ԵՎՐԱՍԻԱԿԱՆ ՏՆՏԵՍԱԿԱՆ ՀԱՆՁՆԱԺՈՂՈՎ
ԽՈՐՀՈՒՐԴ
Ո Ր Ո Շ Ո Ւ Մ
2 հուլիսի 2013 թվականի |
թիվ 41 |
քաղ. Մոսկվա |
«ԱՎԵԼՑՈՒԿԱՅԻՆ ՃՆՇՄԱՆ ՏԱԿ ԱՇԽԱՏՈՂ ՍԱՐՔԱՎՈՐՈՒՄՆԵՐԻ ԱՆՎՏԱՆԳՈՒԹՅԱՆ ՄԱՍԻՆ» ՄԱՔՍԱՅԻՆ ՄԻՈՒԹՅԱՆ ՏԵԽՆԻԿԱԿԱՆ ԿԱՆՈՆԱԿԱՐԳԻ ՄԱՍԻՆ
«Եվրասիական տնտեսական հանձնաժողովի մասին» 2011 թվականի նոյեմբերի 18-ի պայմանագրի 3-րդ հոդվածին համապատասխան՝ Եվրասիական տնտեսական հանձնաժողովի խորհուրդը որոշեց.
1. Ընդունել կցվող «Ավելցուկային ճնշման տակ աշխատող սարքավորումների անվտանգության մասին» Մաքսային միության տեխնիկական կանոնակարգը (ՄՄ ՏԿ 032/2013)։
2. Սահմանել, որ «Ավելցուկային ճնշման տակ աշխատող սարքավորումների անվտանգության մասին» Մաքսային միության տեխնիկական կանոնակարգը (ՄՄ ՏԿ 032/2013) ուժի մեջ է մտնում 2014 թվականի փետրվարի 1-ից։
3. Սույն որոշումն ուժի մեջ է մտնում դրա պաշտոնական հրապարակման ամսաթվից 30 օրացուցային օրը լրանալուց հետո։
Եվրասիական տնտեսական հանձնաժողովի խորհրդի անդամներ՝
Բելառուսի Հանրապետությունից |
Ղազախստանի Հանրապետությունից |
Ռուսաստանի Դաշնությունից |
Ս. Ռումաս |
Կ. Կելիմբետով |
Ի. Շուվալով |
ԸՆԴՈՒՆՎԱԾ Է Եվրասիական տնտեսական հանձնաժողովի խորհրդի 2013 թվականի հուլիսի 2-ի թիվ 41 որոշմամբ |
ՄԱՔՍԱՅԻՆ ՄԻՈՒԹՅԱՆ ՏԵԽՆԻԿԱԿԱՆ ԿԱՆՈՆԱԿԱՐԳ
«Ավելցուկային ճնշման տակ աշխատող սարքավորումների անվտանգության մասին» (ՄՄ ՏԿ 032/2013)
Սույն տեխնիկական կանոնակարգը մշակված է «Բելառուսի Հանրապետությունում, Ղազախստանի Հանրապետությունում և Ռուսաստանի Դաշնությունում տեխնիկական կարգավորման միասնական սկզբունքների և կանոնների մասին» 2010 թվականի նոյեմբերի 18-ի համաձայնագրին համապատասխան։
Սույն տեխնիկական կանոնակարգով Մաքսային միության մաքսային տարածքում սահմանվում են ավելցուկային ճնշման տակ աշխատող այն սարքավորումների կիրառման ու կատարման անվտանգության միասնական պարտադիր պահանջները, որոնք առաջին անգամ դրվում են շրջանառության մեջ և նախատեսված են Մաքսային միության մաքսային տարածքում կիրառման համար (այսուհետ՝ սարքավորումներ), որոնցով ապահովվում է սարքավորումների ազատ տեղաշարժը։
Եթե սարքավորումների նկատմամբ ընդունված են դրանց նկատմամբ պահանջներ սահմանող Մաքսային միության տեխնիկական կանոնակարգեր, ապա այդպիսի սարքավորումները պետք է համապատասխանեն նաև Մաքսային միության այդ տեխնիկական կանոնակարգերի պահանջներին։
I. Կիրառության ոլորտը
1. Սույն տեխնիկական կանոնակարգով սահմանվում են անվտանգության պահանջներ՝ սարքավորումների մշակման (նախագծման), արտադրության (պատրաստման) գործընթացների նկատմամբ, ինչպես նաև պահանջներ՝ մարդու կյանքի ու առողջության, գույքի պաշտպանության, սպառողներին մոլորության մեջ գցող գործողությունների կանխման նպատակով։
2. Սույն տեխնիկական կանոնակարգը չի տարածվում սարքավորումների հետևյալ տեսակների վրա՝
ա) գազերի, ճնշման տակ լուծված, հեղուկացված գազերի ու այնպիսի գոլորշիների համար նախատեսված անոթներ, որոնք օգտագործվում են 1-ին խմբի աշխատանքային միջավայրի համար և ունեն՝
0,05 ՄՊա-ից ավելի առավելագույն թույլատրելի աշխատանքային ճնշում, 0,001 մ3-ից ավելի տարողունակություն, և որոնց առավելագույն թույլատրելի աշխատանքային ճնշման արժեքի և տարողունակության արժեքի արտադրյալը ավելի է 0,0025 ՄՊա x մ3-ից.
20 ՄՊա-ից ավելի առավելագույն թույլատրելի աշխատանքային ճնշում, 0,0001 մ3-ից ավելի, սակայն մինչև 0,001 մ3 (ներառյալ) տարողունակություն։
Գազերի համար նախատեսված և 1-ին խմբի աշխատանքային միջավայրերի համար օգտագործվող անոթների կատեգորիաները ներկայացված են սույն տեխնիկական կանոնակարգի 1-ին հավելվածի 1-ին աղյուսակում.
բ) գազերի, ճնշման տակ լուծված, հեղուկացված գազերի ու այնպիսի գոլորշիների համար նախատեսված անոթներ, որոնք օգտագործվում են 2-րդ խմբի աշխատանքային միջավայրի համար և ունեն՝
0,05 ՄՊա-ից ավելի առավելագույն թույլատրելի աշխատանքային ճնշում, 0,001 մ3-ից ավելի տարողունակություն, և որոնց առավելագույն թույլատրելի աշխատանքային ճնշման արժեքի և տարողունակության արժեքի արտադրյալը ավելի է 0,005 ՄՊա x մ3-ից.
100 ՄՊա-ից ավելի առավելագույն թույլատրելի աշխատանքային ճնշում, 0,0001 մ3-ից ավելի, սակայն մինչև 0,001 մ3 (ներառյալ) տարողունակություն։
Գազերի համար նախատեսված և 2-րդ խմբի աշխատանքային միջավայրերի համար օգտագործվող անոթների կատեգորիաները ներկայացված են սույն տեխնիկական կանոնակարգի 1-ին հավելվածի 2-րդ աղյուսակում.
գ) այնպիսի հեղուկների համար նախատեսված անոթներ, որոնք օգտագործվում են 1-ին խմբի աշխատանքային միջավայրի համար և ունեն՝
0,05 ՄՊա-ից ավելի առավելագույն թույլատրելի աշխատանքային ճնշում, 0,001 մ3-ից ավելի տարողունակություն, և որոնց առավելագույն թույլատրելի աշխատանքային ճնշման արժեքի և տարողունակության արժեքի արտադրյալը ավելի է 0,02 ՄՊա x մ3-ից.
50 ՄՊա-ից ավելի առավելագույն թույլատրելի աշխատանքային ճնշում, 0,0001 մ3-ից ավելի, սակայն մինչև 0,001 մ3 (ներառյալ) տարողունակություն։
Հեղուկների համար նախատեսված և 1-ին խմբի աշխատանքային միջավայրերի համար օգտագործվող անոթների կատեգորիաները ներկայացված են սույն տեխնիկական կանոնակարգի 1-ին հավելվածի 3-րդ աղյուսակում.
դ) այնպիսի հեղուկների համար նախատեսված անոթներ, որոնք օգտագործվում են 2-րդ խմբի աշխատանքային միջավայրի համար և ունեն՝
1 ՄՊա-ից ավելի առավելագույն թույլատրելի աշխատանքային ճնշում, 0,01 մ3-ից ավելի տարողունակություն, և որոնց առավելագույն թույլատրելի աշխատանքային ճնշման արժեքի և տարողության արժեքի արտադրյալը ավելի է 1 ՄՊա x մ3-ից.
100 ՄՊա-ից ավելի առավելագույն թույլատրելի աշխատանքային ճնշում, 0,0001 մ3-ից ավելի, սակայն մինչև 0,01 մ3 (ներառյալ) տարողունակություն։
Հեղուկների համար նախատեսված և 2-րդ խմբի աշխատանքային միջավայրերի համար օգտագործվող անոթների կատեգորիաները ներկայացված են սույն տեխնիկական կանոնակարգի 1-ին հավելվածի 4-րդ աղյուսակում.
ե) 0,002 մ3-ից ավելի տարողություն ունեցող կաթսաներ, որոնք նախատեսված են 110 °С-ից ավելի ջերմաստիճան ունեցող տաք ջրի ստացման համար կամ 0,05 ՄՊա-ից ավելի ավելցուկային ճնշում ունեցող շոգու համար, ինչպես նաև հրատաքացմամբ և 0,002 մ3-ից ավելի տարողությամբ անոթներ։
Շոգեկաթսաների, ջրատաքացուցիչ կաթսաների ու հրատաքացմամբ անոթների կատեգորիաները ներկայացված են սույն տեխնիկական կանոնակարգի 1-ին հավելվածի 5-րդ աղյուսակում.
զ) խողովակաշարեր, որոնք ունեն 0,05 ՄՊա-ից ավելի առավելագույն թույլատրելի աշխատանքային ճնշում, 25 մմ-ից ավելի անվանական տրամագիծ, նախատեսված են գազերի ու շոգու համար և օգտագործվում են 1-ին խմբի աշխատանքային միջավայրերի համար։
Գազերի ու գոլորշիների համար նախատեսված և 1-ին խմբի աշխատանքային միջավայրերի համար օգտագործվող խողովակաշարերի կատեգորիաները ներկայացված են սույն տեխնիկական կանոնակարգի 1-ին հավելվածի 6-րդ աղյուսակում.
է) խողովակաշարեր, որոնք ունեն 0,05 ՄՊա-ից ավելի առավելագույն թույլատրելի աշխատանքային ճնշում, 32 մմ-ից ավելի անվանական տրամագիծ և առավելագույն թույլատրելի աշխատանքային ճնշման արժեքի և տարողության արժեքի 100 ՄՊա x մմ-ից ավելի արտադրյալ, նախատեսված են գազերի ու շոգու համար և օգտագործվում են 2-րդ խմբի աշխատանքային միջավայրերի համար։
Գազերի ու գոլորշիների համար նախատեսված և 2-րդ խմբի աշխատանքային միջավայրերի համար օգտագործվող խողովակաշարերի կատեգորիաները ներկայացված են սույն տեխնիկական կանոնակարգի 1-ին հավելվածի 7-րդ աղյուսակում.
ը) խողովակաշարեր, որոնք ունեն 0,05 ՄՊա-ից ավելի առավելագույն թույլատրելի աշխատանքային ճնշում, 25 մմ-ից ավելի անվանական տրամագիծ և առավելագույն թույլատրելի աշխատանքային ճնշման արժեքի և տարողության արժեքի 200 ՄՊա x մմ-ից ավելի արտադրյալ, նախատեսված են հեղուկների համար և օգտագործվում են 1-րդ խմբի աշխատանքային միջավայրերի համար։
Հեղուկների համար նախատեսված և 1-ին խմբի աշխատանքային միջավայրերի համար օգտագործվող խողովակաշարերի կատեգորիաները ներկայացված են սույն տեխնիկական կանոնակարգի 1-ին հավելվածի 8-րդ աղյուսակում.
թ) խողովակաշարեր, որոնք ունեն 1 ՄՊա-ից ավելի առավելագույն թույլատրելի աշխատանքային ճնշում, 200 մմ-ից ավելի անվանական տրամագիծ և առավելագույն թույլատրելի աշխատանքային ճնշման արժեքի և տարողության արժեքի 500 ՄՊա x մմ-ից ավելի արտադրյալ, նախատեսված են հեղուկների համար և օգտագործվում են 2-րդ խմբի աշխատանքային միջավայրերի համար։
Հեղուկների համար նախատեսված և 2-րդ խմբի աշխատանքային միջավայրերի համար օգտագործվող խողովակաշարերի կատեգորիաները ներկայացված են սույն տեխնիկական կանոնակարգի 1-ին հավելվածի 9-րդ աղյուսակում.
ժ) սարքավորումների տարրեր (հավաքովի միավորներ) և դրանց կոմպլեկտավորողներ, որոնք դիմանում են ճնշման ներգործությանը.
ժա) 25 մմ-ից ավելի անվանական տրամագիծ ունեցող արմատուր (1-ին խմբի աշխատանքային միջավայրի սարքավորումների համար), 32 մմ-ից ավելի անվանական տրամագիծ ունեցող արմատուր (2-րդ խմբի աշխատանքային միջավայրի գազերի համար օգտագործվող սարքավորումների համար), 200 մմ-ից ավելի անվանական տրամագիծ ունեցող արմատուր (հեղուկների համար նախատեսված և 2-րդ խմբի աշխատանքային միջավայրերի համար օգտագործվող խողովակաշարեր).
ժբ) ցուցադրող և ապահովիչ սարքվածքներ.
ժգ) բարոխցիկներ (բացի մեկտեղանի բժշկականներից).
ժդ) անվտանգության սարքվածքներ ու սարքեր։
3. Սույն տեխնիկական կանոնակարգը չի տարածվում հետևյալ արտադրանքի վրա`
ա) մայրուղային խողովակաշարեր, ներքին արդյունագործական խողովակաշարեր և տեղական բաշխման խողովակաշարեր՝ նախատեսված գազի, նավթի և այլ մթերքի տրասնպորտային փոխադրման համար՝ բացառությամբ ճնշման կարգավորման կայաններում կամ կոմպրեսորային կայաններում օգտագործվող սարքավորումների.
բ) գազաբաշխիչ ցանցեր և գազասպառման ցանցեր.
գ) սարքավորումներ՝ հատուկ նախագծված ատոմային էներգիայի ոլորտում օգտագործման համար, սարքավորումներ՝ ռադիոակտիվ միջավայրում աշխատող.
դ) անոթներ, որոնք աշխատում են տեխնոլոգիական գործընթացին համապատասխան իրենց ներսում պայթյունի ժամանակ կամ ինքնուրույն տարածվող բարձր ջերմաստիճանի սինթեզի ռեժիմում այրման ժամանակ առաջացող ճնշման տակ.
ե) սարքավորումներ՝ հատուկ նախագծված ծովային և գետային նավերի ու այլ լողացող միջոցների և ստորջրյա կիրառման օբյեկտների վրա օգտագործման համար.
զ) երկաթուղային տրանսպորտի, ավտոտրանսպորտի և այլ փոխադրամիջոցների շարժակազմի արգելակային սարքավորումներ.
է) անոթներ՝ հատուկ նախագծված ինքնաթիռների և այլ թռչող ապարատների վրա օգտագործման համար.
ը) սարքավորումներ՝ պաշտպանական նշանակության.
թ) մեքենաների մասեր, որոնք իրենցից չեն ներկայացնում առանձին անոթներ (պոմպերի կամ տուրբինների իրաններ, շոգեշարժիչների, հիդրավլիկական, ներքին այրման, օդային մեքենաների և ճնշակների գլաններ).
ժ) բժշկական մեկտեղանի բարոխցիկներ.
ժա) սարքավորումներ՝ աերոզոլային փոշարարներով.
ժբ) բարձրավոլտ էլեկտրական սարքավորումների (բաշխիչ սարքվածքների, բաշխիչ մեխանիզմների, տրանսֆորմատորների և պտտվող էլեկտրական մեքենաների) թաղանթներ.
ժգ) թաղանթներ և պատյաններ՝ ավելցուկային ճնշման տակ աշխատող էլեկտրական էներգիայի հաղորդման տարրերի (էլեկտրասնուցման մալուխային արտադրանքի և կապի մալուխների).
ժդ) սարքավորումներ՝ պատրաստված (արտադրված) ոչ մետաղական ճկուն (էլաստիկ) թաղանթից.
ժե) արտաթողքի կամ գազերի ներծծման աղմուկի խլացուցիչներ.
ժզ) գազավորված ըմպելիքների տարողություններ և սիֆոններ:
II. Հիմնական հասկացությունները
4. Սույն տեխնիկական կանոնակարգի նպատակներով օգտագործվող հասկացություններն ունեն հետևյալ իմաստը.
«բալոն»՝ անոթ, որն ունի 1 կամ 2 բկանցքներ՝ կափարիչների, կցաշուրթերի կամ խողովակապտուկների տեղակայման համար, նախատեսված է սեղմված, հեղուկացված կամ ճնշման տակ լուծված գազերի տրանսպորտային փոխադրման, պահման և օգտագործման համար.
«բարոխցիկ»՝ անոթ, որում ստեղծվում է ցածրացված և (կամ) բարձրացված ճնշում, որը հագեցված է սարքերով ու սարքավորումներով, և որում հնարավոր է տեղավորել մարդկանց.
«տակառ»՝ գլանաձև կամ այլ ձևի անոթ, որին հնարավոր է գլորել մի տեղից մյուսը և առանց լրացուցիչ հենակների դնել կողաճակատին, և որը նախատեսված է հեղուկ ու այլ նյութերի տրանսպորտային փոխադրման և պահման համար.
«շահագործման մեջ դնելը»՝ փաստաթղթերով ձևակերպված իրադարձություն, որը ցույց է տալիս սարքավորումների՝ կիրառման (օգտագործման) համար պատրաստ լինելը.
«տարողունակություն»՝ սարքավորումների ներքին խոռոչի ծավալ, որը սահմանվում է գծագրերի վրա տրված անվանական չափերով.
«աշխատանքային միջավայրերի խումբ»՝ աշխատանքային միջավայրերի ամբողջություն, որը բաժանված է՝
1-ին խմբի, որը ներառում է աշխատանքային խմբեր, որոնք կազմված են միաֆազ վիճակի բռնկվող, օքսիդացող, դյուրավառ, պայթուցիկ, թունավոր և բարձր թունավորության գազերից, հեղուկներից և գոլորշիներից, ինչպես նաև դրանց խառնուրդներից.
2-րդ խմբի, որն ընդգրկում է այլ աշխատանքային միջավայրեր, որոնք չեն դասվում 1-ին խմբին.
«ներքին ճնշում», «արտաքին ճնշում»՝ ավելցուկային ճնշում, որն ազդում է սարքավորումների պատերի ներքին կամ արտաքին մակերևույթներին.
«փորձարկման ճնշում»՝ ավելցուկային ճնշում, որի դեպքում իրականացվում է սարքավորումների ամրության և կիպության փորձարկում.
«աշխատանքային ճնշում»՝ առավելագույն ավելցուկային ճնշում, որն առաջանում է աշխատանքային գործընթացի բնականոն ընթացքի դեպքում.
«թույլատրելի ճնշում»՝ սարքավորումների (տարրի) համար առավելագույն թույլատրելի ավելցուկային ճնշում, որը սահմանված է համապատասխանության գնահատման և (կամ) ամրության ստուգողական հաշվարկի հիման վրա.
«հաշվարկային ճնշում»՝ ճնշում, որի հիման վրա կատարվում է սարքավորումների ամրության հաշվարկը.
«պայմանական ճնշում»՝ 20 °С ջերմաստիճանի դեպքում հաշվարկային ճնշում, որն օգտագործվում է ստանդարտ անոթների (հանգույցների, դետալների, արմատուրների) ամրության հաշվարկի ժամանակ.
«անվանական տրամագիծ», «պայմանական անցամաս»՝ չափի թվային նշում, որը հավասար է ներքին տրամագծի կլորացված արժեքին, որը նշվում է սարքավորումների բոլոր բաղադրիչների վրա՝ բացի այն բաղադրիչներից, որոնք նշված են ըստ արտաքին տրամագծի կամ պարուրակի չափի: Անվանական տրամագիծը և պայմանական անցամասը նշվում են միլիմետրերով՝ առանց նշելու չափայնությունը.
«սարքավորումների նույնականացում»՝ սարքավորումները սույն տեխնիկական կանոնակարգի կիրառության ոլորտին դասելու և կցվող տեխնիկական փաստաթղթերին սարքավորումների համապատասխանությունը սահմանելու ընթացակարգ.
«պատրաստող»՝ իրավաբանական անձ կամ որպես անհատ ձեռնարկատեր հանդես եկող ֆիզիկական անձ, որն իր անունից իրականացնում է սարքավորումների արտադրություն կամ արտադրություն և իրացում ու պատասխանատվություն է կրում սույն տեխնիկական կանոնակարգի անվտանգության պահանջներին դրանց համապատասխանության համար.
«ջերմաօգտագործիչ կաթսա»՝ սարքվածք, որի մեջ որպես ջերմության աղբյուր օգտագործվում են վառելագազերը կամ այլ տեխնոլոգիական հոսքեր.
«էներգատեխնոլոգիական կաթսա»՝ շոգու կամ ջրատաքացման կաթսա (ներառյալ՝ սոդավերականգնման կաթսան), որի հնոցում իրականացվում է տեխնոլոգիական նյութերի վերամշակում.
«էլեկտրոդային կաթսա»՝ շոգեկաթսա կամ ջրատաքացման կաթսա, որի մեջ օգտագործվում է ջրի միջով էլեկտրական հոսանքի ընթացքի ժամանակ անջատվող ջերմությունը.
«էլեկտրատաքացուցիչով կաթսա»՝ շոգեկաթսա կամ ջրատաքացման կաթսա, որի մեջ օգտագործվում է էլեկտրաջեռուցիչ տարրերով անջատվող ջերմությունը.
«ջրատաքացման կաթսա»՝ սարքվածք, որը նախատեսված է մթնոլորտայինից բարձր ճնշման տակ գտնվող ջրի տաքացման և այդ սարքվածքից դուրս որպես ջերմակիր օգտագործվելու համար.
«շոգեկաթսա»՝ սարքվածք, որը նախատեսված է այդ սարքվածքից դուրս օգտագործվող մթնոլորտայինից բարձր ճնշման շոգի ստանալու համար.
«անվտանգության հիմնավորում»` ռիսկի վերլուծություն, ինչպես նաև կառուցվածքային, շահագործման, տեխնոլոգիական փաստաթղթերից վերցված` անվտանգության ապահովման համար անհրաժեշտ նվազագույն միջոցների վերաբերյալ տեղեկություններ պարունակող փաստաթուղթ, որը կցվում է սարքավորումներին դրանց կենսական պարբերաշրջանի բոլոր փուլերում, և որում լրացվում են վերանորոգման աշխատանքներից հետո շահագործման փուլում ռիսկերի գնահատման արդյունքների մասին տեղեկությունները.
«սարքավորումների սահմանային վիճակ»՝ սարքավորումների վիճակ, որի դեպքում դրանց հետագա շահագործումն անթույլատրելի է.
«կիրառումն ըստ նշանակության»՝ սարքավորումների օգտագործում՝ համապատասխան դրանց նշանակությանը և պատրաստողի տեխնիկական փաստաթղթերում նշված տեխնիկական բնութագրերին.
«սերիական արտադրություն»՝ արտադրության տեսակ, որը բնութագրվում է տիպային կառուցվածքային լուծումներով միատեսակ արտադրանքի պատրաստմամբ և (կամ) սարքավորումների չփոփոխվող տիպերի, այդ թվում՝ հավաքման գործողությունների հետ կապված տիպային տեխնոլոգիական գործընթացների կիրառմամբ՝ սարքավորումների անընդհատ կրկնվող դետալների պատրաստման (արտադրման) համար՝ անկախ դրանց հետագա հավաքման տիպերից.
«սարքավորումների վերանորոգում»՝ ցանկացած պատճառով վնասված, մաշված կամ ոչ պիտանի դարձած անոթների տարրերի վերականգնում՝ դրանց հասցնելով աշխատունակության աստիճանի.
«նշանակված ռեսուրս»՝ գումարային աշխատատևություն, որը լրանալուց հետո սարքավորումների շահագործումը պետք է դադարեցվի` անկախ այն հանգամանքից, թե ինչպիսի տեխնիկական վիճակում են դրանք գտնվում.
«անոթ»՝ հերմետիկ փակ տարողություն (անշարժ տեղադրված կամ շարժական), որը նախատեսված է քիմիական, ջերմային և այլ տեխնոլոգիական գործընթացների կատարման, ինչպես նաև գազանման, հեղուկ և այլ նյութերի պահման և տրանսպորտային փոխադրման համար.
«նշանակված ծառայության ժամկետ»` սարքավորումների շահագործման օրացուցային տևողություն, որը լրանալուց հետո դրանց շահագործումը պետք է դադարեցվի` անկախ այն հանգամանքից, թե ինչպիսի տեխնիկական վիճակում են դրանք գտնվում.
«ծառայության ժամկետ հաշվարկային»՝ ծառայության ժամկետ՝ օրացույցային տարիներով, որը սահմանվել է նախագծման ժամանակ, և որը հաշվարկվում է սարքավորումները շահագործման մեջ դնելու օրվանից.
«աշխատանքային միջավայրի ջերմաստիճան»՝ տեխնոլոգիական գործընթացի բնականոն ընթացքի դեպքում միջավայրի նվազագույն (առավելագույն) ջերմաստիճան.
«պատի հաշվարկային ջերմաստիճան»՝ ջերմաստիճան, որի դեպքում որոշվում են նյութի ֆիզիկամեխանիկական բնութագրերը, թույլատրելի լարումը, և անցկացվում է սարքավորումների տարրերի ամրության հաշվարկ.
«պատի թույլատրելի ջերմաստիճան»՝ պատի առավելագույն (նվազագույն) ջերմաստիճան, որի ժամանակ թույլատրվում է սարքավորումների շահագործումը.
«արտադրողի կողմից լիազորված անձ»՝ Մաքսային միության անդամ պետության և Միասնական տնտեսական տարածքի օրենսդրությանը համապատասխան նրա տարածքում գրանցված իրավաբանական անձ կամ որպես անհատ ձեռնարկատեր հանդես եկող ֆիզիկական անձ, որն իրականացնում է օտարերկրյա պատրաստողի գործառույթները նրա հետ պայմանագրի հիման վրա՝ սույն տեխնիկական կանոնակարգի պահանջներին սարքավորումների համապատասխանության ապահովման մասով և սույն տեխնիկական կանոնակարգի պահանջներին սարքավորումների անհամապատասխանության համար պատասխանատվության մասով.
«ապահովիչ սարքվածքներ»՝ սարքվածքներ, որոնք նախատեսված են ճնշման կամ ջերմաստիճանի մեծության թույլատրելի արժեքները գերազանցելու ժամանակ անոթները, կաթսաները, խողովակաշարերը քայքայումից պաշտպանելու համար.
«կենսական պարբերաշրջան»՝ սարքավորումների՝ արտադրողի կողմից բացթողման պահից մինչև դրանց ուտիլիզացումն ընկած ժամանակահատված.
«ցիստեռն»՝ շարժական անոթ, որը մշտապես տեղակայված է երկաթուղային կառամատույցի շրջանակին, ավտոմեքենայի, այդ թվում՝ ավտոցիստերնների շասսիին (կցորդին), կամ այլ փոխադրամիջոցների վրա, նախատեսված է գազանման, հեղուկ և այլ նյութերի տրանսպորտային փոխադրման և պահման համար.
«սարքավորումների շահագործում»՝ սարքավորումների՝ շահագործման մեջ դնելու պահից մինչև դրանց ուտիլիզացումն ընկած կենսական պարբերաշրջանի փուլ.
«սարքավորման տարր»՝ սարքավորման հավաքովի միավոր, որը նախատեսված է դրա հիմնական գործառույթներից մեկի կատարման համար.
III. Շուկայում շրջանառության կանոնները
5. Սարքավորումները շուկայում շրջանառության մեջ են դրվում դրանց՝ սույն տեխնիկական կանոնակարգին և Մաքսային միության այլ տեխնիկական կանոնակարգերին համապատասխանության դեպքում, որոնց գործողությունը տարածվում է տվյալ սարքավորումների վրա, և պայմանով, որ այն անցել է համապատասխանության գնահատումը (հավաստումը)՝ սույն տեխնիկական կանոնակարգի VI բաժնի և Մաքսային միության այլ տեխնիկական կանոնակարգերին համապատասխան, որոնց գործողությունը տարածվում է դրանց վրա։
6. Այն սարքավորումները, որոնց համապատասխանությունը սույն տեխնիկական կանոնակարգի պահանջներին հավաստված չէ, չպետք է մակնշվեն Մաքսային միության անդամ պետությունների շուկայում արտադրանքի շրջանառության միասնական նշանով և չեն թույլատրվում շրջանառության մեջ դնելու համար։
IV. Սարքավորումների անվտանգության ապահովումը մշակման (նախագծման), պատրաստման (արտադրման) ժամանակ
7. Սարքավորումները պետք է մշակվեն (նախագծվեն) և պատրաստվեն (արտադրվեն) այնպես, որ ըստ նշանակության կիրառման, շահագործման և տեխնիկական սպասարկման ժամանակ ապահովվի դրա համապատասխանությունը անվտանգության պահանջներին:
8. Սարքավորումների համար ռիսկերի որոշման նպատակով պետք է հաշվի առնել այն գործոնները, որոնք իրենցից ներկայացնում են վտանգի հետևյալ հիմնական տեսակները.
ա) չպաշտպանված շարժական տարրերի առկայություն.
բ) թրթռում.
գ) պայթյունահրդեհավտանգ տարրերի առկայություն.
դ) կառուցվածքի, հավաքովի միավորների և անվտանգության սարքվածքների պարամետրերի ոչ թույլատրելի շեղումներ, որոնք ազդում են անվտանգության վրա.
ե) հրդեհ, արտակարգ իրավիճակներ՝ բնական և տեխնածին բնույթի.
զ) գերտաքացում.
է) ճնշման բարձրացում (աշխատանքային ճնշումը չի գերազանցում թույլատրելին).
ը) վնասվածքներ, որոնք կապված են սարքավորումների տարրերի ներքին մակերևույթների վրա աշխատանքային միջավայրի խառնուրդների նստվածքների հետ.
թ) կոռոզիա կամ սարքավորումների տարրերի մակերևույթի մաշվածության այլ տեսակներ.
ժ) ապահովիչ սարքվածքների և անվտանգության համակարգերի անսարքություն.
ժա) օժանդակ սարքավորումների աշխատանքի դադարեցում.
ժբ) ջահերի մարումը հնոցում` վառելիքի խցային այրման դեպքում.
ժգ) հեռավար և ավտոմատ կառավարման բոլոր ստուգիչ-չափիչ սարքերի, սարքվածքների վրա լարման անհետացում.
ժդ) հեղուկ աշխատանքային միջավայրի մակարդակի իջեցում՝ նվազագույն թույլատրելի մակարդակից ցածր.
ժե) աշխատանքային միջավայրի մակարդակի բարձրացում՝ առավելագույն թույլատրելի մակարդակից բարձր.
ժզ) կաթսայի միջոցով ջերմակրի ծախսի իջեցում՝ նվազագույն թույլատրելի արժեքից ցածր.
ժէ) կաթսայի տրակտում ջերմակրի ճնշման իջեցում՝ արժեքի նվազագույն թույլատրելի մակարդակի ցածր.
ժը) սարքավորումներից դուրս գալու պահին ջերմակրի ջերմաստիճանի բարձրացում՝ մինչև պատրաստողի կողմից նշված սահմանային արժեքը.
ժթ) ուղղակի գործողության աշխատանքային միջավայրի մակարդակի ցուցիչների շարքից դուրս գալը:
9. Վտանգի նույնականացված տեսակների համար նախագծման ժամանակ անցկացվում է ռիսկի գնահատում՝ հաշվարկային, փորձարարական, փորձագիտական եղանակով կամ ըստ սարքավորումների նույնանման տեսակների շահագործման տվյալների։
10. Սարքավորումները, կախված տարողունակությունից կամ անվանական տրամագծից, ինչպես նաև առավելագույն թույլատրելի աշխատանքային ճնշումից, դասակարգվում են ըստ կատեգորիաների (1-ին, 2-րդ, 3-րդ և 4-րդ)՝ սույն տեխնիկական կանոնակարգի թիվ 1 հավելվածին համապատասխան:
11. Սարքավորումների անվտանգությունն ապահովվում է մշակման (նախագծման), պատրաստման (արտադրման) ժամանակ սույն բաժնում և սույն տեխնիկական կանոնակարգի թիվ 2 հավելվածում շարադրված անվտանգության պահանջների պահպանմամբ:
12. Սարքավորումների և անվտանգության սարքվածքների պատրաստման (արտադրման) ժամանակ պատրաստողի կողմից ապահովվում է դրանց համապատասխանությունը նախագծային փաստաթղթերով սահմանված պարամետրերին ու բնութագրերին և սույն տեխնիկական կանոնակարգի պահանջներին:
13. Պատրաստողն անցկացնում է սարքավորումների՝ նախագծային փաստաթղթերով նախատեսված փորձարկումներ:
14. Սարքավորումների պատրաստման (արտադրման) ժամանակ նախագծային փաստաթղթերից շեղումները պետք է համաձայնեցվեն մշակողի (նախագծողի) հետ։
15. Սարքավորումները ծառայության ողջ ժամկետի ընթացքում պետք է լինեն անվտանգ՝ տեխնիկական փաստաթղթերում սահմանված՝ դրանց անվտանգության ապահովման միջոցները սպառողի կողմից կատարելիս:
16. Սարքավորումներին կցվող տեխնիկական փաստաթղթերը ներառում են՝
ա) սարքավորման անձնագիրը,
բ) անվտանգության հիմնավորման պատճենը,
գ) ընդհանուր տեսքի բնութագիրը,
դ) ապահովիչ սարքվածքների անձնագրերը (դրանց առկայության դեպքում՝ նախագծային փաստաթղթերին համապատասխան),
ե) ապահովիչ սարքվածքների թողունակության հաշվարկը (դրանց առկայության դեպքում՝ նախագծային փաստաթղթերին համապատասխան),
զ) սարքավորումների ամրության հաշվարկը,
է) շահագործման ձեռնարկը (հրահանգը),
ը) գծագրերը, սխեմաները, հաշվարկները և այլ փաստաթղթերը՝ համապատասխան մատակարարման պայմանագրին:
17. Սարքավորման անձնագիրը հանդիսանում է սարքավորման նույնականացման համար հիմնական փաստաթուղթ:
Սարքավորման անձնագրի առկայությունն անհրաժեշտ է սարքավորման կենսական պարբերաշրջանի բոլոր փուլերում Մաքսային միության մաքսային տարածքում սարքավորման շրջանառության համար:
Սարքավորման անձնագիրը ձևակերպվում է պատրաստողի կողմից:
Սարքավորման անձնագրի վրա դրվում է պատրաստողի կնիքը, և նշվում է դրա ձևակերպման ամսաթիվը:
18. Կախվածում է դրա ձևակերպման ամսաթիվը:տրաստողի կնիքըմից:ան մաքսային տարածքում սարքավորման շրջանառության համար:իության մաքսային տարածքում սարքավո
19. Խողովակաշարի անձնագիրը պարունակում է հետևյալ տեղեկատվությունը.
ա) ձեռնարկություն-տիրապետողի անվանումը և հասցեն,
բ) նշանակությունը,
գ) պատրաստման (արտադրման) ամսաթիվը,
դ) աշխատանքային միջավայրը,
ե) աշխատանքային միջավայրի աշխատանքային պարամետրերը՝ ճնշումը, ՄՊա (կգու/սմ2), ջերմաստիճանը, °С,
զ) ծառայության հաշվարկային ժամկետը,
է) հաշվարկային ռեսուրսը,
ը) մեկնարկումների հաշվարկային քանակությունը,
թ) խողովակաշարի պատրաստման (արտադրման) և մոնտաժման սխեմաները, գծագրերը, վկայականները և այլ փաստաթղթեր:
20. Կաթսայի անձնագիրը պարունակում է հետևյալ տեղեկատվությունը (տեղեկությունների ծավալը ձևակերպում է պատրաստողը՝ կախված կաթսայի տեսակից).
ա) ընդհանուր տեղեկություններ՝
պատրաստողի անվանումը և հասցեն,
պատրաստման (արտադրման) ամսաթիվը,
տեսակը (մոդելը),
անվանումը և նշանակությունը,
գործարանային համարը,
ծառայության հաշվարկային ժամկետը,
կաթսայի և հիմնական մասերի հաշվարկային ռեսուրսը,
մեկնարկումների հաշվարկային քանակը,
կաթսայի և դրա տարրերի երկրաչափական չափերը.
բ) տեխնիկական բնութագրեր և պարամետրեր՝
վառելիքի հաշվարկային տեսակը և դրա այրման ջերմությունը, ՄՋ/կգ (կկալ/կգ),
վառելիքի ծախսը, մ3/ժ (տ/ժ),
հնոցային կայանքի (հրածորանի) տիպը և բնութագիրը,
հաշվարկային, աշխատանքային, փորձարկման ճնշումը, ՄՊա (կգու/սմ2),
առավելագույն թույլատրելի հիդրավլիկ դիմադրությունը անվանական արտադրողականության դեպքում, ՄՊա (կգու/սմ2),
նվազագույն թույլատրելի ճնշումը անվանական ջերմաստիճանի դեպքում, ՄՊա (կգու/սմ2),
շոգու անվանական ջերմաստիճանը կաթսայից դուրս գալու պահին, °С,
գերտաքացված շոգու հաշվարկային ջերմաստիճանը, °С,
հեղուկի անվանական ջերմաստիճանը կաթսա մտնելու պահին, °С,
հեղուկի անվանական և առավելագույն ջերմաստիճանը կաթսայից դուրս գալու պահին, °С,
անվանական, նվազագույն և առավելագույն թույլատրելի շոգեարտադրողականությունը, տ/ժ,
անվանական, նվազագույն և առավելագույն ջերմարտադրողականությունը, կՎտ,
կաթսայի և հիմնական մասերի տաքացման մակերևույթը, մ2,
տարողունակությունը, մ3,
հեղուկի նվազագույն և առավելագույն թույլատրելի ծախսը, մ3/ժ.
գ) ապահովիչ սարքվածքների մասին տեղեկություններ (այդ թվում՝ տեսակը, քանակը, տեղակայման վայրը, հատման մակերեսը, անվանական տրամագիծը, շոգու կամ հեղուկի ծախսի գործակիցը, մեծությունը (տիրույթը)).
դ) հեղուկի (ջրի) մակարդակի ցուցիչների մասին տեղեկություններ (այդ թվում՝ ցուցիչի տեսակը, քանակը, տեղակայման վայրը).
ե) հիմնական արմատուրի մասին տեղեկություններ (այդ թվում՝ քանակը, անվանական տրամագիծը, պայմանական ճնշումը, աշխատանքային պարամետրերը, իրանի նյութը, տեղակայման վայրը).
զ) չափման, կառավարման, ազդանշանային, կարգավորման և ավտոմատ պաշտպանության հիմնական ապարատուրայի մասին տեղեկություններ (այդ թվում՝ քանակը, տեսակը (մակնիշը)).
է) պոմպերի մասին տեղեկություններ (այդ թվում՝ տեսակը, քանակը, աշխատանքային պարամետրերը, շարժաբերի տեսակը).
ը) կաթսայի՝ թերթավոր պողպատից պատրաստված (արտադրված) հիմնական տարրերի մասին տեղեկություններ (այդ թվում՝ քանակը, չափերը, նյութը, եռակցումը և ջերմամշակումը).
թ) կաթսայի՝ խողովակներից պատրաստված (արտադրված) տարրերի մասին տեղեկություններ (այդ թվում՝ քանակը, չափերը, նյութը, եռակցումը և ջերմամշակումը).
ժ) խողովակապտուկների, կափարիչների, հատակների, կցախողովակների, կցաշուրթերի մասին տեղեկություններ (այդ թվում՝ քանակը, չափերը, նյութը).
ժա) տեղեկություններ՝ ջերմակրի մասին (այդ թվում՝ անվանումը, կիրառման առավելագույն թույլատրելի ջերմաստիճանը, բաց տարածությունում ինքնաբոցավառման ջերմաստիճանը, պնդացման ջերմաստիճանը, եռման ջերմաստիճանը, եռման ջերմաստիճանի փոփոխությունը (կորը)՝ կախված ճնշումից, այլ տվյալներ, որոնք ազդում են անվտանգ շահագործման վրա).
ժբ) կաթսայի և դրա հիմնական տարրերի նկարներ, սխեմաներ, գծագրեր և այլ փաստաթղթեր (գործարանային փոփոխությունների ամփոփաթերթ, համալրման ամփոփագիր, հավաքովի միավորների հիմնական չափերի նշումով մասնագիր և այլն).
ժգ) այլ տեղեկություններ, որոնցով ապահովվում է կաթսայի շահագործման անվտանգությունը:
21. Անոթի անձնագիրը պարունակում է հետևյալ տեղեկատվությունը.
ա) ընդհանուր տեղեկություններ՝
պատրաստողի անվանումը և հասցեն,
պատրաստման (արտադրման) ամսաթիվը,
գործարանային համարը,
ծառայության հաշվարկային ժամկետը.
բ) տեխնիկական բնութագրերի և պարամետրերի մասին տեղեկություններ՝
աշխատանքային, հաշվարկային, փորձարկման ճնշումը, ՄՊա (կգու/սմ2),
աշխատանքային միջավայրի աշխատանքային ջերմաստիճանը,°С,
պատի հաշվարկային ջերմաստիճանը, °С,
պատի նվազագույն թույլատրելի բացասական ջերմաստիճանը, °С,
աշխատանքային միջավայրի անվանումը,
աշխատանքային միջավայրի խումբը,
կոռոզիայի (էրոզիայի) փոխհատուցման համար հավելումը, մմ,
տարողունակությունը, մ3,
դատարկ անոթի զանգվածը, կգ,
լցվող նյութի առավելագույն զանգվածը, կգ.
գ) հիմնական մասերի մասին տեղեկություններ (այդ թվում՝ քանակը, չափերը, նյութը, եռակցումը (զոդումը)).
դ) խողովակապտուկների, կցաշուրթերի, կափարիչների, ամրակման արտադրատեսակների մասին տեղեկություններ (այդ թվում՝ քանակը, չափերը, նյութը).
ե) ապահովիչ սարքվածքների, հիմնական արմատուրների, հսկիչ-չափիչ սարքերի, անվտանգության սարքերի մասին տեղեկություններ (այդ թվում՝ քանակը, անվանական տրամագիծը, հաշվարկային ճնշումը, իրանի նյութը, տեղակայման վայրը).
զ) անոթի նկարներ, սխեմաներ,գծագրեր և այլ փաստաթղթեր (գործարանային փոփոխություններ ամփոփ թերթիկ, համալրման ամփոփագիր, հավաքովի միավորների հիմնական չափերի նշումով մասնագիր և այլն).
է) այլ տեղեկություններ, որոնցով ապահովվում է անոթի շահագործման անվտանգությունը:
22. Բալոնի անձնագիրը պարունակում է հետևյալ տեղեկատվությունը.
ա) ընդհանուր տեղեկություններ՝
պատրաստողի անվանումը և հասցեն,
պատրաստման (արտադրման) ամսաթիվը,
բալոնի նշանակությունը,
միջավայրը, որի համար նախատեսված է բալոնը,
գործարանային համարը.
բ) տեխնիկական բնութագրերի և պարամետրերի մասին տեղեկություններ՝
աշխատանքային ճնշումը, ՄՊա (կգու/սմ2),
փորձարկման ճնշումը, ՄՊա (կգու/սմ2),
բալոնի հիմնական չափերը, բալոնի գծագիրը,
տարողունակությունը, (լ),
զանգվածը, կգ,
բկանցքների վրա պարուրակները,
բկանցքների խտացումը,
շահագործման ջերմաստիճանային տիրույթը, °С,
լցավորումների առավելագույն քանակը,
ծառայության հաշվարկային ժամկետը պատրաստման (արտադրման) ամսաթվից, տարի.
գ) բալոնի տրանսպորտային փոխադրման և պահպանման նկատմամբ պահանջները.
դ) բալոնի տեղադրման նկատմամբ պահանջները.
ե) բալոնի շահագործման նկատմամբ պահանջները.
զ) այլ տեղեկություններ, որոնցով ապահովվում է բալոնի շահագործման անվտանգությունը:
23. Արմատուրի անձնագիրը պարունակում է հետևյալ տեղեկատվությունը.
ա) ընդհանուր տեղեկություններ՝
պատրաստողի անվանումը և հասցեն,
պատրաստման (արտադրման) ամսաթիվը,
անվանումը, նշագիրը և նույնականցման (գործարանային) համարը,
արմատուրի նշանակությունը,
համապատասխանության հավաստման մասին տեղեկություններ.
բ) տեխնիկական պարամետրերի մասին տեղեկություններ՝
անվանական տրամագիծը (DN),
անվնական ճնշումը (PN) կամ աշխատանքային ճնշումը (Pp), ՄՊա (կգու/սմ2),
աշխատանքային միջավայրը,
աշխատանքային միջավայրի ջերմաստիճանը,°С,
փականի հերմետիկությունը,
կլիմայական կատարումը և շրջակա միջավայրի պարամետրերը,
խողովակաշարին միանալու տիպը,
հիդրավլիկական բնութագրերը (դիմադրության գործակիցը կամ պայմանական թողունակությունը կամ ծախսի գործակիցը),
արտաքին ազդեցությունների նկատմամբ կայունություն (այն դեպքում, եթե անհրաժեշտ է ներկայացնել տվյալ տեղեկատվությունը),
զանգվածը, կգ,
հուսալիության ցուցանիշները,
անվտանգության ցուցանիշները,
շարժաբերի տեսակը և դրա հիմնական տեխնիկական բնութագրերը.
գ) հիմնական դետալների նյութերի մասին տեղեկությունները.
դ) այլ տեղեկություններ, որոնցով ապահովվում է կաթսայի շահագործման անվտանգությունը:
24. Պատրաստողն իրավասու է սույն տեխնիկական կանոնակարգի 19-23-րդ կետերում նշված տեղեկությունները լրացնել կոնկրետ սարքավորման կառուցվածքային առանձնահատկություններն արտացոլող տեղեկատվությամբ:
25. Սարքավորման անվտանգության հիմնավորումը պատրաստվում է սարքավորման մշակման (նախագծման) փուլում:
Անվտանգության հիմնավորման մեջ ներկայացվում են սարքավորումների համար ռիսկերի վերլուծությունը, ինչպես նաև անվտանգության ապահովման նվազագույն անհրաժեշտ միջոցները:
Սարքավորման անվտանգության հիմնավորման բնօրինակը պահվում է մշակողի (նախագծողի) մոտ, իսկ պատճենը՝ սարքավորումը պատրաստողի մոտ և սարքավորումը շահագործող կազմակերպությունում։
26. Սարքավորման պատրաստողը պետք է ապահովի սարքավորումը շահագործման ձեռնարկով (հրահանգով):
Սարքավորումների շահագործման ձեռնարկը (հրահանգը) պատրաստվում է սարքավորումների մշակման (նախագծման) փուլում:
27. Շահագործման ձեռնարկը (հրահանգը) ներառում է՝
ա) սարքավորումների կառուցվածքի, գործողության սկզբունքի, բնութագրերի (հատկությունների) մասին տեղեկությունները.
բ) սարքավորումների մոնտաժման կամ հավաքման, կարգաբերման կամ կարգավորման, տեխնիկական սպասարկման ու վերանորոգման մասին ցուցումները.
գ) սարքավորումների օգտագործման մասին ցուցումները և անվտանգության ապահովմանն ուղղված միջոցները, որոնց անհրաժեշտ է պահպանել սարքավորումների շահագործման ժամանակ (ներառյալ շահագործման մեջ դնելը, ըստ նշանակության կիրառելը, տեխնիկական սպասարկումը, վերանորոգման բոլոր տեսակները, պարբերաբար արատորոշումը, փորձարկումները, տրանսպորտային փոխադրումը, փաթեթավորումը, կոնսերվացումն ու պահպանման պայմանները).
դ) նշանակված ցուցանիշները (նշանակված պահպանման ժամկետը, նշանակված ծառայության ժամկետը և (կամ) նշանակված ռեսուրսը)՝ կախված կառուցվածքային առանձնահատկություններից:
Շահագործման ձեռնարկում (հրահանգում) նշված նշանակված ցուցանիշները (նշանակված պահպանման ժամկետը, նշանակված ծառայության ժամկետը և(կամ) նշանակված ռեսուրսը) լրանալուն պես սարքավորումների շահագործումն ավարտվում է, և ընդունվում է որոշում դրանց վերանորոգման ուղարկելու, կամ ուտիլիզացնելու, կամ ստուգելու և նոր նշանակված ցուցանիշներ (նշանակված ռեսուրս, պահպանման ժամկետ, ծառայության ժամկետ) սահմանելու վերաբերյալ.
ե) կրիտիկական խափանումների ցանկը, անձնակազմի հնարավոր սխալ գործողությունները, որոնք հանգեցնում են միջադեպի կամ վթարի.
զ) անձնակազմի գործողությունները միջադեպի, կրիտիկական խափանման կամ վթարի դեպքում.
է) սահմանային վիճակների չափորոշիչները.
ը) ցուցումներ՝ շահագործումից և ուտիլիզացումից հանելու մասին.
թ) տեղեկություններ՝ սպասարկող անձնակազմի որակավորման վերաբերյալ.
ժ) պատրաստողի (պատրաստողի կողմից լիազորված անձի), ներմուծողի անվանումը, գտնվելու վայրը և կոնտակտային տեղեկատվությունը:
28. Շահագործման ձեռնարկը (հրահանգը) կազմվում է ռուսերեն և Մաքսային միության ու Միասնական տնտեսական տարածքի անդամ պետությունների (այսուհետ՝ անդամ պետություններ) օրենսդրությունում համապատասխան պահանջի առկայության դեպքում՝ անդամ պետությունների պետական լեզուներով:
Շահագործման ձեռնարկը (հրահանգը) ձևակերպվում է թղթային կրիչի վրա, ընդ որում, կարող է կցվել շահագործման փաստաթղթերի լրակազմ էլեկտրոնային կրիչի վրա: Ոչ կենցաղային նշանակության սարքավորումների լրակազմին շահագործման ձեռնարկը (հրահանգը) պատրաստողի ընտրությամբ կարող է կցվել միայն էլեկտրոնային կրիչով:
29. Սարքավորումների վրա զետեղվում է հստակ ու չջնջվող գրառումների տեսքով մակնշվածք, որոնք պարունակում են հետևյալ տեղեկատվությունը.
ա) սարքավորման տեսակի, մակնիշի, մոդելի անվանումը և (կամ) նշագիրը.
բ) անվտանգության վրա ազդող պարամետրերը և բնութագրերը.
գ) այն նյութի անվանումը, որից պատրաստված (արտադրված) են սարքավորումները (տարրերը).
դ) արտադրողի ապրանքային նշանը (առկայության դեպքում).
ե) գործարանային համարը.
զ) պատրաստման (արտադրման) ամսաթիվը:
30. Մակնշման տեղը որոշվում է նախագծային կազմակերպության կողմից և նշվում է շահագործման ձեռնարկում (հրահանգում):
Այն դեպքում, երբ սույն տեխնիկական կանոնակարգի 29-րդ կետում նշված տեղեկությունները հնարավոր չէ զետեղել անմիջապես սարքավորման վրա, դրանք կարող են նշվել միայն այդ սարքավորմանը կցվող շահագործման ձեռնարկում (հրահանգում):
31. Հեղուկացված ածխաջրածնային գազերի տրանսպորտային փոխադրման համար նախատեսված սարքավորումների (բալոնների և ավտոցիստեռնների) վրա արվում է տարբերակիչ ներկվածք և նույնականցման տեղեկատվություն՝ սույն տեխնիկական կանոնակարգի թիվ 3 հավելվածով նախատեսված պահանջներին համապատասխան: Նշված սարքավորումները կոռոզիակայուն ջերմամեկուսիչ նյութերով ծածկելու (պատելու) դեպքում ներկվածքն ամբողջ երկարությամբ չի կարող կատարվել:
32. Տարրերը և համալրող սարքավորումները մակնշվում են մատակարարման պայմանագրին համապատասխան: Մակնշմամբ պետք է ապահովվի դրանց նույնականցումը:
33. Սարքավորման տեխնիկական փաստաթղթերը այդ սարքավորումն արտադրությունից հանելու կամ դրա արտադրությունը դադարեցնելու օրվանից ծառայության հաշվարկային ժամկետի ընթացքում պահվում են պատրաստողի (պատրաստողի կողմից լիազորված անձի) մոտ:
34. Սարքավորումների շահագործման կանոնները սահմանվում են անդամ պետությունների օրենսդրությամբ:
V. Անվտանգության պահանջներին համապատասխանության ապահովումը
35. Սարքավորումների համապատասխանությունը սույն տեխնիկական կանոնակարգի պահանջներին ապահովվում է այդ պահանջների անմիջական կատարմամբ կամ ստանդարտների ցանկում ընդգրկված ստանդարտների այն պահանջների կատարմամբ, որոնց կամավոր հիմունքով կիրառման արդյունքում ապահովվում է սույն տեխնիկական կանոնակարգի պահանջների պահպանումը:
36. Սարքավորումների հետազոտությունների (փորձարկումների) և չափումների մեթոդները սահմանվում են այն ստանդարտներով, որոնք պարունակում են հետազոտությունների (փորձարկումների) և չափումների կանոններն ու մեթոդները, ինչպես նաև նմուշառման կանոնները, որոնք անհրաժեշտ են սույն տեխնիկական կանոնակարգի պահանջների կիրարկման ու կատարման և սարքավորումների համապատասխանության գնահատման (հավաստման) համար:
VI. Սարքավորումների համապատասխանության գնահատումը (հավաստումը)
37. Մաքսային միության միասնական մաքսային տարածքում շրջանառության մեջ դրվող սարքավորումները ենթակա են սույն տեխնիկական կանոնակարգի պահանջներին համապատասխանության գնահատման (հավաստման)։
38. Սարքավորումների համապատասխանության գնահատումը (հավաստումը) սույն տեխնիկական կանոնակարգի պահանջներին անցկացվում է պետական հսկողության (վերահսկման) և համապատասխանության հավաստման ձևով:
39. Սույն տեխնիկական կանոնակարգի պահանջների պահպանման նկատմամբ պետական հսկողությունն (վերահսկողությունն) իրականացվում է անդամ պետությունների օրենսդրությանը համապատասխան:
40. Սարքավորումների համապատասխանության հավաստումը սույն տեխնիկական կանոնակարգի պահանջներին (այսուհետ՝ համապատասխանության հավաստում) իրականացվում է՝
ա) Մաքսային միության սերտիֆիկացման մարմինների և փորձարկման լաբորատորիաների (կենտրոնների) միասնական ռեեստրում ընդգրկված սերտիֆիկացման (համապատասխանության գնահատման (հավաստման)) հավատարմագրված մարմնի կողմից (այսուհետ՝ սերտիֆիկացման մարմին) սերտիֆիկացման միջոցով,
բ) սեփական ապացույցների և (կամ) Մաքսային միության սերտիֆիկացման մարմինների ու հավատարմագրված փորձարկման լաբորատորիաների (կենտրոնների) (այսուհետ՝ հավատարմագրված փորձարկման լաբորատորիա) միասնական ռեեստրում ընդգրկված սերտիֆիկացման մարմնի կամ հավատարմագրված փորձարկման լաբորատորիայի (կենտրոնի) մասնակցությամբ ձեռք բերված ապացույցների հիման վրա համապատասխանության հայտարարագրման միջոցով։
41. Համապատասխանության հավաստումն իրականացվում է սույն տեխնիկական կանոնակարգով սահմանված սերտիֆիկացման և հայտարարագրման սխեմաների համաձայն։
42. Սարքավորումների համապատասխանության հայտարարագրումը սույն տեխնիկական կանոնակարգի պահանջներին անցկացվում է հայտատուի կողմից 1-ին և 2-րդ կատեգորիաների սարքավորումների նկատմամբ, ինչպես նաև ցանկացած կատեգորիայի սարքավորումների նկատմամբ, որոնց վերջնական պատրաստումը չերկատվող միացումների կիրառմամբ իրականացվում է ըստ շահագործման վայրի։
43. Սերտիֆիկացումն անցկացվում է 3-րդ և 4-րդ կատեգորիաների սարքավորումների նկատմամբ։
44. Սույն տեխնիկական կանոնակարգի պահանջներին սարքավորումների համապատասխանությունը հավաստող միակ փաստաթուղթ է հանդիսանում կամ համապատասխանության հայտարարագիրը, կամ համապատասխանության սերտիֆիկատը։
45. Համապատասխանության հավաստման անցկացման ժամանակ հայտատուն ձևավորում է սարքավորումների փաստաթղթերի լրակազմ, որը ներառում է՝
ա) անվտանգության հիմնավորումը.
բ) սարքավորման անձնագիրը.
գ) շահագործման ձեռնարկը (հրահանգը).
դ) նախագծային փաստաթղթերը.
ե) ապահովիչ սարքվածքների ամրության հաշվարկների և թողունակության հաշվարկների արդյունքները (նախագծին համապատասխան դրանց առկայության դեպքում).
զ) տեխնոլոգիական կանոնակարգերը և տեխնոլոգիական գործընթացի մասին տեղեկությունները (կիրառվող նյութերի, կիսապատրաստվածքների, համալրող, եռակցման նյութերի, եռակցման ռեժիմների եղանակների և պարամետրերի ու ջերմային մշակման, չքայքայող վերահսկման մեթոդների և արդյունքների մասին).
է) անցկացված փորձարկումների (չափումների) մասին տեղեկությունները.
ը) պատրաստողի, պատրաստողի կողմից լիազորված անձի և (կամ) հավատարմագրված փորձարկման լաբորատորիայի կողմից անցկացված սարքավորումների փորձարկումների արձանագրությունները.
թ) նյութերի և կոմպլեկտավորող արտադրատեսակների բնութագրերի հաստատման մասին փաստաթուղթը (առկայության դեպքում).
ժ) համապատասխանության սերտիֆիկատը, համապատասխանության հայտարարագիրը կամ նյութերի և կոմպլեկտավորող արտադրատեսակների նկատմամբ փորձարկումների արձանագրությունները (առկայության դեպքում).
ժա) սույն տեխնիկական կանոնակարգի V բաժնում նշված այն ստանդարտների ցանկը, որոնք կիրառվել են սարքավորումների պատրաստման (արտադրման) ժամանակ (պատրաստողի կողմից դրանց կիրառման դեպքում).
ժբ) մասնագետների և պատրաստողի անձնակազմի որակավորումը հաստատող փաստաթղթերը․
ժգ) այլ փաստաթղթեր, որոնցով ուղղակիորեն կամ անուղղակիորեն հավաստվում է սույն տեխնիկական կանոնակարգի անվտանգության պահանջներին սարքավորումների համապատասխանությունը (առկայության դեպքում)։
46. Սարքավորումների համապատասխանության հայտարարագրումը սույն տեխնիկական կանոնակարգի պահանջներին իրականացվում է՝ ըստ հետևյալ սխեմաների.
ա) 1հ սխեման կիրառվում է 1-ին և 2-րդ կատեգորիաների սերիական թողարկման սարքավորումների նկատմամբ, ընդ որում, հայտատուն կազմում է սույն տեխնիկական կանոնակարգի 45-րդ կետում նշված փաստաթղթերի լրակազմը, իրականացնում է արտադրական հսկողություն և ձեռնարկում է միջոցներ, որպեսզի արտադրական գործընթացով ապահովվի սարքավորումների համապատասխանությունը սույն տեխնիկական կանոնակարգի պահանջներին, փորձարկման լաբորատորիայում կամ հավատարմագրված փորձարկման լաբորատորիայում անցկացնում է նմուշների փորձարկումներ, ընդունում և գրանցում է համապատասխանության հայտարարագիրը.
բ) 2հ սխեման կիրառվում է 1-ին և 2-րդ կատեգորիաների սարքավորումների խմբաքանակի (միավոր արտադրատեսակի) նկատմամբ, ընդ որում, հայտատուն կազմում է սույն տեխնիկական կանոնակարգի 45-րդ կետում նշված փաստաթղթերի լրակազմը, փորձարկման լաբորատորիայում կամ հավատարմագրված փորձարկման լաբորատորիայում անցկացնում է նմուշների փորձարկումներ, ընդունում և գրանցում է համապատասխանության հայտարարագիրը.
գ) 3հ սխեման կիրառվում է 1-ին և 2-րդ կատեգորիաների սերիական թողարկման սարքավորումների տարրերի և 1-ին ու 2-րդ կատեգորիաների սարքավորումների կոմպլեկտավորող արտադրատեսակների նկատմամբ, ընդ որում, հայտատուն կազմում է սույն տեխնիկական կանոնակարգի 45-րդ կետում նշված փաստաթղթերի լրակազմը, իրականացնում է արտադրական հսկողություն և ձեռնարկում է միջոցներ, որպեսզի արտադրական գործընթացով ապահովվի սարքավորումների տարրերի և կոմպլեկտավորող արտադրատեսակների համապատասխանությունը սույն տեխնիկական կանոնակարգի պահանջներին, հավատարմագրված փորձարկման լաբորատորիայում անցկացնում է նմուշների փորձարկումներ, ընդունում և գրանցում է համապատասխանության հայտարարագիրը.
դ) 4հ սխեման կիրառվում է 1-ին և 2-րդ կատեգորիաների սարքավորումների տարրերի խմբաքանակի և 1-ին ու 2-րդ կատեգորիաների սարքավորումների կոմպլեկտավորող արտադրատեսակների նկատմամբ, ընդ որում, հայտատուն կազմում է սույն տեխնիկական կանոնակարգի 45-րդ կետում նշված փաստաթղթերի լրակազմը, հավատարմագրված փորձարկման լաբորատորիայում անցկացնում է նմուշների փորձարկումներ, ընդունում և գրանցում է համապատասխանության հայտարարագիրը.
ե) 5հ սխեման կիրառվում է 1-ին, 2-րդ, 3-րդ և 4-րդ կատեգորիաների սարքավորումների նկատմամբ, որոնց վերջնական պատրաստումը չերկատվող միացումների օգտագործմամբ իրականացվում է ըստ շահագործման վայրի հետևյալ դեպքերում՝
մինչև շահագործման վայրում սարքավորումների տեղակայումն ամբողջ ծավալով փորձարկումներ անցկացնելն անհնար է.
սարքավորումների մշակման (նախագծման) և պատրաստման (արտադրման) ժամանակ չեն կիրառվել սույն տեխնիկական կանոնակարգի 36-րդ կետում նշված ստանդարտները, այդ թվում՝ նորարարական սարքավորումների համար: 5հ սխեմայի կիրառման ժամանակ հայտատուն կազմում է սույն տեխնիկական կանոնակարգի 45-րդ կետում նշված փաստաթղթերի լրակազմը, իրականացնում է արտադրական հսկողություն և ձեռնարկում է միջոցներ, որպեսզի արտադրական գործընթացով ապահովվի սարքավորումների համապատասխանությունը սույն տեխնիկական կանոնակարգի պահանջներին, և սերտիֆիկացման մարմին է ուղարկում սարքավորման տիպի հետազոտում անցկացնելու հայտը.
սերտիֆիկացման մարմինն անցկացնում է սարքավորումների տիպի հետազոտություն՝ հաշվի առնելով հայտատուի կողմից ստացված փաստաթղթերը։ Եթե հայտատուն չի կիրառել սույն տեխնիկական կանոնակարգի 36-րդ կետում նշված ստանդարտները, ապա սերտիֆիկացման մարմինը գնահատում է այդ ստանդարտների պահանջները ներկայացված պահանջներով փոխարինելու հնարավորությունը։ Տիպի հետազոտությունը, կախված դիմումատուի կողմից ներկայացված փաստաթղթերից, անցկացվում է հետևյալ եղանակներից մեկով.
նմուշի՝ որպես հետագայում արտադրվող բոլոր սարքավորումների ներկայացուցչի հետազոտություն.
ներկայացված փաստաթղթերի ուսումնասիրում, սարքավորումների նմուշի կամ հիմնական (կրիտիկական) բաղկացուցիչ մասերի փորձարկում.
սարքավորումների տիպի հետազոտությունների դրական արդյունքների դեպքում սերտիֆիկացման մարմնի կողմից Եվրասիական տնտեսական հանձնաժողովի որոշմամբ հաստատված միասնական ձևով սարքավորումների տիպի համար սերտիֆիկատի ձևակերպում և տրամադրում հայտատուին: Նշված սերտիֆիկատը համապատասխանության հայտարարագրի անբաժանելի մասն է։ Դրա մեջ պարունակվող սարքավորումներին ներկայացվող պահանջները, որոնք համարվում են սույն տեխնիկական կանոնակարգի պահանջներին սարքավորումների համապատասխանության բավարար ապացույց, օգտագործվում են սույն տեխնիկական կանոնակարգի պահանջների պահպանման մասով պետական հսկողության (վերահսկողության) մարմինների կողմից ստուգումների ժամանակ.
հայտատուն ընդունում է համապատասխանության հայտարարագիրը և իրականացնում է դրա գրանցումը սահմանված կարգով:
47. 1հ, 3հ և 5հ սխեմաներով համապատասխանության հայտարարագրման ժամանակ հայտատու կարող է լինել անդամ պետության օրենսդրությանը համապատասխան դրա տարածքում գրանցված իրավաբանական անձը կամ որպես անհատ ձեռնարկատեր գրանցված ֆիզիկական անձը, որը հանդիսանում է պատրաստող կամ պատրաստողի կողմից լիազորված անձ:
2հ և 4հ սխեմաներով համապատասխանության հայտարարագրման ժամանակ հայտատու կարող է լինել անդամ պետության օրենսդրությանը համապատասխան դրա տարածքում գրանցված իրավաբանական անձը կամ որպես անհատ ձեռնարկատեր գրանցված ֆիզիկական անձը, որը հանդիսանում է պատրաստող, վաճառող կամ պատրաստողի կողմից լիազորված անձ:
48. Որպես սեփական ապացույցների հիման վրա համապատասխանության հայտարարագրման ընդունման համար հիմք հանդիսացող ապացուցողական նյութեր օգտագործվում են սույն տեխնիկական կանոնակարգի 45-րդ կետում նշված փաստաթղթերը, ինչպես նաև սույն տեխնիկական կանոնակարգի V բաժնում նշված ստանդարտները:
49. Սարքավորումների փորձարկումների արձանագրությունները կարող են օգտագործվել որպես համապատասխանության հայտարարագրի ընդունման համար սեփական ապացույցների հիման վրա հիմք հանդիսացող ապացուցողական նյութեր դրանց մեջ ցուցանիշների այն արժեքների առկայության դեպքում, որոնցով հավաստվում է հայտագրված սարքավորումների համապատասխանությունը սույն տեխնիկական կանոնակարգի՝ դրանց վրա տարածվող բոլոր պահանջներին:
50. Համապատասխանության հայտարարագիրը ձևակերպվում է Մաքսային միության տեխնիկական կանոնակարգի պահանջներին համապատասխանության հայտարարագրի միասնական ձևին և դրա ձևակերպման կանոններին համապատասխան, որոնք հաստատվել են Եվրասիական տնտեսական հանձնաժողովի կոլեգիայի 2012 թվականի դեկտեմբերի 25-ի թիվ 293 որոշմամբ:
51. Համապատասխանության հայտարարագիրը ենթակա է սահմանված կարգով գրանցման: Համապատասխանության հայտարարագրի գործողությունը սկսվում է դրա՝ տրված համապատասխանության սերտիֆիկատների և գրանցված համապատասխանության հայտարարագրերի միասնական ռեեստրում գրանցման օրվանից: Սերիական թողարկման սարքավորումների համապատասխանության հայտարարագրի գործողության ժամկետը կազմում է 5 տարուց ոչ ավելի: Սարքավորումների խմբաքանակի (միավոր արտադրատեսակի) համապատասխանության հայտարարագրի գործողության ժամկետ չի սահմանվում:
Սարքավորումների խմբաքանակի՝ սույն տեխնիկական կանոնակարգի պահանջների հետ համապատասխանության հայտարարագիրը գործում է միայն որոշակի խմբաքանակին պատկանող սարքավորումների նկատմամբ։
52. Սարքավորումների սերտիֆիկացումն իրականացվում է ըստ հետևյալ սխեմաների.
ա) 1ս սխեման կիրառվում է սերիական թողարկման սարքավորումների նկատմամբ, ընդ որում՝
հայտատուն կազմում է սույն տեխնիկական կանոնակարգի 45-րդ կետում նշված փաստաթղթերի լրակազմը և սերտիֆիկացման հայտը ներկայացնում է սերտիֆիկացման մարմին.
սերտիֆիկացման մարմինը փորձարկումների անցկացման համար հայտատուի մոտ անցկացնում է նմուշառում.
հավատարմագրված փորձարկման լաբորատորիան անցկացնում է սարքավորումների նմուշների փորձարկումներ.
սերտիֆիկացման մարմինն անցկացնում է պատրաստողի արտադրության վիճակի և սարքավորումների նմուշների անցկացված փորձարկումների արդյունքների վերլուծություն և դրական արդյունքների դեպքում հայտատուին տալիս է համապատասխանության սերտիֆիկատ.
սերտիֆիկացման մարմինը սերտիֆիկացված սարքավորումների նկատմամբ անցկացնում է տեսչական հսկողություն՝ հավատարմագրված փորձարկման լաբորատորիայում նմուշների փորձարկումների և (կամ) արտադրության վիճակի վերլուծության միջոցով.
բ) 3ս սխեման կիրառվում է սարքավորումների խմբաքանակի նկատմամբ, ընդ որում՝
հայտատուն կազմում է սույն տեխնիկական կանոնակարգի 45-րդ կետում նշված փաստաթղթերի լրակազմը և սերտիֆիկացման հայտը ներկայացնում է սերտիֆիկացման մարմին.
սերտիֆիկացման մարմինը կամ հավատարմագրված փորձարկման լաբորատորիան փորձարկումների անցկացման համար հայտատուի մոտ անցկացնում է նմուշառում.
հավատարմագրված փորձարկման լաբորատորիան անցկացնում է սարքավորումների նմուշների փորձարկումներ.
սերտիֆիկացման մարմինն անցկացնում է սարքավորումների նմուշների փորձարկումների արդյունքների վերլուծություն և դրական արդյունքների դեպքում հայտատուին տալիս է համապատասխանության սերտիֆիկատ.
գ) 4ս սխեման կիրառվում է միավոր արտադրատեսակի նկատմամբ, ընդ որում՝
հայտատուն կազմում է սույն տեխնիկական կանոնակարգի 45-րդ կետում նշված փաստաթղթերի լրակազմը և սերտիֆիկացման մարմին է ներկայացնում սերտիֆիկացման հայտը, որում պետք է պարունակվեն միավոր արտադրատեսակի նույնականացնող հատկանիշները.
սերտիֆիկացման մարմինը հայտատուին տեղեկացնում է սերտիֆիկացման անցկացման պայմանները պարունակող հայտի վերաբերյալ որոշում.
հավատարմագրված փորձարկման լաբորատորիան սերտիֆիկացման մարմնի հանձնարարությամբ անցկացնում է միավոր արտադրատեսակի փորձարկումներ.
սերտիֆիկացման մարմինն անցկացնում է միավոր արտադրատեսակի փորձարկումների արդյունքների վերլուծություն և դրական արդյունքների դեպքում հայտատուին տալիս է համապատասխանության սերտիֆիկատ.
դ) 7ս սխեման կիրառվում է սերիական և մասսայական արտադրության մեջ դնելու համար նախատեսված սարքավորումների նկատմամբ, ինչպես նաև սարքավորումների մոդիֆիկացումները պլանավորելու դեպքում, ընդ որում՝
հայտատուն կազմում է սույն տեխնիկական կանոնակարգի 45-րդ կետում նշված փաստաթղթերի լրակազմը և սերտիֆիկացման հայտը ներկայացնում է սերտիֆիկացման մարմին.
սերտիֆիկացման մարմինն անցկացնում է սարքավորումների տիպի հետազոտություն հետևյալ եղանակներից մեկի միջոցով՝
սարքավորումների նմուշի՝ որպես ամբողջ հետագա արտադրանքի տիպային ներկայացուցչի հետազոտություն՝ պլանավորված արտադրության համար,
տեխնիկական փաստաթղթերի վերլուծություն, սարքավորումների նմուշի կամ հիմնական բաղկացուցիչ տարրերի փորձարկումներ:
Հետազոտությունների արդյունքները ձևակերպվում են եզրակացությամբ, որի մեջ սերտիֆիկացման մարմինը տալիս է սարքավորումների տիպի համապատասխանության գնահատականը սահմանված պահանջներին:
Արտադրության վիճակի վերլուծությունը հայտատուի մոտ անցկացվում է սերտիֆիկացման մարմնի կողմից: Վերլուծության արդյունքները ձևակերպվում են ակտով:
Սարքավորումների տիպի և արտադրության վերլուծության դրական արդյունքների դեպքում սերտիֆիկացման մարմինը ձևակերպում է համապատասխանության սերտիֆիկատը և այն հանձնում է հայտատուին:
53. Սերտիֆիկացման մարմինը սերտիֆիկացված սարքավորումների նկատմամբ սերտիֆիկատի գործողության ամբողջ ժամկետի ընթացքում անցկացնում է տեսչական հսկողություն՝ հավատարմագրված փորձարկման լաբորատորիայում սարքավորումների նմուշների փորձարկումներ և (կամ) արտադրության վիճակի վերլուծություն անցկացնելու միջոցով: Տեսչական հսկողության դրական արդյունքների դեպքում համապատասխանության սերտիֆիկատի գործողությունը համարվում է հաստատված, ինչի մասին նշվում է տեսչական հսկողության ակտի մեջ: Տեսչական հսկողության բացասական արդյունքների դեպքում սերտիֆիկացման մարմինը կայացնում է հետևյալ որոշումներից որևէ մեկը.
ա) կասեցնել համապատասխանության սերտիֆիկատի գործողությունը,
բ) դադարեցնել համապատասխանության սերտիֆիկատի գործողությունը:
54. Սարքավորումների կոնստրուկցիայում (կազմում) կամ դրանց արտադրության տեխնոլոգիայում այնպիսի փոփոխություններ կատարելու դեպքում, որոնք կարող են ազդել սարքավորումների՝ սույն տեխնիկական կանոնակարգի պահանջներին համապատասխանության վրա, հայտատուն դրա մասին նախօրոք գրավոր տեղեկացնում է սերտիֆիկացման մարմնին, որը որոշում է կայացնում նոր փորձարկումներ և (կամ) սարքավորումների արտադրության վիճակի վերլուծություն անցկացնելու անհրաժեշտության վերաբերյալ:
55. 1ս և 7ս սխեմաներով սերտիֆիկացման ժամանակ հայտատու կարող է լինել անդամ պետության օրենսդրությանը համապատասխան դրա տարածքում գրանցված իրավաբանական անձը կամ որպես անհատ ձեռնարկատեր գրանցված ֆիզիկական անձը, որը հանդիսանում է պատրաստող կամ պատրաստողի կողմից լիազորված անձ:
3ս և 4ս սխեմաներով սերտիֆիկացման ժամանակ հայտատու կարող է լինել անդամ պետության օրենսդրությանը համապատասխան դրա տարածքում գրանցված իրավաբանական անձը կամ որպես անհատ ձեռնարկատեր գրանցված ֆիզիկական անձը, որը հանդիսանում է պատրաստող, վաճառող կամ պատրաստողի կողմից լիազորված անձ:
56. Հայտատուն կարող է սերտիֆիկացում անցկացնելու հայտով դիմել ցանկացած հավատարմագրման համապատասխան բնագավառի սերտիֆիկացման մարմին:
57. Համապատասխանության սերտիֆիկատը ձևակերպվում է Մաքսային միության տեխնիկական կանոնակարգի պահանջներին համապատասխանության սերտիֆիկատի միասնական ձևին և դրա ձևակերպման կանոններին համապատասխան, որոնք հաստատվել են Եվրասիական տնտեսական հանձնաժողովի կոլեգիայի 2012 թվականի դեկտեմբերի 25-ի թիվ 293 որոշմամբ:
58. Սարքավորումների համապատասխանության սերտիֆիկատի գործողության ժամկետը կազմում է՝
ա) 1ս, 3ս և 4ս սխեմաների օգտագործման դեպքում՝ 5 տարի,
բ) 7ս սխեմայի օգտագործման դեպքում՝ ծառայության նշանակված ժամկետի կամ նշանակված ռեսուրսի ընթացքում:
59. Սերտիֆիկացման արդյունքները հավաստող փաստաթղթերն ու նյութերը պահվում են համապատասխանության սերտիֆիկատը տրամադրած սերտիֆիկացման մարմնում՝ սերտիֆիկացման ընթացակարգ անցած սարքավորումների ծառայության հաշվարկային ժամկետի ընթացքում:
60. Սպառողների (ձեռք բերողների) և (կամ) շահագրգիռ անձանց պահանջով համապատասխանության հայտարարագրի կամ համապատասխանության սերտիֆիկատի պատճենը պետք է պատրաստողի (պատրաստողի կողմից լիազորված անձի) կամ վաճառողի կողմից նրանց տրամադրվի անհատույց:
VII. Մաքսային միության անդամ պետությունների շուկայում արտադրանքի շրջանառության միասնական նշանով սարքավորումների մակնշումը
61. Սույն տեխնիկական կանոնակարգի պահանջներին համապատասխանող և համապատասխանության հավաստման ընթացակարգ անցած սարքավորումները մակնշվում են Մաքսային միության անդամ պետությունների շուկայում արտադրանքի շրջանառության միասնական նշանով։
62. Մաքսային միության անդամ պետությունների շուկայում արտադրանքի շրջանառության միասնական նշանով մակնշումը կատարվում է նախքան սարքավորումներն այդ շուկայում շրջանառության մեջ դնելը։
63. Մաքսային միության անդամ պետությունների շուկայում արտադրանքի շրջանառության միասնական նշանը զետեղվում է սարքավորումների յուրաքանչյուր միավորի վրա ցանկացած այնպիսի եղանակով, որով սարքավորումների ծառայության ամբողջ ժամկետի ընթացքում ապահովվում է հստակ և պարզ պատկերը, ինչպես նաև այն ներկայացվում է դրանց կցվող շահագործման փաստաթղթերում։
64. Սարքավորումների մակնշումը Մաքսային միության անդամ պետությունների շուկայում արտադրանքի շրջանառության միասնական նշանով վկայում է Մաքսային միության այն բոլոր տեխնիկական կանոնակարգերի պահանջներին դրա համապատասխանության մասին, որոնք տարածվում են այդ սարքավորումների վրա, և որոնցով նախատեսվում են Մաքսային միության անդամ պետությունների շուկայում արտադրանքի շրջանառության միասնական նշանի զետեղումը։
VIII. Պաշտպանության մասով վերապահումը
65. Անդամանության մասով վերապահումըաքսային միության անդամ պետությունների շուկայում արտադրանքի շրջանառության միասնական նշանով վկայում է Մաքսային միության այն բոլոր տեխնիկական կանոնակարգերի պահանջներին դրա համապատասխան կանոնակարգի պահանջներին չհամապատասխանող սարքավորումները շուկայից հանելու համար:
Այդ դեպքում մեկ անդամ պետության լիազորված մարմինը ընդունված որոշման մասին պարտավոր է ծանուցել այլ անդամ պետությունների լիազորված մարմիններին՝ նշելով դրա ընդունման պատճառները և ներկայացնելով տվյալ միջոցի իրականացման անհրաժեշտությունը պարզաբանող ապացույցները:
ՀԱՎԵԼՎԱԾ ԹԻՎ 1 «Ավելցուկային ճնշման տակ աշխատող սարքավորումների անվտանգության մասին» Մաքսային միության տեխնիկական կանոնակարգի (ՄՄ ՏԿ 032/2013) |
ԴԱՍԱԿԱՐԳՈՒՄ
սարքավորումների՝ ըստ վտանգավորության կատեգորիաների
1. Սարքավորումների կատեգորիաները սահմանվում են սույն փաստաթղթի 1-9-րդ աղյուսակներին համապատասխան:
Ապահովիչ սարքվածքները դասակարգվում են ըստ 4-րդ կատեգորիայի՝ բացառությամբ կոնկրետ սարքավորումների համար պատրաստված (արտադրված) ապահովիչ սարքվածքների, որոնք կարող են դասակարգվել ըստ այն կատեգորիայի, որով դասակարգվում են այն սարքավորումները, որոնց համար պատրաստված (արտադրված) են դրանք:
2. Մետաղի սողքի (սողունության) անցումային ջերմաստիճանից բարձր հաշվարկային ջերմաստիճանով շահագործման համար նախատեսված սարքավորումների կատեգորիան ավելանում է 1-ով (բացառությամբ 4-րդ կատեգորիայի):
3. Սողքի անցումային ջերմաստիճանը կազմում է՝
400 °С՝ ածխածնային և ցածր լեգիրված սիլիկամանգանային պողպատների համար,
450 °С՝ ցածր լեգիրված քրոմամոլիբդենային և քրոմամոլիբդենա-վանադիումային պողպատների համար,
525 °С՝ լեգիրված բարձր քրոմային մարտենսիտային դասի և աուստենիտային պողպատների համար
575 °С՝ երկաթանիկելային և նիկելային հիմքով համահալվածքների համար:
Աղյուսակ 1
Գազերի համար նախատեսված և 1-ին խմբի աշխատանքային միջավայրերի համար օգտագործվող անոթների կատեգորիաներ
Սարքավորման կատեգորիա |
Սարքավորման տարողունակություն (մ3) |
Առավելագույն թույլատրելի աշխատանքային ճնշման արժեքի և տարողունակության արժեքի արտադրյալ (ՄՊա x մ3) |
Առավելագույն թույլատրելի աշխատանքային ճնշում (ՄՊա) |
1 |
2 |
3 |
4 |
1-ին |
0,001-ից ավելի |
0,0025-ից ավելի մինչև 0,005-ը ներառյալ՝ |
0,05-ից ավելի |
2-րդ |
0,001-ից ավելի |
0,005-ից ավելի մինչև 0,02-ը ներառյալ |
0,05-ից ավելի |
3-րդ |
0,0001-ից ավելի մինչև 0,001-ը ներառյալ |
չի նորմավորվում |
20-ից ավելի մինչև 100-ը ներառյալ |
4-րդ |
0,0001-ից ավելի մինչև 0,001-ը ներառյալ |
չի նորմավորվում |
100-ից ավելի |
Աղյուսակ 2
Գազերի համար նախատեսված և 2-րդ խմբի աշխատանքային միջավայրերի համար օգտագործվող անոթների կատեգորիաներ
Սարքավորման կատեգորիա |
Սարքավորման տարողունակություն (մ3) |
Առավելագույն թույլատրելի աշխատանքային ճնշման արժեքի և տարողունակության արժեքի արտադրյալ |
Առավելագույն թույլատրելի աշխատանքային ճնշում (ՄՊա) |
1 |
2 |
3 |
4 |
1-ին |
0,001-ից ավելի |
0,005-ից ավելի մինչև 0,02-ը ներառյալ |
0,05-ից ավելի |
2-րդ |
0,001-ից ավելի |
0,02-ից ավելի մինչև 0,1-ը ներառյալ |
0,05-ից ավելի |
3-րդ |
0,0001-ից ավելի մինչև 0,001-ը ներառյալ |
չի նորմավորվում |
100-ից ավելի մինչև 300-ը ներառյալ |
4-րդ |
0,0001-ից ավելի մինչև 0,001-ը ներառյալ |
չի նորմավորվում |
300-ից ավելի |
Աղյուսակ 3
Հեղուկների համար նախատեսված և 1-ին խմբի աշխատանքային միջավայրերի համար օգտագործվող անոթների կատեգորիաներ
Սարքավորման կատեգորիա |
Սարքավորման տարողունակություն (մ3) |
Առավելագույն թույլատրելի աշխատանքային ճնշման արժեքի և տարողունակության արժեքի արտադրյալ |
Առավելագույն թույլատրելի աշխատանքային ճնշում (ՄՊա) |
1 |
2 |
3 |
4 |
1-ին |
0,01-ից ավելի |
0,02-ից ավելի |
0,05-ից ավելի մինչև 1-ը ներառյալ |
2-րդ |
0,001-ից ավելի |
0,02-ից ավելի |
1-ից ավելի մինչև 50-ը ներառյալ |
3-րդ |
0,001-ից ավելի |
չի նորմավորվում |
50-ից ավելի |
Աղյուսակ 4
Հեղուկների համար նախատեսված և 2-րդ խմբի աշխատանքային միջավայրերի համար օգտագործվող անոթների կատեգորիաներ
Սարքավորման կատեգորիա |
Սարքավորման տարողունակություն (մ3) |
Առավելագույն թույլատրելի աշխատանքային ճնշման արժեքի և տարողունակության արժեքի արտադրյալ |
Առավելագույն թույլատրելի աշխատանքային ճնշում (ՄՊա) |
1 |
2 |
3 |
4 |
1-ին |
0,01-ից ավելի |
1-ից ավելի |
1-ից ավելի մինչև 50-ը ներառյալ |
2-րդ |
0,0001-ից ավելի մինչև 0,01-ը ներառյալ |
չի նորմավորվում |
100-ից ավելի |
Աղյուսակ 5
Շոգեկաթսաների, ջրատաքացուցիչ կաթսաների ու հրատաքացմամբ անոթների կատեգորիաներ
Սարքավորման կատեգորիա |
Սարքավորման տարողունակություն (մ3) |
Առավելագույն թույլատրելի աշխատանքային ճնշման արժեքի և տարողունակության արժեքի արտադրյալ |
Առավելագույն թույլատրելի աշխատանքային ճնշում (ՄՊա) |
1 |
2 |
3 |
4 |
1-ին |
0,002-ից ավելի մինչև 0,1-ը ներառյալ |
մինչև 0,005-ը ներառյալ |
0,05-ից ավելի |
2-րդ |
0,002-ից ավելի |
0,005-ից ավելի մինչև 0,02-ը ներառյալ |
0,05-ից ավելի մինչև 3,2-ը ներառյալ |
3-րդ |
0,002-ից ավելի |
0,02-ից ավելի մինչև 0,3-ը ներառյալ |
0,05-ից ավելի մինչև 3,2-ը ներառյալ |
4-րդ |
0,002-ից ավելի մինչև 0,01-ը ներառյալ |
չի նորմավորվում |
3,2-ից ավելի |
Աղյուսակ 6
Գազերի և գոլորշիների համար նախատեսված և 1-ին խմբի աշխատանքային միջավայրերի համար օգտագործվող խողովակաշարերի կատեգորիաներ
Սարքավորման կատեգորիա |
Անվանական տրամագիծ |
Առավելագույն թույլատրելի աշխատանքային ճնշման արժեքի և անվանական տրամագծի արժեքի արտադրյալը |
Առավելագույն թույլատրելի աշխատանքային ճնշում (ՄՊա) |
1 |
2 |
3 |
4 |
1-ին |
25-ից ավելի մինչև 100-ը ներառյալ 25-ից ավելի մինչև 100-ը ներառյալ |
չի նորմավորվում
|
0,05-ից ավելի մինչև 1-ը ներառյալ 1-ից ավելի մինչև 3,5-ը ներառյալ |
2-րդ |
100-ից ավելի մինչև 350-ը ներառյալ 25-ից ավելի մինչև 350-ը ներառյալ 25-ից ավելի մինչև 100-ը ներառյալ |
չի նորմավորվում
|
0,05-ից ավելի մինչև 1-ը ներառյալ
3,5-ից ավելի |
3-րդ |
350-ից ավելի 100-ից ավելի մինչև 350-ը ներառյալ 100-ից ավելի |
չի նորմավորվում
|
0,05-ից ավելի մինչև 1-ը ներառյալ 1-ից ավելի մինչև 3,5-ը ներառյալ 3,5-ից ավելի |
Աղյուսակ 7
Գազերի և գոլորշիների համար նախատեսված և 2-րդ խմբի աշխատանքային միջավայրերի համար օգտագործվող խողովակաշարերի կատեգորիաներ
Սարքավորման կատեգորիա |
Անվանական տրամագիծ |
Առավելագույն թույլատրելի աշխատանքային ճնշման արժեքի և անվանական տրամագծի արժեքի արտադրյալը |
Առավելագույն թույլատրելի աշխատանքային ճնշում (ՄՊա) |
1 |
2 |
3 |
4 |
1-ին |
32-ից ավելի 32-ից մինչև 100-ը ներառյալ՝ |
100-ից ավելի մինչև 350-ը ներառյալ չի նորմավորվում |
0,05-ից ավելի մինչև 3,2-ը ներառյալ |
2-րդ |
100-ից ավելի 100-ից ավելի մինչև 250-ը ներառյալ |
350-ից ավելի մինչև 500-ը ներառյալ չի նորմավորվում |
0,05-ից ավելի մինչև 3,2-ը ներառյալ |
3-րդ |
250-ից ավելի 250-ից ավելի |
|
3,2-ից ավելի 0,05-ից ավելի մինչև 3,2-ը ներառյալ |
Աղյուսակ 8
Հեղուկների համար նախատեսված և 1-ին խմբի աշխատանքային միջավայրերի համար օգտագործվող խողովակաշարերի կատեգորիաներ
Սարքավորման կատեգորիա |
Անվանական տրամագիծ (մմ) |
Առավելագույն թույլատրելի աշխատանքային ճնշման արժեքի և անվանական տրամագծի արժեքի արտադրյալը |
Առավելագույն թույլատրելի աշխատանքային ճնշում |
1 |
2 |
3 |
4 |
1-ին |
25-ից ավելի |
200-ից ավելի |
0,05-ից ավելի մինչև 1-ը ներառյալ |
2-րդ |
25-ից ավելի 25-ից ավելի |
200-ից ավելի 350-ից ավելի |
1-ից ավելի մինչև 8-ը ներառյալ |
3-րդ |
25-ից ավելի |
չի նորմավորվում |
50-ից ավելի |
Աղյուսակ 9
Հեղուկների համար նախատեսված և 2-րդ խմբի աշխատանքային միջավայրերի համար օգտագործվող խողովակաշարերի կատեգորիաներ
Սարքավորման կատեգորիա |
Անվանական տրամագիծ (մմ) |
Առավելագույն թույլատրելի աշխատանքային ճնշման արժեքի և անվանական տրամագծի արժեքի արտադրյալը |
Առավելագույն թույլատրելի աշխատանքային ճնշում |
1 |
2 |
3 |
4 |
1-ին |
200-ից ավելի |
500-ից ավելի |
1-ից ավելի մինչև 50-ը ներառյալ |
2-րդ |
200-ից ավելի |
չի նորմավորվում |
50-ից ավելի |
ՀԱՎԵԼՎԱԾ ԹԻՎ 2 «Ավելցուկային ճնշման տակ աշխատող սարքավորումների անվտանգության մասին» Մաքսային միության տեխնիկական կանոնակարգի (ՄՄ ՏԿ 032/2013) |
ՊԱՀԱՆՋՆԵՐ,
որոնք ներկայացվում են սարքավորումների անվտանգությանը մշակման (նախագծման), պատրաստման (արտադրման) ժամանակ
1. Սարքավորումների մշակման (նախագծման) ժամանակ հաշվի է առնվում դրանց ամրությունը՝ հաշվի առնելով կանխատեսվող բեռնվածքները, որոնք կարող են առաջանալ դրանց շահագործման, տրանսպորտային փոխադրման, փոխադրման, մոնտաժման և այդպիսի բեռնվածքներից կանխատեսելի շեղումների գործընթացում: Ընդ որում, հաշվի են առնվում հետևյալ գործոնները.
ա) բեռնվածքները, որոնք ազդում են սարքավորումների ներքին և արտաքին մակերևույթների վրա.
բ) շրջակա միջավայրի ջերմաստիճանը և աշխատանքային միջավայրի ջերմաստիճանը.
գ) աշխատանքային պայմաններում ստատիկ ճնշումը և սարքավորումների պարունակության քաշից փորձարկման պայմաններում ճնշումը.
դ) շարժման ժամանակ իներցիոն բեռնվածքները, հոմղային և սեյսմիկ ազդեցությունները.
ե) հակազդման ճիգերը (հակազդեցությունները), որոնք փոխանցվում են հենարաններից, ամրակներից, խողովակաշարերից.
զ) փոփոխական բեռնվածքների դեպքում՝ հոգնացությունը.
է) միջավայրի էրոզիոն-կոռոզիոն ազդեցությունները, այդ թվում՝ էրոզիոն-կոռոզիոն մաշվածությունը.
ը) մշակվող միջավայրերի և տեխնոլոգիական գործընթացների անկայունության հետևանքով քիմիական ռեակցիաները.
թ) շահագործման գործընթացում նյութերի մեխանիկական հատկանիշների փոփոխությունները:
2. Սարքավորումները պետք է բացառեն վնաս հասցնելու հնարավորությունը հետևյալ դեպքերում.
ա) մտոցների կամ սարքավորումների վիճակի հսկողության սարքվածքների փակում և բացում.
բ) սարքավորումները ճնշման տակ դնելու, սարքավորումներն աշխատանքային ռեժիմի դնելու, ինչպես նաև ճնշումը նվազեցնելու հետ կապված տեխնոլոգիական գործողությունների կատարում.
գ) սարքավորումների սպասարկման համար աշխատանքային հարթակից անձնակազմի ընկնելու ռիսկի հետ կապված տեխնոլոգիական գործողությունների կատարում.
դ) սարքավորումների ներսում ավելցուկային ճնշման կամ վակուումի առաջացում՝ այդ սարքավորումների ներսում մարդկանց գտնվելու դեպքում.
ե) արտաքին մակերևույթների ոչ թույլատրելի ջերմաստիճանի առաջացում.
զ) անկայուն աշխատանքային միջավայրերի քայքայում:
3. Սարքավորումները նախագծվում են՝ հաշվի առնելով անվտանգության պահանջներին դրանց համապատասխանության հավաստման համար անհրաժեշտ ստուգումների անցկացման հնարավորությունը:
4. Սարքավորումների նախագծով սահմանվում են դրանց սահմանները:
5. Կախված սարքավորումների նշանակությունից՝ նախագծով պետք է նախատեսվի դրա հագեցվածությունը՝
ա) ապահովիչ սարքվածքներով.
բ) հեղուկ աշխատանքային միջավայրի չափման միջոցներով.
գ) ճնշման չափման միջոցներով.
դ) աշխատանքային միջավայրի ջերմաստիճանի չափման միջոցներով.
ե) փակիչ և կարգավորիչ արմատուրով.
զ) սնուցման սարքվածքներով.
է) ջերմային տեղափոխությունների հսկողության համար սարքվածքներով:
6. Սարքավորումների կառուցվածքով պետք է ապահովվի անձնակազմի անվտանգ հասանելիությունը սարքավորումների աշխատանքային միջավայրի անվտանգության սարքերին և պարամետրերի հսկողության սարքերին:
7. Սարքավորումների նախագծով պետք է ապահովվի՝
ա) հսկողության և չափումների միջոցների կիրառումը, որոնց սխալանքն աշխատանքային պայմաններում չի գերազանցում ստուգման պարամետրի սահմանային թույլատրելի շեղումը.
բ) չափումների միջոցների կիրառումը՝ համապատասխան սարքավորումների շահագործման պայմաններին:
8. Նախագծով պետք է նախատեսվի սարքավորումների հագեցվածությունը միջավայրի ջրաքաշման և օդի հեռացման սարքվածքներով, որոնք թույլ են տալիս՝
ա) խուսափել հիդրավլիկ հարվածից, վակուումային քայքայումից, կոռոզիայից կամ անկառավառելի քիմիական ռեակցիաների առաջացումից (ընդ որում, պետք է հաշվի առնվեն շահագործման և փորձարկումների գործընթացները).
բ) ապահովել անվտանգ մաքրումը, հսկողությունը և տեխնիկական սպասարկումը:
9. Սարքավորման նախագծով պետք է նախատեսվի սարքավորումը լցնելու կամ դատարկելու գործընթացների անվտանգության ապահովումը հետևյալ դեպքերում.
ա) գերլցում կամ ճնշման գերազանցում, ինչպես նաև սարքավորումը լցնելիս պարբերաբար առաջացող ճնշման տակ աշխատելու անհրաժեշտության ժամանակ.
բ) սարքավորման դատարկման ժամանակ աշխատանքային միջավայրի անկառավարելի դատարկում.
գ) սարքավորումը լցնելու կամ դատարկելու ժամանակ ճնշման աղբյուրին միացնելու և դրանից անջատելու հետ կապված վտանգ:
10. Քայքայումը, էրոզիոն-կոռոզիոն մաշվածությունը կամ աշխատանքային միջավայրի այլ քիմիական ազդեցությունը կանխելու նպատակով սարքավորումների շահագործման և դրանցից պաշտպանելու գործընթացում ապահովվում են՝
ա) կառուցվածքային կատարման հաշվին այդ ազդեցությունների նվազեցումը.
բ) սարքավորումների այն տարրերի փոփոխման հնարավորությունը, որոնք կարող են ենթարկվել այդ ազդեցությանը:
11. Անհրաժեշտության դեպքում սարքավորումները հագեցվում են սարքվածքներով, որոնցով ապահովվում է հետևանքների նվազեցումը արտաքին բռնկման դեպքում:
Պետք է նախատեսվի լրացուցիչ լուսավորություն՝ սարքավորումների անվտանգ շահագործման համար։ Հաճախակի զննում, կարգավորումներ ու տեխնիկական սպասարկում պահանջող սարքավորումների ներսի մասերն ու հատվածները պետք է ունենան անվտանգությունն ապահովող լուսավորություն։
12. Այն սարքավորումներում, որոնց համար կա գերտաքացման վտանգ, բացառվում կամ նվազագույնի են հասցվում սարքավորումների գերտաքացման հետևանքով առաջացող և դրանց անվտանգությունը նվազեցնող գործոնները: Այդ նպատակներով նախատեսվում են՝
ա) ջերմության մատուցումը կամ հեռացումը սահմանափակելու, մետաղի տեղային կամ ընդհանուր գերտաքացումը բացառելու նպատակով աշխատանքային միջավայրի մակարդակը սահմանափակելու սարքվածքներ.
բ) աշխատանքային միջավայրի փորձանմուշներ վերցնելու վայրերը՝ խառնուկների նստվածքների և (կամ) կոռոզիոն վնասվածքների գոյացման վրա դրա ազդեցության գնահատման նպատակով.
գ) խառնուկների նստվածքների հետ կապված վնասվածքների կանխման միջոցներ.
դ) սարքավորումներն անջատելուց հետո մնացորդային կամ ավելցուկային ջերմության անվտանգ հեռացման համար սարքվածքներ.
ե) պայթյունահրդեհավտանգ խառնուրդների առաջացումը, ինչպես նաև բոցի տարածումը բացառող միջոցներ (հրապանեշներ, բոցահատիչներ, հիդրավլիկ փականներ):
13. Սարքավորման ամրության գնահատականը հիմնվում է հաշվարկի մեթոդների կամ առանց հաշվարկի փորձարարական փորձարկումների արդյունքների հիման վրա, որոնք կիրառվում են այն դեպքերում, երբ առավելագույն թույլատրելի աշխատանքային ճնշման արժեքի և սարքավորման տարողունակության արժեքի արտադրյալը կազմում է 0,6 ՄՊա x մ3-ից պակաս, կամ երբ առավելագույն թույլատրելի աշխատանքային ճնշման արժեքի և անվանական տրամագծի արժեքի արտադրյալը կազմում է 300 ՄՊա x մմ-ից պակաս:
14. Սարքավորումների ամրության հաշվարկի համար կիրառվում են հաշվարկման հետևյալ մեթոդները, որոնք կարող են միմյանց լրացնել.
ա) սարքավորումների ամրության հաշվարկի նորմերում ներկայացված բանաձևերի օգնությամբ.
բ) լարման վիճակի թվային վերլուծության հիման վրա.
գ) սահմանային վիճակների և քայքայման մեխանիկայի ուսումնասիրության հիման վրա:
15. Ամրության հաշվարկի ժամանակ հաշվի են առնվում բոլոր հնարավոր բեռնվածքները և գործոնները ու դրանց միաժամանակ առաջացման հնարավորությունը, քայքայման բոլոր հնարավոր մեխանիզմները (նյութերի մածուցիկ կամ փխրուն սողքը, նյութերի հոգնածությունը, կոռոզիոն ճաքճքումը)՝ սարքավորումների նշանակությանը և դրանց շահագործման գործընթացներին համապատասխան:
16. Սարքավորումների ամրության ապահովման համար անհրաժեշտ են հետևյալ պայմանները.
ա) հաշվարկային ճնշման մեծությունը պետք է լինի առավելագույն թույլատրելի աշխատանքային այն ճնշումից ոչ պակաս, որի համար նախատեսված են սարքավորումները: Հաշվարկային ճնշման մեծությունը հաշվի է առնում աշխատանքային միջավայրի ստատիկ ճնշումը և դինամիկ բեռնվածքները, աշխատանքային միջավայրի անկայունության և տեխնոլոգիական գործընթացների հետևանքով ճնշման բարձրացումը: Մի քանի խցիկներից բաղկացած սարքավորումների համար, որոնք աշխատում են ճնշման տարբեր մեծություններով, որպես հաշվարկային ճնշում ընդունվում է կամ յուրաքանչյուր ճնշումն առանձին, կամ այն ճնշումը, որը պահանջում է սարքավորումների հաշվարկվող տարրի ավելի հաստ պատ.
բ) հաշվարկային ջերմաստիճաններով նախատեսվում են նյութերի և սարքավորումների կիրառման անվտանգ սահմանները.
գ) այն սարքավորումները և նյութերը, որոնցից պատրաստվում (արտադրվում) են սարքավորումները, կիրառվում են հաշվարկային ջերմաստիճանների տիրույթում.
դ) հաշվի են առնվում ճնշման, ջերմաստիճանի և սարքավորումների շահագործման, տրանսպորտային փոխադրման, փոխադրման և փորձարկումների ընթացքում առաջացող այլ բեռնվածքների բոլոր հնարավոր համակցությունները:
17. Ամրության հաշվարկի ժամանակ հաշվի են առնվում նյութերի հետևյալ բնութագրերը.
ա) հոսունության սահմանը, հոսունության պայմանական սահմանները՝ նորմալ և հաշվարկային ջերմաստիճանների դեպքում 0,2 տոկոսի և 1 տոկոսի մնացորդային ձևախախտման ժամանակ.
բ) նորմալ և հաշվարկային ջերմաստիճանների դեպքում՝ ձգման նկատմամբ ժամանակավոր դիմադրությունը (ամրության սահմանը).
գ) երկարատև ամրության սահմանը կամ սողքի սահմանը՝ հաշվարկային ջերմաստիճանի և ժամերի տրված քանակի դեպքում.
դ) սակավացիկլային ամրության կամ հոգնածության բնութագիրը՝ ցիկլերի և լարումների մակարդակի տրված թվի դեպքում.
ե) երկայնական առաձգականության մոդուլը (Յունգի մոդուլ)՝ նորմալ և հաշվարկային ջերմաստիճանների դեպքում.
զ) պլաստիկ ձևախախտման արժեքը՝ ստանդարտ նմուշների խզման դեպքում.
է) հարվածային մածուցիկությունը.
ը) քայքայման մածուցիկությունը (լարումների ինտենսիվության գործակիցը):
18. Ամրության հաշվարկները կատարվում են՝ հաշվի առնելով եռակցվածքների ամրության այն գործակիցները, որոնց արժեքները կախված են եռակցվող նյութերից, եռակցման (զոդման) տեխնոլոգիայից, միացման տեսակից, չքայքայող վերահսկման մեթոդից և ծավալից ու սարքավորումների շահագործման գործընթացներից: Արտաքին ճնշման տակ աշխատող կամ այլ բեռնվածքներից սեղմող լարումների ենթարկվող սարքավորումների տարրերը պետք է ստուգվեն ձևի կայության առումով:
19. Սարքավորումների ամրության հաշվարկի ժամանակ հաշվի են առնվում դրա շահագործման ընթացքում աշխատանքային պարամետրերի կանխատեսվող շեղումները, պատրաստման (արտադրության) թույլատրվող անճշտությունները, կիրառվող նյութերի մեխանիկական բնութագրերի հնարավոր շեղումները:
20. Ամրության հաշվարկով ապահովվում է սարքավորումների ամրության պաշարը, որը հաշվի է առնվում թույլատրելի լարումների սահմանման ժամանակ:
21. Ստատիկ բեռնվածքների տակ աշխատող սարքավորումների սահմանային բեռնվածքների ամրության հաշվարկի ժամանակ թույլատրելի լարումը սահմանվում է ըստ հետևյալ բանաձևերի.
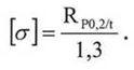
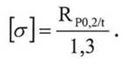
ա) պլաստիկ ածխածնային ցածր լեգիրված, ֆեռիտային, աուստենիտային-ֆեռիտային մարտենսիտային պողպատների և երկաթանիկելային հիմքով համահալվածքների համար՝
որտեղ՝
[σ]՝ ստատիկ բեռնվածքների տակ աշխատող սարքավորումների սահմանային բեռնվածքների ամրության հաշվարկի ժամանակ թույլատրելի լարումն է.
Re/t` հոսունության սահմանի նվազագույն արժեքն է՝ առավելագույն թույլատրելի ջերմաստիճանի դեպքում.
RP0,2/t՝ հոսունության պայմանական սահմանի նվազագույն արժեքն է՝ 0,2 տոկոս մնացորդային ձևախախտման և առավելագույն թույլատրելի ջերմաստիճանի դեպքում.
Rm՝ ժամանակավոր դիմադրության (ամրության սահմանի) նվազագույն արժեքն է՝ 20 °С ջերմաստիճանի դեպքում.
Rm/10n` երկարատև ամրության սահմանի միջին արժեքն է՝ 10n ժամերի ընթացքում առավելագույն թույլատրելի ջերմաստիճանի դեպքում.
RP1/10n՝ հոսունության սահմանի 1 տոկոսի միջին արժեքն է՝ 10n ժամերի ընթացքում առավելագույն թույլատրելի ջերմաստիճանի դեպքում.
բ) աուստենիտային քրոմանիկելային պողպատի, ալյումինի, պղնձի և դրանց համահալվածքների համար՝
որտեղ՝
RP1/t՝ հոսունության պայմանական սահմանի նվազագույն արժեքն է՝ 1 տոկոս մնացորդային ձևախախտման և առավելագույն թույլատրելի ջերմաստիճանի դեպքում.
Rm/t՝ ժամանակավոր դիմադրության (ամրության սահմանի) նվազագույն արժեքն է՝ առավելագույն թույլատրելի ջերմաստիճանի դեպքում.
գ) ձուլման ալյումինե համահալվածքների համար`
դ) տիտանի և տիտանային համահալվածքների համար՝
ե) թերթագլոցվածքի և տիտանի ու տիտանային համահալվածքներից գլոցված խողովակների համար՝
22. Թույլատրվում է սահմանել թույլատրելի լարումն աուստենիտային պողպատների համար՝ ըստ հետևյալ բանաձևի.
23. Պողպատե ձուլվածքների թույլատրելի լարման արժեքը, որը սահմանվել՝ է ըստ սույն Պահանջների 21-րդ և 22-րդ կետերում նշված բանաձևերի, բազմապատկվում է 0,8-ով, եթե ձուլվածքները ենթարկվել են ընդհանուր չքայքայող վերահսկման, կամ 0,7-ով, եթե ձուլվածքները չեն ենթարկվել ընդհանուր չքայքայող վերահսկման:
24. Այն դեպքում, երբ ալյումինի, պղնձի և դրանց համահալվածքների համար բացակայում են հոսունության սահմանի և երկարատև ամրության տվյալները, թույլատրելի լարումը սահմանվում է հետևյալ բանաձևով՝
25. Ոչ մետաղական նյութերից սարքավորումների մշակման (նախագծման), պատրաստման (արտադրման) ժամանակ ոչ մետաղական նյութերի համար ամրության սահմանի և խզման առաձգականության մոդուլի արժեքները համապատասխանում են նախագծակոնստրուկտորական փաստաթղթերով սահմանված արժեքներին և կազմում են՝
ա) ածխառովինգի հիմքով կոմպոզիտի համար՝
ամրության սահմանը [σ]՝ 160 կգու/մմ2-ից ոչ պակաս,
առաձգականության մոդուլը E՝ 11 000 կգու/մմ2-ից ոչ պակաս,
բ) օրգանառովինգի հիմքով կոմպոզիտի համար՝
ամրության սահմանը [σ]՝ 170 կգու/մմ2-ից ոչ պակաս,
առաձգականության մոդուլը E՝ 6 500 կգու/մմ2-ից ոչ պակաս,
գ) ապակեռովինգի հիմքով կոմպոզիտի համար՝
ամրության սահմանը [σ]՝ 90 կգու/մմ2-ից ոչ պակաս,
առաձգականության մոդուլը E՝ 5000 կգու/մմ2-ից ոչ պակաս:
26. Սարքավորումներում որպես կապակցանյութ կարող են օգտագործվել ջերմապլաստիկ կամ ռեակտոպլաստիկ պոլիմերային նյութեր:
Կապակցանյութի պնդացման (պոլիմերացման) ջերմաստիճանը պետք է լինի ցածր ոչ մետաղական կապակցանյութի նյութի փափկեցման ջերմաստիճանից:
Նյութի փափկեցման ջերմաստիճանը պետք է լինի 100 °С-ից ոչ պակաս:
27. Եռակցվածքները չպետք է ունենան արտաքին կամ ներքին թերություններ (վնասվածքներ), որոնք կարող են ազդել սարքավորումների անվտանգության վրա: Սարքավորումների եռակցվածքների մեխանիկական բնութագրերի նվազագույն արժեքները չպետք է լինեն ցածր միացվող նյութերի մեխանիկական բնութագրերի նվազագույն արժեքներից:
28. Եռակցվածքների մուտքային վերահսկումը կատարվում է սարքավորումները պատրաստողի կողմից: Չքայքայող վերահսկում անցկացնելու մեթոդները և դրա ծավալը սահմանվում են սարքավորումների նախագիծը մշակողի կողմից՝ ելնելով չթույլատրվող թերությունների առավել հստակ և ամբողջական բացահայտման անհրաժեշտությունից, հաշվի առնելով նյութերի առանձնահատկությունները, և նշվում են սարքավորումների նախագծային փաստաթղթերում:
29. Սարքավորումների տարրերի եռակցվածքների ամրության հաշվարկի ժամանակ թույլատրելի լարման արժեքը բազմապատկվում է եռակցման կարերի ամրության գործակցով՝ φ < 1: Եռակցման կարերի ամրության գործակցի արժեքը որոշվում է սարքավորումների ամրության հաշվարկի ժամանակ՝ կախված նյութից, վերահսկման ծավալից, եռակցման տեխնոլոգիայից և եռակցման կարի կառուցվածքից:
30. Եզրային էֆեկտի կամ թվային վերլուծության հիման վրա որոշված լարումների կենտրոնացման տեղերում առաջացող առավելագույն լարումների համար ամրության պաշարի գործակիցները սահմանվում են՝ կախված կիրառվող նյութերի մեխանիկական բնութագրերից և լարված վիճակի տեսակից:
31. Սարքավորումների ամրության փորձարարական փորձարկումներն անցկացվում են նմուշի վրա: Փորձարկումների ընթացքում ապահովվում է սարքավորումների կրիտիկական գոտիների նկատմամբ հսկելու հնարավորությունը հսկիչ-չափիչ միջոցների օգնությամբ, որոնք հնարավորություն ունեն հավաստիորեն գրանցել ձևախախտումները և լարումները:
32. Փորձարարական փորձարկումների ծրագիրը ներառում է՝
ա) հերմետիկության և ամրության փորձարկումներ ճնշումով՝ աշխատանքային միջավայրի հոսակորստի կամ թույլատրելի արժեքները գերազանցող մնացորդային ձևախախտումների բացակայության հաստատման համար.
բ) նյութերի սողքի և հոգնածության փորձարկումներ, որոնք անցկացվում են՝ հաշվի առնելով սարքավորումների շահագործման գործընթացները.
գ) լրացուցիչ փորձարկումներ, որոնք հաշվի են առնում այլ գործոնների ազդեցությունները, և որոնք անցկացվում են անհրաժեշտության դեպքում:
33. Սարքավորումների մշակման (նախագծման) ժամանակ սահմանվում են դրանց շահագործման ժամանակ վթարի միջադեպի առաջացման հնարավորությունը նվազեցնող տեխնիկական շահագործման բնութագրերը:
34. Սարքավորումները պատրաստվում (արտադրվում) են այն նյութերից և կիսապատրաստվածքներից, որոնք նախատեսված են նախագծային փաստաթղթերով, և որոնցով ապահովվում է դրանց համապատասխանությունը անվտանգության պահանջներին ծառայության ամբողջ ժամկետի ընթացքում:
35. Սարքավորումները պատրաստվում (արտադրվում) են այն նյութերից և կիսապատրաստվածքներից, որոնք ունեն մատակարարման պայմանագրով նախատեսված մակնշում (առանց վնասվածքների), որով ապահովվում է պատրաստողի նյութերի կամ կիսապատրաստվածքների փաստաթղթերի տվյալների հետ նույնականացման հնարավորությունը:
36. Սարքավորումների պատրաստման (արտադրման) ժամանակ օգտագործվող թերթերի, սալերի և կռվածքների վրա պետք է պահպանվի պատրաստողի մականշվածքը: Եթե կիսապատրաստվածքները ձևելով կտրատվում են մասերի, ապա դրանց վրա պետք է զետեղվի նույնական մականշվածք այն եղանակով, որը պատրաստողի կողմից կիրառվել է նյութերի մակնշման ժամանակ:
37. Սարքավորումների պատրաստման (արտադրման) համար նյութերի և (կամ) կիսապատրաստվածքների ընտրության ժամանակ անհրաժեշտ է՝
ա) նախագծային հաշվարկների համար սահմանել ցուցանիշները, ինչպես նաև նյութերի հիմնական բնութագրերը և դրանց՝ մշակման նկատմամբ կարողությունը.
բ) տեխնիկական փաստաթղթերում ներկայացնել սարքավորումների պատրաստման (արտադրման) ժամանակ կիրառված նյութերի մասին տվյալներ:
38. Սարքավորումների պատրաստման (արտադրման) ժամանակ օգտագործվում են այն նյութերը, որոնք՝
ա) ունեն այնպիսի հատկություններ (պլաստիկություն, ամրություն), որոնցով թույլատրվում է դրանք օգտագործել շահագործման գործընթացում և դիմանալ սարքավորումների փորձարկումների պայմաններին: Նյութի ընտրության ժամանակ հաշվի է առնվում դրա փխրունությունը կամ ճաքակայունությունը: Փխրուն նյութ օգտագործելու դեպքում նախատեսվում են փխրուն քայքայումը բացառող միջոցներ (ամրության պաշարի գործակցի մեծացում).
բ) ունեն քիմիական կայունություն այն աշխատանքային միջավայրի նկատմամբ, որի համար նախատեսված են սարքավորումները: Սարքավորումների նշանակված ծառայության ժամկետի կամ նշանակված ռեսուրսի ողջ ընթացքում նյութերի քիմիական և ֆիզիկական հատկությունների փոփոխությունները չպետք է հանգեցնեն դրանց անվտանգ աշխատանքի խախտմանը.
գ) պիտանի են նախատեսված տեսակների մշակման համար.
դ) ընտրվում են այնպես, որ դրանք իրար միացնելու ժամանակ ապահովվի սարքավորումների ամրությունը սարքավորումների ծառայության ժամկետի ընթացքում:
39. Սարքավորումների մեջ կիրառվող նյութը համարվում է պլաստիկ, եթե ձգման փորձարկման դեպքում դրա հարաբերական երկարեցումը խզումից հետո կազմում է 14 տոկոսից ոչ պակաս, իսկ KCV տիպի (V-անման մակակտրվածքով) համակենտրոնիչով օրինակներով սահմանված հարվածային մածուցիկությունը կազմում է 27Ջ/սմ2՝ 20 °С-ից բարձր ջերմաստիճանի դեպքում, բայց նվազագույն թույլատրելի ջերմաստիճանից ոչ բարձր:
40. Այն դեպքում, երբ պատրաստման (արտադրման) ժամանակ փոխվում են նյութի բնութագրերը կամ առաջանում են մնացորդային լարումներ, որոնք ազդում են սարքավորումների անվտանգության վրա, կատարվում է դրանց ջերմային մշակում: Սարքավորումների ջերմային մշակման տեսակը և դրա ռեժիմները սահմանվում են սարքավորումների նախագիծը մշակողի կողմից:
41. Սարքավորումների և անվտանգության սարքվածքների պատրաստման (արտադրման) ժամանակ պատրաստողի կողմից ապահովվում է դրանց համապատասխանությունը նախագծային փաստաթղթերով նախատեսված բնութագրերին և պարամետրերին՝ «Ավելցուկային ճնշման տակ աշխատող սարքավորումների անվտանգության մասին» Մաքսային միության տեխնիկական կանոնակարգի (ՄՄ ՏԿ 032/2013) անվտանգության պահանջներին համապատասխան՝ հաշվի առնելով կիրառվող տեխնոլոգիական գործընթացները և հսկողության համակարգերը:
42. Եզրերի գրտնակման, դրոշմման, կորացման միջոցով դետալների պատրաստման (արտադրման) ժամանակ չի թույլատրվում նյութերի մեխանիկական բնութագրերի փոփոխությունը, ճաքերի, վնասվածքների և այլ թերությունների առկայությունը, որոնք կարող են ազդել սարքավորումների անվտանգության վրա:
43. Սարքավորումների միասին հավաքվող տարրերը պետք է ապահովեն սարքավորումների անվտանգությունը և համապատասխանեն դրանց նշանակությանը: Սարքավորումների տարրերի բոլոր չերկատվող միացումները կամ եռակցվածքները պետք է հասանելի լինեն չքայքայող վերահսկման համար:
44. Արագ հանվող կափարիչներով սարքավորումները պետք է ունենան սարքվածքներ, որոնցով բացառվում է կափարիչի ոչ ամբողջությամբ փակ լինելու դեպքում սարքավորումների՝ ճնշման տակ միանալու և սարքավորումներում ավելցուկային ճնշման առկայության դեպքում կափարիչի բացվելու հնարավորությունը:
45. Կաթսայի վրա տեղադրվում են անվտանգության սարքեր, որոնցով ապահովվում է կաթսայի կամ դրա տարրերի ավտոմատ անջատումը՝ շահագործման հաշվարկային ռեժիմներից ոչ թույլատրելիչ շեղումների դեպքում:
46. Սարքավորման այն տարրը, որի ներքին ծավալը սահմանափակված է փակիչ արմատուրով, և որի մեջ ճնշումը կարող է բարձրանալ թույլատրելիից ավելի բարձր, հագեցվում է ապահովիչ սարքվածքներով, որոնք աշխատանքային միջավայրը մթնոլորտ կամ ուտիլիզացման համակարգ բաց թողնելու միջոցով ավտոմատ կանխում են ճնշման բարձրացումը թույլատրելիից ավելի բարձր:
47. Որպես ապահովիչ սարքվածքներ կիրառվում են՝
ա) ուղղակի ազդեցության լծակաբեռնային ապահովիչ կափույրները,
բ) ուղղակի ազդեցության զսպանակավոր ապահովիչ կափույրները,
գ) իմպուլսային կափույրից և գլխավոր ապահովիչ կափույրից բաղկացած իմպուլսային ապահովիչ սարքվածքները,
դ) քայքայվող մեմբրաններով ապահովիչ սարքվածքները (մեմբրանային ապահովիչ սարքվածքներ):
48. Ապահովիչ սարքվածքները տեղակայվում են դրանց սպասարկման համար հասանելի տեղերում:
49. Ապահովիչ սարքվածքների հեռացնող խողովակաշարերը և իմպուլսային ապահովիչ սարքվածքների իմպուլսային գծերը կոնդենսատի հնարավոր կուտակման տեղերում սարքավորվում են ցամաքուրդային (դրենաժային) խողովակաշարերով՝ կոնդենսատի հեռացման համար:
Ցամաքուրդային խողովակաշարերի վրա փակիչ արմատուրի կամ այլ արմատուրի տեղակայում չի թույլատրվում: Ապահովիչ սարքվածքներից և ցամաքուրդներից դուրս եկող միջավայրը տարվում է անվտանգ տեղ: Խումբ 1-ի անջատվող պայթյունահրդեհավտանգ տեխնոլոգիական և թունավոր միջավայրերը տարվում են փակ համակարգեր՝ հետագա ուտիլիզացման համար, կամ կազմակերպված այրման համակարգեր կամ մթնոլորտ՝ օդի նկատմամբ 0,8 և պակաս խտություն ունեցող գազերի համար:
Արգելվում է միացնել այն ջրնետները, որոնք պարունակում են այնպիսի նյութեր, որոնք ունակ են խառնելու ժամանակ առաջացնել պայթյունավտանգ խառնուրդներ կամ անկայուն միացություններ:
50. Ապահովիչ սարքվածքների միացնող խողովակաշարերի (մոտեցնող, հեռացնող և ցամաքուրդային) կառուցվածքով պետք է բացառվի դրանց մեջ աշխատանքային միջավայրի սառչելու հնարավորությունը:
Մեկ խողովակաոստի կամ խողովակաշարի վրա մի քանի ապահովիչ սարքվածքներ տեղադրելու դեպքում խողովակաոստի կամ խողովակաշարի լայնական հատման մակերեսը պետք է կազմի դրա վրա տեղադրված ապահովիչ կափույրների հատման հանրագումարային մակերեսի 1,25–ից ոչ պակաս։ 1000 մմ-ից ավելի երկարությամբ միացնող խողովակաշարի հատումը որոշելիս հաշվի է առնվում դրա գծային դիմադրության (ճնշման կորստի) արժեքը:
51. Լծակաբեռնային ապահովիչ կափույրը կամ զսպանակավոր ապահովիչ կափույրը սարքավորվում է հարկադրական բացման միջոցով սարքավորումների աշխատանքի ժամանակ դրանց գործողությունների սարքինության ստուգման սարքվածքով:
Իմպուլսային ապահովիչ կափույրը սարքավորվում է ապահովիչ կափույրի հարկադրական հեռավար բացումը կառավարման վահանակի օգնությամբ կատարել թույլ տվող սարքվածքներով:
Զսպանակավոր ապահովիչ կափույրների կառուցվածքով պետք է բացառվի զսպանակի՝ տրված ճնշման ժամանակ գործարկման կարգավորմամբ սահմանված արժեքից բարձր ձգման հնարավորությունը: Ապահովիչ կափույրների զսպանակները պաշտպանվում են չթույլատրելի տաքացումից կամ հովացումից, ինչպես նաև աշխատանքային միջավայրի ուղղակի ազդեցությունից:
52. Իրենց սնուցման աղբյուրի ճնշումից ցածր աշխատանքային ճնշման համար հաշվարկված սարքավորումները մոտեցնող միացնող խողովակաշարի վրա կրճատող սարքվածքից հետո հագեցվում են ավելի ցածր ճնշման կողմի վրա տեղադրված մանոմետր և ապահովիչ կափույր ունեցող ավտոմատ կրճատող սարքվածքով:
Ռեդուկցիոն-հովացման սարքվածքներն ապահովում են ջերմաստիճանի ավտոմատ կարգավորումը: Շրջանցիկ գծի (բայպասի) տեղակայման դեպքում դա նույնպես հագեցվում է կրճատող սարքվածքով:
53. Միևնույն ճնշմամբ աշխատող անոթների խմբի համար թույլատրվում է անոթներից մեկին մինչև առաջին ճյուղավորումը ընդհանուր մոտեցնող միացնող խողովակաշարի վրա մանոմետրով և ապահովիչ կափույրով 1 ռեդուկտման սարքվածք տեղակայել: Այդ դեպքում անմիջապես անոթների վրա ապահովիչ սարքվածքների տեղակայումը պարտադիր չէ, եթե դրանցում բացառված է ճնշման բարձրացման հնարավորությունը:
Այն դեպքում, երբ ավտոմատ կրճատող սարքվածքը աշխատանքային միջավայրի ֆիզիկական հատկությունների հետևանքով չի կարող հուսալիորեն աշխատել, թույլատրվում է տեղակայել ծախսի կարգավորիչ, ընդ որում, նախատեսվում է ճնշման բարձրացումից պաշտպանություն:
54. Ապահովիչ կափույրների քանակը, դրանց չափերը և թողունակությունը սահմանվում են այնպիսի հաշվարկով, որ սարքավորումների մեջ չստեղծվի ավելցուկային ճնշում, որը կգերազանցի առավելագույն թույլատրելի ճնշումը՝
ա) ավելի, քան 0,05 ՄՊա՝ այն անոթների համար, որոնցում ավելցուկային ճնշումը կազմում է 0,3 ՄՊա.
բ) 15 տոկոսով՝ այն անոթների համար, որոնցում ավելցուկային ճնշումը կազմում է 0,3-ից մինչև 6 ՄՊա-ն ներառյալ.
գ) 10 տոկոսով՝ այն անոթների համար, որոնցում ավելցուկային ճնշումը կազմում է 6 ՄՊա-ից ավելի:
55. Աշխատող ապահովիչ կափույրների դեպքում անոթում ճնշման բարձրացումը թույլատրվում է առավելագույն թույլատրելի աշխատանքային ճնշումից 25 տոկոսից ոչ ավելի՝ պայմանով, որ այդ բարձրացումը նախատեսված է անոթի շահագործման ձեռնարկով (հրահանգով):
56. Ապահովիչ կափույրներով պետք է ապահովվի կաթսաների, շոգեգերտաքացուցիչների, էկոնոմայզերների և խողովակաշարերի պաշտպանությունը դրանցում ճնշման՝ առավելագույն թույլատրելի աշխատանքային ճնշումից ավելի, քան 10 տոկոսով բարձրացումից: Ապահովիչ կափույրների ամբողջական բացման դեպքում ճնշման բարձրացումը առավելագույն թույլատրելի աշխատանքային ճնշման 10 տոկոսից ավելի թույլատրվում է այն դեպքում, երբ դա նախատեսված է կաթսայի, շոգեգերտաքացուցչի, էկոնոմայզերի և խողովակաշարի ամրության հաշվարկով:
57. 4 ՄՊա աշխատանքային ճնշումից ավելի շոգեկաթսաների վրա (բացառությամբ շարժական կաթսաների և 35 տ/ժ-ից պակաս շոգեարտադրողականությամբ կաթսաների) տեղադրվում են միայն ամպուլսային ապահովիչ կափույրներ: Շարժական կաթսայակայանքների վրա չի թույլատրվում լծակաբեռնային ապահովիչ կափույրների տեղադրումը:
58. Յուրաքանչյուր շոգեկաթսայի և ջրատաքացման կաթսայի ու աշխատանքային միջավայրով անջատվող շոգեգերտաքացուցչի վրա տեղադրվում են ապահովիչ կափույրներ: Քանակը և դրանց տեղակայման վայրերը որոշվում են մշակման (նախագծման) ժամանակ:
Կաթսաների վրա տեղադրվող ապահովիչ սարքվածքների գումարային թողունակությունը պետք է լինի այդ սարքավորումների անվանական արտադրողականությունից ոչ պակաս:
59. Ապահովիչ կափույրների թողունակությունը հաստատվում է տվյալ կառուցվածքի ապահովիչ կափույրի գլխիկի նմուշի համապատասխան փորձարկումներով, որոնք անցկացվել են դրա պատրաստողի կողմից, և նշվում է սարքավորման անձնագրում:
60. Ապահովիչ սարքվածքները շոգեկաթսաների և ջրատաքացման կաթսաների վրա տեղադրվում են անմիջապես կաթսաներին միացված խողովակաոստերի կամ խողովակաշարերի վրա հետևյալ կերպ.
ա) բնական շրջանառությամբ առանց շոգեգերտաքացուցիչների շոգեկաթսաների վրա` վերին թմբուկի կամ չորաշոգիանոցի վրա.
բ) ուղղահոս շոգեկաթսաների, ինչպես նաև հարկադրական շրջանառությամբ կաթսաների վրա՝ ելքային կոլեկտորների կամ ելքային շոգեմուղի վրա.
գ) ջրատաքացման կաթսաներում` ելքային կոլեկտորների կամ թմբուկի վրա.
դ) միջանկյալ շոգեգերտաքացուցիչների վրա հնարավոր է տեղադրել շոգեգերտաքացուցչի բոլոր ապահովիչ սարքվածքները՝ գոլորշու մուտքի կողմի վրա.
ե) ջրով անջատվող էկոնոմայզերներում` ոչ պակաս, քան 1 ապահովիչ սարքվածք ջրի ելքի և մուտքի վրա:
61. Կաթսայի չանջատվող շոգեգերտաքացուցիչների առկայության դեպքում կաթսայի անվանական արտադրողականության 50 տոկոսից ոչ պակաս թողունակությամբ ապահովիչ կափույրների մի մասը տեղադրվում է շոգեգերտաքացուցչի ելքային կոլեկտորի վրա:
62. 4 ՄՊա-ից ավելի աշխատանքային ճնշմամբ շոգեկաթսաների վրա անուղղակի ազդեցության իմպուլսային ապահովիչ կափույրները տեղակայվում են չանջատվող շոգեգերտաքացուցչի ելքային կոլեկտորի վրա կամ շոգեմուղի վրա մինչև գլխավոր փակիչ արմատուրը, ընդ որում, թմբուկավոր կաթսաների համար գումարային թողունակությամբ կափույրների 50 տոկոսի համար շոգեառումն իմպուլսների համար կատարվում է կաթսայի թմբուկից:
Միանման կափույրների կենտ քանակի դեպքում թմբուկից իմպուլսների համար շոգեառումը թույլատրվում է ոչ պակաս, քան մեկ երրորդի համար, բայց շոգեկաթսայի վրա տեղադրված կափույների մեկ երկրորդից ոչ ավելիի համար: Բլոկային կայանքների վրա ապահովիչ կափույրները շոգեմուղի վրա անմիջապես տուրբինների մոտ տեղաբաշխելու դեպքում թույլատրվում է բոլոր ապահովիչ սարքվածքների իմպուլսների համար օգտագործել գերտաքացած շոգի, ընդ որում, կափույների 50 տոկոսի համար կաթսայի թմբուկին միացված հպումային մանոմետրից տրվում է լրացուցիչ իմպուլս:
Միանման ապահովիչ կափույրների կենտ քանակի դեպքում թույլատրվում է կաթսայի թմբուկին միացված հպումային մանոմետրից տալ լրացուցիչ էլեկտրական իմպուլս կափույրների՝ ոչ պակաս, քան մեկ երրորդի համար, բայց մեկ երկրորդից ոչ ավելիի համար:
63. Կաթսաների անջատվող էկոնոմայզերների համար ապահովիչ կափույրների տեղակայման վայրը, դրանց կարգավորման մեթոդիկան և դրանց բացման ճնշման մեծությունը սահմանվում են նախագծողի կողմից:
Այն ուղղահոս շոգեկաթսաների վրա, որոնց տաքացման մակերևույթի առաջին մասը (ըստ ջրի ընթացքի) տաքացման մակերևույթի մնացած մասից կաթսան վառելու կամ կանգառման ժամանակ անջատվում է փակիչ արմատուրով, տաքացման մակերևույթի առաջին մասի համար ապահովիչ կափույրների տեղակայման անհրաժեշտությունը, քանակը և չափերը սահմանվում են նախագծային փաստաթղթերով:
64. Մեմբրանային ապահովիչ սարքվածքները տեղադրվում են անոթների և խողովակաշարերի վրա՝
ա) եթե լծակաբեռնային և զսպանակավոր ապահովիչ կափույրները չեն կարող կիրառվել իրենց իներցիոնության հետևանքով կամ այլ պատճառներով.
բ) ապահովիչ կափույրներից առաջ այն դեպքում, եթե ապահովիչ կափույրները չեն կարող հուսալի աշխատել աշխատանքային միջավայրի վնասակար ազդեցության (կոռոզիայի, էրոզիայի, պոլիմերացման, բյուրեղացման, եփելուց կպչելու, սառչելուց կպչելու) կամ պայթյունահրդեհավտանգ, թունավոր, էկոլոգիապես վնասակար նյութերի փակ կափույրից հնարավոր հոսակորուստի հետևանքով: Այդ դեպքում սարքավորումների վրա նախատեսվում է մեմբրանի սարքինության հսկումը թույլատրող սարքվածքի առկայությունը.
գ) ապահովիչ կափույրների հետ զուգահեռ՝ ճնշումը նվազեցնելու համակարգերի թողունակության բարձրացման համար.
դ) ապահովիչ կափույրների ելքային կողմի վրա՝ նվազեցման համակարգի կողմից աշխատանքային միջավայրերի վնասակար ազդեցությունը կանխելու և ապահովիչ կափույրների գործարկման հուսալիության նպատակով այդ համակարգի կողմից հակաճնշման տատանումների ազդեցությունը բացառելու համար:
65. Մեմբրանային ապահովիչ սարքվածքների անհրաժեշտությունը և տեղադրման վայրը սահմանվում են սարքավորման նախագծով: Ապահովիչ մեմբրանները տեղադրվում են միայն իրենց համար նախատեսված ամրացման հանգույցների վրա:
Մեմբրանային ապահովիչ սարքվածքները տեղակայվում են զննման, դրանց մոնտաժման և ապամոնտաժման համար բաց և հասանելի վայրերում: Միացնող խողովակաշարերը պաշտպանվում են իրենց մեջ աշխատանքային միջավայրի սառչելուց, իսկ հենց ապահովիչ սարքվածքները տեղակայվում են անմիջապես կաթսաներին միացված խողովակաոստերի կամ խողովակաշարերի վրա:
Մեմբրանային ապահովիչ սարքվածքի՝ հաջորդաբար ապահովիչ կափույրի հետ (կափույրից առաջ կամ դրանից հետո) տեղադրման ժամանակ մեմբրանի և ապահովիչ կափույրի միջև խոռոչը միացվում է ազդանշանային մանոմետրով կողմնատար խողովակով (մեմբրանների սարքինության հսկողություն համար):
Մեմբրանային սարքվածքների կրկնակի թվի առկայության դեպքում թույատրվում է մեմբրանային ապահովիչ սարքվածքներից առաջ տեղադրել փոխարկիչ սարքվածք՝ ապահովելով, ընդ որում, սարքավորումների պաշտպանությունը փոխարկիչ սարքվածքի ցանկացած դիրքի ժամանակ ճնշման բարձրացումից:
66. Միջավայրերի բաժանման սահման ունեցող սարքավորումներում հեղուկի մակարդակի վերահսկման համար կիրառվում են հեղուկ աշխատանքային միջավայրի մակարդակի չափումների միջոցներ: Հեղուկի մակարդակի ցուցիչների հետ մեկտեղ սարքավորումների վրա տեղակայվում են ձայնային, լուսային և այլ ազդանշանի ու հեղուկի սահմանային մակարդակներով բլոկավորման սարքեր:
67. Շոգեկաթսայի, բացի ուղղահոս շոգեկաթսայից, և բոցով կամ վառելագազերով տաքացվող անոթի վրա, որոնցում հնարավոր է հեղուկի մակարդակի իջեցում՝ թույլատրելիից ցածր, տեղադրվում են ուղղակի ազդեցության հեղուկի մակարդակի 2-ից ոչ պակաս ցուցիչներ:
Թույլատրվում է լրացուցիչ, որպես կրկնօրինակող, տեղադրել անուղղակի ազդեցության հեղուկի մակարդակի ցուցիչներ: Շոգեկաթսաներում (այդ թվում՝ թմբուկներում սանդղավոր գոլորշիացմամբ կամ հանովի զատիչով շոգեկաթսաները), բացառությամբ ուղղահոս կաթսաների, և բոցով կամ վառելագազերով տաքացվող անոթների վրա հեղուկի մակարդակի ցուցիչների տեղադրման քանակը և վայրերըը սահմանվում են սարքավորման նախագծով:
68. Ուղղակի ազդեցության հեղուկի մակարդակի ցուցիչը պետք է ինքնուրույն միացում ունենա սարքավորմանը: Թույլատրվում է ուղղակի ազդեցության հեղուկի մակարդակի 70 մմ-ից ոչ պակաս տրամագծով 2 ցուցիչներ տեղադրել միացման խողովակի (սյունակաթսայի) վրա:
Ուղղակի ազդեցության հեղուկի մակարդակի վրա միջանկյալ կցաշուրթերի և փակիչ արմատուրի, բացառությամբ հեղուկի մակարդակների սահմանային ազդանշանիչների տվիչների, տեղադրումը չի թույլատրվում: Նշված պահանջը չի վերաբերում հեղուկի մակարդակի ցուցիչների կազմում մտնող փակիչ արմատուրի կցաշուրթերին:
Ուղղակի ադզեցության հեղուկի մակարդակի ցուցիչին և դրա միացման խողովակներին կամ խողովակապտուկներին այլ սարքերի միացումը չի թույլատրվում՝ բացառությամբ հեղուկի սահմանային մակարդակների ազդանշանիչի տվիչի, եթե դրա հետ մեկտեղ չի խախտվում հեղուկի մակարդակի ցուցիչի աշխատանքը:
69. Հեղուկի մակարդակի ցուցիչները սարքավորումներին միացնող խողովակաշարերի փոխդասավորվածությամբ պետք է բացառվի դրանցում ջրային պարկերի ստեղծումը, և ապահովվի խողովակների մաքրման հնարավորությունը: Միացման խողովակները պետք է պաշտպանված լինեն վառելիքի այրման արգասիքներից, ջերմային տաքացումից և սառչելուց:
70. Ուղղակի ազդեցության հեղուկի մակարդակի ցուցիչները տեղաբաշխվում են և լուսավորվում են այնպես, որ հեղուկի մակարդակը տեսանելի լինի սպասարկող անձնակազմի աշխատանքային տեղից: 4 ՄՊա-ից ավելի աշխատանքային ճնշումով սարքավորումների վրա ուղղակի ազդեցության հեղուկի մակարդակի ցուցիչները հագեցվում են թափանցիկ թիթեղների քայքայման դեպքում անձնակազմի պաշտպանության համար պատյաններով:
71. Հեղուկի մակարդակի ցուցիչի դիտաճեղքի լայնությունը սահմանվում է սարքավորման նախագծով:
72. Հեղուկի մակարդակի ցուցիչները հագեցվում են փակիչ արմատուրով՝ դրանք սարքավորումներից անջատելու և փչամաքրման համար: Փակիչ արմատուրի վրա նշվում են (ձուլված, դաջված կամ ներկված են) բացելու և փակելու ուղղությունները, իսկ ծորակի վրա լրացուցիչ նշվում է դրա անցաթողման անցքի դիրքը: Փակիչ արմատուրի անցամասի ներքին տրամագիծը պետք է լինի 8 մմ-ից ոչ պակաս: Հեղուկի մակարդակի ցուցիչների փչամաքրման ժամանակ ջրթողի համար սարքավորումների դատարկումն ապահովելու նպատակով նախատեսվում են պաշտպանական հարմարանքով և կողմնատար խողովակով ձագարներ:
73. Սարքավորումներում 4,5 ՄՊա-ից ավելի ճնշման դեքպում հեղուկի մակարդակի ցուցիչները հագեցվում են 2 հաջորդաբար դասավորված փակիչ արմատուրների լրակազմերով՝ դրանք սարքավորումներից անջատելու համար:
74. Այն դեպքում, երբ սարքավորման մեջ հեղուկի մակարդակի նկատմամբ հսկողություն կատարելու հարթակից մինչև ուղղակի ազդեցության հեղուկի մակարդակի ցուցիչ տարածությունը կազմում է 6 մ-ից ավելի, ինչպես նաև եթե հեղուկի մակարդակը տեսանելի չէ սպասարկող անձնակազմի աշխատանքային տեղից, տեղադրվում են հեղուկի մակարդակի 2 իջեցված հեռավար ցուցիչներ: Այդ դեպքում թույլատրվում է սարքավորումների վրա տեղադրել ուղղակի ազդեցության հեղուկի մակարդակի 1 ցուցիչ:
Հեղուկի մակարդակի իջեցված հեռավոր ցուցիչները միացվում են անմիջապես սարքավորումներն առանձին խողովակապտուկներով՝ անկախ հեղուկի մակարդակի այլ ցուցիչներից, և ունեն հանդարտարար սարքվածքներ:
75. Ջերմաօգտագործիչ կաթսաներում և էներգոտեխնոլոգիական կաթսաներում հեղուկի մակարդակի հեռավար ցուցիչները տեղակայվում են տվյալ կաթսաների կառավարման վահանակի (վահանակների) վրա:
76. էլեկտրատաքացուցիչով շոգեկաթսաները հագեցվում են հեղուկի մակարդակի՝ սահմանային թույլատրելի մակարդակից ցածր իջնելու դեպքում էլեկտրասնուցումն ավտոմատ անջատելու համակարգով:
77. Կաթսաները սարքավորվում են ջրի վերին և ներքին սահմանային մակարդակների ձայնային և լուսային ավտոմատ ազդանշանիչներով: Համանման ազդանշանումը պետք է գործի բոլոր այն պարամետրերով, որոնցով ավտոմատ սարքվածքները և անվտանգության սարքերը գործարկվում են կանգառման համար:
78. Շոգեկաթսաները, անկախ տեսակից և շոգեարտադրողականությունից, սարքավորվում են սնուցող ջրի մատակարարման ավտոմատ կարգավորիչներով: Հիմնական կամ միջանկյալ շոգեգերտաքացուցիչից դուրս գալիս շոգու՝ 400°С-ից ավելի ջերմաստիճանով շոգեկաթսաները հագեցվում են շոգու ջերմաստիճանի կարգավորման համար ավտոմատ սարքվածքներով:
79. Շոգեգերտաքացուցիչներ ունեցող կաթսաների վրա յուրաքանչյուր շոգեմուղի վրա մինչև գլխավոր փակիչ արմատուրը նախատեսվում են գերտաքացված շոգու ջերմաստիճանի չափման միջոցներ: Շոգու միջանկյալ գերտաքացմամբ կաթսաների վրա ջերմաստիճանի չափման միջոցները տեղադրվում են շոգու ելքի ու մուտքի վրա:
80. Բնական շրջանառությամբ և 20 տ/ժ-ից ավելի շոգու արտադրողականությամբ շոգու գերտաքացմամբ կաթսաների, 1 տ/ժ-ից ավելի շոգու արտադրողականությամբ ուղղահոս կաթսաների վրա չափումների ցույց տվող միջոցների հետ միասին նախատեսվում են գերտաքացված շոգու ջերմաստիճանի մեծության անընդհատ գրանցումով չափումների միջոցներ:
81. Մի քանի զուգահեռ բաժանմունքներով շոգեգերտաքացուցիչների վրա, բացի գերտաքացված շոգու ընդհանուր շոգեմուղների վրա տեղադրվող շոգու ջերմաստիճանի մեծության չափման միջոցներից, յուրաքանչյուր բաժանմունքի ելքի վրա տեղադրվում են շոգու ջերմաստիճանի մեծության պարբերական չափումների միջոցներ, իսկ շոգեգերտաքացուցիչների գալարախողովակների ելքային մասի վրա շոգու՝ 500 °С-ից ավելի ջերմաստիճանով շոգեկաթսաների վրա գազանցքի լայնության յուրաքանչյուր մետրի վրա՝ մեկական չափման միավոր:
82. 400 տ/ժ-ից ավելի շոգու արտադրողականությամբ շոգեկաթսաների վրա շոգեգերտաքացուցիչների գալարախողովակների ելքային մասի վրա տեղադրվում են շոգու ջերմաստիճանի մեծության անընդհատ գրանցման չափման միջոցներ: Շոգեպաղիչներով շոգեկաթսաների վրա շոգու գերտաքացման ջերմաստիճանի մեծության կարգավորման համար մինչև շոգեպաղիչն ու դրանից հետո տեղադրվում են համապատասխան մեծությունների չափման միջոցներ:
83. Էկոնոմայզերում ջրի մուտքի և էկոնամայզերից ջրի ելքի, ինչպես նաև առանց էկոնամայզերների շոգեկաթսաների սնուցող ջրի խողովակաշարերի վրա նախատեսվում են սնուցող ջրի ջերմաստիճանի մեծության չափման միջոցներ:
84. Ջրատաքացման կաթսաներում ջրի ջերմաստիճանի չափման միջոցները տեղադրվում են կաթսայում ջրի մուտքի և կաթսայից ջրի ելքի վրա:
85. 4,19 տ/ժ-ից ավելի շոգու արտադրողականությամբ ջրատաքացման կաթսաների վրա տեղադրվում են կաթսայից ջրի դուրս գալուց ջերմաստիճանի չափման միջոցներ:
86. Մետաղի ջերմաստիճանի հսկողության և կաթսայի վառման, կանգառի և մանևրային ռեժիմների դեպքում դրա արժեքների թույլատրելիից ավելի բարձրացումը կանխելու համար նախատեսվում են դրա տարրերի պատերի ջերմաստիճանի չափման միջոցներ: Ջերմաստիճանի չափման միջոցների տեղադրման անհրաժեշտությունը, դրանց քանակը և տեղաբաշխումը սահմանվում են կաթսայի նախագծողի կողմից:
87. Պատերի ջերմաստիճանի փոփոխության ժամանակ աշխատող անոթները սարքավորվում են անոթի մարմնի երկարությամբ և բարձրությամբ տաքացման արագության և համաչափության հսկողության համար ջերմաստիճանի չափման միջոցներով, ինչպես նաև ջերմային տեղափոխությունների ցուցիչներով: Անոթները ջերմաստիճանի չափման միջոցներով և ջերմային տեղափոխությունների ցուցիչներով սարքավորելու անհրաժեշտությունը, անոթների տաքացման և հովացման թույլատրելի արագությունը սահմանվում են անոթի նախագիծը մշակողի կողմից և պատրաստողի կողմից նշվում են սարքավորման անձնագրում կամ շահագործման ձեռնարկում (հրահանգում):
88. Սարքավորումները և դրանց՝ ճնշման տարբեր արժեքներով առանձին խոռոչները հագեցվում են ուղղակի ազդեցության ճնշման չափման միջոցներով:
89. 10 տ/ժ-ից ավելի շոգու արտադրողականությամբ շոգեկաթսաները և 21 ԳՋ/ժ-ից ավելի շոգու արտադրողականությամբ ջրատաքացման կաթսաները պետք է սարքավորված լինեն ճնշման չափման գրանցող միջոցով:
90. Ճնշման չափման միջոցները տեղաբաշխվում են՝
ա) կաթսայի թմբուկի վրա,
բ) շոգեգերտաքացուցիչով կաթսայի վրա՝ շոգեգերտաքացուցիչից հետո, գլխավոր փակիչ արմատուրից առաջ,
գ) անոթի խողովակապտուկի վրա կամ անոթի և փակիչ արմատուրի միջև խողովակաշարի վրա,
դ) ուղղահոս կաթսայի վրա՝ գերտաքացուցիչից հետո, գլխավոր փակիչ մարմնից առաջ:
91. Ջրատաքացման կաթսաների վրա ճնշման չափման միջոցները տեղադրվում են կաթսայում ջրի մուտքի և կաթսայից ջրի ելքի վրա՝ փակիչ արմատուրից առաջ:
92. Չափման միավորի միջոցի ճշգրտության դասը պետք է լինի՝
ա) 2,5-ից ոչ պակաս՝ 2,5 ՄՊա-ից ոչ ավելի աշխատանքային ճնշման դեպքում,
բ) 1,5-ից ոչ պակաս՝ 2,5-ից մինչև 14 ՄՊա-ն ներառյալ աշխատանքային ճնշման դեպքում,
գ) 1-ից ոչ պակաս՝ 14 ՄՊա-ից ավելի աշխատանքային ճնշման դեպքում:
93. Ճնշման չափման միջոցը 5 մ-ից ավելի բարձրության վրա տեղադրելու դեպքում նախատեսվում է ճնշման չափումը կրկնօրինակող միջոց:
94. Սարքավորումների կառուցվածքով նախատեսվում է ճնշման չափման միջոցի անվտանգ փչամաքրման, ստուգման և անջատման հնարավորություն:
95. Արմատուրի տիպը, դրա քանակը և տեղադրման վայրը սահմանվում են սարքավորման նախագիծը մշակողի կողմից՝ ելնելով անվտանգության ապահովումից և նախագծով նախատեսված սարքավորումների անջատումներից և դրանց տարրերից:
96. Կաթսաներում սնուցող ջրի խմբային մատակարարման դեքպում պոմպի ճնշումը ընտրվում է՝ հաշվի առնելով «Ավելցուկային ճնշման տակ աշխատող սարքավորումների անվտանգության մասին» Մաքսային միության տեխնիկական կանոնակարգը (ՄՄ ՏԿ 032/2013), ինչպես նաև ելնելով առավելագույն աշխատանքային ճնշմամբ կամ խողովակաշարում սնուցող ջրի ճնշման առավելագույն կորստով կաթսայի սնուցումն ապահովելու պայմանից:
97. Ջրի մատակարարումը սնուցման սարքվածքներով սահմանվում է՝ ըստ կաթսաների անվանական շոգեարտադրողականության՝ հաշվի առնելով անընդհատ կամ պարբերաբար փչամաքրման, շոգու հովացման, ռեդուկցիոն-հովացման և հովացման սարքվածքների ապահովման համար ջրի ծախսը, ինչպես նաև հաշվի առնելով ջրի կամ շոգու կորստի հնարավորությունը:
98. Սնուցող սարքվածքների տիպով, բնութագրով, քանակով և միացման սխեմայով ապահովվում է շահագործման ընթացքում կաթսայի անվտանգ շահագործումը՝ ներառյալ վթարային կանգառումները:
99. Խողովակաշարերի մշակման (նախագծման) ժամանակ անհրաժեշտ է՝
ա) 150 մմ-ից ավելի անվանական տրամագծով 300 °С և ավելի աշխատանքային միջավայրի ջերմաստիճանով խողովակաշարերի համար նախագծում սահմանել խողովակաշարերի ջերմային ընդարձակման վերահսկման համար տեղափոխումների և հենարանային կախովի համակարգի աշխատանքի ճշգրտության նկատմամբ հսկողության ցուցիչների անհրաժեշտ քանակություն.
բ) կոնդենսատի հեռացման համար նախատեսել սարքվածքներ այն դեպքերում, երբ շոգեգազանման աշխատանքային միջավայրերի տրանսպորտային փոխադրման խողովակների ներսում հնարավոր է դրա առաջացումը: Այդ սարքվածքները պետք է տեղաբաշխվեն խողովակաշարերի ստորին կետերում.
գ) հաշվի առնել հիդրավլիկ ռեժիմի խախտումներից, ինչպես նաև էրոզիոն-կոռոզիոն մաշվածությունից վնասվածքների հնարավորությունը.
դ) նախատեսել միջոցառումներ և միջոցներ՝ շահագործման ընթացքում թրթռման ենթարկվող խողովակաշարերի թրթռման նվազեցման և վթարային քայքայման ու ապահերմետիկացման հնարավորությունը բացառելու համար.
ե) նախատեսել սարքվածքներ, որոնք անջատում են խողովակաշարերի ճյուղավորումն այն դեպքերում, երբ այդ խողովակաշարերում պարունակվում են խումբ 1-ի աշխատանքային միջավայրերը.
զ) նվազագույնի հասցնել աշխատանքային միջավայրի պատահական ելքի վտանգը: Աշխատանքային միջավայրի ընտրության վայրերը պետք է հստակ նշված լինեն՝ աշխատանքային միջավայրի անվանման նշմամբ.
է) ստորգետնյա խողովակաշարերի համար մշակել տեխնիկական փաստաթղթեր, որոնք պարունակում են դրանց անվտանգ տեխնիկական սպասարկման, հսկողության և վերանորոգման համար անհրաժեշտ տեղեկություններ (պողպատի մակնիշը, տրամագիծը, խողովակների հաստությունը, խողովակաշարի երկարությունը, հենարանների, փոխհատուցիչների, կախոցների, արմատուրների, օդաթողման և ցամաքուրդային սարքվածքների, եռակցվածքների դասավորվածությունը՝ նրանց և նրանցից մինչև հորերն ու բաժանորդային ներանցիչների միջև հեռավորության նշումով, խողովակաշարի վիճակի և աշխատանքային միջավայրի պարամետրերի հսկողության համար ցուցիչների դասավորվածությունը):
100. Բարոխցիկի կառուցվածքով պետք է ապահովվի բարոխցիկի զննման (այդ թվում՝ ներքին մակերևույթի), մաքրման, լվացման, փչամաքրման և վերանորոգման հնարավորությունը:
101. Բարոխցիկների մշակման (նախագծման) ժամանակ հաշվի են առնվում մոնտաժման և իներցիոն ուժերի ազդեցության տակ առաջացող բեռնվածքները:
102. Բարոխցիկի ներսում մարդկանց գտնվելու տևողությունը սահմանվում է նախագծով և նշվում է անձնագրում: Բարոխցիկում մարդկանց երկարատև գտնվելու դեքպում նախատեսվում են տարբեր ֆունկցիոնալ նշանակության հատվածամասեր:
103. Սարքավորման նախագծով պետք է ապահովվի էլեկտրական մալուխների համար հերմետիկ արտանցիչներ կամ բարձր լարման խցուկներ, որոնցով ապահովվում են ամբողջ հերմետիկ արտանցիչի և դրա հոսանահաղորդ տարրերի մեխանիկական ամրությունը, առանցքային և շառավղային հերմետիկությունը, անգազանցիկությունը, ինչպես նաև բարոխցիկում ճնշումների ամբողջ տիրույթով մեկուսացման էլեկտրական ամրությունը:
104. Բարոխցիկի կառուցվածքով պետք է ապահովվի բարոխցիկը ներսից և դրսից բացելու հնարավորությունը: Չի թույլատրվում կիրառել դռների փակման կամ բարոխցիկի ներսում կափարիչների համար փականներ:
105. Բարոխցիկի ներսում իրադրության տեսողական կամ հեռուստատեսային հսկման և ներքին տարածության լուսավորման համար սարքավորման նախագծով նախատեսվում են մեխանիկական վնասվածքներից լուսանցույցների ապակին պաշտպանող արտաքին կափարիչով սարքավորված լուսանցույցներ:
Բարոխցիկների լուսանցույցների մշակման (նախագծման), պատրաստման (արտադրման) ժամանակ կիրառվում են բարոխցիկի իրանի ամրության պաշարից ոչ պակաս ամրության պաշարով և 85 տոկոսից ոչ պակաս լուսանցման գործակցով լուսանցիկ նյութեր:
106. Սարքավորման նախագծով նախատեսվում են օդի մատակարարման և գազամատակարարման համակարգեր՝ հետևյալ նպատակների համար.
ա) բարոխցիկում գազային միջավայրի ձևավորում,
բ) շնչառական անշարժ համակարգի աշխատանքի ապահովում,
գ) բարոխցիկում ճնշման պահպանում և փոփոխում,
դ) բարոխցիկում թթվածնով և չեզոք գազերով գազային միջավայրի բաղադրության պահպանում և փոփոխում,
ե) ջրարգելակում:
107. Օդի մատակարարման և գազամատակարարման համակարգերով ապահովվում են բարոխցիկում ճնշման բարձրացում՝ 0,2 ՄՊա/ր-ից ոչ պակաս արագությամբ՝ 0,1-ից մինչև 1,7 ՄՊա-ն ներառյալ (1-17 կգու/սմ2) ճնշման համար, 0,1 ՄՊա/ր-ից ոչ պակաս արագությամբ՝ 1,7 Մպա (17 կգու/սմ2)-ից ավելի ճնշման համար, և ± 0,025 ՄՊա (0,25 կգու/սմ2) ճնգրտությամբ ճնշման պահպանում: Բարոխցիկում ճնշման իջեցումն իրականացվում է 0,003 - 0,9 ՄՊա/ժ (0,03 – 9 կգու/սմ2 x ժ) արագությամբ:
108. Բարոխցիկի գազային հսկողության միջոցներով պետք է ապահովվեն թթվածնի, հելիումի և ածխածնի դիօքսիդի, ինչպես նաև հնարավոր վնասակար նյութերի պարունակության չափումների ճշգրտությունը:
109. Հակահրդեհային պաշտպանության համակարգով և միջոցներով պետք է ապահովվեն բարոխցիկում հրդեհ սկսվելու կամ բռնկման նախադրյալների (ծուխ, ջերմաստիճանի չվերահսկելի բարձրացում) հայտնաբերումը, վթարային ազդանշան տալը, ինչպես նաև հայտնաբերված հրդեհի՝ բարոխցիկում եղած բոլոր միջոցներով մարումը:
110. Ավտոմատ կառավարման միջոցներով պետք է ապահովվեն բարոխցիկի ներսում մարդկանց գտնվելու անվտանգ պայմանները:
111. Բարոխցիկի յուրաքանչյուր հատվածամաս և անցախուց հագեցվում է մանոմետրով, որը տեղադրվում է բարոխցիկի իրանին եռակցված խողովակապտուկի վրա դրսի կողմից կամ բարոխցիկի համակարգերի կառավարման վահանակի վրա:
112. Բարոխցիկի ուժային ցանցերը պետք է ունենան էլեկտրաէներգիայի պահուստային աղբյուրներ, որոնցով ապահովվում է օդի և գազի մատակարարման համակարգերի տարրերի, հակահրդեհային պաշտպանության համակարգերի և միջոցների անխափան աշխատանքը:
113. Ուժային էլեկտրասարքավորումների ամբողջ կոմուտացիոն-պաշտպանական և գործարկումը կարգավորող ապարատուրան տեղակայվում է բարոխցիկներից դուրս: Բարոխցիկում ուժային մալուխները պետք է ունենան չայրվող մեկուսացում: Բարոխցիկի նախագծով պետք է նախատեսվի ստատիկ էլեկտրականությունից պաշտպանության համակարգի առկայությունը, ներքին հանովի մետաղական արտադրատեսակների, սարքավորումների և բարոխցիկի կորպուսի հողանցման հնարավորությունը:
114. Սարքավորման նախագծով սահմանվում է լուսավորության տեղակայման անհրաժեշտությունը: Բարոխցիկի ներսում տեղակայվող լուսատուները պետք է լինեն հերմետիկ, հաշվարկված լինեն միջավայրի աշխատանքային ճնշման համար:
115. Սարքավորման նախագծով նախատեսվում է բարոխցիկի ներսում գտնվող մարդկանց հետ կապի միջոցների կիրառումը:
116. Բարոխցիկի ներսում տեղակայվող խողովակաշարերը, շոգու և ջրի տաքացուցիչները, ինչպես նաև բարոխցիկից դուրս տեղակայվող սեղմած օդի և գազային խառնուրդների մատակարարման խողովակաշարերը նախագծվում են առանց կարի պղնձե խողովակներից կամ չժանգոտվող պողպատե խողովակներից:
117. Բարոխցիկի ներքին սարքավորումների համար կիրառվում են չայրվող (հրապաշտպան) նյութեր, որոնք երաշխավորված են բարոխցիկի գազային միջավայրում վնասակար նյութեր անջատելուց:
ՀԱՎԵԼՎԱԾ ԹԻՎ 3 «Ավելցուկային ճնշման տակ աշխատող սարքավորումների անվտանգության մասին» Մաքսային միության տեխնիկական կանոնակարգի (ՄՄ ՏԿ 032/2013) |
ՊԱՀԱՆՋՆԵՐ
տարբերակիչ ներկվածքի և նույնականացման տեղեկատվության նկատմամբ
I. Բալոններ
Գազի անվանումը |
Բալոնների ներկվածքը |
Գրառման տեքստը |
Գրառման գույնը |
Շերտի գույնը |
1 |
2 |
3 |
4 |
5 |
Ազոտ |
սև |
ազոտ |
դեղին |
շագանակագույն |
Ամոնիակ |
դեղին |
ամոնիակ |
սև |
- |
Արգոն խոնավ |
սև |
արգոն խոնավ |
սպիտակ |
սպիտակ |
Արգոն տեխնիկական |
սև |
արգոն տեխնիկական |
կապույտ |
կապույտ |
Արգոն մաքուր |
մոխրագույն |
արգոն մաքուր |
կանաչ |
կանաչ |
Ացետիլեն |
սպիտակ |
ացետիլեն |
կարմիր |
- |
Բութիլեն |
կարմիր |
բութիլեն |
դեղին |
սև |
Նավթագազ |
մոխրագույն |
նավթագազ |
կարմիր |
- |
Բութան |
կարմիր |
բութան |
սպիտակ |
- |
Ջրածին |
մուգ կանաչ |
ջրածին |
կարմիր |
- |
Օդ |
սև |
սեղմած օդ |
սպիտակ |
- |
Հելիում |
շագանակագույն |
հելիում |
սպիտակ |
- |
Ազոտի ենթօքսիդ |
մոխրագույն |
ազոտի ենթօքսիդ |
սև |
- |
Թթվածին |
երկնագույն |
թթվածին |
սև |
- |
Թթվածին բժշկական |
երկնագույն |
թթվածին բժշկական |
սև |
- |
Ծծմբաջրածին |
սպիտակ |
ծծմբաջրածին |
կարմիր |
կարմիր |
Ծծմբային անհիդրիդ |
սև |
ծծմբային անհիդրիդ |
սպիտակ |
դեղին |
Ածխաթթու |
սև |
ածխաթթու |
դեղին |
- |
Ֆոսգեն |
պաշտպանական |
- |
- |
կարմիր |
Ֆրեոն-11 |
ալյումինե |
ֆրեոն-11 |
սև |
կապույտ |
Ֆրեոն-12 |
ալյումինե |
ֆրեոն-12 |
սև |
- |
Ֆրեոն-13 |
ալյումինե |
ֆրեոն-13 |
սև |
2 կարմիր |
Ֆրեոն-22 |
ալյումինե |
ֆրեոն-22 |
սև |
2 դեղին |
Քլոր |
պաշտպանական |
- |
- |
կանաչ |
Ցիկլոպրոպան |
նարնջագույն |
ցիկլոպրոպան |
սև |
- |
Էթիլեն |
մանուշակագույն |
էթիլեն |
կարմիր |
- |
Բոլոր այլ վառելագազերը |
կարմիր |
գազի անվանումը |
սպիտակ |
- |
Բոլոր այլ չայրվող գազերը |
սև |
գազի անվանումը |
դեղին |
- |
Ծանոթագրություններ.
1. Գրառումը զետեղվում է բալոնի շրջանագծի վրա՝ բալոնի շրջանագծի 1/3-ից ոչ պակաս երկարությամբ, իսկ շերտը՝ ամբողջ շրջանագծի վրա: Ընդ որում, 12 լ-ից ավելի տարողունակությամբ բալոնների վրա տառերի բարձրությունը պետք է լինի 60 մմ, իսկ շերտերի լայնությունը՝ 25 մմ: Մինչև 12 լ տարողունակությամբ բալոնների վրա տառերի և շերտերի չափերը պետք է սահմանվեն՝ կախված բալոնների կողային մակերևույթի մեծությունից:
2. Թույլատրվում է շնչառական ապարատների և սեղմած օդով փրկադիմակների համար փոքրալիտրաժ բալոնների (մինչև 12 լ) մոխրագույն կամ դեղին գույնով ներկվածքը:
II. Ավտոցիստեռններ՝ հեղուկ ածխաջրածնային գազերի տրանսպորտային փոխադրման համար
Հեղուկ ածխաջրածնային գազերի տրանսպորտային փոխադրման համար ավոցիստեռնների արտաքին մակերևույթը ներկվում է բաց մոխրագույն: Անոթի երկու կողային կողմերի վրա կատարվում է 200 մմ-ից ոչ պակաս լայնությամբ կարմիր գույնի տարբերակիչ շերտ՝ դրա վրա «Պրոպան – հրավտանգ է» սև գույնի գրառումով: Անոթի հետին հատակին սև գույնով արվում է «հրավտանգ է» գրառումը:
Պաշտոնական հրապարակման օրը՝ 2 մայիսի 2023 թվական:
