«Գրանցված է»
ՀՀ արդարադատության
նախարարության կողմից
20 դեկտեմբերի 2017 թ.
Պետական գրանցման թիվ 60017484
ՀԱՅԱՍՏԱՆԻ ՀԱՆՐԱՊԵՏՈՒԹՅԱՆ
ՀԱՆՐԱՅԻՆ ԾԱՌԱՅՈՒԹՅՈՒՆՆԵՐԸ ԿԱՐԳԱՎՈՐՈՂ ՀԱՆՁՆԱԺՈՂՈՎ
|
13 դեկտեմբերի 2017 թ. ք. Երևան |
N 541-Ն |
Ո Ր Ո Շ ՈՒ Մ
«ՀԱՅԱՍՏԱՆԻ ԷԼԵԿՏՐԱԿԱՆ ՑԱՆՑԵՐ» ՓԱԿ ԲԱԺՆԵՏԻՐԱԿԱՆ ԸՆԿԵՐՈՒԹՅԱՆ ԿՈՂՄԻՑ ՍՊԱՌՈՂՆԵՐԻՆ ՎԱՃԱՌՎՈՂ ԷԼԵԿՏՐԱԿԱՆ ԷՆԵՐԳԻԱՅԻ ԵՎ ԲԱՇԽՄԱՆ ԾԱՌԱՅՈՒԹՅԱՆ ՄԱՏՈՒՑՄԱՆ ՍԱԿԱԳՆԵՐԻ ՀԱՇՎԱՐԿՄԱՆ ՄԵԹՈԴԻԿԱՆ ՀԱՍՏԱՏԵԼՈՒ ՄԱՍԻՆ
Հիմք ընդունելով «Էներգետիկայի մասին» Հայաստանի Հանրապետության 22-րդ հոդվածի 8-րդ մասը` Հայաստանի Հանրապետության հանրային ծառայությունները կարգավորող հանձնաժողովը որոշում է.
1. Հաստատել «Հայաստանի էլեկտրական ցանցեր» փակ բաժնետիրական ընկերության կողմից սպառողներին վաճառվող էլեկտրական էներգիայի և բաշխման ծառայության մատուցման սակագների հաշվարկման մեթոդիկան՝ համաձայն հավելվածի:
2. Սահմանել, որ «Հայաստանի էլեկտրական ցանցեր» փակ բաժնետիրական ընկերության կողմից սպառողներին վաճառվող էլեկտրական էներգիայի սակագները, 2020 թվականի հունվարի 1-ից սկսած, սույն որոշման 1-ին կետով հաստատված մեթոդիկայի համաձայն կսկսեն հաշվարկվել և սահմանվել, երբ էլեկտրաէներգետիկական համակարգի սակագների համալիր վերանայման ժամանակ նշված մեթոդիկայի 4-րդ կետով որոշվող «Հայաստանի էլեկտրական ցանցեր» փակ բաժնետիրական ընկերության անհրաժեշտ հասույթը կտարբերվի սակագների տվյալ վերանայման ժամանակ կանխատեսվող սպառման ծավալներով և «Հայաստանի էլեկտրական ցանցեր» փակ բաժնետիրական ընկերության կողմից սպառողներին վաճառվող էլեկտրական էներգիայի գործող սակագներով ձևավորվող հաշվարկային հասույթից:
(2-րդ կետը փոփ. 19.12.18 N 726-Ն)
3. Սույն որոշումն ուժի մեջ է մտնում պաշտոնական հրապարակման օրվան հաջորդող տասներորդ օրը:
|
ՀՀ հանրային ծառայությունները կարգավորող հանձնաժողովի նախագահ` |
Ռ. Նազարյան |
|
Հավելված Հաստատված է Հայաստանի Հանրապետության հանրային ծառայությունները կարգավորող հանձնաժողովի 2017 թվականի դեկտեմբերի 13-ի N 541-Ն որոշմամբ |
ՄԵԹՈԴԻԿԱ
«ՀԱՅԱՍՏԱՆԻ ԷԼԵԿՏՐԱԿԱՆ ՑԱՆՑԵՐ» ՓԱԿ ԲԱԺՆԵՏԻՐԱԿԱՆ ԸՆԿԵՐՈՒԹՅԱՆ ԿՈՂՄԻՑ ՍՊԱՌՈՂՆԵՐԻՆ ՎԱՃԱՌՎՈՂ ԷԼԵԿՏՐԱԿԱՆ ԷՆԵՐԳԻԱՅԻ ԵՎ ԲԱՇԽՄԱՆ ԾԱՌԱՅՈՒԹՅԱՆ ՄԱՏՈՒՑՄԱՆ ՍԱԿԱԳՆԵՐԻ ՀԱՇՎԱՐԿՄԱՆ
1. ԸՆԴՀԱՆՈՒՐ ԴՐՈՒՅԹՆԵՐ
1. Սույն մեթոդիկան սահմանում է «Հայաստանի էլեկտրական ցանցեր» փակ բաժնետիրական ընկերության կողմից սպառողներին վաճառվող էլեկտրական էներգիայի սակագների և էլեկտրական էներգիայի բաշխման ծառայության մատուցման սակագների հաշվարկման կարգը:
2. Սույն մեթոդիկայում օգտագործված հիմնական հասկացություններն են.
|
1) Այլընտրանքային մատակարար՝ |
Առևտրային կանոններով սահմանված պահանջներին համապատասխանող լիցենզավորված անձ. |
|
2) Անուղղակի ծախսեր` |
էլեկտրական էներգիայի բաշխման գործունեությանը վերաբերող ծախսեր, որոնք ընդհանուր են Բաշխման ցանցի տեխնոլոգիական տարրերի համար և կարելի է պայմանականորեն բաշխել նրանց միջև միայն որոշակի սկզբունքի հիման վրա. |
|
3) Առևտրային կանոններ՝ |
Հանձնաժողովի կողմից հաստատված Հայաստանի Հանրապետության էլեկտրաէներգետիկական մեծածախ շուկայի առևտրային կանոններ. |
|
4) Արտադրող՝ |
էլեկտրական էներգիայի (հզորության) արտադրության լիցենզիա ունեցող անձ. |
|
5) Բաշխման ծառայություն՝ |
Բաշխողի կողմից էլեկտրական էներգիայի բաշխման ծառայության մատուցման լիցենզավորված գործունեություն. |
|
6) Բաշխման ցանց՝ |
Բաշխողի կողմից կառավարվող և շահագործվող, էլեկտրական էներգիայի բաշխման գծերի, ենթակայանների և այլ սարքավորումների միասնական համակարգը, որի միջոցով էլեկտրական էներգիան Արտադրողից և (կամ) Հաղորդողից հասցվում է սպառողներին. |
|
7) Բաշխող՝ |
«Հայաստանի էլեկտրական ցանցեր» փակ բաժնետիրական ընկերություն. |
|
8) Էլեկտրական էներգիայի վաճառքի սակագին՝ |
Բաշխողի կողմից սպառողներին վաճառվող էլեկտրական էներգիայի սակագինը. |
|
9) Հաղորդման ցանց՝ |
էլեկտրական էներգիայի հաղորդման գծերի, ենթակայանների և այլ սարքավորումների միասնական համակարգը, որի միջոցով էլեկտրական էներգիան Արտադրողից կամ Ներկրողից հասցվում է Բաշխողին և (կամ) սպառողին և (կամ) տարանցվում է երրորդ երկիր, և որի կառավարումն ու շահագործումն իրականացնում է Հաղորդողը. |
|
10) Հաղորդող՝ |
էլեկտրական էներգիայի (հզորության) հաղորդման լիցենզիա ունեցող անձ. |
|
11) Համակարգի օպերատոր՝ |
Հայաստանի Հանրապետության էլեկտրաէներգետիկական համակարգի օպերատորի ծառայության մատուցման լիցենզիա ունեցող անձ. |
|
12) Հանձնաժողով՝ |
Հայաստանի Հանրապետության հանրային ծառայությունները կարգավորող հանձնաժողով. |
|
13) Ներդրում՝ |
Հանձնաժողովի հետ համաձայնեցված ներդրումներ, որոնք ուղղված են էլեկտրական էներգիայի բաշխման լիցենզավորված գործունեության համար օգտակար և օգտագործվող ակտիվների մեծացմանը. |
|
14) Ներկրող՝ |
Հայաստանի Հանրապետություն էլեկտրական էներգիայի (հզորության) ներկրման լիցենզիա ունեցող անձ. |
|
15) Շուկայի օպերատոր` |
Հայաստանի Հանրապետության էլեկտրական էներգիայի (հզորության) մեծածախ շուկային էլեկտրաէներգետիկական շուկայի օպերատորի ծառայությունների մատուցման լիցենզիա ունեցող անձ. |
|
16) Որակավորված սպառող՝ |
էլեկտրական էներգիան բացի Բաշխողից նաև Այլընտրանքային մատակարարից գնելու իրավունք ունեցող կամ սեփական կարիքների համար էլեկտրական էներգիան ներկրող` Առևտրային կանոններով սահմանված պահանջները բավարարող սպառող. |
|
17) Պայմանագրային հզորություն՝ |
Արտադրողի և Բաշխողի միջև կնքված էլեկտրական էներգիայի (հզորության) առուվաճառքի պայմանագրում տարեկան (ըստ ամիսների) ամրագրվող հզորություն, որը որոշվում է որպես Համակարգի օպերատորի կողմից ներգրավված սարքավորումների անվանական հզորությունների գումար՝ առանց տվյալ ամսում նորոգման նպատակով դուրս բերված սարքավորումների անվանական հզորությունների գումարի. |
|
18) Սակագնային մարժայի հաշվարկման մեթոդիկա՝ |
Հայաստանի Հանրապետության էներգետիկայի կարգավորող հանձնաժողովի 2002 թվականի նոյեմբերի 1-ի N 79-Ա որոշման 2-րդ կետով հաստատված «Հայաստանի էլեկտրական ցանցեր» փակ բաժնետիրական ընկերության կողմից էլեկտրական էներգիայի բաշխման լիցենզավորված գործունեություն իրականացնելու N 0092 լիցենզիայի պայմանների N 2 հավելված. |
|
19) Ուղղակի ծախսեր` |
էլեկտրական էներգիայի բաշխման գործունեությանը վերաբերող ծախսեր, որոնք կարելի է ուղղակիորեն և հստակ վերագրել Բաշխման ցանցի կոնկրետ տեխնոլոգիական տարրին. |
|
20) Փոխհատուցման գումար՝ |
Բաշխողի անհրաժեշտ հասույթի և գնված էլեկտրական էներգիայի, մատուցված ծառայությունների արժեքի տարբերության՝ հաշվարկային և փաստացի մեծությունների շեղման արդյունքում ձևավորված փոխհատուցման ենթակա գումարն է, որը որոշվում է Սակագնային մարժայի հաշվարկման մեթոդիկայի համաձայն: |
3. Էլեկտրական էներգիայի վաճառքի սակագների և Բաշխման ծառայության մատուցման սակագների հաշվարկման փուլերն են՝
1) Բաշխողի անհրաժեշտ հասույթի որոշում,
2) ծախսերի դասակարգում,
3) սպառողական խմբերի ձևավորում,
4) սպառողական խմբերի միջև դասակարգված ծախսերի բաշխում,
5) սպառողական խմբերի համար Էլեկտրական էներգիայի վաճառքի սակագների հաշվարկ,
6) Բաշխման ծառայության մատուցման սակագների հաշվարկ:
2. ԲԱՇԽՈՂԻ ԱՆՀՐԱԺԵՇՏ ՀԱՍՈՒՅԹԻ ՈՐՈՇՈՒՄ
4. Բաշխողի անհրաժեշտ հասույթը որոշվում է՝ համաձայն Սակագնային մարժայի հաշվարկման մեթոդիկայի:
3. ԾԱԽՍԵՐԻ ԴԱՍԱԿԱՐԳՈՒՄ
5. Ծախսերի վերլուծության և դրանք սպառողական խմբերի միջև բաշխման նպատակով Բաշխողի բոլոր ծախսերը դասակարգում են երեք խմբի՝
1) էլեկտրական էներգիայի (հզորության) գնման ծախսեր (ներառյալ՝ Փոխհատուցման գումարը),
2) էլեկտրական էներգիայի բաշխման ծախսեր,
3) սպառողների սպասարկման ծախսեր:
6. Էլեկտրական էներգիայի (հզորության) գնման ծախսերը (ԳԷ) որոշվում են հետևյալ բանաձևով.
որտեղ՝
Հit -ն երկդրույք սակագնային համակարգում աշխատող i-րդ Արտադրողի Պայմանագրային հզորություն է սակագնային տարվա t-րդ ամսվա համար, որը որոշվում է համաձայն Հանձնաժողովի կողմից հաստատված Հայաստանի Հանրապետության էլեկտրաէներգետիկական համակարգի ցանցային կանոնների,
ՍՀit -ն երկդրույք սակագնային համակարգում աշխատող i-րդ Արտադրողի համար Հանձնաժողովի կողմից սահմանվող (սահմանված) հզորության դրույքն է սակագնային տարվա t-րդ ամսվա պատրաստական Պայմանագրային հզորության համար,
ԷԵit -ն երկդրույք սակագնային համակարգում աշխատող i-րդ Արտադրողի կողմից սակագնային տարվա t-րդ ամսվա ընթացքում Բաշխողին առաքվող էլեկտրական էներգիայի քանակն է,
ՍԵit -ն երկդրույք սակագնային համակարգում աշխատող i-րդ Արտադրողի համար Հանձնաժողովի կողմից սահմանվող (սահմանված) առաքվող էլեկտրական էներգիայի դրույքն է սակագնային տարվա t-րդ ամսվա համար,
ԷՄit -ն միադրույք սակագնային համակարգում աշխատող i-րդ Արտադրողի կողմից սակագնային տարվա t-րդ ամսվա ընթացքում Բաշխողին առաքվող էլեկտրական էներգիայի քանակն է,
ՍՄit -ն միադրույք սակագնային համակարգում աշխատող i-րդ Արտադրողի համար Հանձնաժողովի կողմից սահմանվող (սահմանված) էլեկտրական էներգիայի սակագինն է սակագնային տարվա t-րդ ամսվա համար,
ԷՆit -ն i -րդ Ներկրողի կողմից սակագնային տարվա t-րդ ամսվա ընթացքում Բաշխողին առաքվող կամ Բաշխողի կողմից ներկրվող էլեկտրական էներգիայի քանակն է,
ՍՆit -ն i-րդ Ներկրողի և Բաշխողի միջև կամ օտարերկրյա անձի և Բաշխողի միջև էլեկտրական էներգիայի առուվաճառքի պայմանագրային գինն է սակագնային տարվա t-րդ ամսվա համար,
ԷՀ -ն Բաշխողի կողմից գնվող և Հաղորդման ցանց մուտք գործող էլեկտրական էներգիայի քանակն է,
ՍՀ -ն Հանձնաժողովի կողմից սահմանվող Բաշխողին էլեկտրական էներգիայի հաղորդման ծառայության մատուցման սակագինն է,
ՎՀՕ -ն Հանձնաժողովի կողմից սահմանվող էլեկտրաէներգետիկական համակարգի օպերատորի ծառայության մատուցման հաստատագրված վճարն է սակագնային տարվա համար,
ՎՇՕ -ն Հանձնաժողովի կողմից սահմանվող էլեկտրաէներգետիկական շուկայի օպերատորի ծառայության մատուցման հաստատագրված վճարն է սակագնային տարվա համար,
ՓԳ-ն Փոխհատուցման գումարն է:
7. Էլեկտրական էներգիայի բաշխման ծախսերը հաստատուն ծախսեր են, որոնք ներառում են Բաշխման ցանցի շահագործման և պահպանման ծախսերը (նորոգման, նյութական, աշխատանքի վճարման և այլ ծախսեր), հիմնական միջոցների մաշվածության և ոչ նյութական ակտիվների ամորտիզացիայի գծով ծախսերը, բացառությամբ սույն մեթոդիկայի 8-րդ կետում նշված սպառողների սպասարկման ծախսերի: Ներդրումների հաշվին ստեղծված հիմնական միջոցների ու ոչ նյութական ակտիվների զուտ արժեքի նկատմամբ հաշվարկվող թույլատրելի շահույթը դիտարկվում է որպես ծախս և ներառվում է էլեկտրական էներգիայի բաշխման ծախսերի մեջ:
8. Սպառողների սպասարկման ծախսերը ներառում են էլեկտրական էներգիայի հաշվառման համակարգերի տվյալների գրանցման, հաշիվների վարման, իրացված էլեկտրական էներգիայի դիմաց բաժանորդներից գումարների հավաքագրման, անհուսալի դեբիտորական պարտքերի գծով և սպառողների սպասարկման հետ կապված այլ ծախսերը:
4. ՍՊԱՌՈՂԱԿԱՆ ԽՄԲԵՐԻ ՁԵՎԱՎՈՐՈՒՄ
9. Սպառողական խմբերի ձևավորումն իրականացվում է՝ ելնելով սպառողական յուրաքանչյուր խմբի՝ սպառման միանման բնութագրեր ունենալու, ինչպես նաև էլեկտրաէներգետիկական համակարգի համար համազոր գնային բեռնվածք ստեղծելու սկզբունքից:
10. Էլեկտրական էներգիայի սպառողները դասակարգվում են ըստ հետևյալ խմբերի՝
1) 110 կՎ լարմամբ սնվող սպառողներ,
2) 35 կՎ լարմամբ սնվող սպառողներ,
3) 6(10) կՎ լարմամբ սնվող սպառողներ,
4) 0,38 ու 0,22 կՎ լարմամբ սնվող սպառողներ:
11. Սույն մեթոդիկայի 9-րդ և 10-րդ կետերը չեն սահմանափակում Հանձնաժողովի իրավունքը՝ սեփական նախաձեռնությամբ կամ Բաշխողի առաջարկությամբ էլեկտրական էներգիայի վաճառքի սակագների և Բաշխման ծառայության մատուցման սակագների վերանայման ժամանակ քննարկելու և օրենսդրությամբ նախատեսված դեպքերում սահմանելու այլ սպառողական խմբեր:
5. ՍՊԱՌՈՂԱԿԱՆ ԽՄԲԵՐԻ ՄԻՋԵՎ ԴԱՍԱԿԱՐԳՎԱԾ ԾԱԽՍԵՐԻ ԲԱՇԽՈՒՄ
12. Ծախսերի բաշխումը սպառողական խմբերի միջև իրականացվում է հետևյալ փուլերով.
1) էլեկտրական էներգիայի (հզորության) գնման ծախսերի բաշխում,
2) էլեկտրական էներգիայի բաշխման ծախսերի բաշխում,
3) սպառողների սպասարկման ծախսերի բաշխում:
13. Էլեկտրական էներգիայի (հզորության) գնման ծախսերը սպառողական խմբերի միջև բաշխվում են՝ համաձայն հետևյալ բանաձևի.
որտեղ`
ԳԷk -ն էլեկտրական էներգիայի (հզորության) գնման ծախսերն են k-րդ սպառողական խմբի համար,
ԷԲ -ն Բաշխողի կողմից սպառողներին վաճառելու և իր սեփական կարիքների օգտագործման նպատակով Բաշխման ցանց մուտք գործող էլեկտրական էներգիայի տարեկան քանակն է,
Էk -ն Բաշխողի կողմից k-րդ սպառողական խմբի սպառողներին վաճառվող և նույն սպառողական խմբում իր սեփական կարիքների համար սպառվող էլեկտրական էներգիայի տարեկան քանակն է,
∆Էk -ն Բաշխման ցանցում էլեկտրական էներգիայի կորուստներն են՝ առաջացած Բաշխողի կողմից k-րդ սպառողական խմբի իր սպառողներին էլեկտրական էներգիայի վաճառքի և իր սեփական կարիքների օգտագործման հետևանքով, որը որոշվում է սույն մեթոդիկայի 14-րդ կետի համաձայն:
14. ∆Էk մեծությունը որոշվում է՝ համաձայն հետևյալ սկզբունքի.
1) Բաշխողի կողմից իր սպառողների էլեկտրամատակարարման հետևանքով 110 կՎ լարման գծերում առաջացած էլեկտրական էներգիայի կորուստները բաշխվում են 110 կՎ, 35 կՎ, 6(10) կՎ և 0,38 ու 0,22 կՎ լարման սպառողական խմբերի միջև ըստ նրանց սպառման ծավալների համամասնության,
2) Բաշխողի կողմից իր սպառողների էլեկտրամատակարարման հետևանքով 110 կՎ լարման ենթակայաններում և 35 կՎ լարման գծերում առաջացած էլեկտրական էներգիայի կորուստները բաշխվում են 35 կՎ, 6(10) կՎ և 0,38 ու 0,22 կՎ լարման սպառողական խմբերի միջև ըստ նրանց սպառման ծավալների համամասնության,
3) Բաշխողի կողմից իր սպառողների էլեկտրամատակարարման հետևանքով 35 կՎ լարման ենթակայաններում և 6(10) կՎ լարման գծերում առաջացած էլեկտրական էներգիայի կորուստները բաշխվում են 6(10) կՎ և 0,38 ու 0,22 կՎ լարման սպառողական խմբերի միջև ըստ նրանց սպառման ծավալների համամասնության,
4) Բաշխողի կողմից իր սպառողների էլեկտրամատակարարման հետևանքով 6(10) կՎ լարման ենթակայաններում և 0,38 ու 0,22 կՎ լարման գծերում առաջացած էլեկտրական էներգիայի կորուստները ամբողջությամբ վերագրվում են 0,38 ու 0,22 կՎ լարման սպառողական խմբին։
15. Էլեկտրական էներգիայի բաշխման ծախսերը սպառողական խմբերի միջև բաշխվում են հետևյալ կերպ.
1) Բաշխողն իր հաշվապահական հաշվառումը իրականացնում է այնպես, որ հաշվապահական հաշվառման համակարգում գրանցված ծախսերի վերաբերյալ տեղեկատվությունը հնարավոր լինի դուրս բերել և ամփոփել ըստ Ուղղակի ծախսերի և Անուղղակի ծախսերի, իսկ հիմնական միջոցների և ոչ նյութական ակտիվների արժեքների վերաբերյալ տեղեկատվությունը՝ ըստ Բաշխման ցանցի տեխնոլոգիական տարրերի,
2) սույն կետի 1-ին ենթակետում նշված տեղեկատվության և Սակագնային մարժայի հաշվարկման մեթոդիկայի համաձայն որոշված ծախսերի կառուցվածքի վերլուծության հիման վրա որոշվում է Բաշխողի հաշվարկային անհրաժեշտ հասույթի կազմում ներառվող էլեկտրական էներգիայի բաշխման ծախսերի, Ներդրումների հաշվին ստեղծված հիմնական միջոցների (ոչ նյութական ակտիվների) արժեքի նկատմամբ հաշվարկվող մաշվածության (ամորտիզացիայի) գծով ծախսերի և շահույթի՝ Բաշխման ցանցի յուրաքանչյուր տեխնոլոգիական տարրին ուղղակիորեն վերագրելի մեծությունները,
3) Բաշխողի հաշվարկային անհրաժեշտ հասույթի կազմում ներառվող Անուղղակի ծախսերը Բաշխման ցանցի տեխնոլոգիական տարրերի միջև բաշխվում են ըստ Ուղղակի ծախսերի համամասնության, իսկ Ներդրումների հաշվին ստեղծված հիմնական միջոցների (ոչ նյութական ակտիվների) արժեքի նկատմամբ հաշվարկվող մաշվածության (ամորտիզացիայի) գծով ծախսերի ու շահույթի՝ Բաշխման ցանցի տեխնոլոգիական տարրերին ուղղակիորեն չվերագրված մեծությունները՝ ըստ ուղղակիորեն վերագրված արժեքների համամասնության,
4) Բաշխման ցանցի տեխնոլոգիական տարրերին վերագրված Ուղղակի ծախսերը, Անուղղակի ծախսերը և հիմնական միջոցների (ոչ նյութական ակտիվների) մաշվածության (ամորտիզացիայի) գծով ծախսերի ու թույլատրելի շահույթի մեծությունները սպառողական խմբերի միջև բաշխվում են հետևյալ կերպ.
ա. 110 կՎ լարման Բաշխման ցանցի ծախսերը բաշխվում են 110 կՎ, 35 կՎ, 6(10) կՎ և 0,38 ու 0,22 կՎ լարման սպառողական խմբերի միջև ըստ նրանց սպառման ծավալների համամասնության,
բ. 35 կՎ լարման Բաշխման ցանցի ծախսերը բաշխվում են 35 կՎ, 6(10) կՎ և 0,38 ու 0,22 կՎ լարման սպառողական խմբերի միջև ըստ նրանց սպառման ծավալների համամասնության,
գ. 6(10) կՎ լարման Բաշխման ցանցի ծախսերը բաշխվում են 6(10) կՎ և 0,38 ու 0,22 կՎ լարման սպառողական խմբերի միջև ըստ նրանց սպառման ծավալների համամասնության,
դ. 0,38 ու 0,22 կՎ լարման Բաշխման ցանցի ծախսերը ամբողջությամբ վերագրվում են 0,38 ու 0,22 կՎ լարման սպառողական խմբին:
16. Սպառողների սպասարկման ծախսերը սպառողական խմբերի (նաև Բաշխման ցանցի տեխնոլոգիական տարրերի) միջև բաշխվում են հետևյալ կերպ՝
1) էլեկտրական էներգիայի վաճառքի դիմաց բաժանորդներից գումարների հավաքագրման գծով ծախսերն ամբողջությամբ վերագրվում են 0,38 ու 0,22 կՎ լարման սպառողական խմբին,
2) սպառողների սպասարկման մյուս ծախսերը բաշխվում են ըստ սպառողական խմբերի բաժանորդների թվաքանակի համամասնության:
6. ՍՊԱՌՈՂԱԿԱՆ ԽՄԲԵՐԻ ՀԱՄԱՐ ԷԼԵԿՏՐԱԿԱՆ ԷՆԵՐԳԻԱՅԻ ՎԱՃԱՌՔԻ ՍԱԿԱԳՆԵՐԻ ՀԱՇՎԱՐԿ
17. Սպառողական խմբերի համար էլեկտրական էներգիայի վաճառքի սակագները սահմանվում են միադրույք սակագնային համակարգում: Միադրույք սակագնային համակարգում վճարման ենթակա ծառայությունն է էլեկտրական էներգիայի սպառումը, որի չափման միավորն է դրամ/կՎտժ-ը:
18. k-րդ սպառողական խմբի համար Էլեկտրական էներգիայի վաճառքի սակագինը (ՍԷk) հաշվարկվում է հետևյալ բանաձևով.
որտեղ՝
ՍԾk -ն սպառողների սպասարկման ծախսերի մեծությունն է k-րդ սպառողական խմբի համար,
ԲԾk-ն էլեկտրական էներգիայի բաշխման ծախսերի մեծությունն է k-րդ սպառողական խմբի համար,
ԷՈՍk -ն k-րդ սպառողական խմբին պատկանող Որակավորված սպառողների կողմից սպառվող էլեկտրական էներգիայի տարեկան քանակն է, որը մատակարարվում է Այլընտրանքային մատակարարի կողմից:
19. Օրվա տարբեր ժամերով տարբերակված սակագների (ցերեկային և գիշերային) կիրառման դեպքում սպառողական խմբերի համար հաշվարկված էլեկտրական էներգիայի վաճառքի սակագները (ՍԷk) հանդիսանում են միջին կշռութային մեծություններ, որոնք պետք է համապատասխանեն
հետևյալ բանաձևին.
որտեղ՝
ՍԷՑk -ն k-րդ սպառողական խմբի համար սահմանվող էլեկտրական էներգիայի վաճառքի ցերեկային սակագինն է,
ՍԷԳk -ն k-րդ սպառողական խմբի համար սահմանվող էլեկտրական էներգիայի վաճառքի գիշերային սակագինն է,
ԷՑk -ն k-րդ սպառողական խմբի կողմից ցերեկային ժամերին էլեկտրական էներգիայի սպառման տարեկան քանակն է սակագնային տարվա համար,
ԷԳk -ն k-րդ սպառողական խմբի կողմից գիշերային ժամերին էլեկտրական էներգիայի սպառման տարեկան քանակն է սակագնային տարվա համար:
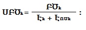
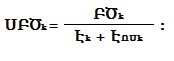
7. ԲԱՇԽՄԱՆ ԾԱՌԱՅՈՒԹՅԱՆ ՄԱՏՈՒՑՄԱՆ ՍԱԿԱԳՆԵՐԻ ՀԱՇՎԱՐԿ
20. Բաշխման ծառայության մատուցման սակագները սահմանվում են միադրույք սակագնային համակարգում և տարբերակվում են ըստ սույն մեթոդիկայի համաձայն որոշված սպառողական խմբերի՝ հաշվի առնելով նաև Առևտրային կանոնների պահանջները:
21. Բաշխման ծառայության մատուցման սակագները (ՍԲԾk) հաշվարկվում են՝ համաձայն հետևյալ բանաձևի՝