության 1-ին կամ 2-րդ դասերին պատկանող քիմիական նյութերի միգրացիան:
Սույն հիգիենիկ նորմատիվներում (Աղյուսակ 1) ներկայացված են սննդամթերքի հետ շփման համար նախատեսված նյութերի հիմնական տեսակները (պոլիմերային, սինթետիկ, պողպատից, համաձուլվածքներից և այլն), ինչպես նաև յուրաքանչյուր նյութին բնորոշ հիմնական քիմիական միացությունները:
Սննդամթերքի հետ շփվող պոլիմերային և այդ հիմքով պատրաստված պլաստմասսայե արտադրանքները պետք է ունենան համապատասխան մակնշում ըստ կիրառման նպատակի:
Կից տրվում են ներքոհիշյալ նյութերի որոշման մեթոդները (հավելվածներ 1.1-1.14).
Հավելված 1.1 «Սննդամթերքի հետ շփվող պոլիմերային և այդ հիմքով պլաստմասսայից պատրաստված ամանեղենի, տարայի, փաթեթանյութի, սարքավորման և այլ արտադրանքի սանիտարահիգիենիկ հետազոտման մեթոդներ»:
Հավելված 1.2 «Նրբաշերտ քրոմատագրման եղանակով ջրում, օդում, կենսաբանական միջավայրում E-կապրոլակտամի պարունակության որոշման մեթոդ»:
Հավելված 1.3 «Նրբաշերտ քրոմատագրման եղանակով ջրում հեքսամեթիլեն դիամինի պարունակության որոշման մեթոդ»:
Հավելված 1.4 «Ֆոտոգունաչափման եղանակով վինիլացետատի պարունակության որոշման մեթոդ»:
Հավելված 1.5 «Մեթակրիլաթթվի մեթիլ եթերի որոշման գունաչափական մեթոդներ (ջրում և 2 % նատրիումի քլորիդ պարունակող 0.5 %-ոց քացախաթթվի լուծույթում)»:
Հավելված 1.6 «Ստիրոլի, ակրիլոնիտրիլի, համատեղ պարունակությամբ եռաբաղադրիչ, հարվածակայուն պոլիստիրոլների, ստիրոլի և ակրիլոնիտրիլի համապոլիմերների ջրային ու 5% աղի լուծամզուքներում ստիրոլի ակրիլոնիտրիլի որոշման սպեկտրագունաչափման մեթոդներ»:
Հավելված 1.7 «Ջրային և աղային լուծամզուքներում ստիրոլի և մեթիլմետակրիլատի որոշման սպեկտրոֆոտոմետրիկ մեթոդ»:
Հավելված 1.8 «Գազային քրոմատագրման եղանակով մթնոլորտային օդում ացետալդեհիդի որոշման մեթոդ»:
Հավելված 1.9 «Գազային քրոմատագրման եղանակով` ջրում ացետոնի, մեթանոլի բենզոլի, տոլուոլի, էթիլբենզոլի, պենտանի, օ-,մ-,պ- քսիլոլների, հեքսանի, օկտանի և դեկանի որոշման մեթոդներ»:
Հավելված 1.10 «Գազային քրոմատագրման եղանակով ջրում, ջրային լուծամզուքներում և օդում ֆենոլի որոշման մեթոդ»:
Հավելված 1.11 «Գազաքրոմատագրման եղանակով ջրում, ջրային լուծամզուքներում և օդում ֆորմալդեհիդի որոշման մեթոդ»:
Հավելված 1.12 « Ջրում ֆորմալդեհիդի որոշման ռեակցիոն քրոմատագրաֆիական մեթոդ»:
Հավելված 1.13 «Դիբութիլֆտալատի, դիօկտիլֆտալատի և դիբութիլսեբացինատի որոշման մեթոդներ»:
Հավելված 1.14 «Պոլիվինիլքլորիդում, նրա հիմքի վրա ստացված պոլիմերային նյութերում, սննդամթերք նմանակող մոդելային միջավայրերում և սննդամթերքի մեջ վինիլքլորիդի որոշման մեթոդներ»:
|
Աղյուսակ 1 |
Սննդամթերքի հետ շփվող արտադրանքներից արտազատվող միացությունների հիգիենիկ ցուցանիշներ և նորմատիվներ
| Հավելված 1.1 |
ՔԻՄԻԱԿԱՆ ԳՈՐԾՈՆՆԵՐԻ ՀՍԿՈՂՈՒԹՅԱՆ ՄԵԹՈԴՆԵՐ
ՍՆՆԴԱՄԹԵՐՔԻ ՀԵՏ ՇՓՎՈՂ ՊՈԼԻՄԵՐԱՅԻՆ ԱՐՏԱԴՐԱՏԵՍԱԿՆԵՐ
Սննդամթերքի հետ շփվող պոլիմերային և այդ հիմքով պլաստմասսայից պատրաստված ամանեղենի, տարայի, փաթեթանյութի, սարքավորման և այլ արտադրանքի սանիտարահիգիենիկ հետազոտման մեթոդներ
1. ԸՆԴՀԱՆՈՒՐ ՄԱՍ
1.1 Սննդամթերքի հետ շփման համար նախատեսված պոլիմերային կամ այլ սինթետիկ նյութերից պատրաստված արտադրանքը օգտագործվում է որպես ամանեղեն, տարա, փաթեթանյութ, սարքավորումներ, նրանց մասեր, խմելու ջրի խողովակներ և այլն:
Պոլիմերային արտադրանքը հիմնականում իրենից ներկայացնում է պոլիէթիլեն, պոլիպրոպիլեն, պոլիստիրոլ, պոլիէթիլենտերեֆտալատ, պոլիվինիլքլորիդ, նրանց հոմոպոլիմերները, համակցված պոլիմերներ և այլն: Այդ արտադրանքի կիրառման ժամանակ հնարավոր է, որ շրջակա միջավայր (սննդամթերք) արտազատվեն ելային մոնոմերի մնացորդային քանակներ, ինչպես նաև լուծիչի, պոլիմերային կայունացուցիչի, անօրգանական աղերի և այլ պարզ նյութերի որոշակի քանակներ: Որպես կանոն այդ քանակները մեծ չեն լինում, սակայն օրգանիզմի վրա կարող են ունենալ «փոքր քանակների երկարատև ազդեցության» հետևանք:
2. ԿԻՐԱՌՄԱՆ ՈԼՈՐՏԸ
2.1 Սույն մեթոդները նախատեսված են սննդամթերքի հետ շփում ունեցող պոլիմերային կամ այլ սինթետիկ արտադրանքի սանիտարահիգիենիկ փորձարկումների համար:
3. ՍՆՆԴԱՄԹԵՐՔԻ ՀԵՏ ՇՓՎՈՂ ՊՈԼԻՄԵՐԱՅԻՆ ԻՐԵՐԻՆ ՆԵՐԿԱՅԱՑՎՈՂ ՀԻԳԻԵՆԻԿ ՊԱՀԱՆՋՆԵՐ
3.1 Պոլիմերային նյութերը և իրերը, որոնք նախատեսված են սննդի հետ շփման համար, պետք է ունենան հիգիենիկ եզրակացություն:
3.2 Պոլիմերային կամ այլ սինթետիկ նյութերից պատրաստված իրերը սննդամթերքի հետ շփման ժամանակ չպետք է արտազատեն շրջակա միջավայր (մոդելային միջավայր և օդ) միգրացիայի թույլատրելի քանակները (ՄԹՔ) գերազանցող վնասակար նյութեր:
4. ՓՈՐՁԱՆՄՈՒՇԻ ՀԵՏԱԶՈՏՄԱՆ ՆԵՐԿԱՅԱՑՄԱՆ ԿԱՐԳԸ
4.1 Փորձանմուշ ներկայացնող անձը կամ կազմակերպությունը պետք է ներկայացնի`
o փորձանմուշը,
o նյութի անվանումը, որից պատրաստված է նմուշը, մակնիշը, նորմատիվ տեխնիկական փաստաթուղթը (ԳՕՍՏ, ՏՊ և այլն),
o արտադրանքի պատրաստման ժամանակ օգտագործվող նյութերը, բաղադրագիրքը,
o արտադրության համառոտ տեխնոլոգիական նկարագիրը, նշելով ջերմային ռեժիմը,
o արտադրանքի շահագործման պայմանները (կիրառման եղանակը` ինչպիսի սննդամթերքի հետ է նախատեսվում շփումը, սննդամթերքի հետ շփման ժամկետը, ջերմաստիճանային ռեժիմը և այլն):
4.2 Ներկայացվող նմուշների քանակը և չափը կախված է հետազոտման ծավալից, որը համաձայնեցվում է պատվիրող և կատարող կողմերի միջև:
4.3 Եթե փորձանմուշը պատրաստված է արտասահմանյան նյութերից կամ ներկրված է արտասահմանից, ապա պետք է ներկայացվեն հետևյալ տեղեկությունները.
o նյութի կամ արտադրանքի անվտանգությունը հավաստող եզրակացություն, որից պատրաստված է արտադրանքը` տրված իրավասու կազմակերպության կողմից,
o փաստաթուղթ, որ տվյալ արտադրանքը նախատեսված է սննդամթերքի հետ շփման համար:
5. ՓՈՐՁԱՆՄՈՒՇԻ ՆԿԱՐԱԳԻՐԸ
Փորձանմուշը մինչև սանիտարաքիմիական փորձարկման ենթարկելը բնութագրվում է ըստ հետևյալ ցուցանիշների`
ա) արտաքին և ներքին մակերեսի գույնը և գույնի կայունությունը,
բ) նմուշի մակերեսի վիճակը (հարթ, բծերով, թերություններով և այլն),
գ) նմուշի հոտը: Հոտը նկարագրելիս նշում են հոտի բնույթը (ֆենոլային, արոմատիկ, նավթային, օտար, տհաճ և այլն) և մակարդակը արտահայտված բալերով` համաձայն N 4 աղյուսակի: Եթե նմուշի հոտի (մակարդակի) ուժգնությունը 1 բալից բարձր է, ապա նմուշը առանց հետագա որևէ ուսումնասիրության համարում են ոչ պիտանի սննդարդյունաբերության մեջ օգտագործելու համար: Եթե հոտի ուժգնությունը ցածր է 1 բալից, ապա փորձանմուշները ենթարկում են փորձարկման:
6. ՆՄՈՒՇՆԵՐԻ ՆԱԽԱՊԱՏՐԱՍՏՈՒՄԸ ՀԵՏԱԶՈՏՄԱՆ ՀԱՄԱՐ
6.1 Ներկայացված արտադրանքի նմուշները հետազոտությունից առաջ լվանում են տաք ջրով` թանզիֆի կամ բամբակի օգնությամբ, այնուհետև ողողում թորած ջրով և չորացնում օդում, սենյակային ջերմաստիճանում: Ցելոֆանե թաղանթները փորձարկում են առանց լվանալու:
6.2 15%-ից բարձր խոնավություն ունեցող սննդամթերքի հետ շփման համար նախատեսված իրերը ենթարկում են մշակման որոշակի նմանակող միջավայրում: Միջավայրերի ընտրությունը կախված է նրանից, թե տվյալ արտադրանքն ինչպիսի սննդամթերքի համար է նախատեսվում օգտագործել (աղյուսակ 1): Նմանակող լուծույթներով մշակման տևողությունը և ջերմաստիճանը ընտրում են` ելնելով աղյուսակներ 2-ից և 3-ից:
6.3 Փաթեթանյութը, որը նախատեսված է 15%-ից բարձր խոնավություն ունեցող սննդամթերքի փաթեթավորման համար, հետազոտում են 4x5 սմ չափսի կտորներով, որոնց մակերեսի աղտոտվածությունը հեռացնում են կտորները թորած ջրով բաժակի մեջ ընկղմելով, որից հետո անմիջապես ընկղմում են հերմետիկ փակվող, ապակյա տարողությունում լցված նմանակող լուծույթի մեջ: Հեղուկով ծածկված մակերեսի և նմանակող լուծույթի ծավալի հարաբերությունը պետք է հավասար լինի 2:1 (մակերեսը հաշվում են երկու կողմից):
6.4 Եթե նմուշը ներկայացված է հետազոտման ոչ մեծ չափի թիթեղների կամ այլ տեսք ունեցող մասերի ձևով, ապա վարվում են կ. 6.3-ում նշված ձևով և լրիվ ընկղմված իրի մակերեսը հաշվարկում են ներքին և արտաքին կողմերից: Եթե ներկայացված իրը մեծ է և նմանակող լուծույթը շփվում է միայն ներքին մակերեսով, ապա հաշվարկվում է այն մակերեսը, որը ծածկված է նմանակող լուծույթով:
Նմուշների մակերեսը հաշվարկվում է սովորական երկրաչափական բանաձևերով` որոշակի մոտավորությամբ:
6.5 Եթե նմուշը մեծ է և հարմար` այն օգտագործել որպես տարողություն` նրա մեջ մինչև վերջ լցնել նմանակող լուծույթ և ամուր փակել կափարիչով:
6.6 Սահմանված ժամանակից հետո ստացված լուծամզուկը տեղափոխում են հղկված խցաններով կոլբերի մեջ և կատարում զգայորոշման ու սանիտարաքիմիական հետազոտություններ:
6.7 Նմանակող լուծույթներում հետազոտվող բաղադրանյութի (կամ մոնոմերի քանակական պարունակությունը չպետք է գերազանցի այդ նյութերի համար հաստատված ՄԹՔ-ի արժեքները: ՄԹՔ-ի բացակայության դեպքում առաջնորդվում են ջրում տվյալ նյութի ՍԹԽ-ի մեծությունով:
6.8 15%-ից ցածր խոնավություն ունեցող սննդամթերքի հետ շփման համար նախատեսված արտադրանքի հետազոտության ժամանակ օգտագործում են սննդամթերքի կողմից ցնդող նյութերի կլանման երևույթը և բացի այդ կատարում են փորձանմուշից օդային միջավայր տեղաշարժվող (միգրվող) նյութերի որոշում:
6.9 Օդի միջավայրում նմանակման ժամանակ նմուշի մակերեսի և օդի ծավալի հարաբերությունը պետք է լինի 1:2,5 (օրինակ` 3000 սմ2 մակերեսով փորձանմուշը տեղավորում են 7,5 լ տարողությամբ խցիկում և հերմետիկ փակում կափարիչով):
6.10 Զգայորոշման ցուցանիշների որոշման համար հետազոտվող իրը կամ փաթեթը լցնում են սորբենտ հանդիսացող սննդամթերքի այն տեսակով, որի համար նախատեսվում է օգտագործել փորձանմուշը (հաց, սուրճ, աղ, շաքարավազ, ալյուր, ձեթ, յուղ և այլն), տեղադրում են փորձարկման խցիկի մեջ և պահում ընտրված ջերմաժամանակային որոշակի պայմաններում (աղյուսակներ 2 և 3):
6.11 Նմանակող խցիկից նմուշառվող օդի ծավալը պետք է խցիկի ծավալից 10 անգամ ավելի լինի և խցիկ ներհոսող օդը լինի մաքուր` զերծ քիմիական նյութերից:
6.12 Բոլոր նյութերի հայտնաբերումը և քանակական որոշումը իրականացնում են համապատասխան հաստատված մեթոդներով:
7. ՀԵՏԱԶՈՏՈՒԹՅՈՒՆՆԵՐԻ ԿԱՐԳԸ ԵՎ ԾԱՎԱԼԸ
7.1 Փորձանմուշի հետազոտությունը սկսում են (արտադրելուց որոշ ժամանակ հետո` 10 օրից ոչ շուտ) նմուշի դիտողական զննումից:
Ուշադրություն են դարձնում արտաքին և ներքին մակերեսի գույնին և վիճակին (հարթ, արատավոր` խորշերով, բծերով և այլն): Նշում են բոլոր փոփոխությունները որ կատարվել են նմուշում նմանակող լուծույթի (կամ սննդամթերքի) հետ շփման ժամանակ:
7.2 Բնութագրում են նաև նմանակող լուծույթը, նշելով հոտի մակարդակը, առաջացած նստվածքի կամ պղտորության առկայութունը, գույնը: Ջրային լուծամզուկներում որոշում են հոտը և համերանգը (աղյուսակ 4):
7.3 Հոտի և համերանգի ուսումնասիրությունն իրականացնում են փակ համտեսմամբ` 5 անձից ոչ պակաս մասնակիցներով: Համտեսմանը կարող են մասնակցել միայն այն անձինք, որոնք պարզորոշ տարբերում են հոտը, համը և համերանգը: Հոտի բնույթն արտահայտում են նկարագրելով` արոմատիկ, անորոշ, կողմնակի և այլն:
Համերանգի և հոտի ուժգնությունն արտահայտում են բալերով: Կողմնակի հոտի և համերանգի որոշման համար վերցնում են հղկված խցաններով միանման ձև և ծավալ ունեցող 4 փորձանոթներ: 3 անոթների մեջ լցնում են 50-ական մլ ստուգիչ նմանակող լուծույթ, իսկ 4-րդի մեջ` նույն քանակությամբ պատրաստված լուծամզուքից: Յուրաքանչյուր համտեսող ծանոթանում է նմանակող լուծույթի հոտի և համի հետ: Փորձանոթը թույլ թափահարելով համտեսողը բերանն է վերցնում ստուգիչ լուծույթից 10-15 մլ, առանց կուլ տալու պահում մի քանի վայրկյան, այնուհետև թափում: Դրանից հետո համտեսողի առջև դնում են 3 փորձանոթ` 2 ստուգիչ և 1 փորձնական նմուշ և կատարվում է փակ համտեսում:
Հոտի և համերանգի ստացված բոլոր արդյունքներից վերցնում են միջին թվաբանական արժեքները՝ արտահայտված ամբողջական թվով և տասնորդական մասերով (մինչև 0,5 հաշվի չի առնվում, իսկ 0,5-ից բարձր արժեքը կլորացվում է): Մզվածքի հոտի և համերանգի մակարդակը 1 բալից ավելիի դեպքում տվյալ նմուշը համարվում է հիգիենիկ պահանջներին չհամապատասխանող և հետագա ուսումնասիրությունները դադարեցվում են:
Փորձանմուշի հիգիենիկ գնահատման ժամանակ որոշիչ են համարվում սննդամթերքի զգայորոշման արդյունքները: Սննդամթերքի զգայորոշման ցուցանիշների փոփոխության դեպքում (գույն, հոտ, համ) փորձարկվող արտադրանմուշը համարվում է ոչ պիտանի տվյալ նպատակների համար:
8. ՏՎՅԱԼՆԵՐԻ ԳՆԱՀԱՏՈՒՄԸ
8.1 Փորձարկվող արտադրանքի հիգիենիկ գնահատման ժամանակ հաշվի է առնվում կատարվող բոլոր ուսումնասիրությունների արդյունքները` զգայորոշման, սանիտարաքիմիական և, եթե կատարվել է, նաև թունաբանական:
8.2 Եթե փորձարկվող նմուշը նմանակող լուծույթի հետ շփումից հետո չի ենթարկվել փոփոխության կամ լուծամզուքը չի ձեռք բերել 1 բալից ավելի ուժգնության հոտ կամ համերանգ, կամ արտազատվող քիմիական նյութերի թույլատրելի քանակները չեն գերազանցում թույլատրելի սահմանները (ՄԹՔ, ՍԹԽ), ապա նմուշը համարվում է հիգիենիկ պահանջներին բավարարող և պիտանի է նախատեսված նպատակների համար օգտագործման:
|
Աղյուսակ 1 |
Ց ա ն կ
Սննդամթերքի հետ շփվող պոլիմերային արտադրանքի փորձարկման ժամանակ կիրառվող նմանակող լուծույթների
| N |
Սննդամթերքի անվանումը, որի |
Մոդելային (նմանակող) լուծույթներ |
|
1. |
Միս, թարմ ձուկ | Թորած ջուր, կաթնաթթվի 3%-ոց լուծույթ |
|
2. |
Կաթ, կաթնաթթվային մթերք, կաթնային պահածոներ | Թորած ջուր, կաթնաթթվի 0,3% լուծույթ, 3% կաթնաթթու |
|
3. |
Ապխտած և աղի ձուկ, միս | Թորած ջուր, կերակրի աղի 5%-ոց լուծույթ |
|
4. |
Եփած երշիկ, մսի, ձկան, բանջարեղենի պահածոներ, մարինադներ, թթուներ, տոմատի մածուկ և այլն | Թորած ջուր, քացախաթթվի 0,5%-ոց լուծույթ, 2%-ոց կերակրի աղի պարունակությամբ (1:1), զտված արևածաղկի յուղ |
|
5. |
Մրգեր, բանջարեղեն, հատապտուղ, մրգաբանջարեղենային հյութեր, պահածոներ, ոչ ալկոհոլային խմիչք, գարեջուր | Թորած ջուր, 2%-ոց կիտրոնաթթվի լուծույթ |
|
6. |
Ալկոհոլային խմիչք, գինի | Թորած ջուր, էթիլ սպիրտի 20%-ոց լուծույթ, կիտրոնաթթվի 2%-ոց լուծույթ |
|
7. |
Օղի, կոնյակ | Թորած ջուր, էթիլ սպիրտ 40%-ոց |
|
8. |
Սպիրտ սննդային, լիկյոր, ռոմ | Թորած ջուր, էթիլ սպիրտ 96%-ոց |
|
9. |
Պատրաստի կերակրատեսակներ, տաք ըմպելիք (թեյ, սուրճ, կաթ և այլն) | Թորած ջուր, քացախաթթվի 1%-ոց լուծույթ |
Ծանուցում. 1. Ցանկում չընդգրկված արտադրատեսակների դեպքում մոդելավորումը կատարվում է կիրառման բնական պայմաններին շատ մոտ` որոշ խստացմամբ:
2. Ազոտ և ալդեհիդներ պարունակող պոլիմերների դեպքում որպես նմանակող լուծույթ օգտագործում են կիտրոնաթթվի 0,3% և 3% լուծույթներ՝ կաթնաթթվի լուծույթի փոխարեն:
3. Ձկան պահածոների (սեփական հյութի մեջ) տարաների դեպքում օգտագործվում է միայն թորած ջուր:
|
Աղյուսակ 2 |
Նմանակող լուծույթի և նմուշի փոխազդեցության ժամանակը
|
Արտադրանքի և սննդամթերքի առավելագույն շփման ժամանակը |
Նմանակող լուծույթի (օդի) և հետազոտվող նմուշի շփման տևողությունը մոդելավորման ժամանակ |
| Մինչև 10 րոպե |
2 ժամ |
| 10 րոպեից մինչև 2 ժամ |
1 օր |
| 2 ժամից 48 ժամ |
3 օր |
| 48 ժամից ավելի |
10 օր |
|
Աղյուսակ 3 |
Մոդելավորման ժամանակ ջերմային ռեժիմը
| Արտադրանքի շահագործման ժամանակ նախատեսվող ջերմաստիճանը | Փորձարկման ջերմային ռեժիմը |
| Նախատեսված է շրջապատի ջերմաստիճանին համապատասխան | Լաբորատորիայի ջերմաստիճանին համապատասխան |
| Շփումը տաք սննդամթերքի հետ (թեյ, ճաշ, սուրճ և այլն) | Իրը լցնում կամ ընկղմում են մինչև 800C մոդելային լուծույթով և հետո պահում սենյակային ջերմաստիճանում |
| Տաք վիճակում (յուղ, հալած պանիր և այլն) փաթեթավորման համար | Լցնելու պահին մոդելային լուծույթի ջերմաստիճանը պետք է լինի ոչ պակաս քան 800C, որից հետո մոդելավորումը շարունակում են սենյակային ջերմաստիճանում |
|
Աղյուսակ 4 |
Հոտի (համի և համերանգի) մակարդակի գնահատումը
|
Հոտի (համի և |
Բնութագիրը |
Հոտի (համի և համերանգի) արտահայտման բնույթը |
|
0 |
Ոչ մի հոտ (համ և համերանգ) | Թույլ զգացվող հոտի (համի և համերանգի) բացակայություն |
|
1 |
Շատ թույլ հոտ (համ և համերանգ) | Սովորաբար չզգացվող հոտ (համ և համերանգ), բայց փորձառու համտեսողի կողմից հայտնաբերվող |
|
2 |
Թույլ հոտ (համ և համերանգ) | Ոչ հմուտ համտեսողի կողմից հայտնաբերվող հոտ (համ և համերանգ), եթե նրա ուշադրությունը ուղղվի դրան |
|
3 |
Զգացվող հոտ (համ և համերանգ) | Հոտը (համը և համերանգը) թեթև զգացվում է և կարող է առաջացնել բացասական կարծիք |
|
4 |
Լավ զգացվող հոտ (համ և համերանգ) |
Ուշադրություն գրավող և բացասական կարծիք առաջացնող հոտ (համ և համերանգ) |
|
5 |
Շատ ուժեղ հոտ (համ և համերանգ) |
Հոտը (համը և համերանգը) այնքան ուժեղ է, որ առաջացնում է տհաճության զգացում |
| Հավելված 1.2 |
ՔԻՄԻԱԿԱՆ ԳՈՐԾՈՆՆԵՐԻ ՀՍԿՈՂՈՒԹՅԱՆ ՄԵԹՈԴՆԵՐ
ՍՆՆԴԱՄԹԵՐՔԻ ՀԵՏ ՇՓՎՈՂ ՊՈԼԻՄԵՐԱՅԻՆ ԱՐՏԱԴՐԱՏԵՍԱԿՆԵՐ
Նրբաշերտ քրոմատագրման եղանակով ջրում, օդում, կենսաբանական
միջավայրում E-կապրոլակտամի պարունակության որոշման մեթոդ
1. Ընդհանուր մաս
E-ամինակապրոնաթթվի լակտամն է, մոլեկուլյար զանգվածը 113, սպիտակ բյուրեղական նյութ է, հալման կետը - 69,70C: Լավ է լուծվում ջրում, էթանոլում, ացետոնում և այլ օրգանական լուծիչներում: Արտադրական պայմաններում կարող է տոքսիկ ազդեցություն ունենալ մարդու օրգանիզմի վրա աերոզոլի կամ փոշու տեսքով:
Միգրացիայի թույլատրելի քանակը (ՄԹՔ)-0,5 մգ/լ, իսկ մթնոլորտային օդում սահմանային թույլատրելի խտությունը (ՍԹԽ) - 0,06 մգ/մ3:
2. Կիրառման ոլորտը
Սույնով առաջարկվում են ջրում, օդում և կենսաբանական միջավայրում E-կապրոլակտամի որոշման մեթոդներ` նրբաշերտ քրոմատագրման միջոցով:
3. Մեթոդի սկզբունքը
Մեթոդի հիմքում ընկած է օրգանական լուծիչով կապրոլակտամի կորզումը հետազոտվող միջավայրից, լուծամզուկի խտացումը, քրոմատագրումը ալյումինիումի օքսիդի նուրբ շերտում և N-հալոգենացման ռեակցիայի միջոցով կապրոլակտամի հայտածումը:
Չափման ներքին շեմը հետազոտվող նմուշի ծավալում - 1 մկգ:
4. Նյութերը և (ստանդարտ) լուծույթները*
1. Ալյումինի օքսիդ քրոմատոգրաֆիայի համար II աստիճանի ակտիվության
2. Գիպս-բժշկական (CaSO4 x 2H2O)
3. Կալիում յոդական, 1%-ոց ջրային լուծույթ
4. Օսլա ջրալուծ, 2%-ոց ջրային լուծույթ
5. Էթիլ սպիրտ 96%
6. Կալիումի պերմանգանատ (KMn O4),
7. Աղաթթու, խիտ
8. Ացետոն
9. Ածխածնի տետրաքլորիդ
10. Դիէթիլ եթեր, նարկոզի համար
11. Թորած ջուր
12. E-կապրոլակտամի ստանդարտ լուծույթներ` ստանդարտ լուծույթ 10 մգ/մլ խտությամբ, պատրաստման համար 1,0 գ E-կապրոլակտամը 100 մլ տարողությամբ չափիչ կոլբի մեջ լուծում են էթիլ սպիրտում և սպիրտով հասցնում նիշի:
Աշխատանքային ստանդարտ լուծույթ – 200 մկգ/մլ խտությամբ, որի պատրաստման համար առաջին լուծույթը 50 անգամ նոսրացնում են էթիլ սպիրտով
13. Հայտածիչ լուծույթ` յոդ-օսլա ռեակտիվ: Օգտագործումից առաջ միմյանց խառնում են 20 մլ 1 %-ոց յոդական կալիումի ջրային լուծույթը, 40 մլ 2 %-ոց օսլայի ջրային լուծույթը և 20 մլ էթիլ սպիրտը: Լուծույթը պիտանի է օգտագործման 2-3 օրվա ընթացքում (մինչև նստվածքի առաջանալը):
14. Քլորով խցիկ - էքսիկատորի հատակին տեղադրում են 5-6 գ կալիումի հիպերմանգանատ, 10-15 մլ խիտ աղաթթու և բերանը փակում կափարիչով: 2-3 րոպե հետո խցիկը պատրաստ է օգտագործման համար:
5. Քիմիական ամանեղեն և սարքավորում
1. Անալիտիկ կշեռք լաբորատոր,
2. Ապակյա խցիկ քրոմատագրման համար, կափարիչով,
3. Էքսիկատոր,
4. Միկրոկաթոցիկներ, ԳՕՍՏ 20292 կամ միկրոներարկիչներ,
5. Ապակյա շերտեր 9x12 սմ, կամ աշխատանքի համար հարմար ցանկացած չափսերի կամ քրոմատոգրման պատրաստի շերտեր` «Սիլուֆոլ» (Չեխիա) կամ «Սորբֆիլ» հայրենական արտադրության,
6. Չափիչ կոլբեր, 50 մլ, 100 մլ,
7. Կոնաձև կոլբեր,
8. Թափահարող սարք,
9. Հախճապակյա թասիկներ,
10. Կլանիչներ նմուշառման համար,
11. Էլեկտրաասպիրատոր 820 մակնիշի:
Օգտագործվող չափման միջոցները, սարքավորումները, քիմիական նյութերը իրենց չափագրական բնութագրով պետք է ապահովեն մեթոդի ճշտության աստիճանը:
6. Քրոմատագրման նրբաշերտ թիթեղների պատրաստում
50 գ ալյումինի օքսիդը, 5 գ գիպսը խառնում են իրար, հետո ավելացնում 75 մլ թորած ջուր և 2 մլ օրտոֆոսֆորական թթու: Ստացված խառնուրդը 20-30 րոպե թափահարում են թափահարիչ սարքի վրա և ստացված համասեռ զանգվածը թասիկի օգնությամբ հավասար շերտով լցնում նախօրոք ճարպազրկված մաքուր ապակյա թիթեղների վրա: Պատրաստի թիթեղները չորացնում են օդում 24 ժամ, որից հետո պահում փակ էքսիկատորի մեջ:
Որպես շարժուն ֆազ օգտագործում են ացետոնի և ածխածնի տետրաքլորիդի հավասար ծավալներով խառնուրդը:
2. E-Կապրոլակտամի որոշումը
2.1. E-Կապրոլակտամի որոշումը օդում
7.1.1 Փորձանմուշի նախապատրաստումը համաձայն «Սննդամթերքի հետ շփվող պոլիմերային և այդ հիմքով պլաստմասսայե արտադրանքի սանիտարահիգիենիկ հետազոտման մեթոդներ»-ի:
Օդի նմուշառումը կատարվում է Ռիխտերի կլանիչի օգնությամբ, որտեղ լցվում է 3 մլ թորած էթիլ սպիրտ: Նմուշառման արագությունը 2 լ/րոպե, օդի անհրաժեշտ ծավալը 60 լ: Նմուշառման ժամանակ կլանիչը տեղադրում են սառույցով ամանի մեջ և անհրաժեշտության դեպքում` սպիրտի քանակը պակասելու ժամանակ, ավելացնում, հասցնելով 3 մլ-ի:
7.1.2 Փորձի ընթացքը
Նմուշառումից հետո էթանոլը գոլորշիացնում են մինչև 0,3-0,5 մլ ծավալի, որը ամբողջովին` միկրոկաթոցիկի (պիպետի) օգնությամբ կաթեցնում են քրոմատագրման թիթեղի վրա` մի կետում: Այդ կետի աջ և ձախ կողմերում կաթեցնում են ստանդարտ լուծույթի որոշակի քանակ` 0,025 և 0,05 մլ (5 և 10 մկգ համապատասխանաբար): Լուծույթները կաթեցնում են աստիճանաբար, նախորդ չափաբաժնի լուծիչի մասնակի գոլորշիացումից հետո, կաթեցված լուծույթի բծի տրամագիծը չպետք է գերազանցի 5 մմ:
Թիթեղը տեղադրում են քրոմատագրման խցիկում, որտեղ լցված է շարժուն ֆազը: Հեղուկի 10 սմ բարձրանալուց հետո, թիթեղը հանում են խցիկից, 5-10 րոպե չորացնում չորացնող պահարանում 1500C-ում, հովացնելուց հետո տեղադրում քլորով խցիկի մեջ 5-7 րոպե: Քարշիչ պահարանում հեռացվում է քլորը և թիթեղը մշակվում (հայտածվում է) յոդ-օսլա լուծույթով: E-կապրոլակտամի առկայության դեպքում երևում են մուգ կապույտ բծեր սպիտակ ֆոնի վրա:
7.1.3 Արդյունքների մշակումը
E-կապրոլակտամի քանակը հաշվարկում են` համեմատելով նմուշի և ստանդարտ լուծույթների բծերի մակերեսները, կամ օգտվում են E-կապրոլակտամի ստանդարտ լուծույթների համար կառուցված «խտություն-բծի մակերես» աստիճանային սանդղակից:
7.2 E-Կապրոլակտամի որոշումը ջրում
Ջրային լուծամզուկը պատրաստում են` համաձայն «Սննդամթերքի հետ շփվող պոլիմերային և այդ հիմքով պլաստմասսայե արտադրանքի սանիտարահիգիենիկ հետազոտման մեթոդներ»-ի:
7.2.1 Ստացված լուծամզուկից անալիզի համար վերցնում են 100 մլ:
7.2.2 Փորձի ընթացքը
100 մլ լուծամզուկը երեք անգամ լուծահանում (էքստրակտում) են 20-ական մլ էթիլ եթերով: Միացված եթերային լուծամզուկները անցկացնում են անջուր նատրիումի սուլֆատի միջով և լուծիչը գոլորշիացնում են ջրային բաղնիքի վրա մինչև կոլբում լուծամզուկի 0,2-0,5 մլ ծավալը: Հետագա քրոմատագրումը և արդյունքների մշակումը կատարվում է` համաձայն 7.12 և 7.1.3. կետերի:
7.3 Կապրոլակտամի որոշումը կենսաբանական միջավայրում
7.3.1 Նմուշի պատրաստումը - 10 մլ արյունը, կամ 1-10 գ մանր կտրատած հետազոտվող օրգանի նմուշը տեղադրում են բաժանիչ ձագարի մեջ և 10 մլ էթիլ եթերի հետ ինտենսիվ թափահարում 1-2 րոպե: Լուծամզումը կատարում են երեք անգամ 10-ական մլ էթիլ եթերով:
7.3.2 Փորձի ընթացքը - միացված լուծամզուկները անցկացնում են անջուր նատրիումի սուլֆատի վրայով և գոլորշիացնում են ջրային բաղնիքի վրա մինչև հեղուկի 0,2-0,5 մլ ծավալը: Հետագա որոշումը ինչպես 7.1.2 և 7.1.3 կետերում:
8. Արդյունքների մշակում
8.1 E-կապրոլակտամի խտությունը (C մգ/մ3) մթնոլորտային օդում հաշվարկում են հետևյալ բանաձևով՝
M - E-կապրոլակտամի գտնված զանգվածն է (մկգ),
V1 - էթանոլային լուծույթի սկզբնական ծավալն է (սմ3),
V2 - փորձարկվող նմուշի ծավալն է (սմ3),
V0 - օդի նմուշի ծավալն է, բերված նորմալ պայմանների, (դմ3),
Vt - օդի ծավալն է, վերցված փորձի համար (դմ3),
P - մթնոլորտային ճնշումն է նմուշառման ժամանակ, մմ սնդ. սյուն,
t - օդի ջերմաստիճանն է նմուշառման ժամանակ (0C)
8.2 E-կապրոլակտամի քանակը ջրում (C մգ/դմ3, մգ/կգ) (կենսաբանական միջավայրում) հաշվարկում են հետևյալ բանաձևով`
a - E-կապրոլակտամի գտնված քանակն է տվյալ ծավալում (մկգ),
v - վերցված նմուշի ծավալն է (մլ):
9. Չափումների սխալը
Որոշման սխալը կազմում է + 10%, P = 0,95-ի դեպքում
Մեթոդի վերարտադրելիությունը` 80-90%:
| Հավելված 1.3 |
ՔԻՄԻԱԿԱՆ ԳՈՐԾՈՆՆԵՐԻ ՀՍԿՈՂՈՒԹՅԱՆ ՄԵԹՈԴՆԵՐ
ՍՆՆԴԱՄԹԵՐՔԻ ՀԵՏ ՇՓՎՈՂ ՊՈԼԻՄԵՐԱՅԻՆ ԱՐՏԱԴՐԱՏԵՍԱԿՆԵՐ
Նրբաշերտ քրոմատագրման եղանակով ջրում հեքսամեթիլեն դիամինի պարունակության որոշման մեթոդ
1. Ընդհանուր մաս
Պոլիամիդային պոլիմերային և պլաստմասսայից պատրաստված իրերը մեծ կիրառություն ունեն: Դրանք ստացվում են հեքսամեթիլեն դիամինի և ադիպինաթթվի կոնդենսացումից: Այդ իրերը կենցաղում օգտագործելիս չի բացառվում պոլիամիդի ստացման ժամանակ օգտագործվող ելանյութերի, այդ թվում` հեքսամեթիլեն դիամինի միգրումը շրջակա միջավայր:
1,6 - հեքսամեթիլեն դիամինը անգույն, փայլուն բյուրեղական նյութ է (մոլեկուլյար զանգվածը 116,20), հալման կետը 420C, լավ լուծելի է ջրում, սպիրտում, քլորոֆորմում, եթերում, բենզոլում և այլն: Թորվում է ջրային գոլորշիներով: Հեքսամեթիլեն դիամինը թունավոր նյութ է, միգրացիայի թույլատրելի քանակը (ՄԹՔ)` 0,01մգ/լ: Սահմանային թույլատրելի խտությունը (ՍԹԽ) մթնոլորտային օդում` 0,001մգ/մ3:
2. Կիրառման ոլորտը
Հանձնարարվող մեթոդը կիրառվում է հեքսամեթիլեն դիամինի որոշման համար սննդամթերքի հետ շփման մեջ գտնվող պոլիամիդային պլաստմասսայից պատրաստված իրերի սանիտարահիգիենիկ հետազոտությունների ժամանակ:
Մեթոդը սպեցիֆիկ է և թույլ է տալիս նրբաշերտ քրոմատագրման օգնությամբ ջրային մզվածքում որոշել հեքսամեթիլեն դիամինի քանակը ՄԹՔ-ի սահմաններում:
3. Մեթոդի սկզբունքը
3.1 Մեթոդը հիմնված է ջրային լուծամզուկների թթվեցման, դրանց մինչև 0,1-0,3 մլ ծավալի գոլորշիացման և սիլիկագելի նուրբ շերտում հետագա քրոմատագրման վրա: Որպես շարժուն ֆազ օգտագործում են մեթանոլ-ացետոն-ամոնիակ (25%) 5:1:1 հարաբերությամբ լուծիչների խառնուրդը:
Հայտածման համար օգտագործում են նինգիդրինը: Մեթոդի զգայունությունն է 0,01մգ/լ:
4. Նյութերը և լուծույթները*
1. Ծծմբական թթու, 0,1մոլ/դմ3
2. Մեթիլսպիրտ
3. Ացետոն
4. Ամոնիակ ջրային, 25% լուծույթ
5. Քացախաթթու սառցային
6. Բութիլ սպիրտ նորմալ
7. Հայտածիչ լուծույթ` 0,3 գ նինգիդրինը լուծում են 3 մլ սառցային քացախաթթվում և ավելացնում 100 մլ ն-բութանոլ
8. Քրոմատագրման նրբաշերտեր` «Սիլուֆոլ» (արտադրությունը` Չեխիա) կամ «Սորբֆիլ» (հայրենական արտադրության)
9. Սիլիկագել ԿՍԿ մակնիշի, նախապես մաքրված
10. Գիպս բժշկական ըստ ՆՓ-ի
11. Հեքսամեթիլեն դիամինի ստանդարտ լուծույթ քլորոֆորմում` 100 մկգ/մլ խտությամբ
12. Թորած ջուր:
4. Ամանեղեն և սարքավորում
1. Անալիտիկ կշեռք
2. Ջրաշիթային պոմպ
3. Կաթոցիկներ
4. Քրոմատագրման խցիկ կափարիչով
5. Ջրային բաղնիք
6. Ջերմաչափ տեխնիկական
7. Չորացման պահարան
8. Հեղուկացիր, ապակյա
9. Ապակյա լաբորատոր ամանեղեն
Օգտագործվող չափման միջոցները, սարքավորումները, քիմիական նյութերը իրենց չափագրական բնութագրով պետք է ապահովեն մեթոդի ճշտության աստիճանը:
5. Նրբաշերտ թիթեղների պատրաստում
(պատրաստի նրբաշերտերի բացակայության դեպքում)
6,9 գ սիլիկագելը և 1գ գիպսը, որոնք նախապես անցկացվել են 100 մեշ անցքերով մաղի միջով, լավ խառնվում են, ավելացնում են 12մլ ջուր, նորից խառնում են մինչև պինդ զանգված ստանալը և ավելացնում են ևս 6 մլ ջուր, խառնում են և ստացված խառնուրդը հավասար շերտերով լցնում են նախօրոք յուղազրկված և մաքրված (9x12 սմ չափի ապակիները լավ լվանում են ջրով, սոդայաջրով, քրոմական խառնուրդով, ջրով և չորացնում) ապակե շերտերի վրա (այդ քանակը բավարար է 3-4 թիթեղի համար):
6. Փորձի ընթացքը
6.1 Փորձանմուշի նախապատրաստումը համաձայն «Սննդամթերքի հետ շփվող պոլիմերային և այդ հիմքով պլաստմասսայից պատրաստված արտադրանքի սանիտարահիգիենիկ հետազոտման մեթոդներ»-ի:
6.2 100 մլ ջրային լուծամզուկին ավելացնում են 0,1մոլ/դմ3 խտության 0,1 մլ ծծմբական թթու, խառնում են և ջուրը թորում են ջրաշիթային պոմպի օգնությամբ մինչև կոլբայում մնա 0,1-0,3 մլ լուծույթ: Մնացորդը գոլորշացումից հետո կաթոցիկով կաթեցնում են քրոմատագրման շերտի վրա: Նմուշի աջ և ձախ կողմերում կաթեցնում են հեքսամեթիլեն դիամինի ստանդարտ լուծույթի (100 մկգ/մլ) որոշակի քանակներ` 0,01, 0,05, 0,1 և 0,2 մլ, ինչը համապատասխանում է 1, 5, 10 և 20 մկգ նյութի: Եթե հեքսամեթիլեն դիամինի քանակը նմուշում 20 մկգ-ից ավելին է, ապա նմուշը պետք է համապատասխանաբար նոսրացնել:
Կաթեցված լուծույթներով շերտը տեղադրում են քրոմատագրման խցիկի մեջ, որտեղ լցվում է լուծիչների խառնուրդը` մեթանոլ-ացետոն-ամոնիակ (25%) 5:1:1 հարաբերությամբ: Խցիկը օգտագործվում է առանց նախնական հագեցման: Երբ լուծիչը կբարձրանա 10 սմ, նրբաշերտը հանում են խցիկից և չորացնում օդում մինչև ամոնիակի հոտի լրիվ անհետացումը: Հետո նրբաշերտի վրա շաղ են տալի նինգիդրինի պատրաստված լուծույթը և 10-15 րոպե տաքացնում են չորացնող պահարանում 100-1100C ջերմաստիճանում:
Հեքսամեթիլեն դիամինը այսպիսի մշակումից հետո առաջացնում է վարդագույն բծեր սպիտակ կամ սպիտակավարդագույն ընդհանուր ֆոնի վրա:
7. Արդյունքների մշակում
Հեքսամեթիլեն դիամինի որակական և քանակական որոշումը նմուշում կատարվում է նմուշի և ստանդարտ լուծույթների բծերի Rf մեծության, մակերեսների և գունավորման ինտենսիվության վիզուալ համեմատությամբ:
Հեքսամեթիլեն դիամինի քանակը (C մգ/դմ3) հաշվարկում են հետևյալ բանաձևով.
C - հեքսամեթիլեն դիամինի որոշվելիք քանակն է (մգ/դմ)
a - հեքսամեթիլենդիամինի գտնված քանակն է տվյալ ծավալում (մկգ)
V – վերցված նմուշի ծավալն է (մլ):
8. Չափումների սխալը
Մեթոդը թույլ է տալիս կատարել չափումներ, որոնց սխալը չի գերազանցում 20%, P=0,95 դեպքում:
| Հավելված 1.4 |
ՔԻՄԻԱԿԱՆ ԳՈՐԾՈՆՆԵՐԻ ՀՍԿՈՂՈՒԹՅԱՆ ՄԵԹՈԴՆԵՐ
ՍՆՆԴԱՄԹԵՐՔԻ ՀԵՏ ՇՓՎՈՂ ՊՈԼԻՄԵՐԱՅԻՆ ԱՐՏԱԴՐԱՏԵՍԱԿՆԵՐ
Ֆոտոգունաչափման եղանակով վինիլացետատի
պարունակության որոշման մեթոդ
1. Ընդհանուր մաս
Վինիլացետատը CH2 =CHOCOCH3 - անգույն, ցնդող, հեշտ բոցավառվող հեղուկ է՝ եթերային հոտով:
Եռման ջերմաստիճանը 73,40C: Լուծվում է եթերի և սպիրտների մեջ, լուծելիությունը ջրում կազմում է %:
Վինիլացետատի սահմանային թույլատրելի խտությունը (ՍԹԽ)` խմելու ջրում 0,2 մգ/դմ3:
2. Կիրառման ոլորտը
2.1 Սույն հանձնարարականը առաջարկում է ջրի, էթանոլի, կաթի, արևածաղկի յուղի, կարագի, մսի, ձկան մեջ վինիլացետատի որոշման մերկուրիմետրիկ եղանակներ:
2.2 Մեթոդը զգայուն է, բնորոշ, փորձարկման ժամանակ չեն պահանջվում բարդ, հատուկ սարքեր, սարքավորումներ:
2.3 Մեթոդը կիրառելի է վինիլացետատի և նրա ածանցյալներով պոլիմերային և համապոլիմերային հիմքով արտադրատեսակների սանիտարաքիմիական հետազոտությունների ժամանակ:
3. Մեթոդի սկզբունքը
3.1 Մեթոդի հիմքում ընկած է վինիլացետատի մերկուրացման ռեակցիան, որի արդյունքում առաջանում է կոմպլեքս միացություն, իսկ սնդիկի ացետատը փոխազդում է դիֆենիլ կարբազիդի հետ, առաջացնելով գունավորված միացություն:
Մեթոդի զգայունությունը` 0,05 մգ/դմ3 (մգ/կգ):
3.2 Փորձանմուշի նախապատրաստումը համաձայն «Սննդամթերքի հետ շփվող պոլիմերային և այդ հիմքով պլաստմասսայից պատրաստված արտադրանքի սանիտարահիգիենիկ հետազոտման մեթոդներ»-ի:
Նյութեր և լուծույթներ*
o Վինիլացետատ, թարմ թորված
o Էթիլ սպիրտ ռեկտիֆիկատ (թորված)
o Սնդիկի օքսիդ
o Քացախաթթու սառցային
o Թորած ջուր
o Դիֆենիլ կարբազիդ:
4. Սարքեր, սարքավորումներ
o Թորման սարք
o Չափիչ գլաններ 100 մլ տարողությամբ
o Կոլորիմետրիկ փորձանոթներ հղկված խցաններով
o Կաթոցիկներ 1, 2, 5, 10 մլ տարողությամբ
o Չափիչ կոլբեր 25 և 100 մլ տարողությամբ
o Անալիտիկ կշեռք
o Ֆոտոէլեկտրագունաչափ, կամ այլ սարք, որը կապահովի կանաչ լուսաֆիլտրով 536 նմ ալիքի երկարություն
o Հախճապակյա թասեր:
Օգտագործվող չափման միջոցները, սարքավորումները, քիմիական նյութերը իրենց չափագրական բնութագրով պետք է ապահովեն մեթոդի ճշտության աստիճանը:
5. Ստանդարտ լուծույթները, լուծույթների պատրաստում
5.1 Ստանդարտ լուծույթի պատրաստումը-հիմնական լուծույթը պատրաստվում է էթիլ սպիրտում: 25սմ3 տարողությամբ չափիչ կոլբայի մեջ լցնում են քիչ քանակով նոր թորված էթիլ սպիրտ և կշռում 0,0002 գ ճշտությամբ: Էթիլ սպիրտին ավելացնում են 5-6 կաթիլ թարմ թորած վինիլացետատ և նորից կշռում: Կշիռների տարբերությունը բաժանելով 25-ի գտնում են վինիլացետատի խտությունը հիմնական լուծույթում (մգ/սմ3): Հիմնական լուծույթը պիտանի է օգտագործման մեկ շաբաթ: Վինիլացետատի 0,1 և 0,01 մգ/սմ3 աշխատանքային ստանդարտ լուծույթները պատրաստում են հիմնական լուծույթը էթիլ սպիրտով նոսրացնելով:
5.2 Քացախաթթվական սնդիկի (սնդիկի ացետատի) 0,1% սպիրտային լուծույթի պատրաստումը - 0,15 գ սնդիկի օքսիդը լցնում են հախճապակե թասի մեջ, լուծում 10սմ3 սառցային քացախաթթվում, թույլ տաքացվող ջրային բաղնիքի վրա: Ստացված լուծույթը տեղափոխում են 100սմ3 տարողությամբ չափիչ կոլբայի մեջ և էթիլ սպիրտով հասցնում նիշի: Լուծույթը օգտագործման պիտանի է մեկ ամիս:
5.3 Սնդիկի ացետատի 0,01% սպիրտային լուծույթ պատրաստում են 0,1% լուծույթից համապատասխան նոսրացումով հետազոտությունից անմիջապես առաջ:
5.4 Դիֆենիլ կարբազիդի 0,1% սպիրտային լուծույթը պատրաստում են օգտագործելուց անմիջապես առաջ:
6. Փորձի ընթացքը
100սմ3 լուծամզուկը կամ 100գ սննդամթերքի կշռամասը տեղավորում են 500սմ3 տարողությամբ կոլբայի մեջ, ավելացնում 25սմ3 էթիլ սպիրտ*, կոլբան խցանով փակում են և թափահարում:
Սննդամթերք պարունակող կոլբայի մեջ ավելացնում են 1-2 մլ երկարությամբ ապակյա ձողի կտորներ:
Թորումը կատարվում է փակ տաքացուցիչով**, մինչև ստացվի 10 սմ3 թորվածք:
Մոդելային (նմանակող) լուծույթների թորվածքներից 3սմ3, իսկ սննդամթերքի թորվածքներից 5-ական սմ3 տեղափոխում են կոլորիմետրիկ փորձանոթների մեջ:
Նմանակող լուծույթների թորվածքին ավելացնում են 0,5 սմ3, իսկ սննդամթերքի թորվածքին 1սմ3, 001% սնդիկի ացետատի լուծույթ: Թափահարում են, թողնում 1 ժամ:
Մեկից ավելի նմուշների փորձարկման ժամանակ սնդիկի ացետատի լուծույթը փորձանմուշներին ավելացնում են հաջորդաբար` 3 րոպե ընդմիջումներով: 1 ժամ հետո առաջին փորձանոթի նմուշին ավելացնում են` նմանակող փորձանմուշին 0,1 մլ, իսկ սննդամթերքի փորձանմուշին 0,3 մլ դիֆենիլ կարբազիդի լուծույթ: Փորձանոթները թափահարում են և 5 րոպե հետո չափում ատացված մանուշակագույն լուծույթի օպտիկական խտությունը մաքուր էթիլ սպիրտի հանդեպ: Զուգահեռ դրվում է հսկիչ (զրոյական փորձանմուշ):
Չափումները կատարում են 5 մմ աշխատանքային երկարություն ունեցող կվարցային կյուվետներով, l =536 նմ ալիքի երկարության կանաչ լուսաֆիլտրով: Երկրորդ, երրորդ և հաջորդաբար մյուս փորձանմուշներին դիֆենիլ կարբազիդի լուծույթը ավելացնում են մեկը մյուսից ուղիղ 3 րոպե հետո, նույն հերթականությամբ և 5 րոպե հետո չափում ստացված լուծույթի օպտիկական խտությունը նույն ալիքի լուսաֆիլտրով: Փորձնական և հսկիչ նմուշների օպտիկական խտությունների տարբերությամբ (∆ Ä) որոշում են նմուշում վինիլացետատի պարունակությունը (մգ/լ), ելնելով աստիճանավորման սանդղակից:
7. Աստիճանավորման սանդղակի կառուցումը
500 մլ կլորահատակ կոլբայի մեջ լցնում են 100 մլ (100 գ) ջուր (40 կամ 96% էթիլ սպիրտի, կաթի, արևածաղկի յուղի, կարագի, մսի, ձկան կշռաբաժիններ) և համապատասխանաբար ավելացնում են 0, 0,05, 1 և 3 մլ վինիլացետատի սպիրտային աշխատանքային ստանդարտ լուծույթ (0,01 մգ/սմ3), մոնոմերի քանակը որոնցում հաջորդաբար կկազմի 0, 0,005, 0,01, 0,03 մգ, ինչը կհամապատասխանի 0, 0,05, 0,1, 0,3 մգ/դմ3 (մգ/կգ): Կոլբաները փակում են, թափահարում և փորձարկումը շարունակում ինչպես 6-րդ կետում:
Յուրաքանչյուր նմանակող լուծույթի և սննդամթերքի համար փորձարկումը և աստիճանավորման սանդղակը կառուցվում է առանձին:
8. Արդյունքների մշակում
Վինիլացետատի պարունակությունը (մգ/դմ3 կամ մգ/կգ) գտնում են համապատասխան աստիճանավորման սանդղակից:
Մեթոդի հարաբերական սխալը չի գերազանցում 20%, P=0,95-ի դեպքում:
| Հավելված 1.5 |
ՔԻՄԻԱԿԱՆ ԳՈՐԾՈՆՆԵՐԻ ՀՍԿՈՂՈՒԹՅԱՆ ՄԵԹՈԴՆԵՐ
ՍՆՆԴԱՄԹԵՐՔԻ ՀԵՏ ՇՓՎՈՂ ՊՈԼԻՄԵՐԱՅԻՆ ԱՐՏԱԴՐԱՏԵՍԱԿՆԵՐ
Մեթակրիլաթթվի մեթիլ եթերի որոշման գունաչափական մեթոդներ
(ջրում և 2 % նատրիումի քլորիդ պարունակող 0.5 %-ոց քացախաթթվի լուծույթում)
1. Ընդհանուր մաս
Մեթակրիլաթթվի մեթիլ եթերը - CH2 =C(CH3) - COOCH3, մոլեկուլյար զանգվածը 100,11 - անգույն պարզ հեղուկ է, վատ լուծվող ջրում - 1,5 կշռային % (300C), օդի հետ խառնուրդները պայթունավտանգ են (4,9-12,5% ծավալով): Միգրացիայի թույլատրելի քանակը (ՄԹՔ)` 0,25 մգ/դմ3; սահմանային թույլատրելի խտությունը (ՍԹԽ) մթնոլորտային օդում` - 0,01 մգ/մ3:
2. Կիրառման ոլորտը
Մեթոդը կիրառելի է մեթիլմեթակրիլատի և ակրիլոնիտրիլի, ստիրոլի և մեթիլմեթակրիլատի համապոլիմերներից պատրաստված արտադրանքի սանիտարաքիմիական փորձարկումների ժամանակ:
3. Մեթոդի սկզբունքը
3.1 Մեթոդը հիմնված է մեթակրիլաթթվի մեթիլ եթերի (այսուհետ` ՄՄԱ) հիդրոլիզի վրա: Հիմնային միջավայրում առաջացած մեթիլ սպիրտը օքսիդանում է մինչև ֆորմալդեհիդ, որը որոշում են քրոմատրոպաթթվի (կամ նրա երկնատրիումական աղի) հետ ռեակցիայով:
ՄՄԱ-ի որոշման ներքին շեմը 0.1 մգ/դմ3 է կամ 1 մկգ նմուշի հետազոտվող ծավալում (2 սմ3):
ՄՄԱ-ի որոշմանը չի խանգարում լուծամզուկում եղած ակրիլաթթվի նիտրիլը, խանգարում է մեթակրիլատը:
4. Ռեակտիվներ և լուծույթներ
Կալիումի հիդրօքսիդ, 40%-ոց լուծույթ:
Ծծմբական թթու, խիտ, d=1.84 և 75 % ըստ ծավալի:
Կալիումի պերմանգանատ, 0.5 %-ոց լուծույթ, թարմ պատրաստված:
Նատրիում ծծմբաթթվային (նատրիումի սուլֆիտ), անջուր:
7% -ոց լուծույթ, թարմ պատրաստված:
Քրոմատրոպաթթու (կամ նրա երկնատրիումական աղը), 2%-ոց լուծույթ, թարմ պատրաստված:
ՄՄԱ-ի ստանդարտ լուծույթ` 50 սմ3 տարողությամբ չափիչ կոլբայի մեջ լցնում են 10-15 սմ3 թորած ջուր և կշռում 0.0002 գ ճշտությամբ: 2-3 կաթիլ ՄՄԱ ավելացնելուց հետո չափիչ կոլբան նորից կշռում են և թորած ջրով ծավալը հասցնում մինչև նիշը: ՄՄԱ-ի խտությունը լուծույթում (մգ/սմ3) գտնում են երկու կշռումների տարբերությունը բաժանելով չափիչ կոլբայի ծավալին: ՄՄԱ-ի 0.1 և 0.01 մգ/սմ3 խտություններով աշխատանքային լուծույթները պատրաստում են փորձարկումից առաջ հիմնական լուծույթը համապատասխանաբար նոսրացնելով թորած ջրով:
5. Սարքեր և ապակեղեն
Ֆոտոէլեկտրագունաչափ, կամ այլ սարք, որը կապահովի 570 նմ ալիքի երկարություն
Թորման սարք:
Չափիչ կոլբաներ, 25 սմ3 և 50 սմ3 տարողությամբ:
Գունաչափական փորձանոթներ:
Կաթոցիկներ, 1.5 և 10 սմ3 տարողություններով:
Չափիչ գլաններ, 10-15 սմ3 տարողության:
Օգտագործվող չափման միջոցները, սարքավորումները, քիմիական նյութերը իրենց չափագրական բնութագրով պետք է ապահովեն մեթոդի ճշտության աստիճանը:
6. Փորձի ընթացքը
6.1 Փորձանմուշի նախապատրաստումը համաձայն «Սննդամթերքի հետ շփվող պոլիմերային և այդ հիմքով պլաստմասսայից պատրաստված արտադրանքի սանիտարահիգիենիկ հետազոտման մեթոդներ»-ի:
6.2 150-200 սմ3 տարողության կլորահատակ կոլբայի մեջ լցնում են 50 սմ3 համաձայն 6.1 կետի պատրաստված համապատասխան լուծամզուքը (մոդելային լուծույթ, որը շփման մեջ է եղել ստիրոլ-մեթիլմեթակրիլատ կամ մեթիլմեթակրիլատ-ակրիլոնիտրիլ համապոլիմերից պատրաստված արտադրանքի հետ): Թորում են 9 սմ3 հեղուկ 1սմ3 թորած ջուր պարունակող չափիչ գլանի մեջ: Թորման ժամանակ ալոնժի երկարացված ծայրը պետք է հասնի մինչև չափիչ գլանի հատակը:
Մեթիլմեթակրիլատի որոշման համար գունաչափական փորձանոթի մեջ լցնում են 2 սմ3 թորվածք, ավելացնում են 0.2 սմ3 40%-ոց կծու կալիումի լուծույթ, խառնում են և թողնում 15 րոպե սենյակային ջերմաստիճանում մոնոմերի հիդրոլիզի համար:
Այնուհետև փորձանոթի մեջ լցնում են 0.5 սմ3 75%-ոց ծծմբական թթվի լուծույթ և 0.2 սմ3 0.5%-ոց կալիումի հիպերմանգանատի լուծույթ: Փորձանոթները թափահարում են և 5-6 րոպե հետո ավելացնում 0.15 սմ3 7%-ոց ծծմբաթթվային նատրիումի լուծույթ:
Փորձանոթում լուծույթը պետք է գունազրկվի: Դրանից հետո փորձանոթի մեջ լցնում են 0.5 սմ3 2%-ոց քրոմատրոպաթթվի (կամ նրա երկնատրիումական աղի) լուծույթը և 2 սմ3 խիտ ծծմբական թթու, այնուհետև փորձանոթը տեղադրում են եռացող ջրի մեջ և 30 րոպե եռացնում: Յուրաքանչյուր ռեակտիվն ավելացնելուց հետո նմուշը լավ խառնում են:
Փորձանոթի սառեցնելուց հետո` (մինչև 200C), չափում են լուծույթի օպտիկական խտությունը l =570 նմ ալիքի երկարության լույսի տակ` ստուգիչ լուծույթի համեմատ:
Որպես ստուգիչ լուծույթ վերցնում են նույն նմանակող լուծույթի թորվածքը, որը շփման մեջ չի գտնվել պոլիմերային նյութի հետ:
7. Ստանդարտ լուծույթների սանդղակի պատրաստումը
Ստանդարտ լուծույթների սանդղակի պատրաստման համար վերցնում են ՄՄԱ-ի ստանդարտ լուծույթի որոշակի քանակները` 0,005, 0,01, 0,03, 0,04, 0,05 մգ հիմնական նյութի պարունակությամբ, հաջորդաբար լցնում են 50 սմ3 թորած ջուր պարունակող կլորահատակ կոլբայի մեջ և թորում: Հավաքում են 9 սմ3 թորվածք 1 սմ3 թորած ջուր պարունակող փորձանոթի մեջ:
Հետազոտումը կատարում են ինչպես փորձանմուշը համաձայն կետ 6.2, վերցնելով յուրաքանչյուր թորվածքից 2-ական սմ3 լուծույթ, ավելացնելով ռեակտիվները նույն քանակներով և հաջորդականությամբ: Որպես ստուգիչ լուծույթ օգտագործում են թորած ջուր կամ նմանակող լուծույթի թորվածքը, որը անցկացնում են նույն փուլերով ինչպես փորձարկվող լուծույթները:
8. Արդյունքների հաշվարկը
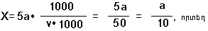
Մեթիլակրիլաթթվի մեթիլ եթերի քանակը հետազոտվող լուծամզուկում հաշվարկում են հետևյալ բանաձևով`
X- մեթիլակրիլաթթվի մեթիլ եթերի քանակը լուծամզուկում (մգ/դմ3),
a - սանդղակից գտած ՄՄԱ-ի քանակն է (մկգ),
5a- ՄՄԱ-ի քանակն է 10սմ3 թորվածքում կամ 50 սմ3 լուծամզուկում (մկգ),
V- սմ3, հետազոտության համար վերցված լուծամզուկի քանակն է (50 սմ3):
| Հավելված 1.6 |
ՔԻՄԻԱԿԱՆ ԳՈՐԾՈՆՆԵՐԻ ՀՍԿՈՂՈՒԹՅԱՆ ՄԵԹՈԴՆԵՐ
ՍՆՆԴԱՄԹԵՐՔԻ ՀԵՏ ՇՓՎՈՂ ՊՈԼԻՄԵՐԱՅԻՆ ԱՐՏԱԴՐԱՏԵՍԱԿՆԵՐ
Ստիրոլի, ակրիլոնիտրիլի, համատեղ պարունակությամբ եռաբաղադրիչ, հարվածակայուն պոլիստիրոլների, ստիրոլի և ակրիլոնիտրիլի համապոլիմերների ջրային ու 5% աղի լուծամզուկներում ստիրոլի ակրիլոնիտրիլի որոշման սպեկտրագունաչափման մեթոդներ
1. Ընդհանուր մաս
Եռաբաղադրիչ, հարվածակայուն պոլիստիրոլները ստիրոլի, ակրիլոնիտրիլի և կաուչուկի հիմքի վրա լավ ֆիզիկո-մեխանիկական հատկությունների շնորհիվ համարվում են առավել հեռանկարային նյութեր սննդամթերքի հետ շփման համար:
2. Կիրառման ոլորտ
Մեթոդը կիրառվում է եռաբաղադրիչ, հարվածակայուն պոլիստիրոլների, երկբաղադրիչ համապոլիմերների սանիտարաքիմիական հետազոտությունների ժամանակ:
3. Մեթոդի սկզբունքը
Մեթոդը հիմնված է լուծամզուքի ցնդող մասի սպեկտրագունաչափման l =195 և 247 նմ ալիքի երկարության դեպքում ստացված թորվածքի օպտիկական խտության չափման և բինար խառնուրդում ստիրոլի և ակրիլոնիտրիլի կոնցենտրացիաների հաշվման վրա Ֆիրորդտի մեթոդով: Մեթոդի զգայնությունն է` 0.002 մգ/լ-ակրիլոնիտրիլի համար, 0.005 մգ/լ-ստիրոլի համար: Որոշման հարաբերական սխալը չի գերազանցում 20%-ը:
Նյութերի խառնուրդների համար պահպանվում է ադիտիվային սկզբունքը, կոնցենտրացիաների Լամբերտ-Բերի օրենքը պահպանվում է կոնցենտրացիաների դիտարկվող ինտերվալում: Լուծամզուքի ցնդող մասի մեջ մոնոմերների որոշման առաջարկվող մեթոդը թույլ է տալիս միաժամանակ որոշել ակրիլոնիտրիլի և ստիրոլի խտությունները՝ բարձր զգայնությամբ և ճշտությամբ: Թորումը հնարավորություն է տալիս նաև առանձնացնել ստիրոլը և ակրիլոնիտրիլը այլ բարձր եռման ջերմաստիճան ունեցող նյութերից, որոնք խանգարում են ուլտրամանուշակագույն հատվածում մոնոմերների որոշմանը (պլաստիֆիկատորներ, կայունացուցիչներ և այլն):
4. Նյութեր և (ստանդարտ) լուծույթներ
Ստիրոլ թորված
Ակրիլոնիտրիլ
թիլ սպիրտ 96% թորված
Հիմնական ստանդարտ լուծույթներ, ստիրոլը էթիլ սպիրտում և ակրիլոնիտրիլը ջրում:
Լուծույթների պատրաստման համար 25 մլ-անոց պիկնոմետրերի մեջ լցնում են համապատասխանաբար 10-15 մլ էթիլ սպիրտ ստիրոլի համար, ջուր` ակրիլոնիտրիլի և կշռում են 0.0002 գ ճշտությամբ: 4-5 կաթիլ ստիրոլ, մյուսին ակրիլոնիտրիլ ավելացնելուց հետո պիկնոմետրերը նորից կշռում են և լուծույթի ծավալը հասցնում են մինչև նիշը էթիլ սպիրտով, իսկ մյուսին ջրով: Լուծույթում նյութերի կոնցենտրացիաները (մգ/մլ) գտնում են 2 կշիռների տարբերությունը բաժանելով պիկնոմետրի ծավալի վրա:
0.10 և 0.01 մգ/մլ կոնցենտրացիաներով ստիրոլի և ակրիլոնիտրիլի աշխատանքային ստանդարտ լուծույթները պատրաստում են որոշումից առաջ հիմնական ստանդարտ լուծույթների նոսրացման ճանապարհով համապատասխանաբար էթիլ սպիրտով և ջրով:
5. Քիմիական ամանեղեն և սարքավորումներ
Չափիչ կոլբաներ 25 մլ տարողությամբ
Պիպետներ տիպ III, 10.5, 2 և 1 մլ տարողությամբ
Չափիչ գլաններ 100 և 200 մլ տարողությամբ
Թորման սարք` ապակյա
Սպեկտրագունաչափման սարք, որի չափման տիրույթը սկսվում է 190 նմ:
Օգտագործվող չափման միջոցները, սարքավորումները, քիմիական նյութերը իրենց չափագրական բնութագրով պետք է ապահովեն մեթոդի ճշտության աստիճանը:
6. Փորձի ընթացքը և հաշվարկը
Փորձանմուշի նախապատրաստումը համաձայն «Սննդամթերքի հետ շփվող պոլիմերային և այդ հիմքով պլաստմասսայից պատրաստված արտադրանքի սանիտարահիգիենիկ հետազոտման մեթոդներ»-ի:
500 մլ տարողությամբ կլորահատակ կոլբայի մեջ լցնում են 200 մլ լուծամզուք (ջրային կամ աղային) միացնում են ուղիղ սառնարանին և թորում են 24 մլ թորվածք, ավազե բաղնիքի վրա: Թորվածքը հավաքում են 25 մլ-անոց չափիչ գլանի մեջ, որը պարունակում է 1 մլ թորած ջուր, առավել լրիվ հավաքելու համար, օգտագործելով հատուկ կառուցվածքի ալոնժ, որը ունի մազանոթային վերջույթ 3-4 մմ տրամագծով, որը հասցնում են մինչև գլանի հատակը:
Այնուհետև չափում են թորվածքի օպտիկական խտությունը սպեկտրագունաչափով 190 նմ չափման տիրույթով 50 մմ երկարության գլանաձև կյուվետներով l=195 և 247 նմ ալիքի երկարությունների դեպքում (Äսմ195 և Äսմ247): Որպես ստուգիչ նմուշ օգտագործվում է թորվածք 200 մլ թորած ջրից կամ 5 %-անոց նատրիումի քլորիդի լուծույթից, որը պահված է նույն ջերմաստիճանաժամանակային պայմաններում, այնպես ինչպես լուծամզուկը:
Ֆիրորդտի մեթոդի համաձայն բինար խառնուրդում կոմպոնենտների կոնցենտրացիաները որոշվում են հետևյալ հավասարումներով.
որտեղ՝
C1 և C2-ը ակրիլոնիտրիլի և ստիրոլի կոնցենտրացիաներն են (մգ/լ):
Äսմ195 և Äսմ247 նրանց խառնուրդների օպտիկական խտություններն են 195 և 247 նմ ալիքի երկարությունների դեպքում:
E1 195 - ակրիլոնիտրիլի էկստինցիայի գործակիցը 195 նմ ալիքի երկարության դեպքում, (լ/մգ սմ):
E2195 և E2247 ստիրոլի էկստինցիայի գործակիցներն են 195 և 247 նմ ալիքի երկարությունների դեպքում (լ/մգ սմ):
d -կյուվետի երկարությունն է սմ-ով:
Երկու հավասարումների համակարգի լուծման համար անհրաժեշտ է որոշել ստիրոլի և ակրիլոնիտրիլի էկստինկցիայի գործակիցները նրանց լուծույթների թորվածքներում, որոնք թորված են լուծամզուկի նման:
Դրա համար 500 մլ տարողությամբ կլորահատակ կոլբայի մեջ լցնում են 200 մլ թորած ջուր կամ 5%-անոց նատրիումի քլորիդի լուծույթ և ստիրոլի ստանդարտ լուծույթ 0.1 և 0.01 մգ/մլ կոնցենտրացիաներով, որոնք համապատասխանում են 0,005, 0,010, 0,050, 0,100 և 0.200 մգ/լ: Ակրիլոնիտրիլի ստանդարտ լուծույթը պատրաստում են նույն ձևով 0,10 և 0,01 վգ/լ կոնցենտրացիաներով, որոնք համապատասխանում են 0,002, 0,005, 0,010, 0,050, 0,100 և 0.200 մգ/լ: Այնուհետև թորում են 24 մլ թորվածք այնպես, ինչպես լուծամզուքի ժամանակ:
Ստիրոլի թորվածքների լուծույթների օպտիկական խտությունը չափում են սպեկտրի ÓÔ հատվածում 195 և 247 նմ ալիքի երկարությունների դեպքում թորվածքի ֆոնի վրա, որոնք թորված են 200 մլ թորած ջրից կամ 5 % -անոց կերակրի աղի լուծույթից, որոնք չեն պարունակում ստիմրոլ և ակրիլոնիտրիլ: Էկստրիցիայի գործակիցները գտնում են հետևյալ բանաձևով.
Ստիրոլի էկստիցիայի գործակիցը l =195 նմ ալիքի երկարության դեպքում 5 սմ երկարության կյուվետայով հավասար է 240, l =195 նմ-ի դեպքում 0.57 լ/մգ սմ:
Ակրիլոնիտրիլի էկստինցիայի գործակիցը l =195 նմ ալիքի երկարության դեպքում հավասար է 1.5 լ/մգ սմ: Էկստինցիայի գործակիցների արժեքները հավասարման մեջ տեղադրելուց հետո և համապատասխան փոփոխություններից հետո հավասարումները ընդունում են հետևյալ տեսքը.
|
Ակրիլոնիտրիլի և ստիրոլի կոնցենտրացիաների հաշվարկը քաշուքի թորվածքներում կատարում են (4) և (5) հավասարումներով:
Պոլիստիրոլային պլաստիկների լուծամզուկներում, սննդամթերքում ստիրոլի որոշման սպեկտրագունաչափման մեթոդ
Պոլիստիրոլային պլաստիկները լայնորեն կիրառվում են սառնարանների ներսի երեսապատման և սննդամթերքների փաթեթավորման համար: Ստիրոլի միգրման թույլատրելի քանակը (ՄԹՔ) այդ միջավայրերում 0,01 մգ/լ է:
Ստիրոլի որոշումը սննդամթերքին նմանակող միջավայրերում
(Ջուր, 2% քացախաթթվի լուծույթ, 0.3 և 3% կաթնաթթվի լուծույթներ, 5% կերակրի աղի լուծույթ, 40 և 96 % էթիլ սպիրտ):
1. Ընդհանուր մաս
Մեթոդը հիմնված է լուծամզուկի ցնդող մասի թորման և ստացված թորվածքի օպտիկական խտության չափման վրա սպեկտրագունաչափի l =247 նմ ալիքի երկարության դեպքում: Մեթոդի զգայնությունը 0.01 մգ/լ: Որոշման հարաբերական սխալը կազմում է + 20%: Մինչև
5 մգ/լ կոնցենտրացիայով էթիլբենզոլը չի խանգարում որոշմանը:
2. Նյութեր և (ստանդարտ) լուծույթներ
Ստիրոլ թորված
Էթիլ սպիրտ 96% թորված
Ստիրոլի հիմնական ստանդարտ լուծույթ էթիլ սպիրտում պատրաստման համար 25մլ ծավալով պիկնոմետրի մեջ լցնում են 10-15 էթիլ սպիրտ և կշռում են 0.0002 գ ճշտությամբ:
4-5 կաթիլ ստիրոլ ավելացնելուց հետո պիկնոմետրը նորից կշռում են և լուծույթի ծավալը հասցնում են մինչև նիշը էթիլ սպիրտով: Լուծույթում ստիրոլի կոնցենտրացիան (մգ/լ) գտնում են պիկնոմետրի ծավալի տարբերության միջոցով (2 կշռվածքների տարբերությունը):
0.1 և 0.01 մգ/լ կոնցենտրացիաներով ստիրոլի աշխատանքային ստանդարտ լուծույթները պատրաստում են որոշումից առաջ հիմնական լուծույթի համապատասխան նոսրացմամբ էթիլ սպիրտով:
3. Քիմիական ամանեղեն և սարքավորումներ
Թորման սարք` ապակյա
Չափիչ կոլբաներ 25 մլ տարողությամբ
Պիպետներ 10.5, 2 և 1 մլ-անոց
Չափիչ գլաններ 100 և 200 մլ ծավալով
Սպեկտրագունաչափման սարք, որի չափման տիրույթը սկսվում է 190 նմ:
4. Աստիճանավորման կորի կառուցումը
Մի շարք 500 մլ-անոց կլորահատակ կոլբաների մեջ լցնում են 200-ական մլ նմանակող լուծույթ և ստիրոլի ստանդարտ լուծույթ (0.01 և 0.1 մգ/լ կոնցենտրացիաներով), այնպիսի հաշվարկով, որ ստիրոլի պարունակությունը հաջորդական նմուշներում կազմի 0, 0,002, 0,005, 0,007, 0,010, 0,020, 0,050 և 0,100 մգ: Թափահարում են յուրաքանչյուր կոլբայի պարունակությունը ուղիղ սառնարանով թորում են 25 մլ թորվածք և չափում են նրանց օպտիկական խտությունը սպեկտրագունաչափով l =247 նմ ալիքի երկարության դեպքում 50 մմ երկարության կյուվետներով թորվածքի ֆոնի վրա, որը թորված է 200մլ նմանակող լուծույթից և չի պարունակում ստիրոլ:
Աստիճանավորման կորի կառուցման դեպքում օրդինատների առանցքի վրա տեղադրում են օպտիկական խտությունը (Ä), իսկ աբսցիսների առանցքի վրա ստիրոլի կոնցենտրացիան (C) 1 լ լուծամզուկի հաշվարկով:
5. Փորձի ընթացքը
Փորձանմուշի լուծամզուկի նախապատրաստումը համաձայն «Սննդամթերքի հետ շփվող պոլիմերային և այդ հիմքով պլաստմասսայե արտադրանքի սանիտարահիգիենիկ հետազոտման մեթոդներ»-ի:
500մլ տարողությամբ կլորահատակ կոլբայի մեջ լցնում են 200 մլ լուծամզուկ թորում են 25 մլ և չափում են նրա օպտիկական խտությունը, ինչպես նշված է վերը:
Որպես համեմատման էտալոն օգտագործում են մոդելային լուծույթը, որը շփման մեջ չի եղել պոլիստիրոլի հետ:
Ստիրոլի որոշումը սննդամթերքում
(Կաթ և կաթնամթերք, պանիրներ, կարագ և արևածաղկի ձեթ, յուղեր, միս ձուկ, մրգեր):
1. Ընդհանուր մաս
Մեթոդը հիմնված է սննդամթերքից մեթիլ սպիրտով ստիրոլի կորզման և սպեկտրագունաչափի վրա ալեոտրոպ թորվածքի օպտիկական խտության որոշմամբ l =248 նմ ալիքի երկարության դեպքում: Մեթոդի զգայնությունն է 0.05 մգ/լ: Մեթոդի ճշտությունը` + 20%:
2. Նյութերը և (ստանդարտ լուծույթները)
Ստիրոլ թորված:
Հիմնական ստանդարտ - ստիրոլի լուծույթը մեթիլ սպիրտում:
Նրա պատրաստումը նայել նախորդ մեթոդով: Լուծույթը պիտանի է 2 շաբաթվա ընթացքում:
Ստիրոլի աշխատանքային լուծույթները 0.1 և 0.01 մգ/լ կոնցենտրացիայով պատրաստում են որոշումից առաջ հիմնական լուծույթի նոսրացմամբ մեթիլ սպիրտով:
Նատրիումի դիէթիլդիթիո կարբամատ 0.01 %-անոց լուծույթ, թորված մեթիլ սպիրտում կիրառվում է որպես ինհիբիտոր:
Մեթիլ սպիրտ, թորված և կրկնակի թորված:
Կալցիումի քլորիդ, 20 % ջրային լուծույթ:
3. Քիմիական ամանեղեն և սարքավորում
Թորման սարք ապակյա
Կոլբեր 250 և 50 մլ
Չափիչ գլաններ 50 մլ
Ապակե ձագարներ
Պիպետներ 5.2 և 1 մլ
Սպեկտրագունաչափման սարք, որի չափման տիրույթը սկսվում է 190 նմ:
4. Աստիճանավորման կորի կառուցումը
Աստիճանավորման կորը կառուցում են յուրաքանչյուր սննդամթերքի համար առանձին: Համապատասխան սննդամթերքի կշռամասը 50 գ (50 մլ) մանրացնում են և լցնում են 500 մլ տարողությամբ շլիֆով կլորահատակ կոլբայի մեջ: Ավելացնում են 50 մլ 0.01%-անոց նատրիումի դիէթիլդիթիոկարբամատի մեթանոլային լուծույթ և ստիրոլի ստանդարտ լուծույթի համապատասխան ծավալներ (0.01 և 0.1 մգ/լ կոնցենտրացիայով), այնպիսի հաշվարկով, որ մոնոմերի պարունակությունը յուրաքանչյուր հաջորդ մասում կազմի 0.0025, 0.005, 0.01, 0.015, 0.025, 0.05 մգ, որը համապատասխանում է 0, 0.05, 0.1, 0.2, 0.3, 0.5 և 1.0 մգ/կգ (մգ/լ): Փակելով կոլբան խցանով, նրա պարունակությունը թափահարում են 1 րոպե: Այնուհետև ավելացնում են 50 մլ թորած ջուր, 1 մլ 20 %-անոց կալցիումի քլորիդի լուծույթ (կաթի, կաթնաթթվային մթերքների, ձկան և կարագի դեպքում), նորից թափահարում են 1 րոպե: Կոլբայի մեջ իջեցնում են ապակյա ձողիկներ հավասարաչափ խառնելու համար, կոլբան միացնում են ուղիղ սառնարանին և թորում են ջրային բաղնիքի վրա 50 մլ ստիրոլի ազեոտրոպ խառնուրդը մեթանոլի հետ, հավաքելով այն չափիչ գլանի մեջ:
Հերթականությամբ չափում են ստուգիչ և աշխատանքային նմուշների օպտիկական խտությունը սպեկտրագունաչափի վրա գլանաձև կյուվետների մեջ 50 մմ l =248 նմ ալիքի երկարությամբ: Այնուհետև ստացված արժեքներով կառուցում են ∆ Ä=f(C) կախվածության գրաֆիկը, որտեղ ∆ Ä-ստուգիչ և աշխատանքային նմուշների օպտիկական խտությունների տարբերությունն է:
C-ն նմուշում ստիրոլի կոնցենտրացիան է, մգ/կգ (մլ/լ): Բոլոր հետազոտված մթերքների համար կիրառվում է Բերի օրենքը 0.05-1.00 մգ/կգ ինտերվալում:
Փորձի ընթացքը և հաշվարկը (x)
Պոլիստիրոլային փաթեթից միգրվող ստիրոլի որոշումը կատարվում է աստիճանավորման կորի կառուցման ընթացքի նման: Զուգահեռ դնում են ստուգիչ փորձ մաքուր սննդամթերքի օգտագործմամբ, որը շփման մեջ չի եղել պոլիստիրոլի հետ: Որոշելով նմուշի ազեոտրոպ թորվածքների և ստուգիչ լուծույթի օպտիկական խտությունները, հաշվելով նրանց տարբերությունը (∆ Ä), գտնում են ստիրոլի կոնցենտրացիան աստիճանավորման կորի միջոցով ∆ Ä = f (C):
| Հավելված 1.7 |
ՔԻՄԻԱԿԱՆ ԳՈՐԾՈՆՆԵՐԻ ՀՍԿՈՂՈՒԹՅԱՆ ՄԵԹՈԴՆԵՐ
ՍՆՆԴԱՄԹԵՐՔԻ ՀԵՏ ՇՓՎՈՂ ՊՈԼԻՄԵՐԱՅԻՆ ԱՐՏԱԴՐԱՏԵՍԱԿՆԵՐ
Ջրային և աղային լուծամզուքներում ստիրոլի և մեթիլմետակրիլատի
որոշման սպեկտրաֆոտոմետրիկ մեթոդ
Մեթոդի սկզբունքը
Մեթոդը հիմնված է լուծամզուքի ցնդող մասի թորման, ստացված թորվածքի օպտիկական խտության չափման վրա` սպեկտրաֆոտոչափման l =203 և 247 նմ ալիքի երկարությունների դեպքում և բինար խառնուրդներում մոնոմերների խտությունների հաշվարկումը Ֆիրորդտի մեթոդով: Պիտանի է նաև ջրային և աղային քաշուկներում մոնոմերների որոշման համար:
Մեթոդի զգայնությունը
0.005 մգ/լ ստիրոլի համար և 0.01մգ/լ մեթիլմետակրիլատի համար որոշման հարաբերական սխալը չի գերազանցում 20%: Պլաստիֆիկատորները, կայունացուցիչները և էթիլբենզոլը մինչև 5 մգ/լ որոշմանը չեն խանգարում:
Նյութերը և ստանդարտ լուծույթները
1. Ստիրոլ թորված
2. Մեթիլմետակրիլատ թորված
3. Էթիլ սպիրտ 96% թորված
4. Հիմնական ստանդարտ լուծույթներ. ստիրոլը էթիլ սպիրտում և մեթիլմետակրիլատը ջրում: Լուծույթների պատրաստման համար 25մլ ծավալով պիկնոմետրերում լցնում են 10-15 մլ էթիլ սպիրտ, մյուսում` ջուր և կշռում 0.0002 գ ճշտությամբ: 4-5 կաթիլ մոնոմեր ավելացնելուց հետո պիկնոմետրերը նորից կշռում են և լուծույթների ծավալը հասցնում մինչև նիշը՝ ստիրոլը էթիլ սպիրտով, մյուսը ջրով: Լուծույթում նյութերի խտությունը (մգ/լ) գտնելու համար 2 կշիռների տարբերությունը բաժանվում է պիկնոմետրի ծավալի վրա:
5. Ստիրոլի և մեթիլմետակրիլատի աշխատանքային ստանդարտ լուծույթները նույն լուծիչներում՝ 0.1 և 0.01մգ/լ խտությամբ պատրաստում են որոշումից առաջ հիմնական լուծույթների նոսրացմամբ՝ համապատասխանաբար էթիլ սպիրտով և ջրով:
Քիմիական ամանեղեն և սարքավորում
1. Չափիչ կոլբաներ 25 մլ ծավալով
2. Պիպետներ 10, 5, 2 և 1 մլ տարողությամբ
3. Չափիչ գլաններ 100 և 200 մլ ծավալով
4. Թորման սարք
5. Սպեկտրաֆոտոմետր, որի չափման տիրույթը սկսվում է 190 նմ-ից:
Օգտագործվող չափման միջոցները, սարքավորումները, քիմիական նյութերը իրենց չափագրական բնութագրով պետք է ապահովեն մեթոդի ճշտության աստիճանը:
Փորձի ընթացքը և հաշվարկը
Փորձանմուշի նախապատրաստումը համաձայն «Սննդամթերքի հետ շփվող պոլիմերային և այդ հիմքով պլաստմասսայե արտադրանքի սանիտարահիգիենիկ հետազոտման մեթոդներ»-ի:
500 մլ ծավալով կլորահատակ կոլբայի մեջ լցնում են 200 մլ լուծամզուք (ջրային կամ աղային), ուղիղ սառնարանով ավազե բաղնիքում թորում 24 մլ թորվածք: Թորվածքը հավաքում են 25 մլ ծավալով չափիչ գլանի մեջ, որը պարունակում է 1 մլ թորած ջուր կիրառելով առավել լրիվ հավաքման համար հատուկ կառուցվածքի ալոնժ, որը ունի մազանոթային վերջույթ 3-4 մմ տրամագծով և հասնում է մինչև գլանի հատակը: Այնուհետև չափում են թորվածքի օպտիկական խտությունը սպեկտրաֆոտոչափման սարքի վրա գլանաձև կյուվետներում 50 մմ երկարությամբ l =203 և 247 նմ (Äսմ203 և Äսմ247): Որպես ստուգիչ նմուշ օգտագործում են 300 մլ թորած ջրի կամ 5% NaCl-ի լուծույթի թորվածք, որը պահում են ջերմաստիճանային - ժամանակային պայմաններում, այնպես ինչպես նմուշի լուծամզուկը:
Ֆիրորդտի մեթոդի համաձայն բինար խառնուրդում կոմպոնենտների խտությունը որոշվում է հետևյալ բանաձևերով.
որտեղ` C1 և C2 ստիրոլի և մեթիլմետակրիլատի խտությունն է (մգ/լ):
Äսմ203 և Äսմ247 նրանց խառնուրդների օպտիկական խտությունն է՝ 203 և 247 նմ ալիքի երկարությունների դեպքում:
E1 203 - մեթիլմետակրիլատի էկստինցիայի գործակիցը՝ 203 սմ լ/մգ նմ ալիքի երկարության դեպքում:
E2 203 և E2 247 - ալիքի էկստինցիայի գործակիցը՝ 203 և 247 նմ ալիքի երկարությունների դեպքում (լ/մգ սմ):
Երկու հավասարումների համակարգի լուծման համար անհրաժեշտ է որոշել նրանց լուծույթների թորվածքներում ստիրոլի և մեթիլմետակրիլատի էկստինցիայի գործակիցը, որոնք թորված են քաշուկի նման: Դրա համար կլորահատակ կոլբայի մեջ լցնում ենք 200 մլ թորած ջուր կամ 5 % NaCl և ստիրոլի ստանդարտ լուծույթ 0.1 և 0.01 մգ/լ քանակությամբ, որոնք համապատասխանում են 0.005, 0.010, 0.050, 0.100 և 0.200 մգ/լ: Այնուհետև թորում են 24 մլ թորվածք այնպես, ինչպես լուծամզուքի անալիզի դեպքում: Ստիրոլի լուծույթների թորվածքների օպտիկական խտությունը չափում են 203 և 247 նմ ալիքի երկարության դեպքում` 203 նմ 200 մլ թորած ջրի կամ 5 % լուծույթի թորվածքներից, որոնք չեն պարունակում ստիրոլ և մեթիլմետակրիլատ: Էկստինցիայի գործակիցների արժեքները գտնում են հետևյալ բանաձևով.
Ստիրոլի էկստինցիայի գործակիցը l =203 նմ 5 սմ կյուվետայի դեպքում հավասար է 0.93, l =247նմ դեպքում՝ 0.57լ/մգ սմ: Մեթիլմետակրիլատի էկստինցիայի գործակիցը l =203նմ-ի դեպքում հավասար է 0.50 լ/մգ սմ: Էկստինցիայի գործակիցների արժեքները (1) և (2) բանաձևերի մեջ տեղադրելուց հետո և փոփոխության բերելուց հետո վերջիններս ընդունում են հետևյալ տեսքը.
Թորվածքներում մեթիլմետակրիլատի և ստիրոլի խտության հաշվարկը կատարում են (4) և (5) հավասարումներով:
| Հավելված 1.8 |
ՔԻՄԻԱԿԱՆ ԳՈՐԾՈՆՆԵՐԻ ՀՍԿՈՂՈՒԹՅԱՆ ՄԵԹՈԴՆԵՐ
ՍՆՆԴԱՄԹԵՐՔԻ ՀԵՏ ՇՓՎՈՂ ՊՈԼԻՄԵՐԱՅԻՆ ԱՐՏԱԴՐԱՏԵՍԱԿՆԵՐ
Գազային քրոմատագրման եղանակով
մթնոլորտային օդում ացետալդեհիդի որոշման մեթոդ
1. Ընդհանուր մաս
Ացետալդեհիդը- C2H4O, անգույն, խեղդող հոտով հեղուկ է: Մոլեկուլային զանգվածը` 44.05, եռման ջերմաստիճանը` 20.160C, խտությունը 0.7780 գ/սմ3: Բոլոր հարաբերություններով կարող է խառնվել ջրի և օրգանական լուծիչների հետ: Մթնոլորտային օդում սահմանային թույլատրելի խտությունը (ՍԹԽ) - 0.01 մգ/մ3, ջրում` 0,2 մգ/դմ3:
2. Կիրառման ոլորտը
Սույն մեթոդը նախատեսում է մթնոլորտային օդում ացետալդեհիդի քանակական որոշումը` 0.008-0.1 մգ/մ3 միջակայքում, գազային քրոմատագրման եղանակով:
3. Չափման սխալը
Մեթոդը ապահովում է կատարել չափումները ոչ ավելի + 23.4 սխալի %-ով, երբ վստահելի հավանականությունը 0.95 է:
4. Մեթոդի սկզբունքը
Ացետալդեհիդի քանակական որոշումը կատարվում է գազային քրոմատագրման սարքի բոցաիոնացման դետեկտորի միջոցով: Օդից ացետալդեհիդի նմուշառումը կատարվում է Ռիխտերի կլանիչներով, որոնց մեջ է լցված թորած ջուր: Նմուշառումը կատարվում է խտացման մեթոդով: Հայտնաբերման ներքին սահմանը հետազոտվող նմուշի ծավալում 2 մկգ է:
Որոշմանը չեն խանգարում` ֆորմալդեհիդը, մեթիլֆորմիատը, մեթիլացետատը, քացախաթթուն, մրջնաթթուն, դիմեթիլեթերը:
5. Չափման միջոցները
Չափման ժամանակ կիրառվում են հետևյալ չափման միջոցները, նյութերը և ռեակտիվները`
5.1. Չափման միջոցները
1. Քրոմատագրման սարք - գազային` բոցաիոնացման դետեկտորով
2. Բարոմետր - աներոիդ
3. Անալիտիկ կշեռք
4. Մասշտաբային քանոն
5. Չափող խոշորացույց
6. Կշռաքարեր
7. Միկրոներարկիչ
8. Լաբորատոր ապակյա ամանեղեն
9. Վայրկյանաչափ
10. Լաբորատոր ջերմաչափ
11. Չափիչ գլան՝ 50 սմ3 տարողությամբ
12. Բժշկական ներարկիչ՝ 2-5 սմ3:
5.2. Օժանդակ սարքեր
1. Էլեկտրական ասպիրատոր 822 մակնիշի
2. Ջրային բաղնիք
3. Վակուում պոմպ
4. Թորման սարք
5. Ռիխտերի կլանիչ
6. Ջրածնի ռեդուկտոր
7. Թթվածնի ռեդուկտոր
8. Ապակյա սրվակներ, 30սմ3 տարողությամբ, ռետինե միջադիր ունեցող և պտուտակավոր կափարիչով, որում արված է 3մմ տրամագծով անցք
9. Չորացնող պահարան
10. Սառնարան
11. Քրոմատոգրաֆի աշտարակ` ապակյա կամ չժանգոտվող պողպատից, 3,5 մ երկարությամբ և 3 մմ տրամագծով
12. Օդի նմուշառման սարք:
5.3. Նյութեր
1. Սեղմած ազոտ
2. Սեղմած ջրածին
3. Սեղմված օդ
4. Սառույց
5. Ապակյա բամբակ
6. Ապակյա փակիչ:
5.4. Ռեակտիվներ
1. Ացետալդեհիդ (թարմ թորած պահել սառնարանում)
2. Ացետոն
3. Անջուր ծծմբաթթվական նատրիում
4. 1, 2, 3 եռ. (բետացիանէտօքսի) պրոպան-անշարժ
հեղուկ ֆազա
5. Քլորոֆորմ
6. Քրոմոսորբ - P (0.20-0.25 մմ)-պինդ կրող
7. Էթիլ սպիրտ - տեխնիկական:
Օգտագործվող չափման միջոցները, սարքավորումները, քիմիական նյութերը իրենց չափագրական բնութագրով պետք է ապահովեն մեթոդի ճշտության աստիճանը:
6. Փորձարկման նախապատրաստման աշխատանքները
Մինչև չափելը պետք է կատարել հետևյալ աշխատանքները` լուծույթների պատրաստում, քրոմատագրման աշտարակի նախապատրաստում, ստուգաճշտում, նմուշառում:
6.1. Լուծույթների պատրաստում
Ացետալդեհիդի ելային ստանդարտային լուծույթ (C=0.2 մգ/սմ3 )` 100 մգ ացետալդեհիդը լցնում են 500 սմ3 կոլբայի մեջ, թորած ջրով ծավալը հասցնում մինչև նիշը և ուժեղ թափահարում: Լուծույթի պահպանման ժամկետը սառնարանում` 2 շաբաթ:
Խտուգաճշտման լուծույթները ացետալդեհիդի հետևյալ պարունակությամբ` 20-40-80-160-320 և 400 մկգ, պատրաստվում են 0.1-0.2-0.4-0.8-1.6 և 2.0 սմ3 ացետալդեհիդ ելային լուծույթից համապատասխան նոսրացումով ապակյա փակվող խցաններով սրվակներում: Պահպանման ժամկետը` 1 օր:
6.2. Քրոմատագրիչի աշտարակի նախապատրաստում
Քրոմատագրիչի աշտարակի կրիչը 20 % 1,2,3 -եռ. (բետացիանէտօքսի) պրոպան նստեցված` քրոմոսորբ P-ի վրա պատրաստելու համար հախճապակյա թասի մեջ կշռում են 3 գ հեղուկ ֆազից` 1, 2, 3 - եռ. (բետացիանէտօքսի) պրոպան և լուծում են 75 սմ3 քլորոֆորմի մեջ: Ստացված լուծույթը լցնում են 15 գ քրոմոսորբ P-ի վրա: Թասի պարունակությունը համաչափ խառնում են և թասը դնում են (ջրային բաղնիքի վրա, քլորոֆորմը գոլորշացնելու համար (մինչև սորբենտի սորուն վիճակը): Մինչև քրոմատագրիչի աշտարակ լցնելը աշտանակը լվանում են օրգանական լուծիչներով (ացետոն, էթիլ սպիրտ) և չորացվում: Սորբենտը քրոմատագրիչի աշտարակ է լցվում վակուում պոմպի միջոցով: Աշտարակի ծայրերը փակվում են ապակյա բամբակով և մի ծայրը միացվում է քրոմատագրիչի գոլորշացուցիչին, մյուս մասը չմիացնելով դետեկտորին` աստիճանաբար ջերմաստիճանի բարձրացմամբ` 50-ից մինչև 1600 C անցկացնում են կրող գազ, ազոտը 10C/րոպե արագությամբ և պահում 4 ժամ: Սառեցնելուց հետո աշտարակը միացնում են դետեկտորին: Զրոյական գծի դրեյֆի բացակայության դեպքում աշտարակը պատրաստ է աշխատանքի:
6.3. Ստուգաճշտում
Ստուգաճշտման կորը կառուցում են ստանդարտ լուծույթների բացարձակ ստուգաճշտման եղանակով: Այն արտահայտում է քրոմատագրի գագաթների բարձրության (մմ)` և ացետալդեհիդի զանգվածի (մկգ) կախվածությունը և կառուցվում է 5 ստանդարտ լուծույթների շարքի միջին արժեքները: Դրա համար 5 ապակե սրվակներում լցնում են ստուգաճշտման լուծույթների շարքից 20-ական սմ3 և յուրաքանչյուրին ավելացնում են 5 գ նատրիումի սուլֆատ (անջուր): Սրվակները սկզբում փակում են ինքնաձիգ ռետինե խցանով, այնուհետև պլաստմասսայից պատրաստման խցանով և տեղադրում ջրային բաղնիքի մեջ` 55 + 10C` 45 րոպե: Տաքացրած ներարկիչով յուրաքանչյուր սրվակից վերցնում են 5 սմ3 գոլորշու ֆազից և ներարկում քրոմատագրիչի գոլորշացուցիչ հետևյալ պայմաններում.
| 1. Աշտարակի ջերմակարգավորչի ջերմաստիճանը | - 700C | |
| 2. Գոլորշացուցիչի ջերմաստիճանը | - 1300C | |
| 3. Կրող գազի արագությունը (ազոտ) | - 40 սմ3/ր | |
| 4. Ջրածնի արագությունը | - 30 սմ3/ր | |
| 5. Օդի արագությունը | - 300 սմ3/ր | |
| 6. Դիագրամի ժապավենի արագությունը | - 20 մմ/ր | |
| 7. Ացետալդեհիդի բացարձակ պահման ժամանակը | - 2 ր 5 վրկ: |
Չափում են ստացված քրոմատագիրների գագաթների բարձրությունը և ստանդարտ լուծույթների շարքի 5 անդամների միջին արդյունքով կառուցվում ստուգաճշտման կորը: Ստուգաճշտման կորի ստուգումը կատարվում է եռամսյակը մեկ անգամ` ռեակտիվների փոփոխման հետ կապված:
6.4. Նմուշառում
Փորձանմուշի նախապատրաստումը համաձայն «Սննդամթերքի հետ շփվող պոլիմերային և այդ հիմքով պլաստմասսայե արտադրանքի սանիտարահիգիենիկ հետազոտման մեթոդներ»-ի:
Օդի նմուշառումը կատարվում է 2 իրար միացված Ռիխտերի կլանիչներով, որոնցից յուրաքանչյուրի մեջ լցվում է 10 սմ3 թորած ջուր, նմուշառման արագությունը 10 դմ3 /ր 25 րոպեի ընթացքում: Եթե միջավայրի օդի ջերմաստիճանը +50C-ից բարձր է, ապա նմուշառման ժամանակ կլանիչները դրվում են սառցե ջրի մեջ: Նմուշառումից հետո կլանիչների ծայրերը փակվում են ապակյա փակիչներով:
Պահպանման ժամկետը 1 օրից ոչ ավելի:
7. Չափման կատարումը
Նմուշառումից հետո 2 կլանիչների լուծույթները լցնում են 30 սմ3 տարողությամբ ապակե փորձանոթի մեջ և ավելացնում 5 գ նատրիումի սուլֆատ, որից հետո նմուշը մշակում 6.3 կետին համապատասխան: Քրոմատագրի վրա հաշվում են գագաթի բարձրությունը և ստանդարտ շարքի ստուգաճշտման կորով որոշում ացետալդեհիդի զանգվածը նմուշում:
8. Չափման արդյունքների հաշվարկը
Ացետալդեհիդի կոնցենտրացիան հաշվարկվում է (մգ/մ3) հետևյալ բանաձևով.
որտեղ` M -ացետալդեհիդի զանգվածն է նմուշում, որը գտնվել է աստիճանավորման սանդղակից:
V0- օդի նմուշի ծավալն է` բերված նորմալ պայմանների.
որտեղ` Vt- ն վերցված օդի ծավալն է դմ3.
P - նմուշի վերցման ժամանակ օդի ճնշումն է` մմ սնդիկի սյուն.
t - նմուշի վերցման ժամանակ օդի ջերմաստիճանն է` 0C:
| Հավելված 1.9 |
ՔԻՄԻԱԿԱՆ ԳՈՐԾՈՆՆԵՐԻ ՀՍԿՈՂՈՒԹՅԱՆ ՄԵԹՈԴՆԵՐ
ՍՆՆԴԱՄԹԵՐՔԻ ՀԵՏ ՇՓՎՈՂ ՊՈԼԻՄԵՐԱՅԻՆ ԱՐՏԱԴՐԱՏԵՍԱԿՆԵՐ
Գազային քրոմատագրման եղանակով` ջրում ացետոնի, մեթանոլի, բենզոլի,
տոլուոլի, էթիլբենզոլի, պենտանի, օ-, մ-, պ- քսիլոլների, հեքսանի,
օկտանի և դեկանի որոշման մեթոդներ
1. Ընդհանուր մաս
Ացետոնի, մեթանոլի, բենզոլի, տոլուոլի, էթիլբենզոլի ֆիզիկաքիմիական հատկությունները բերված են աղյուսակ 1-ում:
2. Կիրառման ոլորտը
Սույն մեթոդական ցուցումները նախատեսված են քրոմատագրման մեթոդով խմելու ջրերում վերը նշված քիմիական նյութերի քանակական որոշման համար (0.005-20 մգ/դմ3 միջակայքում):
Նյութերի ֆիզիկաքիմիական հատկությունները
3. Չափումների սխալի տոկոսը
Մեթոդի սխալը չի գերազանցում + 13%-ից, երբ P= 0.95:
4. Մեթոդի սկզբունքը
Անալիզվող միացությունների որոշումը կատարվում է գազաքրոմատագրման եղանակով: Մեթոդը հիմնված է ջրից` տաքացման միջոցով, գազային լուծահանման ճանապարհով միացությունների անջատման և փակ ծավալում հավասարակշիռ գոլորշի ֆազայի հետագա անալիզի վրա:
Չափման ստորին սահմանը` 0.025 մկգ է:
Որոշմանը չեն խանգարում հալոգեն, ազոտ և ծծումբ պարունակող միացությունները:
5. Չափման միջոցները, օժանդակ սարքավորումները, ռեակտիվները և նյութերը
Չափման միջոցներ
1. Գազային քրոմատագրման սարք, բոցաիոնիզացնող դետեկտորով
2. Լաբորատոր անալիտիկ կշեռք
3. Չափիչ քանոն
4. Չափիչ խոշորացույց
5. Կշռաքարեր
6. Լաբորատոր ապակեղեն
7. Վայրկյանաչափ
8. Ջրային բաղնիք ջերմակարգավորիչով
9. Ապակե սրվակներ 10 սմ3 տարողությամբ, ռետինե խցաններով և մետաղե ամրակներով:
Օգտագործվող չափման միջոցները, սարքավորումները, քիմիական նյութերը իրենց չափագրական բնութագրով պետք է ապահովեն մեթոդի ճշտության աստիճանը:
Օժանդակ սարքավորումներ
Կվարցե քրոմատագրման աշտարակ 25 մ երկարությամբ և 0,3մմ ներքին տրամագծով, հեղուկ ֆազը SE - 54 (շերտի հաստությունը 5 մկ).
1. Թորման սարք
2. Ջրածնային ռեդուկտոր
3. Թթվածնային ռեդուկտոր
4. Էլեկտրավառարան:
Նյութերը
1. Սեղմված ազոտ
2. Ջրածին սեղմված
3. Սեղմված օդ
4. Բամբակե ձեռնոցներ:
Ռեակտիվները
1. Ացետոն
2. Բենզոլ քիմ. մաքուր
3. Արտեզյան ջուր (եռացրած)
4. Հեքսան, դեկան, պենտան մաքուր քրոմատագրման համար
5. Մ - քսիլոլ քիմ. մաքուր
6. Օ - քսիլոլ քիմ. մաքուր
7. Պ-քսիլոլ
8. Մեթանոլ քիմ. մաքուր
9. Օկտան քիմ. մաքուր
10. Տոլուոլ քիմ. մաքուր
11. Էթիլբենզոլ քիմ. մաքուր
Օգտագործվող չափման միջոցները, սարքավորումները, քիմիական նյութերը իրենց չափագրական բնութագրով պետք է ապահովեն մեթոդի ճշտության աստիճանը:
6. Լուծույթների պատրաստումը
Ելային լուծույթ N 1` ացետոնի և մեթանոլի ստուգաճշտման կորի համար (C 0.1մգ/սմ3) 25 մգ յուրաքանչյուր նյութից լցնում են 250 սմ3 տարողությամբ կոլբայի մեջ, հասցնում են նիշի եռացրած և սառեցրած թորած ջրով և խառնում: Լուծույթի պահպանման ժամկետը` 1 ամիս:
Ելային լուծույթ N 2` բենզոլի, տոլուոլի, էթիլբենզոլի, օ-մ-պ- քսիլոլների, պենտանի, հեքսանի, օկտանի և դեկանի ստուգաճշտման կորի համար (C 0.1մգ/սմ3) 10 մգ յուրաքանչյուր նյութից լցնում են 100 սմ3 տարողությամբ կոլբայի մեջ, մեթանոլով հասցնում են մինչև նիշը և խառնում: Լուծույթի պահպանման ժամկետը` 1 ամիս:
Աշխատանքային լուծույթները բենզոլի, տոլուոլի, էթիլբենզոլի, օ-մ-պ-քսիլոլների ըստ ստուգաճշտման կորերի համար 5 սմ3 N 2 ելային լուծույթից տեղափոխում են 50 սմ3 տարողությամբ կոլբայի մեջ, հասցնում մեթանոլով մինչև նիշը և խառնում: Պահպանման ժամկետը` 1 ամիս:
7. Քրոմատագրի աշտարակի նախապատրաստումը
Քրոմատագրման աշտարակով դեռ չմիացված դետեկտորին, անցկացվում է կրող գազը 2.5 սմ3/ր արագությամբ 2500C ջերմաստիճանում 18 ժամվա ընթացքում: Սառելուց հետո աշտարակը միացնում են դետեկտորին, գրանցում զրոյական գիծը:
8. Ստուգաճշտման կորերի կառուցումը
Ստուգաճշտման կորերը արտահայտում են քրոմատագրի վրա համապատասխան նյութի գագաթի մակերեսի կախվածությունը կոնցենտրացիայից և կառուցվում են 7 շարքի ստուգաճշտման լուծույթների քրոմատագրման միջին արդյունքներից ելնելով:
Ացետոնի և մեթանոլի ստուգաճշտման լուծույթները պատրաստում են 1000 սմ3 տարողությամբ չափիչ կոլբայում: Դրա համար յուրաքանչյուր կոլբայի մեջ լցնում են N 1 ելային լուծույթը՝ համապատասխան աղյուսակ 3-ի, եռացրած և սառեցված մինչև 200C արտեզյան ջրով ծավալը հասցնում մինչև նիշը և թափահարում: Պենտանի, հեքսանի, օկտանի, դեկանի ստուգաճշտման լուծույթները սարքում են 1000 սմ3 տարողությամբ չափիչ կոլբայի մեջ: Դրա համար յուրաքանչյուր կոլբայի մեջ լցնում են N 2 ելային լուծույթը համապատասխան աղյուսակ 4-ի և ջրով ծավալը հասցնում մինչև նիշը և թափահարում:
Բենզոլի, տոլուոլի, էթիլբենզոլի, օ-, մ-, պ-, քսիլոլների աստիճանավորման լուծույթները պատրաստում են են 1000 սմ3 տարողությամբ չափիչ կոլբայի մեջ: Դրա համար յուրաքանչյուր կոլբայի մեջ լցնում են աշխատանքային լուծույթը` համապատասխան աղյուսակ 5-ի և ջրով ծավալը հասցնում մինչև նիշը:
Լուծույթներ ստուգաճշտման կորերը կառուցելու համար, ացետոնի և մեթանոլի կոնցենտրացիաների որոշման դեպքում
Աղյուսակ 3
|
Լուծույթի համարը |
1 |
2 |
3 |
4 |
5 |
6 |
7 |
| Ելային լուծույթի ծավալը (C=0.1 մգ/սմ3 ), սմ3 |
10.0 |
20.0 |
30.0 |
40.0 |
50.0 |
100.0 |
200.0 |
| Նյութի կոնցենտրացիան, մգ/դմ3 |
1.0 |
2.0 |
3.0 |
4.0 |
5.0 |
10.0 |
20.0 |
Լուծույթներ ստուգաճշտման կորերը կառուցելու համար` պենտանի, հեքսանի, օկտանի, դեկանի կոնցենտրացիաները ջրում որոշելու դեպքում:
Աղյուսակ 4
| Լուծույթի համարը | 1 | 2 | 3 | 4 | 5 | 6 | 7 |
| Ելային լուծույթի ծավալը (C=0,1մգ/սմ3), սմ3 |
1.0 |
5.0 |
10.0 |
30.0 |
60.0 |
80.0 |
100.0 |
| Նյութի կոնցենտրացիան, մգ/դմ3 |
0.1 |
0.5 |
1.0 |
3.0 |
6.0 |
8.0 |
10.0 |
Լուծույթներ ստուգաճշտման կորերը կառուցելու համար բենզոլի, էթիլբենզոլի, օ-, մ-, պ- քսիլոլների կոնցենտրացիաների որոշման դեպքում:
Աղյուսակ 5
| Լուծույթի համարը | 1 | 2 | 3 | 4 | 5 | 6 | 7 | 8 |
| Աշխատանքային լուծույթի ծավալը (C =0.01 մգ/սմ3), սմ3 |
0.5 |
2.0 |
5.0 |
10.0 |
30.0 |
60.0 |
100.0 |
200.0 |
| Նյութի կոնցենտրացիան, մգ/դմ3 |
0.005 |
0.02 |
0.05 |
0.1 |
0.3 |
0.6 |
1.0 |
2.0 |
Ստուգաճշտման յուրաքանչյուր լուծույթից` 5 սմ3 տեղափոխում են ապակյա սրվակի մեջ, փակում ռետինե խցանով, սեղմում մետաղական օղակով, իջեցնում ներքևի մասը ջրային բաղնիքի մեջ և պահում են 800C-ում 60 րոպե: Տաքացված մինչև 800C ներարկիչով վերցնում են 2 սմ3 ծավալով օդի նմուշ և ներարկում քրոմատագրիչ: Քրոմատագրումը կատարում են հետևյալ պայմաններում` թերմոստատի ջերմաստիճանը ծրագրավորում են սկսած (500C (7 րոպե իզոթերմ ռեժիմում) մինչև 1500C, 50C ր/արագությամբ:
| 1. Գոլորշացուցչի ջերմաստիճանը | - 2500C | |
| 2. Դետեկտորի ջերմաստիճանը | - 2500C | |
| 3. Աշտարակի միջով անցնող ազոտի արագությունը | - 2 սմ3/ր | |
| 4. Գոլորշացուցիչ մղվող ազոտի արագությունը | - 5 սմ3/ր | |
| 5. Դետեկտոր մղվող ազոտի արագությունը | - 40սմ3/ր | |
| 6. Էլեկտրամետրի սանդղակի զգայնությունը | - 50x10-12/ժամկետ | |
| 7. Դիագրամմային ժապավենի արագությունը | - 240 մմ /ժ |
9. Չափումների կատարումը
Փորձանմուշի նախապատրաստումը` համաձայն «Սննդամթերքի հետ շփվող պոլիմերային և այդ հիմքով պլաստմասսայե արտադրանքի սանիտարահիգիենիկ հետազոտման մեթոդներ»-ի:
Սարքը ռեժիմի գալուց հետո, 5 սմ3 նմուշը տեղավորում են սրվակի մեջ և մշակում ինչպես համապատասխան ստուգաճշտման լուծույթների, ապա վերցնում են լուծույթի վրայից 2 սմ3 գոլորշի (գազային ֆազա) և ներարկում, քրոմատագրիչ, որից հետո անմիջապես միացնում են աշտարակի ջերմային ռեժիմի ծրագրավորումը: Անալիզը պետք է կատարվի նույն պայմաններում ինչ որ ստանդարտ նմուշները: Քրոմատագրիչների վրա հաշվարկում են գագաթների մակերեսը:
Չափումների արդյունքների հաշվարկը
Անալիզվող նյութի կոնցենտրացիան (մգ/դմ3) որոշում են ըստ կառուցած ստուգաճշտման կորի:
| Հավելված 1.10 |
ՔԻՄԻԱԿԱՆ ԳՈՐԾՈՆՆԵՐԻ ՀՍԿՈՂՈՒԹՅԱՆ ՄԵԹՈԴՆԵՐ
ՍՆՆԴԱՄԹԵՐՔԻ ՀԵՏ ՇՓՎՈՂ ՊՈԼԻՄԵՐԱՅԻՆ ԱՐՏԱԴՐԱՏԵՍԱԿՆԵՐ
Գազային քրոմատագրման եղանակով ջրում, ջրային լուծամզուքներում և օդում ֆենոլի որոշման մեթոդ
1. Ընդհանուր մաս
Ֆենոլը բյուրեղային նյութ է, եռման ջերմաստիճանը 1800C, հալմանը` 410C: Լուծվում է ջրում, էթանոլում, քլորոֆորմում, էթիլ եթերում և այլ օրգանական լուծիչներում: Ջրում ֆենոլի լուծելիությունը սահմանափակ է:
2. Մեթոդի սկզբունքը
Մեթոդի հիմքում ընկած է ֆենոլի վերածումը եռբրոմֆենոլի և քրոմատագրումը՝ գազային քրոմատագրման եղանակով: Մեթոդի առավելությունը նրա բարձր զգայունությունն է` 0.0003 մգ/լ և նմուշի պատրաստման պարզությունը:
3. Ռեակտիվներ, լուծույթներ և նյութեր
1. Ֆենոլ
2. Կալիումի բրոմիդ
3. Բրոմ
4. Նատրիումի կարբոնատ
5. Ծծմբական թթու
6. Նատրիումի սուլֆատ
7. Հեքսան
8. Ազոտ
9. Քրոմատոն N -AW (0.16-0.2 մմ) 0.5%-անոց SE -30 սիլիկոնային էլաստիկով
10. Ֆենոլի հիմնական ստանդարտ լուծույթը ջրում 10 մկգ/մլ:
4. Սարքավորումներ և ապակեղեն
Գազային քրոմատագրման սարք էլեկտրոնազավթման դետեկտորով:
Ապակյա աշտարակ, երկարությունը 1 մ, տրամագիծը 3 մմ:
Ծակոտկեն թաղանթով ապակյա կլանիչներ:
Միկրոներարկիչներ:
20 մլ տարողությամբ շլիֆով փորձանոթներ:
Չափիչ կոլբա 1լ-անոց:
Կաթոցիկներ 10, 5, 0.1, 0.5 մլ տարողությամբ:
Վայրկենաչափ:
Չափիչ քանոն:
Վակուում պոմպ:
Օգտագործվող չափման միջոցները, սարքավորումները, քիմիական նյութերը իրենց չափագրական բնութագրով պետք է ապահովեն մեթոդի ճշտության աստիճանը:
5. Անալիզի պայմանները
Փորձանմուշի նախապատրաստումը` համաձայն «Սննդամթերքի հետ շփվող պոլիմերային և այդ հիմքով պլաստմասսայե արտադրանքի սանիտարահիգիենիկ հետազոտման մեթոդներ»-ի:
Ֆենոլը եռբրոմֆենոլի վերածելու համար 10 մլ ջուրը, լուծամզուկը կամ նախօրոք չեզոքացված ծծմբական թթուն լցնում են շլիֆով փորձանոթի մեջ և ավելացնում 1 մլ բրոմացնող լուծույթ (20գ KBr + 0.5 մլ Br, 80 մլ թորած ջուր): Բրոմի ավելցուկը հեռացնում են՝ ավելացնելով 0.3 մլ ծծմբական թթու (N 3) և 0.2 մլ 10%-անոց նատրիումի սուլֆատի լուծույթ: Ամեն ավելացումից հետո խառնել: Եռբրոմֆենոլը լուծահանում են 1 մլ հեքսանով՝ 30 վրկ լավ թափահարելով: Շերտերի բաժանումից հետո 5 մկլ հեքսանային լուծամզուքը քրոմատագրում են:
6. Քրոմատագրման պայմանները
Գոլորշացուցչի ջերմաստիճանը 2500C
Դետեկտորի ջերմաստիճանը 2500C
Աշտարակի ջերմաստիճանը 1400C
Կրող- գազի արագությունը 70 մլ/ր
Դիագրամային ժապավենի արագությունը 600 մմ/ժ
Էլեկտրամետրի աշխատանքային սանդղակը 10x10-12
Պիկի դուրս գալու բացարձակ ժամանակահատվածը 2 րոպե 20 վրկ
Քրոմատագրվող նյութի բացարձակ պահման ժամանակը
Ֆենոլի սանդղակավորման կորը կառուցելու համար փորձանոթների մեջ լցնում են 0, 0.01-0.7 մկգ ֆենոլ՝ 1 մկգ/մլ կոնցենտրացիայով ջրային ստանդարտ լուծույթի տեսքով, լուծույթի ծավալը թորած ջրով հասցնել մինչև 10 մլ-ի, որից հետո փորձանոթների մեջ ավելացնում են նույն ռեակտիվները ինչ որ նմուշներին: Պետք է նկատի ունենալ, զրոյական լուծույթը կարող է տալ ոչ մեծ ֆոնային ցուցմունք, որը պետք է նկատի ունենալ ստուգաճշտման կորը կառուցելիս:
Ստուգաճշտման գրաֆիկը կառուցում են նմուշում եղած ֆենոլի պարունակության (մկգ/մլ կամ մգ/լ) և կորի բարձրության (մմ), կամ մակերեսի (մմ) կախվածությամբ: Ֆենոլի քանակը օդում X մգ/մ3 հաշվում են`
C - ն ֆենոլի խտությունը մգ/լ ըստ գրաֆիկի
V1 - նմուշի ընդհանուր ծավալը (մլ)
V20- նորմալ պայմանների բերված օդի նմուշի քանակը լիտրերով:
V - ն անալիզի համար վերցրած օդի ծավալը լիտրերով
P - ն բարոմետրի ճնշումը ԿՊա (101.33 ԿՊա = 760 մմ սնդիկի սյուն)
t - ն նմուշահանման վայրի ջերմաստիճանը:
Ֆենոլի խտությունը ջրում կամ ջրային քաշուկներում՝ մկգ/մլ կամ մգ/լ: Դա ֆենոլի C քանակն է ըստ սանդղակավորման գրաֆիկի:
| Հավելված 1.11 |
ՔԻՄԻԱԿԱՆ ԳՈՐԾՈՆՆԵՐԻ ՀՍԿՈՂՈՒԹՅԱՆ ՄԵԹՈԴՆԵՐ
ՍՆՆԴԱՄԹԵՐՔԻ ՀԵՏ ՇՓՎՈՂ ՊՈԼԻՄԵՐԱՅԻՆ ԱՐՏԱԴՐԱՏԵՍԱԿՆԵՐ
Գազաքրոմատագրման եղանակով ջրում, ջրային լուծամզուքներում և օդում ֆորմալդեհիդի որոշման մեթոդ
1. Ընդհանուր մաս
Ֆորմալդեհիդը գազ է, եռման ջերմաստիճանը 210C: Լուծվում է ջրում, էթանոլում, եթերում:
2. Մեթոդի սկզբունքը
Մեթոդի հիմքում դրված է ֆորմալդեհիդի նախնական վերածումը ֆորմալդեհիդի 2.4 դինիտրոֆենիլհիդրազոնի և որոշվում էլեկտրոնազավթիչ դետեկտորով:
Մեթոդի առավելությունը` բարձր զգայունությունը (որոշման ստորին սահմանը 0.02 մգ/լ) և նմուշապատրաստման պարզությունը:
Որոշմանը չեն խանգարում մյուս ալդեհիդները և կետոնները: Ֆորմալդեհիդի միգրացիայի թույլատրելի քանակը (ՄԹՔ)- 0,1 մգ/դմ3:
3. Ռեակտիվները, լուծույթները և նյութերը
1. Ֆորմալդեհիդի 2.4 դինիտրոֆենիլհիդրազոն
2. Տոլուոլ
3. Աղաթթու, 2 N (ն) և 10% (ըստ ծավալի) լուծույթ
4. 2.4 դինիտրոֆենիլհիդրազին ք.մ. (0.02%) 2% 2.4 դինիտրոֆենիլհիդրազինի լուծույթ Տեխնիկական պայման 6-09-2494-77
5. Քրոմատոն N -AW (0.16-0.2մմ) 0.5%-անոց SE-30 սիլիկոնային էլաստոմերով
6. Ազոտ
7. N 1 հիմնական ստանդարտ լուծույթ 400 մկգ/մլ ֆորմալդեհիդի 2.4 դինիտրոֆենիլհիդրազոն առկայությամբ, որը համապատասխանում է 57.1 մկգ/մլ ֆորմալդեհիդի
8. N 2 ստանդարտ լուծույթ, որը պարունակում է 16 մկգ/մլ 2.4 դինիտրոֆենիլհիդրազոն, որը համապատասխանում է 2.28 մկգ/մլ ֆորմալդեհիդի:
4. Սարքեր և ապակեղեն
Գազային քրոմատագրման սարք էլեկտրոնազավթիչ դետեկտորով:
Օդի նմուշառման սարք 5 մլ -ոց շլիֆով փորձանոթներ
1.5 մլ-ոց կաթոցիկներ` 0.01, 0.05 բաժանմունքներով
25 մլ-ոց չափիչ գլաններ ստանդարտ լուծույթների համար
Կլանիչ սարքեր
Զայցևի կլանիչներ
Միկրոներարկիչներ ԾՄ-10
Քանոն:
Օգտագործվող չափման միջոցները, սարքավորումները, քիմիական նյութերը իրենց չափագրական բնութագրով պետք է ապահովեն մեթոդի ճշտության աստիճանը:
5. Անալիզի ընթացքը
Փորձանմուշի նախապատրաստումը` համաձայն «Սննդամթերքի հետ շփվող պոլիմերային և այդ հիմքով պլաստմասսայից պատրաստված արտադրանքի սանիտարահիգիենիկ հետազոտման մեթոդներ»-ի:
Օդի նմուշառումը կատարվում է թորած ջրով լցված Զայցևի կլանիչներով` սառեցման պայմաններում (սառույց-ջուր) կամ 2 կլանիչներով առանց սառեցման 0.3 լ/ր արագությամբ:
1/2 Սահմանային թույլատրելի խտություն (ՍԹԽ) որոշելու համար կլանիչներով անցկացնել 0.6 լ օդ պոլիմերային արտադրանքի նմուշներից:
Անալիզի պայմանները
Շլիֆով փորձանոթի մեջ լցնում են 1 մլ կլանիչ լուծույթ, ավելացնում 1մլ 0.02% 2.4 դինիտրոֆենիլհիդրազին (ԴՆՖՀ) երկու նորմալանոց աղաթթվի մեջ և 1 մլ տոլուոլ:
Փորձանոթի տարողությունը լավ թափահարում են ձեռքով (1 ժամվա ընթացքում 6 անգամ) կամ մեխանիկական թափահարիչով 30 րոպե:
Տոլուոլի շերտը անջատելուց հետո 2 մկլ ներարկում քրոմատագրիչ: Երկու հաջորդական կլանիչներով նմուշառում կատարելու դեպքում, յուրաքանչյուր կլանիչի պարունակությունը հետազոտվում է առանձին և արդյունքները գումարվում են:
Քրոմատագրման պայմանները
Ապակե աշտարակ՝ 1 մ երկարությամբ, 3 մմ տրամագծով:
Քրոմատոն N -AW (0.16-0.2) մմ 5 %-անոց SE-30
Գոլորշացուցչի ջերմաստիճանը՝ 2500C
Դետեկտորի ջերմաստիճանը՝ 2500C
Աշտարակի ջերմաստիճանը՝ 1700C
Կրող գազ-ազոտի հոսքի արագությունը` 60 մլ/րոպե
Ժապավենի արագությունը՝ 600 ր/ժամ
Ներարկվող նմուշի ծավալը՝ 2 մկլ:
2.4 ֆորմալդեհիդի դինիտրոֆենիլհիդրազոն պահման ժամանակը 5 րոպե 18 վրկ Էլեկտրոմետրի աշխատանքային սանդղակը պետք է լինի 10x10-12:
2.4 ֆորմալդեհիդի դինիտրոֆենիլհիդրազոն քանակական որոշումը կատարվում է բացարձակ ստուգաճշտման մեթոդով: Ստուգաճշտման կորը կառուցելու համար օգտվում են N 2 ստանդարտ լուծույթից, որից էլ պատրաստում են սանդղակը: Սանդղակավորման կորը կազմելու համար անհրաժեշտ են ոչ պակաս, քան 7 կետ:
|
| ||||||||
|
Ստանդարտների շարք | ||||||||
|
| ||||||||
|
1 |
2 |
3 |
4 |
5 |
6 |
7 | ||
|
| ||||||||
| 1. | Ֆորմալդեհիդ ֆենիլհիդրազոն մկգ/լ |
0.35 |
0.56 |
0.7 |
1.4 |
2.1 |
2.8 |
3.5 |
|
| ||||||||
| 2. | Ֆորմալդեհիդ մկգ/լ |
0.05 |
0.08 |
0.1 |
0.2 |
0.3 |
0.4 |
0.5 |
|
| ||||||||
Ստացված տվյալների հիման վրա կառուցում են նյութի քանակի և գագաթի բարձրության (մմ) կամ մակերեսի մեծության (մմ) գծային կախվածության կորը: Օդում ֆորմալդեհիդի խտությունը X մգ/մ3 հաշվում են հետևյալ բանաձևով.
C - ֆորմալդեհիդի քանակը ստացված ստուգաճշտման կորից, մկգ/մ3
V1 - փորձանմուշի ընդհանուր ծավալը՝ մլ-ով (տվյալ դեպքում 3 մլ)
V20 -անալիզի համար վերցրած օդի ծավալը՝ լիտրերով, բերված նորմալ պայմանների ըստ բանաձևի
Vt - անալիզի համար վերցրած օդի ծավալը՝ լիտրերով
P - բարոմետրի ճնշումը ԿՊա (101.33 ԿՊա= 760 մմ սնդիկի սյուն)
t - ջերմաստիճանը 0C նմուշահանման ժամանակ:
Ֆորմալդեհիդի կոնցենտրացիան ջրում կամ ջրային մզուկում մկգ/մլ կամ մգ/լ, որը գտնում են անմիջապես:
| Հավելված 1.12 |
ՔԻՄԻԱԿԱՆ ԳՈՐԾՈՆՆԵՐԻ ՀՍԿՈՂՈՒԹՅԱՆ ՄԵԹՈԴՆԵՐ
ՍՆՆԴԱՄԹԵՐՔԻ ՀԵՏ ՇՓՎՈՂ ՊՈԼԻՄԵՐԱՅԻՆ ԱՐՏԱԴՐԱՏԵՍԱԿՆԵՐ
Ջրում ֆորմալդեհիդի որոշման ռեակցիոն քրոմատագրաֆիական մեթոդ
1. Ընդհանուր մաս
Ֆորմալդեհիդը CH2O անգույն գազ է, սուր գրգռիչ հոտով: Մոլեկուլյար կշիռը 30,03, հալման ջերմաստիճանը` 920C, եռման ջերմաստիճանը` 190C: Լավ լուծվում է ջրում, էթանոլում և եթերում, հեշտ պոլիմերվում է:
2. Կիրառման ոլորտը
Սույն մեթոդական ցուցումը նախատեսում է ռեակցիոն-քրոմատոգրման մեթոդով` խմելու ջրի մեջ ֆորմալդեհիդի քանակական որոշմանը` 0.02-10.0 մգ/մ3 միջակայքում:
3. Մեթոդի սկզբունքը
Ֆորմալդեհիդի որոշումը կատարվում է ռեակցիոն գազային քրոմատոգրման մեթոդով: Մեթոդը հիմնված է թթվային միջավայրում ֆորմալդեհիդի և 2.4-դինիտրոֆենիլհիդրազինի ռեակցիայի վրա, որի հետևանքով առաջանում է ֆորմալդեհիդի 2.4-դինիտրոֆենիլհիդրազոն, որը և հետազոտվում է գազային քրոմատոգրաֆի բոցաիոնիզացիոն դետեկտորով:
Չափման ներքին սահմանը, հետազոտվող նմուշի ծավալում 0.02 մկգ է: Որոշմանը չեն խանգարում նավթային ածխաջրածինները, սպիրտները, ալդեհիդները, թթուները, ֆենոլները և ուրիշ օրգանական միացություններ:
Մեթոդը ապահովում է չափումների կատարումը չգերազանցելով սխալը ՞22 %-ից, երբ վստահության թույլատրելի հավանականությունը 0.95 է:
4. Չափման միջոցները, օժանդակ սարքերը, նյութերը և ռեակտիվները
4.1 Չափման միջոցները
1. Գազային քրոմատագրման` բոցաիոնիզացիոն դետեկտորով
2. Բարոմետր - աներոիդ
3. Անալիտիկ կշեռք ԹխԸ-200
4. Մասշտաբային քանոն
5. Չափող խոշորացույց
6. Կշռաքարեր
7. Միկրոներարկիչ
8. Լաբորատոր ապակյա ամանեղեն
9. Վայրկյանաչափ
10. Լաբորատոր սանդղակավոր ջերմաչափ:
4.2 Օժանդակ սարքեր
1. Քրոմատագրման աշտարակ 3 մ երկարությամբ` չժանգոտվող մետաղից և ներսի 3 մմ տրամագծով
2. Ջրային բաղնիք
3. Վակուումային ռոտորային գոլորշիացուցիչ
4. Վակուումային ջրաշիթային պոմպ
5. Թորման սարք
6. Ջրածնային ռեդուկտոր
7. Թթվածնային ռեդուկտոր:
4.3 Նյութեր
1. Կրող գազ- ազոտ
2. Խտացրած սեղմած ջրածին
3. Խտացրած սեղմած օդ
4. Անյուղ ապակե թել:
4.4 Ռեակտիվներ
1. Ացետոն
2. Թորած ջուր
3. Հեքսան
4. 2.4-դինիտրոֆենիլհիդրազին
5. Յոդ
6. HCl մ - 1.19 գ/սմ3
7. Լուծվող կրախմալ
8. Նատրիումի հիդրօքսիդ
9. Նատրիումի թիոսուլֆատ
10. Քրոմատոն N -AW-DMcs (0,1-0,125 մմ) 5% SE-30 հատիկների չափը 0.1-0.125 մմ
11. Տոլուոլ
12. Ֆորմալին, 40% ֆորմալդեհիդի լուծույթը ջրում:
5. Լուծույթների, քրոմատագրաֆիկ աշտարակի պատրաստումը
Աղաթթվի 10 %-անոց լուծույթ. 24.1 սմ3 1.19 խտությամբ աղաթթուն լցնում են 100 սմ3 չափիչ կոլբայի մեջ, բերել թորած ջրով նիշի և լավ թափահարել, պահել սառնարանում:
2 մոլյարանոց աղաթթվի լուծույթ. 73 սմ3 1.19 խտության աղաթթուն լցնել չափիչ կոլբայի մեջ 1000 սմ3 տարողությամբ, բերել նիշի թորած ջրով և լավ թափահարել: Պահպանման ժամկետը` 2 շաբաթ:
20%-անոց նատրիումի հիդրօքսիդ. 20 գր NaOH լցնում են 100 սմ3-ոց չափիչ գլանի մեջ, թորած ջրով բերում նիշի, թափահարում: Պահպանման ժամկետը - 30 օր:
0.1 մոլյարանոց յոդի լուծույթը պատրաստում են ֆիքսանալով:
0.1 մոլյարանոց նատրիումի թիոսուլֆատի լուծույթը - պատրաստում են ֆիքսանալով:
Օսլայի 0.5 % լուծույթ. 0.5 գ օսլան լցնում են 100 սմ3 չափիչ կոլբայի մեջ, թորած ջրով հասցնում նիշի և խառնում: Պատրաստել անալիզի օրը:
Ֆորմալդեհիդի ելակետային 1 % լուծույթը պատրաստում են ֆորմալինից.
26 սմ3 ֆորմալինը լցնում են 1000 սմ3 տարողությամբ չափիչ գլանի մեջ թորած ջրով բերում նիշի և լավ խառնում: Ֆորմալդեհիդի ճշգրիտ պարունակությունը լուծույթում որոշում են յոդոմետրիկ եղանակով: Ֆորմալդեհիդի 10 սմ3 1% լուծույթին ավելացնում են 10 սմ3 թորած ջուր, 10սմ3 0.1 մոլյարանոց յոդի լուծույթ և կաթիլներով 20 % NaOH-ի լուծույթ, մինչև կայուն բաց դեղնագույն երանգի առաջանալը: Կոլբան փակում են խցանով ու պահում 10 րոպե, որից հետո թթվեցնում են 5 սմ3 10 % աղաթթվի լուծույթով 10 րոպե անց ավելացնում օսլայի 0.5 % լուծույթի մի քանի կաթիլ, հետո տիտրում 0.1 Մ Na-ի թիոսուլֆատի լուծույթով:
Ֆորմալդեհիդի կոնցենտրացիան ելակետային լուծույթում հաշվարկում են հետևյալ բանաձևով.
C = (a-b) K
որտեղ a-ն` N a-ի թիոսուլֆատի` 0.1 մոլյարանոց լուծույթի ծավալն է, որը անհրաժեշտ է եղել ստուգիչ փորձի տիտրման ժամանակ
b - ն` նմուշի տիտրման ժամանակ 0.1 մոլյարանոց Na-ի թիոսուլֆատի ծավալն է
K-ն` գործակից է, որը հավասար է 1.5 մգ/սմ3:
Ֆորմալդեհիդի լուծույթը պահուն են մուգ գույնի անոթի մեջ` 14 օր:
Ֆորմալդեհիդի (C=10 մգ/դմ3) աշխատանքային լուծույթ N 1, պատրաստում են թորած ջրում ելակետային լուծույթից: Պահպանման ժամկետը ոչ ավելի քան 7 օր:
Ֆորմալդեհիդի աշխատանքային լուծույթ (C=0.1մգ/դմ3), N 2. 1,0 սմ3 N 1 ֆորմալդեհիդի (C=10 մգ/դմ3) աշխատանքային լուծույթը լցնում են 100սմ3 չափիչ գլանի մեջ, թորած ջրով բերում նիշի և լավ խառնում: Խառնուրդը պատրաստում են անալիզի օրը:
0.02 % 2.4-դինիտրոֆենիլհիդրազին լուծույթ 2 Մ աղաթթվի մեջ. 50 մգ ռեակտիվը լցնում են չափիչ գլանի մեջ 250 սմ3 տարողությամբ, բերում նիշի 2 Մ աղաթթվով և լավ խառնում: Լուծույթի պահպանման ժամկետը 30 օր է:
Քրոմատագրիչի աշտարակի պատրաստումը
Մինչև աշտարակի օգտագործումը քրոմատագրման աշտարակը լվանում են թորած ջրով, այնուհետև հեքսանով և չորացնում իներտ գազով: Քրոմատոգրման աշտարակի լիցքավորումը կատարում են վակուումային ջրաշիթ պոմպով: Աշտարակի ծայրերը փակվում են ապակյա բամբակով և մի ծայրը մինչև դետեկտորին միացնելը` օդափոխում են կրող - գազով (ազոտով) 40 սմ3 րոպեում, 2000C-ում 12 ժամվա ընթացքում:
Սառեցնելուց հետո, աշտարակը միացնում են դետեկտորին, գծում են զրոյական գիծը աշխատանքային ռեժիմում: Զրոյական գծի դրեյֆի բացակայության դեպքում աշտարակը պատրաստ է աշխատանքի:
6. Աստիճանավորման բնութագրի կառուցումը
Աստիճանավորման բնութագիրը ֆորմալդեհիդի համար կառուցում են բացարձակ աստիճանավորման մեթոդով, որը արտահայտում է ֆորմալդեհիդի 2,4 դինիտրոֆենիլհիդրազոնի ֆորմալդեհիդի քրոմատագրի գագաթի բարձրության կախվածությունը ֆորմալդեհիդի պարունակությունից: Աստիճանավորման սանդղակը կառուցվում է աստիճանավորման լուծույթների շարքի 5 տարբերակով, իսկ յուրաքանչյուր տարբերակ պետք է բաղկացած լինի 6 լուծույթներից:
Լուծույթները պատրաստվում են 10 սմ3 տարողության սրվակներում: Յուրաքանչյուր սրվակի մեջ լցնում են 1 սմ3 աստիճանավորման լուծույթ, համաձայն աղյուսակ 1-ի, յուրաքանչյուրին ավելացնում 1 սմ3 0,02%-ոց 2,4 դինիտրոֆենիլհիդրազինի լուծույթ 2 մոլյարանոց աղաթթվի մեջ և 1 սմ3 տոլուոլ: Ստացված խառնուրդը պարբերաբար թափահարում են 30 րոպեի ընթացքում և ծավալը թորած ջրով հասցնում 1,0 սմ3-ի, բացի N 6 լուծույթի:
Աղյուսակ 1
| Լուծույթի համարը |
1 |
2 |
3 |
4 |
5 |
6 |
| Ֆորմալդեհիդի N 1 աշխատանքային լուծույթի ծավալը (C=10 մգ/դմ3), սմ3 |
0 |
0 |
0 |
0 |
0,1 |
10 |
|
Ֆորմալդեհիդի N 2 աշխատանքային լուծույթի ծավալը (C=0,1 մգ/դմ3), սմ3 |
0 |
0,2 |
0,5 |
1,0 |
0 |
0 |
| Ֆորմալդեհիդի պարունակությունը մկգ |
0 |
0,02 |
0,05 |
0,1 |
1,0 |
10 |
Այնուհետև լուծույթները սրվակներից տեղափոխում են 10 սմ3 տարողության սրվակների մեջ և հեղուկների շերտավորվելուց հետո ստորին ջրային շերտը պիպետով վերցնում և թափում են: Մնացածը (տոլուոլի շերտը) գոլորշիացնում են 35-400C-ում: Այնուհետև դեղնակարմիր նստվածքին ավելացնում են 50 մմ3 տոլուոլ, խառնում մինչև նստվածքի լուծվելը, ստացված լուծույթից 2 մմ3 քրոմատագրում են հետևյալ պայմաններում.
Աշտարակի խցիկի ջերմաստիճանը - 2000C
Գոլորշացուցիչի ջերմաստիճանը - 2500C
Դետեկտրի ջերմաստիճանը - 2500C
Կրող գազի ծախսը (N2)` 25 սմ3/ր
Ջրածնի ծախսը` 25 սմ3/ր
Օդի ծախսը` 250 սմ3/ր
Դիագրամայի ժապավենի արագությունը` 200 մմ/ժ
Ֆորմալդեհիդի 2.4-դինիտրոֆենիլհիդրազոնի պահման ժամանակը` 2ր 5 վրկ
Տոլուոլի պահման ժամանակը - 35 վրկ:
Ստացված քրոմատագրի վրա չափում են հիդրազոնների գագաթի բարձրությունը և ստանդարտ լուծույթների շարքի 5 անդամների միջին արդյունքով կառուցվում է աստիճանավորման գրաֆիկի բնութագիրը:
7. Նմուշառում, նմուշի պատրաստում
Նմուշի պատրաստումը ըստ հավելված 1-ի:
Օդի նմուշառումը կատարվում է մուգ ապակյա շշում: Նմուշի պահպանման ժամկետը` 24 ժամ:
8. Փորձի ընթացքը
փորձանմուշը լցնում են 10 սմ3 տարողությամբ սրվակի մեջ և փորձարկումը շարունակում ինչպես նկարագրված է աստիճանավորման բնութագրի կառուցման բաժնում:
9. Չափման արդյունքների հաշվարկը
Ֆորմալդեհիդի պարունակությունը ջրում` մգ/դմ3 հաշվում են հետևյալ բանաձևով.
որտեղ, m-ը` ֆորմալդեհիդի պարունակությունը նմուշում, ըստ աստիճանավորման սանդղակի, մկգ-ով V-ն` ջրի նմուշի ծավալն է, վերցված անալիզի համար, սմ3-ով:
| Հավելված 1.13 |
ՔԻՄԻԱԿԱՆ ԳՈՐԾՈՆՆԵՐԻ ՀՍԿՈՂՈՒԹՅԱՆ ՄԵԹՈԴՆԵՐ
ՍՆՆԴԱՄԹԵՐՔԻ ՀԵՏ ՇՓՎՈՂ ՊՈԼԻՄԵՐԱՅԻՆ ԱՐՏԱԴՐԱՏԵՍԱԿՆԵՐ
Դիբութիլֆտալատի, դիօկտիլֆտալատի և դիբութիլսեբացինատի
որոշման մեթոդներ
1. Ֆոտոէլեկտրագունաչափման մեթոդ
1.1. ԸՆԴՀԱՆՈՒՐ ՄԱՍ
1. Դիբութիլֆտալատ -ի (այսուհետ` ԴԲՖ)
Յուղային հեղուկ է, եռման ջերմաստիճանը —3400 C, խտությունը` 1.045 գր/սմ3 200C դեպքում:
Հալման ջերմաստիճանը 350C, ջրում լուծվում է 0.04 % 250C-ում, խառնվում է սպիրտի հետ:
2. Դիբութիլսեբացինատ (այսուհետ` ԴԲՍ)
Եթերային հոտով, թույլ գունավորված հեղուկ է եռման ջերմաստիճանը 344-3450C:
Հալման ջերմաստիճանը -80C, խտությունը 0,935 գր/ սմ3 250C:
Ջրում լուծվում է 0.1%
Լուծվում է սպիրտում և եթերում:
3. Դիօկտիլֆտալատ-(այսուհետ` ԴՕՖ): Թափանցիկ, անգույն, յուղային հեղուկ, թույլ հոտով, եռման ջերմաստիճանը 3400 C: Հալման ջերմաստիճանը - 400C: Ջրում չի լուծվում:
1.2. ԿԻՐԱՌՄԱՆ ՈԼՈՐՏԸ
Մեթոդը նախատեսվում է սննդամթերքի հետ շփման մեջ գտնվող պոլիմերային արտադրանքի սանիտարահիգիենիկ հետազոտությունների համար:
1.3. ՄԵԹՈԴԻ ՍԿԶԲՈՒՆՔԸ
Մեթոդը հիմնված է ծծմբական թթվի ազդեցությամբ բարդ եթերների հիդրոլիզից, ստացված սպիրտների և արոմատիկ ալդեհիդների փոխազդեցության արդյունքում ստացվող գունավորված միացությունների որոշման վրա: Որոշմանը խանգարում են բարձրամոլեկուլյար սպիրտները և եթերները: Ստիրոլը չի խանգարում որոշմանը: Մեթոդի զգայունությունը 0.05մգ/դմ3:
1.4. ՆՅՈՒԹԵՐԸ ԵՎ ԼՈՒԾՈՒՅԹՆԵՐԸ
1. Քլորոֆորմ, որը չպետք է գունավորի ծծմբական թթուն բաժանիչ ձագարում թափահարելիս
2. Ծծմբական թթու (խտ. 1.84)
3. Համապատասխան պլաստիֆիկատորի ստանդարտ լուծույթ քլորոֆորմի մեջ, 0.1 և 0.01 մգ/ դմ3
4. Մ-Նիտրոբենզալդեհիդ կամ Պ- դիմեթիլամինոբենզալդեհիդ/, 1% -ոց լուծույթ ծծմբական թթվի մեջ:
1.5. ԱՄԱՆԵՂԵՆ ԵՎ ՍԱՐՔԱՎՈՐՈՒՄ
1. Կաթոցիկներ
2. Ջրային բաղնիք
3. Բաժանիչ ձագարներ
4. Ֆոտոէլեկտրագունաչափ կամ այլ սարք, որը կապահովի 453ՆՄ ալիքի երկարություն:
Օգտագործվող չափման միջոցները, սարքավորումները, քիմիական նյութերը իրենց չափագրական բնութագրով պետք է ապահովեն մեթոդի ճշտության աստիճանը:
1.6. ԱՍՏԻՃԱՆԱՎՈՐՄԱՆ ՍԱՆԴՂԱԿԻ ԿԱՌՈՒՑՈՒՄԸ
Աստիճանավորման սանդղակի կառուցման համար պատրաստվում է ստանդարտ լուծույթների շարք հիմնական նյութի հետևյալ պարունակությամբ` 0.005, 0.01, 0.03, 0.05, 0.07, 0.10 մգ կախված լուծամզուքում տվյալ պլաստիֆիկատորի քանակությունից: Պլաստիֆիկատորի քլորոֆորմային ստանդարտ լուծույթի որոշակի քանակը լցնել բաժանիչ ձագարի մեջ 100մլ նմանակող լուծույթի հետ և պարունակությունը թափահարել 1 րոպե, հետո ավելացնել 10 մլ քլորոֆոր և դարձյալ թափահարել 1 րոպե: Թողնել խառնուրդը շերտավորվի և ներքևի շերտը դատարկել փորձանոթի մեջ: Գործողությունը կատարում են ինչպես լուծույթի պատրաստման ժամանակ (տես որոշման ընթացքը): Հետո չափել գունավորված լուծույթների օպտիկական խտությունները կապույտ լուսաֆիլտրով N 3 / l =453մմկ/ և կառուցել D= f / c/ գրաֆիկը, որտեղ c-ն պլաստիֆիկատորի խտայնությունն է` մգ/լ:
1.7. ՓՈՐՁԻ ԸՆԹԱՑՔԸ
Փորձանմուշի նախապատրաստումը համաձայն «Սննդամթերքի հետ շփվող պոլիմերային և այդ հիմքով պլաստմասսայե արտադրանքի սանիտարահիգիենիկ հետազոտման մեթոդներ»-ի: Բաժանիչ ձագարի մեջ 100մլ լուծամզուքին ավելացնել 10 մլ քլորոֆորմ, թափահարել 1 րոպե, խառնուրդը թողնել շերտավորվի և ներքևի շերտը /քլորոֆորմային/ դատարկել փորձանոթի մեջ: Հետո քլորոֆորմը գոլորշիացնել ջրային բաղնիքի վրա մինչև չորանալը, ջերմաստիճանը 75-800C: Սառեցնելուց հետո ավելացնել 2.5 մլ խիտ ծծմբական թթու և 0.5 մլ 1%-ոց Պ- դիմեթիլամինոբենզալդեհիդ կամ Մ -նիտրոբենզալդեհիդ/: Փորձանոթի պարունակությունը տաքացնել եռացող ջրային բաղնիքի վրա 15 րոպե: Բարդ եթերների առկայության դեպքում լուծույթները ստանում են նարնջակարմրավուն և կարմրավարդագույն կամ կարմրադարչնագույն գույներ /կախված պլաստիֆիկատորի նմանակող միջավայրի տեսակից:
Միաժամանակ նմուշի հետ դրվում է ստուգիչ փորձ /ռեակտիվների ստուգում/: Գունավորված լուծույթների օպտիկական խտությունը ստուգիչ լուծույթի նկատմամբ չափում են ֆոտոէլեկտրագունաչափիչով կոլորիմետրով կապույտ լուսաֆիլտրով N 3 (l =453մմկ) L=30մմ կյուվետով;
1.8. ԱՐԴՅՈՒՆՔՆԵՐԻ ՄՇԱԿՈՒՄ
Պլաստիֆիկատորի խտությունը գտնում են աստիճանավորման գրաֆիկով D= f /c/:
2. Դիբութիլսեբացինատի, դիբութիլ և դիօկտիլֆտալատի որոշումը յուղային լուծամզուքներում, գազային քրոմատագրման մեթոդով
2.1. ԿԻՐԱՌՄԱՆ ՈԼՈՐՏԸ
Սույն հանձնարարվող մեթոդը նախատեսվում է կիրառել սննդամթերքի հետ շփվող պոլիմերային արտադրանքի լուծամզուքների սանիտարաքիմիական հետազոտությունների ժամանակ:
2.2. ՄԵԹՈԴԻ ՍԿԶԲՈՒՆՔԸ
Մեթոդը հնարավորություն է տալիս առանց նախնական մշակման պլաստիֆիկատորները որոշել քրոմատագրման եղանակով: Մեթոդի զգայունությունը 1 լ յուղային լուծամզվածքում 5-10 մգ է, կախված պլաստիֆիկատորի ֆիզիկաքիմիական հատկություններից:
2.3. ՆՅՈՒԹԵՐ ԵՎ ԼՈՒԾՈՒՅԹՆԵՐ
1. Հեղուկ ֆազ. (ապիեզոն, սիլիկոնային կաուչուկներ` SE - 30 և E- 52, ռեզոֆլեկս LAC 2R -446)
2. Պինդ կրող (ցելիտ C -22, ցելիտ -545, քրոմոսորբ W, R, G)
3. Գազ կրող (ազոտ սեղմված)
4. Սեղմած օդ
5. Ջրածին սեղմած
6. Նիտրոմեթան
7. Ներքին ստանդարտներ՝ դիբութիլֆտալատ (այսուհետ` ԴԲՖ), դիբութիլսեբացինատ (այսուհետ` ԴԲՍ), սեբացինաթթվի դիամինային եթեր (այսուհետ` ԴԱՍ):
2.4. ԱՄԱՆԵՂԵՆ ԵՎ ՍԱՐՔԱՎՈՐՈՒՄՆԵՐ
1. Գազային քրոմատոգրաֆ` բոց իոնիզացիոն դետեկտորով.
2. Բաժանիչ ձագարներ
3. Պիպետներ
4. Միկրոներարկիչ:
2.5. ԱՍՏԻՃԱՆԱՎՈՐՄԱՆ ԳՐԱՖԻԿԻ ԿԱՌՈՒՑՈՒՄԸ
Պլաստիֆիկատորի քանակական որոշումը կատարվում է ներքին ստանդարտներով: Որպես ստանդարտ նյութ օգտագործվում են ԴԲՍ–ի համար ԴԲՖ, - ԴԲՖ-ի համար՝ ԴԲՍ, դիօկտիլֆտալատի (ԴՕՖ) համար՝ ԴԱՍ:
Աստիճանավորման գրաֆիկների կառուցման համար պատրաստվում են պլաստիֆիկատորների և ստանդարտ նյութերի խառնուրդներ նիտրոմեթանի մեջ՝ յուրաքանչյուր կոմպոնենտի տարբեր քանակներով: Պլաստիֆիկատորի և ստանդարտի հարաբերակցությունը ընտրվում է այնպես, որպեսզի նրանց պիկերի մակերեսները լինեն համարյա միանման: Աբցիսների առանցքի վրա տեղադրվում են պլաստիֆիկատորի հայտնի քանակները, իսկ օրդինատների առանցքի վրա` նրա քանակները, գտնված ներքին ստանդարտի համեմատ, հետևյալ բանաձևով`
որտեղ,
QX — պլաստիֆիկատորի քանակը, գտնված ներքին ստանդարտի համեմատ (մգ-ով):
SX — պլաստիֆիկատորի պիկի մակերեսը (մմ2):
QC — ավելացված ներքին ստանդարտի քանակը, (մգ):
SC — ներքին ստանդարտի պիկի մակերեսը (մմ2):
Պիկի մակերեսը - պիկի բարձրության 1/2 - ի և լայնության արտադրյալն է:
2.6. ՓՈՐՁԻ ԸՆԹԱՑՔԸ
Փորձանմուշի նախապատրաստումը համաձայն «Սննդամթերքի հետ շփվող պոլիմերային և այդ հիմքով պլաստմասսայե արտադրանքի սանիտարահիգիենիկ հետազոտման մեթոդներ»-ի:
Բաժանիչ ձագարի մեջ լցնել 10-20 մլ հետազոտվող յուղային լուծամզուք, ավելացնել 10 մլ նիտրոմեթան և զգույշ /50-60 անգամ/ շուռ ու մուռ տալ ձագարը՝ պլաստիֆիկատորը լուծահանելու համար: Լուծահանումը կատարվում է 5-7 անգամ: Ստացված լուծամզուքները խտացվում են վակուումի տակ մինչև 1 մլ, կոնաձև թորման կոլբայի մեջ, հետո տեղափոխում են խցանով փորձանոթի մեջ: Որպեսզի որոշվի պլաստիֆիկատորի մոտավոր քանակությունը լուծամզվածքի մեջ, միկրոներարկիչի օգնությամբ քաշել 5 մկլ նմուշ, քրոմատագրել և կատարել որոշում:
Հաշվել ստացված պիկի մակերեսը և աստիճանավորման գրաֆիկի վրա որոշել պլաստիֆիկատորի մոտավոր քանակը: Ստացված արդյունքներից ելնելով լուծամզուքին ավելացվում է ներքին ստանդարտի այնպիսի քանակություն, որպեսզի եղած և ավելացված նյութերի պիկերի մակերեսները չափերով լինեն մոտ և նորից քրոմատագրել: Մակերեսների մեծությամբ և ավելացված ստանդարտի քանակությամբ հաշվել պլաստիֆիկատորի հարաբերական քանակությունը, այնուհետև սանդղակային գրաֆիկի միջոցով գտնել պլաստիֆիկատորի փաստացի քանակը հետազոտվող լուծամզուքի մեջ:
Պլաստիֆիկատորների հետազոտության համար առաջարկվում է օգտագործել կարճ աշտարակ չժանգոտվող պողպատից՝ 0.5-1մ երկարությամբ, ջրային ֆազի քանակը պինդ կրողի 5-10% է: Աշխատանքային ջերմաստիճանը 230-2400C: Գազ կրողի ծախսը 50մլ/րոպ., ջրածնինը` 50մլ/րոպ., օդը- 850մլ/ր:
| Հավելված 1.14 |
ՔԻՄԻԱԿԱՆ ԳՈՐԾՈՆՆԵՐԻ ՀՍԿՈՂՈՒԹՅԱՆ ՄԵԹՈԴՆԵՐ
ՍՆՆԴԱՄԹԵՐՔԻ ՀԵՏ ՇՓՎՈՂ ՊՈԼԻՄԵՐԱՅԻՆ ԱՐՏԱԴՐԱՏԵՍԱԿՆԵՐ
Պոլիվինիլքլորիդում, նրա հիմքի վրա ստացված պոլիմերային նյութերում, սննդամթերք նմանակող մոդելային միջավայրերում և սննդամթերքի մեջ վինիլքլորիդի որոշման մեթոդներ
1. Ընդհանուր մաս
Վինիլքլորիդը (այսուհետ` ՎՔ) CH2 = CHCL մոլ. կշիռը 62.5, անգույն գազ է:
Եռման ջերմաստիճանը` -13.80C
Բեկման ցուցիչը 1.4066
Լավ լուծվում է քլորոֆորմի, ածխածնի քառաքլորիդի, բենզոլի դիքլորէթանի, էթիլ եթերի, էթիլ սպիրտի մեջ:
Ջրում քիչ լուծելի է (0.1% կշռ. 260C):
3.7-26.6% ծավալային խտությամբ օդի հետ խառնելիս առաջանում են պայթունավտանգ խառնուրդներ:
2. Կիրառման ոլորտը
Հանձնարարվող մեթոդը նախատեսվում է կիրառել սննդամթերքի հետ շփվող պոլիմերային արտադրանքի սանիտարաքիմիական հետազոտությունների ժամանակ:
3. Մեթոդի սկզբունքը
Մեթոդի հիմքում ընկած է քրոմատագրման եղանակով խեժերում, պոլիմերային նյութերում, նմանակող մոդելային միջավայրերում, սննդամթերքում վինիլքլորիդի որոշումը: Հետազոտվող օբյեկտը տաքացվում է մինչև պինդ (հեղուկ) նյութ-գոլորշի, համակարգում հավասարակշռության հաստատումը և գոլորշիներ-օդ խառնուրդը քրոմատագրվում է:
Քրոմատագրման մեթոդը և պայմանները հնարավորություն են տալիս վինիլքլորիդի հետ միաժամանակ որոշել նաև վինիլդենքլորիդը (այսուհետ` ՎԴՔ)
4. Նյութերը և լուծույթները
1. Վինիլքլորիդ
2. Վինիլդենքլորիդ
3. Հեղուկ ֆազ-ապիեզոն a, պոլիէթիլենգլիկոլ-1500, 4000 կարբովաքս-20M
4. Պինդ կրող-քրոմասորբ W(60-80), կամ խեզասորբ, կամ քրոմատոն:
5. Ազոտ
6. Ջրածին
7. Սեղմած օդ:
5. Ապակեղեն և սարքավորումներ
1. Գազային քրոմատագրաֆ, բոցաիոնիզացնող դետեկտորով, զգայունությունը ոչ պակաս, քան 2.5 x 10-8 մգ/վրկ ըստ պրոպանի
2. Ապակյա աշտարակ 3մ երկարությամբ, ներքին տրամագիծը` 0.4սմ
3. Ջերմակարգավորվող պահարան, որը ապահովում է ջերմաստիճանը մինչև 200 + 20C
4. Ապակյա տարողություններ 50 և 500 մլ-ոց պտուտակավոր կափարիչով
5. Միկրոներարկիչներ
6. Բժշկական ներարկիչ 1սմ3:
Օգտագործվող չափման միջոցները, սարքավորումները, քիմիական նյութերը իրենց չափագրական բնութագրով պետք է ապահովեն մեթոդի ճշտության աստիճանը:
6. Հետազոտության կատարման պայմանները
Կրող գազ ազոտ,
կրող գազի արագությունը աշտարակից դուրս գալուց 30մլ/ր,
աշտարակի ջերմաստիճանը - 800C,
գոլորշացուցչի ջերմաստիճանը - 1200C,
ջրածնի արագությունը - 30մլ/ր,
օդի արագությունը - 300մլ/ր,
գազային նմուշի ծավալը 1սմ3:
Անալիզի ընթացքում վերցված բոլոր կշռվածքները կշռվում են 0.0002գ-ի ճշտությամբ:
7. Տաքացված նմուշի գոլորշի-օդային ֆազի հետազոտությունը
Նմուշի պատրաստումը` նմուշը կտրատում են մանր կտորների և տեղադրում 50մլ-ոց տարողության մեջ: Տարողությունը հերմետիկորեն փակում են և պահում ջերմակարգավորիչ պահարանի մեջ: Նմուշի տաքացումը ըստ N 1 աղյուսակի անհրաժեշտ է մոնոմերի պինդ և գազային ֆազերի միջև հավասարակշռության հաստատումը արագացնելու համար: Ջերմային մշակումից հետո նմուշով տարողությունը հանում են թերմոպահարանից, փաթաթում ջերմամեկուսիչ նյութով և վերցնում գոլորշի-օդային խառնուրդից 1սմ3 գազային ներարկիչով և քրոմատագրում: Տարողությունից նմուշահանումը կատարվում է միայն մեկ անգամ, հետազոտելով ոչ պակաս, քան 2 զուգահեռ նմուշներ: Յուրաքանչյուր նմուշի հետազոտությունից հետո ներարկիչը մաքրվում է սեղմած օդով կամ իներտ գազով: Վինիլքլորիդի և վինիլիդեն-քլորիդի քանակական որոշման համար, մոնոմեր-օդ խառնուրդի ստանդարտներով կատարվում է աստիճանավորում:
8. Ստուգաճշտման խառնուրդների պատրաստումը
Գազանման վինիլքլորիդի աստիճանավորման ստուգաճշտման դեպքում մոնոմերը վերցվում է սրվակի գազային տարածքից, որը լցված է հեղուկ մոնոմերով: Սրվակի կափարիչը պետք է լինի ռետինե թաղանթից: Նմուշառումը կատարվում է ներարկիչի ասեղով սրվակի կափարիչը ծակելով: Ստուգաճշտման խառնուրդների պատրաստման համար 5 հատ տարողությունների մեջ (500մլ) միկրոներարկիչի օգնությամբ լցնում են 2, 4, 6, 8 և 10մկլ գազանման մոնոմեր վերցված սրվակից: Աստիճանավորման խառնուրդները տաքացնել ջերմակարգավորիչ պահարանում 1000C ջերմաստիճանում, հետո վերցնում են բժշկական ներարկիչով 1սմ3 գազ-օդ խառնուրդ յուրաքանչյուր տարողությունից, խտությունների աճման կարգով և քրոմատագրում: Ստուգաճշտման սանդղակ կառուցել հետևյալ կոորդինատներով`
Cմ- մոնոմերի խտությունը վերցված ստուգաճշտման համար օգտագործվող տարողությունից, մգ/մլ (սմ3) և S-քրոմատագրման գագաթի մակերեսը, մմ2
Cմ - մոնոմերի կոնցենտրացիան է քրոմատագրված նմուշի մեջ, մգ/սմ3
Pմթ - մթնոլորտային ճնշումը, մմ սնդ. սյուն.
M - (ՎՔ) մոլեկուլային մասսան
|
R - գազային հաստատուն |
62400 |
մլ մմ սնդ. սյ. |
ուղղ. |
T - նմուշառման ջերմաստիճանը, K
VԱ - ստուգաճշտման համար օգտագործված տարողության ծավալը, մլ
Vծ - նմուշի ծավալը, մլ:
Քանակական հաշվարկը կատարվում է ըստ ստուգաճշտման կորի
Cմ - մոնոմերի խտությունն է քրոմատագրված նմուշի մեջ, գտնված ստուգաճշտման կորից մգ/սմ3
VԳՕԾ- գոլորշի-օդային տարածության ծավալն է (տարողության ծավալից հանել նմուշի զբաղեցրած ծավալը տարողության մեջ), սմ3
m - նմուշի կշռվածքը, գ:
Հետազոտվող նյութերի հայտնաբերման սահմանը 0.001 մգ/կգ պոլիմերում, նվազագույն գրանցվող չափը 0.0002 մկգ 1սմ3 գոլորշի-օդային խառնուրդում:
9. Վինիլքլորիդի որոշումը պոլիվինիլքլորիդային (այսուհետ` ՊՎՔ) հիմքով
նյութերի սպիրտային, յուղային և գազային լուծամզուքներում
9.1. Նմուշի պատրաստում
10 մլ լուծամզվածքը տեղավորում են 50 մլ-ոց հերմետիկ փակվող տարողության մեջ, տաքացնում (ջերմաստիճանը և ժամանակ ըստ աղյուսակ 1-ի), ներարկիչով գոլորշի-օդային խառնուրդից վերցնում 1սմ3 նմուշ և քրոմատագրում: Տարողությունից նմուշառումը կատարվում է միայն 1 անգամ, և հետազոտվում է ոչ պակաս 2 զուգահեռ նմուշ: Պոլիվինիլքլորիդային (այսուհետ` թաղանթի կամ տարողության հետ շփման մեջ գտնվող պինդ նյութի հետազոտությունը կատարվում է նույն ձևով: Վինիլքլորիդի և վինիլիդենքլորիդի քանակական հաշվարկը կատարվում է մոնոմերի լուծույթը համապատասխան միջավայրում ստուգաճշտում:
Դրա համար 500 մլ-ոց տարողության մեջ լցնում են այնքան հեղուկ, որպեսզի տարողությունը ամբողջությամբ լցվի (լցվող հեղուկի ծավալը չափել): Ճշտորեն կշռված կշռվածքով սրվակը (0.1-0.2գ), վինիլքլորիդով, սառեցնում են սառեցնող խառնուրդով (օրինակ չոր սառույց և ացետոն, կամ էթիլ սպիրտ), հետո ջարդել սրվակի ծայրը և արագ մտցնում հեղուկով տարողության մեջ: Տարողությունը հերմետիկ փակել: Հեղուկի մեջ վինիլ-քլորիդի արագ և լրիվ տարածման համար օգտագործվում է մագնիսական խառնիչ: Մոնոմերի այս ձևով պատրաստված լուծույթը պահել սառնարանում:
0.2-0.5 մգ/մլ վինիլքլորիդ պարունակող հիմնական լուծույթից պատրաստում են ստուգաճշտման 5 լուծույթներ: Միկրոներարկիչի օգնությամբ ծակելով խցանի միջադիրը, քաշել 2-ից մինչև 10մկլ վինիլ-քլորիդի լուծույթ, լցնում 50 մլ-ոց ապակյա տարայի մեջ:
Նախապես նշված տարողությունների մեջ լցնում են 10մլ հետազոտվող միջավայր, որը շփման մեջ չի գտնվել ՊՎՔ-ի հետ, ամուր փակում խցանը և խցանի միջադիրի միջով, ներարկիչի օգնությամբ լցնում հիմնական լուծույթից կոնցենտրացիայի աճման կարգով:
Վինիլքլորիդի և վինիլիդեն-քլորի միաժամանակյա որոշման դեպքում, յուրաքանչյուր ստուգաճշտված լուծույթին միկրոներարկիչի օգնությամբ ավելացնում են վինիլդենքլորիդ (այսուհետ` ՎԴՔ) 0.2-1.0 մկլ լուծույթ: Ստուգաճշտված լուծույթներով անոթները պահում են 1000C-ում 15-20 րոպե: Հետո վերցնում գազային նմուշ և քրոմատագրում:
Վինիլքլորիդի, վինիլդենքլորիդի խտությունները հաշվում են հետևյալ բանաձևերով`
Cվ.ք- վինիլքլորիդի խտությունը մգ/լ
Mվք - մոնոմերի զանգվածը ամպուլայի մեջ, մգ
Vմ - մոնոմերի լուծույթի ծավալն է, որը լցված է ստուգաճշտման համար օգտագործվող տարողության մեջ, մլ
Vհլծ- մոնոմերի հիմնական լուծույթի ծավալն է, մլ
Vն -նմանակող միջավայրի ծավալը, մտցված ստուգաճշտման համար օգտագործվող տարողության մեջ, լ:
Վինիլդենքլորիդի (CՎԴՔ) կոնցենտրացիան աստիճանավորման լուծույթի մեջ հաշվել հետևյալ բանաձևով`
Cվդք- վինիլդենքլորիդի խտությունը մգ/լ
VՎԴՔ - հեղուկ ՎԴՔ-ի ծավալն է, լցված ստուգաճշտման համար օգտագործվող տարողության մեջ, մլ
d - ՎԴՔ-ի խտությունն է` 1.14 գ/սմ3
Vն - նմանակող միջավայրի ծավալը, լցված ստուգաճշտման համար օգտագործվող տարողության մեջ, լ:
Յուրաքանչյուր մոնոմերի համար կառուցել ստուգաճշտման կոր հետևյալ կոօրդինատներով` S(h) - գագթի մակերեսն է մմ2, կամ բարձրությունը մմ և կոնցենտրացիան CՎՔ(ՎԴՔ) - մգ/լ:
Քրոմատագրի գագաթի մակերեսը հաշվում են բազմապատկելով գագաթի բարձրության կեսը նրա լայնության, իսկ նեղ գագաթի դեպքում լայնությունը գագաթի բարձրության հետ:
Վինիլքլորիդի և վինիլիդենքլորի կոնցենտրացիաները լուծամզուքում որոշում են ստուգաճշտման կորից, քանի որ ստուգաճշտումը և հետազոտությունը կատարվում են նույն պայմաններում:
Մոնոմերի կոնցենտրացիան հաշվելիս անհրաժեշտ է հաշվի առնել քրոմատագրի գրառման մասշտաբը:
Որպես վերջնական արդյունք վերցնում են 2 կամ ավելի զուգահեռ որոշումների միջինը, որոնց միջև թույլատրելի տարբերությունը պետք է (P=0.95) չգերազանցի 10%:
Հետազոտվող նյութերի հայտնաբերման ստորին սահմանը կազմում է բուսական յուղի և ջուր պարունակող միջավայրերի համար 0.001 մգ/լ, սպիրտ պարունակողների համար 0.01 մգ/լ:
Աղյուսակ 1
|
N/N |
Հետազոտվող օբյեկտ |
Նմուշի զանգվածը, |
Տաքացման |
Տաքացման ժամանակ, րոպե |
Քրոմատագրման պայմանները |
|
1. |
Խեժ, ՊՎՔ-ի հիման վրա |
1 |
120 |
60 |
գազային քրոմատագրիչ ապակյա աշտարակ d= 4 մմ Լ= 3մ |
|
2. |
Թաղանթ, տարա, 100 մկմ-ից պակաս հաստությամբ |
3 |
120 |
60 |
ապիեզոնը (10%) նստեցված քրոմոսորբի վրա |
|
3. |
Թաղանթ, տարա, 100 մկմ-ից ավելի հաստությամբ |
1 |
120 |
60 |
ջրածնի արագությունը 30 մլ/ր կրող գազի (ազոտ) արագությունը 30 մլ/ր |
|
4. |
ՊՎՔ-ի հիման վրա ստացված ջրային դիսպերսիա |
1 |
100 |
20 |
աշտարակի ջերմաստիճանը` 800C |
|
5. |
Ջրային լուծամզուք |
10մլ |
100 |
30 |
դետեկտորի ջերմաստիճանը 1200C |
|
6. |
Յուղային լուծամզուք |
10նլ |
100 |
30 |
գոլորշացուցչի ջերմաստիճանը 1200C |
|
7. |
Պանիր |
3-5 |
100 |
40 |
բացարձակ պահման ժամանակ ՎՔ-67վրկ, |