Text of the Official Translation
L A W
OF THE REPUBLIC OF ARMENIA
Adopted on 18 May 2010
ON COMPULSORY INSURANCE AGAINST LIABILITY ARISING FROM THE USE OF MOTOR VEHICLES
CHAPTER 1
GENERAL PROVISIONS
|
Article 1. |
Scope of the Law and main objectives |
1. This Law shall regulate the relationships pertaining to the compulsory insurance against liability of vehicle owners — as well as other persons lawfully possessing them — arising from damages caused to the injured persons as a consequence of using motor vehicles, prescribe the types of those motor vehicles the liability arising from the use whereof shall be subject to compulsory insurance, and the scope of persons who are obliged to insure the liability arising from the use of those motor vehicles, prescribe the relationships relating to the establishment, operation, regulation of a Bureau of insurance companies carrying out compulsory insurance against liability arising from the use of motor vehicles, and relationships relating to the exercise of supervision over it, as well as the procedure for establishment and application of a Guarantee fund and the Information system, as well as other relationships relating thereto.
2. The main objectives of this Law shall be as follows:
(1) guaranteeing the protection of interests of persons injured as a consequence of using motor vehicles;
(2) introducing a system of compulsory insurance against liability arising from the use of motor vehicles and insuring the continuous operation thereof within the territory of the Republic of Armenia; regulating relationships relating to the insurance contracts signed thereon;
(3) prescribing the scope of competences of organisations operating and bodies exercising supervision within the scope of compulsory insurance against liability arising from the use of motor vehicles;
(4) guaranteeing the effectiveness of procedures for making insurance compensations.
3. In accordance with this Law, the liability arising from the use of motor vehicles within the territory of the Republic of Armenia the record-registration whereof have been conducted in the Republic of Armenia, as well as imported into the territory of the Republic of Armenia through driving and/or are driven on public highways of the Republic of Armenia as prescribed by law, shall be subject to compulsory insurance with the exception of cases prescribed by this Law.
4. In accordance with this Law, only the damages caused by insured accidents having occurred within the territory of the Republic of Armenia shall be subject to compensation.
(Article 1 supplemented by HO-93-N of 19 June 2013)
|
Article 2. |
Legal acts regulating relationships relating to the compulsory insurance against liability arising from the use of motor vehicles |
1. The relationships relating to the compulsory insurance against liability arising from the use of motor vehicles shall be regulated by the Civil Code of the Republic of Armenia, this Law, the Law of the Republic of Armenia “On insurance and insurance activities”, legal acts of the Central Bank of the Republic of Armenia (hereinafter referred to as “Central Bank”), rules of the Bureau and other legal acts.
|
Article 3. |
Main concepts used in the Law |
1. The main concepts used in this Law, as well as other legal acts adopted based thereon (unless otherwise prescribed therein) shall have the following meaning:
(1) CILUMV — compulsory insurance against liability arising from the use of motor vehicles;
(2) CILUMV contract — a CILUMV contract signed — in accordance with this Law— between the insurance company entitled to carry out CILUMV and the assured;
(3) (point repealed by HO-93-N of 19 June 2013)
(4) a motor vehicle — a wheeled vehicle (including light motor vehicles, buses, minibuses, heavy goods vehicles, cargo and passenger vehicles, special vehicles, electric vehicles, motorcycles, trailers, trolley buses) equipped for carrying passengers and goods through public highways, as well as performing non-transport operations;
(5) injured (injured person) — any person having suffered personal injuries or damages caused to the property— provided for by this Law — as a consequence of using a motor vehicle, who shall be entitled to compensation in the manner prescribed by this Law and other legal acts: The persons entitled to compensation for damages— in accordance with this Law — in case of death of a person shall also be deemed to be injured provided for by the first sentence of this point;
(6) owner of a motor vehicle (co-owner) — а natural person deemed to be the owner of a motor vehicle (a citizen of the Republic of Armenia, a foreign citizen, a stateless person) or a legal person, state (state body), a community (a local self-government body), diplomatic representations in the Republic of Armenia (embassies, consular offices, representations of international organisations);
(7) assured — a person having signed a CILUMV contract with the insurance company;
(8) insured person — owner of a motor vehicle during the period of validity of a CILUMV contract, as well as other person (including the driver) lawfully possessing it;
(9) person having caused or causing damage — a person as a consequence of activities (omission) whereof the damage is caused;
(10) driver of a motor vehicle — a person operating a motor vehicle who has used the motor vehicle at the time of an insured accident. The driving instructor shall also be deemed to be a driver;
(11) insured accident — an incident or event provided for by this Law in case whereof the insurance company or the Bureau shall be liable for paying insurance compensation to the injured or other persons in cases prescribed by law and/or the CILUMV contract;
(12) insurance premium — a sum subject to payment by the assured to the insurance company for the entire term of the CILUMV implementation in the amount and on terms prescribed by the CILUMV contract;
(13) insured sum — the maximum amount of insurance compensation subject to payment to the injured or other persons— in cases provided for by law and/or CILUMV contract — by the insurance company in case of an insured accident;
(14) basic insurance premium and main insurance premium — estimated values calculated by the Bureau in accordance with the annex of this Law;
(15) insurance compensation — the amount subject to payment to the injured or other persons in cases provided for by law and/or CILUMV contract by the insurance company in case of an insured accident. Within the meaning of this Law, the insurance compensation also for cases provided for by Article 49 of this Law shall be the compensation made by the Bureau at the expense of the Guarantee fund for the damages caused to the injured persons, unless otherwise prescribed by this Law or follows from the meaning of a specific provision;
(16) unreimbursed amount — an amount not subject to compensation by the insurance company or the Bureau within the limits of the insured sum that is determined in the form of a percentage against a definite amount and/or the insured sum;
(17) damage arising from the use of a motor vehicle (damage) — a damage caused by the application of a motor vehicle engine or without it — by a motor vehicle (including a damage caused by a motor vehicle explosion or arson);
(18) agreed declaration — a specifically designed form being filled in — at the scene of an accident in case of an insured accident — by persons lawfully possessing motor vehicles involved in the accident, which shall contain the circumstances, facts and other information on the accident authenticated by the signature thereof;
(19) bureau of insurance companies carrying out compulsory insurance against liability arising from the use of motor vehicles (Bureau) — a non-governmental organisation, the insurance companies entitled to carry out CILUMV in accordance with this Law, and — in cases provided for by this Law — also the Central Bank being members thereto;
(20) Guarantee fund — a fund established in accordance with this Law the governance body whereof shall be the Bureau and at the expense whereof compensations shall be made in cases prescribed by this Law. Assets prescribed by part 1 of Article 44 of this Law shall be unified in the Guarantee fund;
(21) Information centre — a system collecting, maintaining, using, providing information and conducting statistics — prescribed by legal acts — on the CILUMV system (including information on CILUMV contracts, the assured, insured persons, motor vehicles);
(22) Bonus-Malus — a system of discounts and surcharges of insurance premiums applied within the scope of CILUMV that shall be based on insurance and/or driving history;
(23) membership fee — fees for membership paid to the Bureau by member insurance companies of the Bureau based on this Law in the amount and in the manner prescribed by the rules of the Bureau;
(24) trailer (semi-trailer) — in accordance with the meaning prescribed by the Law of the Republic of Armenia “On ensuring road traffic safety”;
(25) artificial structures, road facilities, road structures” — in accordance with the meaning prescribed by the Law of the Republic of Armenia “On automobile roads”;
(26) maximum amount of damage compensated through independent regulation — maximum amount of damages caused to the property, as established by the Bureau, in case whereof the parties involved in the insured accident may— without the consent of the insurance company— fill in the agreed declaration;
(27) maximum amount of damage compensated through agreed declaration — maximum amount of damages caused to the property, as established by the Bureau, in case whereof the parties involved in the insured accident may — with the consent of the insurance company (insurance companies)— fill in the agreed declaration;
(28) affiliated person — in accordance with the meaning prescribed by the Law of the Republic of Armenia “On insurance and insurance activities”;
(29) record-registered motor vehicle — a motor vehicle the record-registration whereof has been conducted in the name of a person or an organisation by a competent state body of the Republic of Armenia and the record-registration whereof has not been temporarily cancelled as prescribed by the legislation.
2. Within the meaning of this Law, the concepts of insured sum and insurance compensation shall be used for the personal injuries and damages caused to the property, unless it is specifically referred to in the given provision that it shall be used for the CILUMV in general.
(Article 3 supplemented, amended by HO-93-N of 19 June 2013, amended by HO-27-N of 16 December 2016, supplemented by HO-281-N of 9 December 2019)
|
Article 4. |
The right to carry out CILUMV |
1. The member insurance companies of the Bureau entitled to carry out insurance pursuant to the class provided for by point 10 of part 2 of Article 7 of the Law of the Republic of Armenia “On insurance and insurance activities” having at least one branch or agent permanently functioning in each of the marzes of the Republic of Armenia and complying with the requirements prescribed by law and other legal acts, shall have the right to carry out CILUMV in the Republic of Armenia.
2. The abuse of the dominant position within the scope of CILUMV by the insurance company entitled to carry out CILUMV in the Republic of Armenia shall entail a liability provided for by law.
CHAPTER 2
THE CILUMV CONTRACT
|
Article 5. |
The CILUMV contract |
(title amended by HO-93-N of 19 June 2013)
1. The liability of persons insured for the compensation of damages caused to the injured persons shall be insured by the CILUMV contract under the terms prescribed by this Law.
2. The CILUMV contract shall be signed between the insurance company and the following persons:
(1) the owner of a motor vehicle (with the exception of motor vehicles provided for by part 2 of Article 25 of this Law) or — in case of death of the owner and until the state registration of the right of ownership of the new owner — the heir possessing the motor vehicle or a person deemed to be the acquiring party under the contract on alienation of a motor vehicle (including the one to be further signed in the process of registration of the right of ownership of the motor vehicle) or a leasee under the financial lease (leasing) contract, or
(2) persons importing motor vehicles being imported into the territory of the Republic of Armenia through driving (with the exception of motor vehicles prescribed by point 1 of part 2 of Article 25 of this Law) notwithstanding the fact of being deemed to be the owner of the given motor vehicle.
3. Persons referred to in part 2 of this Article shall be entitled to authorise other persons to sign a CILUMV contract on behalf thereof based on the power of attorney given as prescribed by law.
4. Each person must hold a valid CILUMV contract owned by the right of ownership (provided thereto under the financial lease (leasing) contract) and signed for every motor vehicle the record-registration whereof has been conducted in the Republic of Armenia (with the exception of motor vehicles prescribed by points 1, 2 and 3 of part 2 of Article 25 of this Law). Driving of a motor vehicle on public highways shall be prohibited — with the exception of the case prescribed by point 1 of part 2 of Article 25 of this Law — unless there is a valid CILUMV contract available at the time of driving. (Sentence removed by HO-281-N of 9 December 2012). Giving of permission by competent state bodies for the import of motor vehicles — without a CILUMV contract — into the territory of the Republic of Armenia through driving shall be prohibited, with the exception of the motor vehicles prescribed by point 1 of part 2 of Article 25 of this Law.
5. The insurance company entitled to sign a CILUMV contract shall be obliged to sign a CILUMV contract with each of the persons prescribed by part 2 of this Article — upon application thereof — unless the signing of a contract shall entail violation of requirements for the insurance company prescribed by law and other legal acts. Moreover, in case of unfounded evasion from signing of a CILUMV contract by the insurance company, the rules prescribed by Article 461 of the Civil Code of the Republic of Armenia shall apply. While signing a CILUMV contract with a client, the insurance company shall be prohibited from forcing the given client to conclude a transaction with the given insurance company on other services, or from considering the using of other services provided thereby as a prerequisite for signing a CILUMV contract. While signing a CILUMV contract with a client, the insurance company shall be prohibited from forcing the given client to close a transaction with another person on other services, or from considering the using of other services provided by other person as a prerequisite for signing a CILUMV contract, with the exception of cases, when the given service shall be required for signing a CILUMV contract.
6. After signing the CILUMV contract the insurance company (the agent) shall hand in the contract and the sample of the agreed declaration to the assured. The form, the content of the agreed declaration and the instruction for filling it in shall be established by the Government of the Republic of Armenia. The Council of the Bureau may prescribe a requirement of issuing by an insurance company to the assured — apart from the CILUMV contract — of other documents containing the basic provisions of the CILUMV contract and in a form established by the Council of the Bureau.
7. The form of the CILUMV contract shall be approved by the Council of the Bureau. The CILUMV contract must at least include the essential terms prescribed by law (including the identification data of the motor vehicle (motor vehicles) the liability arising from the use whereof is insured, a note on the value (values) of Bonus-Malus rating (ratings) of the assured and/or the insured person, the rules on informing the insurance company on the insured accident in the manner and within time limits prescribed by the Bureau in case of insured accident, as well as the cases of early termination of the CILUMV contract.
8. (Part repealed by HO-93-N of 19 June 2013)
9. In case of loss, illegal taking, damage or destruction of the CILUMV contract, the assured shall inform the insurance company about it in writing within the time limits and in the manner envisaged in the CILUMV contract. The insurance company shall be obliged to check the fact of signing a CILUMV contract with the given person and promptly issue a copy of the contract to the assured.
10. The Government of the Republic of Armenia may— by its decision — establish the list of states the motor vehicles registered in the territory whereof shall not be required to sign a CILUMV contract for travelling within the territory of the Republic of Armenia; and the contracts on insurance against liability arising from the use of motor vehicles signed within the territory of the given countries may be effective.
(Article 5 supplemented, edited, amended by HO-93-N of 19 June 2013, amended by HO-281-N of 9 December 2019)
|
Article 6. |
Entry into force and termination of the CILUMV contract |
1. The CILUMV contract shall enter into force from the date of its signing unless other time period is provided for thereby, with the exception of the CILUMV contract signed by a person deemed to be the acquiring party under the contract on alienation of a motor vehicle (including the one to be further signed in the process of registration of the right of ownership of the motor vehicles) that shall enter into force upon registration of the right of ownership of the relevant motor vehicle by the competent state body and conducting the record-registration of the motor vehicle, unless a later time period is prescribed thereby.
2. The CILUMV contract shall be signed for the period of minimum three months, with the exception of motor vehicles being imported into the territory of the Republic of Armenia through driving by “transit” and “temporary import” customs regimes provided for by the Customs Code of the Republic of Armenia, as well as for the purpose of sales by legal persons and individual entrepreneurs engaged in the sales of motor vehicles, the CILUMV contract thereon shall be signed for the period of minimum ten days.
3. The CILUMV contract shall be signed for the period of maximum one year.
4. The validity of the CILUMV contract shall terminate in case of expiry of the validity period of the contract, as well as in the following cases of early termination of the CILUMV contract:
(1) the right of ownership of the given motor vehicle has been registered by a competent state body of the Republic of Armenia in the name of a person other than the assured under the CILUMV contract, with the exception of the case, when the CILUMV contract has been signed by a person deemed to be a leasee under the financial leasе (leasing) contract. Where the CILUMV contract is signed by the person deemed to be a leasee under the financial lease (leasing) contract, the CILUMV contract shall early terminate in case the financial lease (leasing) contract has terminated and the right of ownership of a motor vehicle has not been registered in the name of that person or has been alienated to another person;
(2) the record-registration (including the temporary record-registration) of a motor vehicle has been cancelled;
(3) the insurance company has been liquidated and the assured does not want to continue the contract with the insurance company the insurance portfolio is transferred thereto;
(4) in cases provided for by law, the insurance company shall transfer the insurance portfolio thereof to other insurance company and the assured does not want to continue the contract with that insurance company;
(5) in other cases provided for by law or the rules of the Bureau.
5. The insurance company may transfer the CILUMV portfolio thereof only to the insurance company entitled to carry out CILUMV as prescribed by this Law.
6. In case the grounds provided for by points 1-2 of part 4 of this Article emerge, the assured shall inform the insurance company about it within the time limits and in a manner provided for by the CILUMV contract.
7. In cases provided for by points 1, 3 and 4 of part 4 of this Article, the CILUMV contract shall early terminate upon emergence of the relevant ground. In cases provided for by point 2 of part 4 of this Article the CILUMV contract shall early terminate on the day following the day of cancellation of the record-registration of the motor vehicle, with the exception of cases of cancellation of the record-registration on the grounds of rejection, cancellation of the record-registration temporarily, as well as cases of cancellation of the record-registration, where at the same time the motor vehicle is being registered in the name of another person; in such cases the CILUMV contract shall early terminate upon cancellation of the record-registration of the motor vehicle. In those cases, the insurance company shall return to the assured the insurance premiums paid for the unexpired term of the contract validity. Moreover— on grounds provided for by points 1-2 of part 4 of this Article— in case of early termination of the CILUMV contract, the unexpired term of the contract validity shall be calculated from the date of filing a written application to the insurance company by the assured, however, not earlier than the time of emergence of the relevant ground.
(Article 6 amended, edited, supplemented by HO-93-N of 19 June 2013)
|
Article 7. |
Insurance premiums |
1. The insurance premiums applied within the framework of CILUMV must be substantiated, non-discriminatory and include — in the calculation base thereof — the calculation of realistic expenditures and the reasonable benefit necessary to ensure the insured sum, as well as the Bonus-Malus ratings envisaged by the insurance company in the CILUMV contract. The provision on non-discrimination prescribed by this part may not restrict the right of the insurance company to set differentiated insurance premiums based on the riskiness of the assured, insured persons and (or) motor vehicles insured. The Central Bank and the Bureau shall regularly conduct compliance inspections of insurance premiums calculated by insurance companies with the requirements provided for by this part.
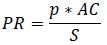
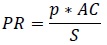
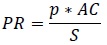
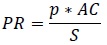
2. Based on the formulae prescribed in the annex of this Law, the maximum limits of main and basic insurance premiums shall be calculated and set at least once a year by the Council of the Bureau, as well as the allowable values of risk factors and values of Bonus-Malus ratings.
3. In case, where significant changes have occurred in the insurance market in the reasonable opinion of the Board of the Central Bank, or the stability and continuity of the CILUMV system are under threat, based thereon new maximum limits of basic and main insurance premiums, new allowable values of risk factors and/or new values of Bonus-Malus ratings should be set, and they are not set (recorded) within a reasonable time period in accordance with part 2 of this Article, then the Central Bank shall be entitled to calculate independently and — by the decision of the Board thereof — set new maximum limits of basic and main insurance premiums, new allowable values of risk factors and/or new values of Bonus-Malus ratings. The decision of the Board of the Central Bank shall be subject to compulsory application by member insurance companies of the Bureau and the relevant limits set (recorded) prior to that shall not be effective from the date of entry into force of the decision.
4. The Council of the Bureau may, at the suggestion of the Central Bank, or on its own initiative, set minimum limits of basic and main insurance premiums, if setting of such limits is necessary to ensure the stability and continuity of the CILUMV system, to exclude unfair competition among insurance companies and/or to prevent unreasonable pricing in the insurance market.
5. The maximum limits of insurance premiums— provided for by parts 2 and 3 of this Article— shall be calculated for the minimum amounts of the insured sums prescribed by Article 8 of this Law and they may be exceeded exclusively in case an insured sum exceeding the minimum amount prescribed by Article 8 of this Law and/or supplementary services are provided for by the CILUMV contract.
6. The Council of the Bureau shall define — on the basis of data on motor vehicles and owners thereof and/or other persons lawfully possessing them and the number and nature of insured accidents occurred and/or driving offences committed (driving history) resulting from the activities (omission) thereof — a system of discounts and surcharges of insurance premiums (Bonus-Malus system) and the application procedure thereof.
7. Aimed at substantiation of calculations of maximum limits of basic and main insurance premiums, risk factors and Bonus-Malus ratings included in the formulae of the CILUMV insurance premium prescribed in the annex of this Law, the Bureau shall submit and publish data and reports with reference to those calculations in the form, in the manner and within the time limits prescribed by the Board of the Central Bank.
8. The assured shall pay the insurance premium in the amount, in the manner and within time limits provided for by the CILUMV contract. With the exception of the fine (penalty, sanction) for failure to fulfil or improper fulfilment of obligations provided for by the CILUMV contract, the levying from the assured — either directly or indirectly — of other amounts, other than the insurance premium, for carrying out CILUMV by the insurance company during the period of signing the CILUMV contract or the period of validity thereof, shall be prohibited.
9. Each insurance company carrying out CILUMV shall be obliged to have an insurance premium calculator on the website thereof the requirements thereto shall be prescribed by regulatory acts of the Central Bank. The amount of the insurance premium calculated through the insurance calculator placed on the website of the given insurance company may not be different from the amount of the insurance premium calculated for the assured by the given insurance company under the same terms based on the CILUMV rules (terms).
10. The provisions in this Article related to the insurance premium shall be applied for every motor vehicle referred to in the CILUMV contract separately.
|
Article 8. |
The insured sum and the compensation |
1. The insured sum provided for by the CILUMV contract for one insured accident related to one motor vehicle must not be less than:
(1) AMD 3 000 000 for personal injuries according to every injured, and AMD 9 000 000 according to every insured accident;
(2) AMD 1 500 000 for damages caused to the property according to every insured accident. Where — in accordance with this Law— more than one person have suffered damages caused to the property subject to compensation and the total amount of those damages exceeds the insured sum prescribed according to every insured accident, the insurance compensations shall be paid to each of those persons in proportion to the extent of damages caused to the property thereof in the total amount of damages within the limits of the insured sum prescribed according to every insured accident.
2. Where — in accordance with this Law — more than one person have suffered personal injuries subject to compensation and the total amount of those injuries exceeds the insured sum prescribed according to every insured accident, the insurance compensations shall be paid to each of those persons in proportion to the extent of personal injuries inflicted thereto in the total amount of damages within the limits of the insured sum prescribed according to every insured accident. The amount — calculated in accordance with this part — subject to payment to every injured person may not exceed the insured sum prescribed according to every injured person. In case, where — in accordance with this part — the amount (each of the amounts) proportionally calculated for one (some) of the injured persons exceeds the insured sum prescribed according to every injured person, the injuries inflicted to other injured persons shall be — in the exceeding portion (portions) — compensated in proportion to those injuries within the limits of the insured sum prescribed according to every injured person.
3. The procedures for paying insurance compensations shall be prescribed by this Law and the CILUMV contract.
4. The unreimbursed amount shall be applied within the scope of the CILUMV under the CILUMV contract and for the cases of compensation at the expense of the Guarantee fund — under the terms and in the manner provided for by the rules of the Bureau. Moreover, the unreimbursed amount within the scope of the CILUMV may be provided for only in the amount and in cases prescribed by the Council of the Bureau.
5. The insurance compensation shall be made, first of all, based on the CILUMV contract or — in cases provided for by this Law — by the Bureau, irrespective of the fact of the person having caused damage in the insured accident holding a voluntary insurance contract pursuant to the class prescribed by point 10 of part 2 of Article 7 of the Law of the Republic of Armenia “On insurance and insurance activities” or the injured person holding an insurance contract covering injuries inflicted to the life, health or damages caused to the property thereof.
6. In case the insurance compensation is insufficient for paying the damages actually suffered by the injured, the person causing damage shall compensate the difference between the insurance compensation and the actual amount of damage in accordance with Article 1066 of the Civil Code of the Republic of Armenia. The actual damages suffered by the injured that are not subject to compensation under the CILUMV contract (by the Bureau) shall be compensated by the person causing damage in cases and in the manner prescribed by the Civil Code of the Republic of Armenia.
7. The insured sum shall not be subject to reduction during the period of validity of the CILUMV contract — irrespective of insurance compensations made for insured accidents during that period.
8. Provisions prescribed by parts 1 and 2 of this Article shall not extend to persons entitled to compensation for damages provided for by Article 14 of this Law in case of the death of the injured in terms of damages provided for by that Article.
|
Article 9. |
Responsibilities of an insurance company |
1. An insurance company shall be obliged to:
(1) sign a CILUMV contract upon request of every person prescribed by part 2 of Article 5 of this Law on terms prescribed by the Civil Code of the Republic of Armenia, this Law and the rules of the Bureau, unless the signing of the contract entails the violation of requirements prescribed for an insurance company by law and other legal acts;
(2) fill in and issue the sample of the agreed declaration along with the CILUMV contract to the assured, as well as explain the application procedure thereof and the procedure of filling in the agreed declaration;
(3) make payments in favour of the Guarantee fund — in accordance with this Law — and pay membership fees in favour of the Bureau based on this Law in the amounts prescribed by the rules of the Bureau;
(4) submit the information prescribed by this Law and other legal acts to the information system;
(5) accept the agreed declaration on the insured accident from the persons deemed to be the assured, the insured person or the injured under the CILUMV contract and/or the protocol drawn by the authorised body in charge of ensuring the road traffic safety;
(6) provide every person engaged in the insured accident — upon the request thereof — with information, expert opinion (if available) and other documents, free of charge, on the process of consideration of the issue on compensation of the caused damage by the insured persons under the CILUMV contract signed thereby. Where the requested information or document contains an insurance, banking, commercial or other secret or service information protected by law, it shall be provided in the manner and in cases prescribed by law;
(7) constantly publish the place of activity and working hours of branches and agents thereof on its web site;
(8) perform other responsibilities provided for by law, rules of the Bureau, other legal acts or the CILUMV contract.
(Article 9 amended by HO-93-N of 19 June 2013)
CHAPTER 3
DAMAGES SUBJECT TO INSURANCE COMPENSATION, THE APPRAISAL OF DAMAGE AND THE PROCEDURE FOR INSURANCE COMPENSATION
|
Article 10. |
Liability subject to insurance |
1. With the exception of cases prescribed by Article 25 of this Law, the civil liability arising from the following damages caused to the injured by the use of motor vehicles shall be subject to compulsory insurance under the CILUMV contract:
(1) personal injuries — injuries inflicted to the health of the injured and the salary (income) lost as a result thereof, as well as death of the injured;
(2) damages caused to the property.
|
Article 11. |
Personal injuries |
1. Injuries inflicted to the health of the injured, the salary (incomes) lost as a result thereof, as well as the death of the injured shall be deemed to be personal injuries inflicted to the injured.
2. In case of personal injuries inflicted to the injured, expenditures (amounts) provided for by Articles 12-14 of this Law shall be compensated within the limits of the insured sum, with the exception of expenditures (amounts) arising from damages prescribed by part 1 of Article 25 of this Law.
|
Article 12. |
Expenditures related to the injuries inflicted to the health of the injured |
1. Expenditures related to rendering of first aid treatment to the injured, transport to medical or rehabilitation institutions, keeping in medical or rehabilitation institutions, diagnosis, treatment and health rehabilitation thereof shall be deemed to be expenditures arising from the injuries inflicted to the health of the injured. Expenditures related to the measures aimed at ensuring the continuity of treatment by the doctor’s order, the purchase of medication, prosthetics, wheelchair and other technology, as well as other expenditures shall be compensated as per limits approved by the Council of the Bureau. Moreover, the expenditures prescribed by the second sentence of this part that has been made outside the territory of the Republic of Armenia shall be compensated as per limits approved by the Council of the Bureau only in case the injury inflicted to the health of the injured is included in the list of injuries — provided for by part 5 of this Article — inflicted to the health of the injured persons, and the injured has received medical aid or has recovered the health in the medical institution that is included in the list of medical institutions — provided for by part 5 of this Article — operating outside the territory of the Republic of Armenia.
2. Only necessary, substantiated and actually proven expenditures provided for by part 1 of this Article shall be subject to compensation. Standards of necessity, substantiation and actual proof of expenditures (including those incurred for receiving medical aid or recovering the health thereof outside the territory of the Republic of Armenia) subject to compensation, as well as the list of documents being filed for the purpose of receiving compensation shall be prescribed by the Council of the Bureau.
3. The injured shall be entitled to receive medical aid or recover the health thereof outside the territory of the Republic of Armenia.
4. A Commission shall be established within the Bureau by the decision of the Council of the Bureau, almost the half of the members thereof must be doctors (medical officers). The composition of the Commission, the labour regulations thereof (including the procedure for calling and holding meetings and adopting decisions) shall be prescribed by the decision of the Council of the Bureau. Commission members shall be compensated in the amount and in the manner prescribed by the Council of the Bureau for taking part in the meeting of the Commission. The requirements for the Commission members shall be prescribed by a regulatory act of the Central Bank.
5. The Commission provided for by part 4 of this Article shall annually define the list of the injuries inflicted to the injured persons in case of which the medical aid or recovery of health thereof is not be possible to implement effectively within the territory of the Republic of Armenia, as well as the list of medical institutions operating outside the territory of the Republic of Armenia, for the medical aid rendered to the injured or the health of the injured recovered thereby the injured person shall be entitled to insurance compensation provided for by this Law in case such injuries are inflicted to the health of the injured.
6. In accordance with part 5 of this Article, the insurance compensation provided for by this Law shall be paid to the injured within the limits of the insured sum for the purpose of receiving medical aid or recovering the health thereof in the amount of necessary, substantiated and actually made expenditures.
7. Where the injury inflicted to the injured is not included in the list of injuries defined in accordance with part 5 of this Article, but the injured has received medical aid or recovered the health thereof outside the territory of the Republic of Armenia, the insurance compensation provided for by this Law (with the exception of expenditures prescribed by second sentence of part 1 of this Article) shall be paid thereto in as much amount as it would be compensated in case of implementing the medical aid or health recovery within the territory of the Republic of Armenia, but not more, than the actual expenditures made for it.
8. Where the injury inflicted to the injured is included in the list of injuries defined in accordance with part 5 of this Article, but the medical aid or health recovery of the injured is implemented at the medical institution operating outside the territory of the Republic of Armenia and not included in the list of injuries defined in accordance with part 5 of this Article, the insurance compensation provided for by this Law (with the exception of expenditures prescribed by the second sentence of part 1 of this Article) shall be paid to the injured in as much amount as it would be compensated in case of implementing the relevant medical aid or health recovery in a medical institution included in the list of medical institutions defined in accordance with part 5 of this Article, but not more, than the actual expenditures made for it.
9. The expenditures provided for by parts 6-8 of this Article shall be compensated to the injured exclusively upon producing documents substantiating the expenditures made.
10. The right of the injured to receiving medical aid and recovering the health thereof shall be exercised in accordance with the Law of the Republic of Armenia “On medical aid and service to the population”. The injured shall not be bound by the CILUMV contract and/or by the amount subject to payment by the person having caused the injury and may choose the type, means, cost of the services rendered — related to the medical aid and health recovery — and supplementary pay from own means, where the amount subject to payment by the insurance company, Bureau and/or person causing the injury, is not sufficient for it.
|
Article 13. |
The salary (incomes) lost as a result of injuries inflicted to the health |
1. The amount of compensation for the salary (incomes) lost as a result of injury inflicted to the health of the injured shall be calculated in the manner prescribed by the Civil Code and other legal acts of the Republic of Armenia taking into account the requirements prescribed by this Law.
2. The salary (incomes) lost as a result of injury inflicted to the health of the injured shall be compensated to the injured for the entire period of temporary incapacity for work prescribed by legal acts.
3. The compensation of the lost salary (incomes) shall be terminated in the following cases:
(1) the capacity for work of the injured has been recovered;
(2) the insured sum provided for by the CILUMV contract has been fully paid out.
|
Article 14. |
The sum paid in case of death of the injured |
1. The amount of compensation for the damage suffered by each of the persons entitled to compensation for damages in accordance with law in case of the death of the injured shall be calculated as prescribed by the Civil Code and other legal acts of the Republic of Armenia taking into account the requirements of this Article. The total amount subject to compensation for injuries provided for by this part may not exceed the insured sum prescribed according to every injured provided for by the CILUMV contract. Where the insurance compensation — for the injuries provided for by Articles 12-13 of this Law — has been made to the injured before the death thereof, the injuries provided for by this part shall be compensated within the limits of difference in the insured sum, prescribed according to every injured person, and the amount of that compensation provided for by the CILUMV contract.
|
Article 15. |
Damages caused to the property |
1. Damages caused to the property of the injured shall be as follows:
(1) the damage, destruction or loss of the motor vehicle of the injured;
(2) the damage, destruction or loss of the property attached to the motor vehicle of the person causing injury or the trailer (semi-trailer) thereof or found therein (thereon) (hereinafter referred to as “within the motor vehicle”) and owned by the injured by the right of ownership;
(3) the damage, destruction or loss of the property owned by the injured and not referred to in points 1 and 2 of this part.
2. In case of damages caused to the property of the injured the expenditures provided for by Articles 16-18 of this Law shall be compensated within the limits of the insured sum with the exception of the expenditures arising from the damages prescribed by part 1 of Article 25 of this Law. Moreover, those expenditures shall be compensated to the injured (to the representative or to the heir thereof) paying the relevant amount or recovering the damage — as per the choice of the injured (of the representative or of the heir thereof). In case the recovery of damages is not possible or reasonable in accordance with the expert opinion, the expenditures shall be compensated to the injured (to the representative or to the heir thereof) only by paying relevant amount.
3. In case the agreed declaration is filled in as provided for by point 1 or 2 of part 4 of Article 19 of this Law, the compensation for the damage caused to the property of the injured may not exceed the maximum amount of damage respectively compensated by independent regulation or the maximum amount of damage compensated by the agreed declaration, except where the extent of damages caused to the property has been estimated by a legally enforced judicial act resolving the case on merits.
|
Article 16. |
Damage, destruction and loss of the motor vehicle of the injured |
1. Expenditures emerged as a result of recovery of damage of the motor vehicle of the injured shall be deemed to be the expenditures related to the repair of the motor vehicle that are necessary for the recovery of the current actual state of that motor vehicle before the time of the accident. In accordance with this Law, the difference in sum emerged as a result of decrease in the market price of the motor vehicle following the repair thereof shall not be subject to compensation.
2. The motor vehicle of the injured shall be deemed to be destructed where the repair thereof is technically impossible or economically unjustified (the repair costs will exceed the 80 per cent of the price of the motor vehicle before the accident). In case of destruction of the motor vehicle of the injured, the difference in the estimated cost thereof before its destruction and the residual costs thereof calculated as prescribed by the Council of the Bureau shall be compensated within the limits of the insured sum.
3. The loss of the motor vehicle of the injured shall be deemed to be the illegal taking or, in any other way, the disappearance thereof, where the loss has occurred owing to impossibility of watching over it by the injured or by the person the motor vehicle has been trusted thereto as a result of the injury caused. In case of loss of the motor vehicle the insurance compensation shall be made in the amount of the cost estimated before the loss of the motor vehicle within the limits of the insurance sum.
|
Article 17. |
Damage, destruction and loss of the property within the motor vehicle of the person causing damage and owned by the injured |
1. Expenditures emerged as a result of recovery of damage, destruction or loss of the property within the motor vehicle of the person causing damage shall be deemed to be the expenditures related to the repair and recovery of the property.
2. Within the meaning of this Article, the loss of property shall be deemed to be the loss occurred owing to impossibility of watching over property by the injured or by the person the lost property has been trusted thereto as a result of the injury caused. Moreover, the expenditures emerged as a result of the recovery of loss of the property within the motor vehicle of the person causing damage shall be subject to compensation in accordance with this Law only in case, when the injured proves the fact of that property loss.
3. In case when the property within the motor vehicle of the person causing damage and owned by the injured by the right of ownership is damaged, destructed or lost, the injured may receive an insurance compensation, when proving the owning of that property by the right of ownership.
4. The expenditures emerged as a result of the recovery of damage of the property within the motor vehicle of the person causing damage shall be deemed to be the expenditures related to the repair of that property that are necessary for the recovery of the current actual state of that property before the time of the accident. In accordance with this Law, the difference in sum emerged as a result of decrease in the market price of the property within the motor vehicle of the person causing damage following the repair thereof shall not be subject to compensation.
5. The property within the motor vehicle of the person causing damage shall be deemed to be destructed if the repair thereof is technically impossible or economically unjustified (the repair costs will exceed 80 per cent of the price of that property before the accident). In case of destruction of the property within the motor vehicle of the person causing damage, the difference in the estimated cost thereof before its destruction and the residual costs thereof calculated as prescribed by the Council of the Bureau shall be compensated within the limits of the insured sum.
|
Article 18. |
Damage, destruction and loss of the property not within the motor vehicle of the person causing damage |
1. Expenditures emerged as a result of recovery of damage, destruction or loss of the property prescribed by point 3 of part 1 of Article 15 of this Law shall be deemed to be the expenditures related to the repair or recovery of that property, including roads, artificial structures thereof, road facilities, road or other structures and buildings.
2. Within the meaning of this Article, the loss of property shall be deemed to be the loss occurred owing to impossibility of watching over property by the injured or by the person the lost property has been trusted thereto as a result of the injury caused. Moreover, expenditures emerged as a result of recovery of loss of the property prescribed by point 3 of part 1 of Article 15 of this Law shall be subject to compensation in accordance with this Law only in case, when the injured proves the fact of that property loss.
3. Expenditures emerged as a result of recovery of damage of the property prescribed by point 3 of part 1 of Article 15 of this Law shall be deemed to be the expenditures related to the repair of that property that are necessary for the recovery of the current actual state of that property before the time of the accident. In accordance with this Law, the difference in sum emerged as a result of decrease in the market price of that property following the repair thereof shall not be subject to compensation.
4. The property prescribed by point 3 of part 1 of Article 15 of this Law shall be deemed to be destructed if the repair thereof is technically impossible or economically unjustified (the repair costs will exceed 80 per cent of the price of that property before the accident). In case of destruction of that property, the difference in the estimated cost thereof before its destruction and the residual costs thereof calculated as prescribed by the Council of the Bureau shall be compensated within the limits of the insured sum.
|
Article 19. |
Reporting on the insured accident |
1. In case of an insured accident, the person deemed to be the assured under the CILUMV contract and/or other person lawfully possessing the motor vehicle shall be obliged to report to the insurance company on that. The time limits and the procedure for reporting on an insured accident, as well as other activities of the insurance company and persons involved in the accident after the accident shall be prescribed by the rules of the Bureau.
2. Exceptions shall be defined under the CILUMV contract from the requirements prescribed by part 1 of this Article for the cases, when the insured and/or other person lawfully possessing the motor vehicle are unconscious or in such a state that reporting to the insurance company on the insured accident within time limits and as prescribed under CILUMV contract was impossible, or the assured has not been aware of and could not be aware of the insured accident by reason of not being informed by the person lawfully possessing the motor vehicle or for other reason. The burden of proof of the impossibility of their reporting (unawareness) to the insurance company on the insured accident shall lie with the assured and/or other person lawfully possessing the motor vehicle. In case of elimination of circumstances making the reporting responsibility provided for by this part impossible (being reported on the insured accident), the assured and/or other person lawfully possessing the motor vehicle shall be obliged to immediately report to the insurance company on the insured accident as prescribed by the contract.
3. Persons involved in the insured accident shall provide each other all the data necessary for receiving insurance compensation, in particular: the name, surname, place of residence thereof, the name, surname (title) of the owner of the motor vehicle, the place of residence (the registered address) (in case the damage is caused by a person not deemed to be the owner), the name, address of the insurance company, the number of the CILUMV contract signed therewith and other data on the motor vehicle.
4. Where only two motor vehicles are involved in the insured accident and damage is caused only to the property, the persons involved in the accident shall report on the accident to the insurance company (companies) having insured the liability thereof and:
(1) may — in case of mutual consent — fill in the agreed declaration and file it to the relevant insurance company (companies), if the amount of expected compensation for the damage caused does not exceed the maximum amount of damage prescribed by the rules of the Bureau compensated through independent regulation;
(2) upon consent of the company (companies), may — in case of mutual consent — fill in the agreed declaration and file it to the relevant insurance company (companies), if the amount of expected compensation for the damage caused does not exceed the maximum amount of damage prescribed by the rules of the Bureau compensated through the agreed declaration; In case of withholding of consent for signing the agreed declaration, the insurance company (companies) shall be obliged to ensure the arrival of the representative (representatives) thereof no later than within the time limits prescribed by the procedures provided for by part 5 of this Article. In case of withholding of consent for signing the agreed declaration by the insurance company (companies), no agreed declaration shall be filled in and the issues related to the insured accident shall be regulated by the general rules of determining the extend of damage prescribed by this Law.
5. The procedures related to the filling in the agreed declaration and filing it to the insurance company shall be prescribed by the rules of the Bureau.
|
Article 20. |
Application procedure for receiving insurance compensation |
1. To receive insurance compensation the injured or the legal successor thereof shall be entitled to — within a period of three months following the day of the insured accident — apply to the insurance company having insured the liability of the person having caused damage, or — in cases provided for by this Law— to the Bureau. Where the injured or the legal successor thereof does not apply for receiving insurance compensation within a period of three months — provided for by this part— due to his being unconscious or in such a state, that applying to the insurance company for receiving insurance compensation — within time limits and in the manner prescribed — by the injured or the legal successor thereof is made impossible as a result of an accident, or — in case damages are caused to the property due to not reporting on the accident by the person in charge of preserving that property (the property has been in possession thereof for the purpose of preserving, using it or — upon consent thereof — for other intentions), the time period of three months for him or her shall become effective following the day of elimination of circumstances making the filing of an application for receiving insurance compensation impossible or his or her being notified of the insured accident. The burden of proof of the impossibility of application for receiving insurance compensation within the prescribed time limits or the unawareness thereof shall lie with the injured or the legal successor thereof.
2. To receive insurance compensation the injured or the legal successor thereof shall — personally or through a representative — file an application and the documents provided for by the rules of the Bureau. The application on receiving insurance compensation must be substantiated and reasoned.
3. Where the injured holds a valid CILUMV contract signed with any insurance company operating within the territory of the Republic of Armenia as prescribed by this Law, that insurance company shall be obliged to act — upon request of the injured or upon request of the representative thereof — as a representative of the injured (the legal successor thereof) in the process of receiving insurance compensation as prescribed by this Law, free of charge, with the exception of cases, when the injured and the person having caused damage have signed the CILUMV contract with the same insurance company. Where the injured and the person having caused damage have signed the CILUMV contract with the same insurance company, the Bureau shall be obliged to act — upon request of the injured (the legal successor thereof) — as a representative of the injured (the legal successor thereof), free of charge, in the process of receiving insurance compensation as prescribed by this Law. Where the injured is a pedestrian or a passenger and does not hold a valid CILUMV contract signed with any of the insurance companies operating within the territory of the Republic of Armenia, the Bureau shall be obliged to act — upon his or her request or upon request of the legal successor thereof — as a representative of the injured (the legal successor thereof), free of charge, in the process of receiving insurance compensation as prescribed by this Law.
4. In fulfilling the function provided for by part 3 of this Article, the Bureau shall have the right of recourse claim for the part of expenditures made by him or her against the insurance company having insured the liability of the person having caused damage arising from the use of a motor vehicle, and — in case of absence of the latter — against the person causing damage.
|
Article 21. |
Determining the extent of damage and the degree of culpability |
1. Where an administrative case is instituted through civil, criminal or judicial procedure, the extent of damage caused to the property shall be estimated and the degree of culpability of a person in that damage shall be determined by a legally enforced judicial act resolving the case on merits, and where no such case is instituted or no judicial act resolving the case on merits is adopted by the qualified experts of the Bureau (hereinafter referred to as an “expert”), with the exception of cases provided for by part 4 of Article 19 of this Law, for which a simplified procedure for determining the degree of culpability and/or estimating the extent of damage by the insurance company may be provided for by the rules of the Bureau.
2. Where an administrative case is instituted through civil, criminal or judicial procedure, the extent of personal injuries inflicted shall be estimated and the degree of culpability of a person in those injuries shall be determined by a legally enforced judicial act resolving the case on merits, and where no such case is instituted or no judicial act resolving the case on merits is adopted, the degree of personal injuries shall be estimated by the medical or other institution or specialist that has rendered medical aid to the injured or recovered the health thereof, and the degree of culpability of a person — by the expert.
3. While carrying out an expert examination and estimating damages caused to the property the expert shall be obliged to be governed by law, other legal acts, including by the procedure and methodology — adopted by the Council of the Bureau based on this Law — for estimation and expert examination of damages resulting from an insured accident.
4. Where damage is caused by several persons and it is not possible to determine the extent of damage caused by each of them, those persons (the insurance companies having insured the liability thereof arising from the use of motor vehicles) shall incur joint and several liabilities with respect to the injured. Moreover, provisions of Article 8 of this Law shall be applied for relevant insurance companies separately.
5. In case the damage is caused to several persons by one person, the compensation shall be made in proportion to the extent of damage caused to each of them taking into account provisions prescribed by Article 8 of this Law.
|
Article 22. |
Decision on paying insurance compensation |
1. Upon receipt of the application provided for by part 2 of Article 20 of this Law, the insurance company (the Bureau) shall be obliged to adopt a decision on scheduling an expert examination within time limits prescribed by the rules of the Bureau, but no later, than within five working days, with the exception of cases, when an administrative case is instituted through civil, criminal or judicial procedure, as well as in cases prescribed by the rules of the Bureau provided for by part 1 of Article 21 of this Law. Carrying out of an expert examination must not last more than 15 working days. Shorter time limits for carrying out an expert examination may be prescribed by the rules of the Bureau. Within a period of five working days following completion of expert examination, the insurance company (the Bureau) shall notify the assured, the insured person and the injured (the legal successor thereof) of the results of expert examination in writing. Within a period of five working days following the notification provided for by this part, the insurance company (the Bureau) shall — in case no additional expert examination is scheduled and no request for carrying out a repeat expert examination is made — adopt a decision in writing — within a period of three working days — on paying the insurance compensation or rejecting the payment of insurance compensation — properly forwarding the relevant decision to the assured, the insured person and the injured (the legal successor thereof) within a period of three working days.
2. Where, in the judgement of the assured, the insured person and the injured (the legal successor thereof) and the insurance company (Bureau) the expert opinion is not clear or complete, they shall be entitled to schedule — by mutual consent — the carrying out of an additional expert examination within a period of five working days following the day of notification prescribed by part 1 of this Article. The time limit of not more than three months shall be set for carrying out an additional expert examination by mutual consent of the assured, the insured person and the injured (the legal successor thereof) and the insurance company (Bureau). The additional expert examination shall be carried out at the expense of the insurance company (Bureau). In case an additional expert examination is scheduled, the insurance company (Bureau) shall — within a period of five working days following completion of expert examination — notify the assured, the insured person and the injured (the legal successor thereof) of the results of expert examination in writing. Within a period of five working days following the notification provided for by this part, the insurance company (the Bureau) shall — in case no request for carrying out a repeat expert examination is made — adopt a decision in writing — within a period of three working days — on paying the insurance compensation or rejecting the payment of insurance compensation — properly forwarding the relevant decision to the assured, the insured person and the injured (the legal successor thereof) within a period of three working days.
3. Where the assured, the insured person and the injured (the legal successor thereof) or the insurance company (the Bureau) disagree with the results of expert examination carried out as prescribed by part 1 or part 2 of this Article, they shall be entitled to request the carrying out of a repeat expert examination within a period of five working days following the day of notification prescribed respectively by part 1 or part 2 of this Article. The repeat expert examination shall be carried out at the expense of the person filing a request for carrying out the expert examination. A request for carrying out a repeat expert examination provided for by this Law within the scope of the same insured accident may be made only once.
4. In case a request for carrying out a repeat expert examination is made, the decision on scheduling a repeat expert examination and appointing an expert shall be adopted by the Bureau within a period of three working days after the relevant request is made. Moreover, the expert provided for by this part shall not be affiliated with the assured, the insured person and the injured (the legal successor thereof) and the insurance company (the Bureau). After carrying out a repeat expert examination, an additional expert examination may not be scheduled, and the results of the repeat expert examination may be appealed only through judicial procedure. Within a period of three working days following completion of a repeat expert examination, the insurance company (the Bureau) shall adopt a decision, in writing, on paying the insurance compensation or rejecting the payment of insurance compensation — properly forwarding the relevant decision to the assured, the insured person and the injured (the legal successor thereof) within a period of three working days.
5. Where an administrative case is instituted through civil, criminal or judicial procedure, and a legally enforced judicial act resolving such a case on merits has entered into force, as well as in cases prescribed by the rules of the Bureau provided for by part 1 of Article 21 of this Law, the insurance company (Bureau) shall — within a period of three working days upon receiving the documents provided for by the rules of the Bureau — adopt a decision on paying the insurance compensation or rejecting the payment of insurance compensation.
6. In case of breach of time limits for scheduling the expert examination, adopting a decision on paying the insurance compensation or rejecting the payment of insurance compensation or carrying out the expert examination referred to in parts 1, 2 or 4 of this Article, the insurance company (Bureau) shall pay to the injured or the legal successor thereof a default interest for each day delayed:
(1) in the amount of 0.1 per cent of the insurance compensation, in case of breach of time limits for adopting decision on paying the insurance compensation;
(2) in the amount of 0.1 per cent of the insurance sum provided for the given type of damage caused to the injured under the CILUMV contract signed with respect to the motor vehicle having caused damage, in case of breach of time limits for scheduling an expert examination, adopting decisions on rejecting the payment of insurance compensation or carrying out an expert examination.
7. Where there is an administrative case through civil, criminal or judicial procedure, and the payment of insurance compensation depends on the outcome of that case, the time limits referred to in parts 1, 2 or 4 or 5 of this Article shall be suspended up to the day a legally enforced judicial act resolving the case on merits for the given case shall enter into force. The default interest provided for by part 6 of this Article shall not be levied for the suspended time period.
|
Article 23. |
Insurance compensation payment procedure |
1. The insurance company (Bureau) shall pay the insurance compensation within a period of five working days upon adopting decision on paying the insurance compensation, and in case the insurance compensation is made in the form of regular payments— within time limits prescribed by the rules of the Bureau. In case the time limit (time limits) set by this part are not met due to its fault, the insurance company (Bureau) shall pay to the injured (the legal successor thereof) a default interest in the amount of 0.1 per cent of the sum subject to compensation for each day delayed.
2. The insurance compensation for the injury inflicted to the person’s health shall be paid directly to the medical institution, with the exception of cases provided for by this Law or the rules of the Bureau.
3. Where an injury is inflicted to the person’s health by the use of a motor vehicle (with the exception of cases provided for by Article 25 of this Law) and it is necessary to render medical aid thereto (necessary medical aid has been rendered thereto), and if — within a period of two months following the day of his or her applying to a medical institution — a decision has not been taken yet on paying the insurance compensation or rejecting the payment of insurance compensation, the Bureau shall disburse the expenditures related to the medical aid based on the application of the injured or the representative thereof in the amount and in the manner agreed therewith. In cases provided for by this part, the Bureau shall disburse only the expenditures made with respect to the medical aid rendered within the territory of the Republic of Armenia. The Bureau shall have the right to delegate the responsibility under the contract provided for by this part to any of its member insurance companies. The procedure and terms for delegation of the responsibility provided for by this part shall be prescribed by the rules of the Bureau.
4. In case the expenditures provided for by part 3 of this Article are reimbursed by the Bureau or its member insurance company — where the person having caused damage is identified — the insurance company having insured the liability of the person having caused damage shall be obliged to primarily compensate — from the sum of the insurance compensation subject to payment — the amount paid by the Bureau or the relevant insurance company. The Bureau (the relevant insurance company) shall get the right of recourse claim against the person having caused damage in the amount of the uncompensated total sum, and, in case the liability of a person having caused damage is not insured, in the amount of the total sum paid by the Bureau (the relevant insurance company). Where the injured is at fault, the Bureau (the relevant insurance company) shall get the right of recourse claim — provided for by this part — against the injured to the extent the injured — in accordance with law — has no right for compensation for damage against the person having caused damage. In the case provided for by this part, the insurance company compensating the amount paid by the Bureau or the relevant insurance company shall be deemed to be paid the insurance compensation in the relevant amount to the relevant injured.
|
Article 24. |
Rejection by an insurance company of an application on receiving insurance compensation |
1. The insurance company shall reject an application on receiving insurance compensation in cases prescribed by the rules approved by law or the Council of the Bureau.
2. It shall be prohibited to reject the payment of insurance compensation on the ground that the injured has been aware or might have been aware of the driver — of the motor vehicle having caused damage — being under the influence of alcohol, narcotic drugs or psychotropic substances at the time of an insured accident.
3. The decision on rejecting the application on receiving insurance compensation must be substantiated (reasoned).
|
Article 25. |
Exceptions to the requirement of compulsory insurance |
1. In accordance with this Law, the requirement of compulsory insurance shall not apply to the liability against compensation of following damages arising from the use of a motor vehicle:
(1) damages caused as a result of an accident occurred in consequence of force majeure;
(2) damages caused as a result of an accident occurred owing to acts of terrorism, military actions, acts of mutiny or mass riots;
(3) damages caused during shipment of hazardous wastes, if they are related exclusively to hazardous wastes;
(4) damages caused to the given injured owing to the intention of the injured;
(5) damages caused to flora and fauna, air, surface water or groundwater, subsoil deemed to be the state-owned property;
(6) damages caused to works of art, precious adornments, stones or metals;
(7) damages caused to cargo carried under a cargo contract;
(8) other damages provided for by law.
2. In accordance with this Law, the liability arising from the use of the following vehicles shall not be subject to compulsory insurance:
(1) motor vehicles with maximum speed of 50 km/h or with engine displacement not exceeding 50 cm3;
(2) motor vehicles used for sports or leisure purposes only at specially designated sites, only in case they are used at those sites;
(3) motor vehicles designed for travelling exclusively on non-public highways;
(4) motor vehicles imported into the territory of the Republic of Armenia without driving — before the use thereof in the territory of the Republic of Armenia.
|
Article 26. |
Persons not enjoying the right of receiving insurance compensation |
1. In accordance with this Law, the following shall not be deemed to be injured at the time of the given insured accident and shall not enjoy the right of receiving insurance compensation:
(1) the owner of a motor vehicle having caused damage, the assured and the person having caused damage, with the exception of cases, when they also have suffered damage caused by other persons by the use of a motor vehicle owned by other persons;
(2) the persons, who have been in an illegally taken motor vehicle or in a motor vehicle owned unlawfully without any purpose of illegally taking, with the exception of cases, when those persons have not been aware that the motor vehicle has been illegally taken or owned unlawfully without any purpose of illegally taking, or have been in the motor vehicle unwillingly;
(3) the family members of the owner of a motor vehicle having caused damage or that of other person lawfully owning it — in terms of damages caused to the property — with the exception of cases, when they also have suffered damage caused by other persons by the use of a motor vehicle owned by other persons. In accordance with this point, the family members of the owner of a motor vehicle or that of other person lawfully owning it shall be the parents, spouse, children, sister and brother.
|
Article 27. |
The right of recourse claim of an insurance company |
1. The insurance company shall have the right of recourse claim (subrogation):
(1) against the person having caused damage, where:
a. he or she has driven a motor vehicle at the time of an insured accident being under the influence of alcohol, narcotic drugs or psychotropic substances;
b. he or she has left the scene of accident without any good reason or avoided undergoing an examination on the fact of using alcohol, narcotic drugs or psychotropic substances;
c. հe or she has not had a right to drive the motor vehicle at the time of an insured accident or has been deprived of such right, with the exception of the case provided for by subpoint (c) of point 2 of this part;
d. the insurance company has not been notified of an insured accident within time limits and in the manner prescribed under the CILUMV contract;
(2) against the owner of a motor vehicle having caused damage (the assured), where:
a. where the motor vehicle — as of the time of causing the damage — has not passed the technical inspection and such a failure of the motor vehicle has served as an immediate cause for the occurrence of an accident that might be revealed in case of passing the technical inspection, or the motor vehicle has passed the technical inspection, but any one of the malfunctions or conditions prohibiting the operation of vehicles, defined by the Government of the Republic of Armenia, has occurred and the technical malfunction revealed by the technical inspection has become the immediate cause for the occurrence of the accident;
b. the insurance company has not been notified of an insured accident within time limits and in the manner prescribed under the CILUMV contract;
c. he or she has trusted the driving of a motor vehicle to a person having no right to drive it and knew or might have known that the given person does not have the right to drive;
d. he or she has conveyed — while signing the CILUMV contract — obviously false information to the insurance company on circumstances that are of key importance in determining the level of insurance risk, if those circumstances have not been known or might not be known to the insurance company before the insured accident;
(3) as well as:
a. against the owner of the site or the road of the accident, if the accident has occurred owing to defect or damage of the site or the road and there is a fault of the owner therein;
b. against the company carrying out the technical inspection of the motor vehicle, if such a failure of the motor vehicle has served as an immediate cause for the occurrence of an accident, which has not been revealed during the technical inspection because of carrying it out in a defective or improper manner;
c. against other persons — in cases and in the manner prescribed by law — due to the fault thereof the accident has occurred.
2. Where — in accordance with this Article — the insurance company acquires the right of recourse claim against several persons, those persons shall act as joint and several debtors against the insurance company.
(Article 27 edited by HO-61-N of 20 January 2021)
CHAPTER 4
THE STATUS, ESTABLISHMENT, REGULATION AND SUPERVISION OF THE BUREAU
|
Article 28. |
Status of the Bureau |
1. A Bureau of companies carrying out compulsory insurance of liability arising from the use of motor vehicles shall be established in the Republic of Armenia, which shall be a non-governmental organisation.
2. The objective of activities of the Bureau shall be protection of interests of injured persons and ensuring the stability and development of the CILUMV system. The Bureau shall facilitate the operating efficiency of member insurance companies thereof within the scope of the CILUMV, regulate and supervise the activities thereof, develop rules of professional conduct for member insurance companies thereof.
3. The property transferred to the Bureau by the members thereof as prescribed by the rules of the Bureau shall be the ownership of the Bureau. The Bureau shall use that property to attain the goals prescribed by law, other legal acts and its Statute. Distribution of property of the Bureau among its members shall be prohibited. Members of the Bureau shall not bear any responsibility for the liabilities of the Bureau. The Bureau shall not bear any responsibility for the liabilities of its members with the exception of cases provided for by law. The Bureau shall bear responsibility for damages caused as a result of its violation of requirements of this Law and other legal acts.
4. The Bureau shall acquire a status of a legal person and may carry out activity only upon its registration at the Central Bank.
5. Persons not registered in the manner prescribed by this Law and by the Central Bank shall be prohibited to act as a Bureau or use — in the name, public statements or promotional materials thereof — such words (word combinations) that may cause confusion with the Bureau or its activity.
6. The activity of the Bureau shall be regulated by this Law, other laws, regulatory legal acts of the Central Bank, the rules of the Bureau and other legal acts.
7. Within the Bureau, aimed at carrying out objectives of the Bureau:
(1) a staff shall be set up;
(2) an Information system shall be set up and maintained in accordance with this Law, the regulatory legal acts adopted based thereon, as well as the rules of the Bureau;
(3) management of the Guarantee fund and arrangement of payment of insurance compensations at the expense thereof shall be carried out pursuant to the Civil Code of the Republic of Armenia, this Law, the regulatory legal acts adopted based thereon, as well as the rules of the Bureau.
(Article 28 amended by HO-27-N of 16 December 2016)
|
Article 29. |
Establishment, registration of the Bureau, membership thereof and termination of membership |
1. The Bureau shall be established by the Central Bank.
2. The constituent instrument of the Bureau shall be the decision of the Central Bank on establishing the Bureau and the Central Bank being a member thereof.
3. The Statute of the Bureau and the rules of the Guarantee fund shall also be approved by the decision on establishing the Bureau and the Central Bank being a member thereof. The rules of the Guarantee fund shall include, in particular, the rules for generating, managing fund means.
4. The Bureau — as a legal person, the Statute of the Bureau and rules for generating and managing of the Guarantee fund shall be registered by the decision of the Board of the Central Bank within a period of 15 working days upon approval thereof by the Central Bank. The Bureau shall acquire a status of a legal person upon registration thereof at the Central Bank.
5. Within a period of 5 working days upon registration of the Bureau, the Central Bank shall open a special account for the Guarantee fund and pay into that account a lump-sum payment in the amount of AMD 15 000 000. Within a period of 5 working days upon adopting a decision on registration of the Bureau, the Central Bank shall notify of that the state authorised body conducting the registration of legal persons, publish an announcement in a media with a circulation of at least 1 000 copies, on the web site thereof; notify all the insurance companies operating within the territory of the Republic of Armenia.
6. Except the Central Bank, the insurance companies holding a licence for carrying out insurance pursuant to the class provided for by point 10 of part 2 of Article 7 of the Law of the Republic of Armenia “On insurance and insurance activities” having at least one branch or agent permanently functioning in each of the marzes of the Republic of Armenia and complying with the requirements prescribed by law and other legal acts, may become a member of the Bureau.
7. The membership of the Bureau of the insurance companies shall terminate of its own motion, upon termination of the right of carrying out insurance pursuant to the class provided for by point 10 of part 2 of Article 7 of the Law of the Republic of Armenia “On insurance and insurance activities”, liquidation thereof, as well in other cases provided for by the Statute of the Bureau. The Bureau shall notify the Central Bank, in writing, of the cases of becoming a member thereof and cases of termination of membership within 3 working days following the day of adopting a decision on that.
8. In case, when the membership of the Bureau of the insurance company terminates, but there is at least one valid CILUMV contract, which has been signed by the given insurance company, the insurance company shall continue to bear all the responsibilities — during the entire term of validity of those contracts — prescribed for the Bureau members by this Law or other legal acts, with the exception of cases, when the insurance company is not a party under that contract any more, or if the insurance company has been declared insolvent (bankrupt) as prescribed by law.
|
Article 30. |
Regulation and supervision of activities of the Bureau |
1. The Central Bank shall regulate and supervise the activities of the Bureau. The Central Bank shall have the right to set requirements for the activities of the Bureau by the regulatory legal acts thereof to ensure the regulation prescribed by this Law.
2. The Bureau shall submit reports to the Central Bank, the form, content and procedure and time limits for submission thereof shall be prescribed by the regulatory legal acts of the Central Bank. The Central Bank may — by the regulatory legal acts thereof — lay down the set of the information published on the web site of the Bureau, in press, information bulletins, through mass media and/ or other media and the procedure of publication (communication) thereof.
3. The Central Bank shall be entitled to carry out controls over activities of the Bureau in the manner and with a frequency prescribed by law. During the controls, the Bureau shall be obliged to provide to the Central Bank all the information and documents required and related to the control. Controls of the Central Bank at the Bureau shall be carried out as prescribed by the Law of the Republic of Armenia “On the Central Bank of the Republic of Armenia”.
4. The Central Bank shall be obliged to keep the information got known during the supervision and protected by law deemed to be secret and may publish or provide them to other persons only in cases and in the manner prescribed by law.
5. To ensure the continuity of the CILUMV system, the Central Bank may provide systemic loans to the Bureau, which shall be directed to the implementation of objectives set before the Guarantee fund or the Bureau. The systemic loans and the calculated interests (default interests) for the use thereof shall be repaid exceptionally at the expense of those funds for the replenishment of which the loans have been received. Within the meaning of this Law and legal acts adopted based thereon the systemic loans shall be deemed to be the loans provided by the decision of the Board of the Central Bank to the Bureau in accordance with this part.
|
Article 31. |
General functions of the Bureau |
1. The Bureau shall:
(1) supervise the activities of its member insurance companies as prescribed by the Statute thereof to bring them into compliance with the requirements of this Law and the rules of the Bureau;
(2) adopt rules, decisions and orders within the scope of the CILUMV to ensure proper conditions for activities of its member insurance companies, the application of professional rules, protection of interests of the injured persons, assured, and to assist the development of the CILUMV system;
(3) cooperate with other automobile insurance bureaux, guarantee funds and other bodies carrying out compensation, information systems (centres), insurance companies of other states;
(4) cooperate with state bodies to achieve the goals thereof;
(5) participate in measures aimed at prevention of road traffic accidents and frauds (defalcation) in the field of the CILUMV;
(6) provide information support to the public in the field of the CILUMV, conduct general educational events;
(7) fulfil other functions prescribed by law, regulatory legal acts of the Central Bank and rules of the Bureau, and — with respect to the issues prescribed by part 6 of Article 5 of this Law — also by the regulatory legal acts of the Government of the Republic of Armenia.
2. The Bureau may arrange public discussions on fulfilment of functions reserved thereto.
|
Article 32. |
Management bodies of the Bureau |
1. The management bodies of the Bureau shall be the General Meeting of the Bureau members, the Council of the Bureau and the executive director of the Bureau (within the text of this Law — also “Meeting”, “Council” and “executive director” respectively).
2. The procedure for formation and operation of management bodies of the Bureau, as well as the scope of powers thereof shall be prescribed by this Law, as well as by the Statute of the Bureau.
3. Powers and responsibilities not provided for by this Law, however, not conflicting with the requirements of this Law and other legal acts may be prescribed for the management bodies of the Bureau by the Statute of the Bureau.
4. While performing activities and adopting decisions thereof the management bodies of the Bureau must be governed by requirements prescribed by laws and other legal acts — based on the principle of record of lawful interests of the injured (other beneficiaries), the assured, the insured persons and the insurance companies, as well as other persons concerned, and on the principle of non-discriminative attitude towards them.
|
Article 33. |
The General Meeting of the Bureau members |
1. The highest management body of the Bureau shall be the General Meeting of the Bureau members in which every member of the Bureau shall participate through the authorised representatives thereof.
2. The Meeting shall carry out the management of the Bureau through convening annual or early meetings. The Meeting shall adopt decisions on issues falling within jurisdiction thereof under this Law or the Statute.
3. The Meeting shall be entitled to adopt decisions, where at least more than half of the members participate therein. The decisions on issues falling within jurisdiction of the Meeting under this Law shall be adopted by simple majority of votes of members participating in the meeting.
4. The following shall fall within the jurisdiction of the Meeting:
(1) making amendments and supplements to the Statute of the Bureau;
(2) making amendments and supplements to the rules of the Guarantee fund;
(3) selection of the Council members provided for by point 1 of part 2 of Article 34 of this Law, early termination of powers thereof, as well as defining the amount and the procedure of compensation made to the Council members for participating in Council sittings;
(4) granting Bureau membership and depriving of Bureau membership;
(5) approving financial statements on activities of the Bureau;
(6) approving the annual cost estimate of operational, administrative and capital investment expenditures of the Bureau, and the performance thereof;
(7) prescribing the types of transactions concluded by the Bureau the decision on adopting thereof shall be taken by the Meeting, as well as the taking of decisions on concluding such transactions;
(8) adopting a decision on transferring funds to the Guarantee fund in the case provided for by part 6 of Article 43 of this Law;
(9) other powers provided for by law, as well as by the Statute of the Bureau.
5. The powers provided for by part 4 of this Article may not be delegated to other management bodies of the Bureau or to other persons, with the exception of cases provided for by law.
6. The procedure for preparation, convening and holding the meeting and the manner of adopting decisions during the meeting shall be prescribed by the Statute of the Bureau.
|
Article 34. |
The Council of the Bureau |
1. The Council of the Bureau shall exercise the overall administration of the Bureau.
2. The Council shall have seven members, among whom a chairperson of the Council shall be elected during the first sitting of the Council. The Council members shall be elected or appointed in the following manner:
(1) three members shall be elected by the Meeting based on the rotation principle in the manner and for a term prescribed by the Statute of the Bureau;
(2) one member shall be appointed and dismissed by the Board of the Central Bank, moreover, in case of taking a decision by the Central Bank on termination of its membership of the Bureau, the competence of appointing the Council member provided for by this point shall be delegated to the Meeting;
(3) one member shall be appointed and dismissed by the authorised body of public administration in charge of ensuring road safety;
(4) one member shall be elected by the organisations having state registration of at least three years — protecting the rights of drivers — for a term of two years, in accordance with the agreement reached among them;
(5) one member shall be elected by the organisations having state registration of at least three years — protecting the rights of consumers — for a term of two years, in accordance with the agreement reached among them.
3. For the election of members provided for by points 4 and 5 of part 2 of this Article, the Central Bank shall — within the two months preceding the expiry of the official term of service thereof, but not later, than 45 days before — publish an announcement on the web site thereof and in a nation-wide media with a circulation of at least 1 000 copies on the time period and venue of convening a meeting for making that election — recommending the organisations provided for respectively by points 4 and 5 of part 2 of this Article to submit a request to the Central Bank for participating in that meeting. The time period defined for submitting the request provided for by this part may not be less than one month. The Central Bank may reject the request provided for by this part, if the applicant organisation does not meet the requirements prescribed respectively by points 4 or 5 of part 2 of this Article. The Meeting provided for by this part shall take a decision by simple majority of votes. Where the relevant member of the Council is not elected during the meeting provided for by this part, the latter shall be appointed by the Board of the Central Bank.
4. A member of the Council of the Bureau may be the person, who shall — due to professional capacities thereof — be able to ensure the proper execution of powers of the Council prescribed by this Law and other legal acts adopted based thereon.
5. The powers of the Council and that of the chairperson of the Council shall be prescribed by this Law, as well as by the Statute of the Bureau.
6. The Council shall:
(1) appoint the executive director, the internal audit (the head, the members), the chief accountant, the chief actuary, terminate the powers thereof, approve the internal regulations thereof;
(2) define the amount of and the procedure for paying remuneration and reward to the executive director, the chief accountant, the internal audit, the chief actuary and the staff of the Bureau, approve the internal structure of the staff of the Bureau. Moreover, the average amount of the remuneration for the work of the executive director, the chief accountant, the internal audit, the chief actuary and the staff of the Bureau must comply with the average amount of remuneration within the scope of insurance system of the Republic of Armenia;
(3) approve the form of the CILUMV contracts, the procedure of unified record-registration of forms thereof and the issuing thereof to the member insurance companies of the Bureau;
(4) prescribe the manners, directions and limits for allocation of funds of the Bureau and the Guarantee fund;
(5) adopt a decision on insufficiency of funds of the Guarantee fund and obtaining necessary funds for making compensations provided for by Article 49 of this Law or payments for the expenditures related to the medical aid provided for by part 3 of Article 23 of this Law;
(6) supervise the maintenance of insurance compensation payment procedures within the scope of the CILUMV by member insurance companies of the Bureau;
(7) prescribe a system of discounts and surcharges of insurance premiums (Bonus-Malus system) and the application procedure thereof;
(8) qualify the experts, prescribe the procedure, standards and terms for qualification of experts and the procedure and grounds for disqualification thereof, approve the procedure and methodology for estimation and expert examination of damages resulting from an insured accident and assist the development thereof;
(9) define the list of documents to be submitted to an insurance company or the Bureau for receiving insurance compensation within the scope of the CILUMV, as well as the procedure for payment of insurance compensations, as well as for the expenditures related to the medical aid provided for by part 3 of Article 23 of this Law by insurance companies and the Bureau;
(10) prescribe training, educational and professional requirements for member insurance companies of the Bureau to meet the technical and specialised activity standards;
(11) set — pursuant to part 2 of Article 7 of this Law — maximum limits of basic and main insurance premiums, the allowable values of risk factors and values of Bonus-Malus ratings, as well as the rules of application of the methodology for calculation of maximum limits of insurance premiums applied within the scope of the CILUMV;
(12) may prescribe restrictions on expenditures or on individual types thereof made within the scope of the CILUMV by member insurance companies of the Bureau;
(13) apply sanctions — prescribed by the Statute— to member insurance companies of the Bureau for violation of the requirements of rules and decisions of the Bureau;
(14) exercise other powers reserved thereto by this Law, as well as the Statute of the Bureau.
7. The powers provided for by part 6 of this Article may not be delegated to other management bodies of the Bureau or to other persons, with the exception of cases provided for by law.
8. The regular sittings of the Council shall be convened at least once a month, unless otherwise provided for by the Statute of the Bureau. The procedure for convening, holding Council sittings and adopting decisions during it shall be prescribed by the Statute of the Bureau.
9. The Council shall adopt decisions on issues falling within jurisdiction thereof by this Law and the Statute.
10. The Council decisions shall be adopted through sittings — by open vote. Minutes of the Council sittings shall be taken. Persons concerned may be invited to the Council sittings by the decision of the Council. The chairperson of the Council shall chair the Council sittings. In case of absence of the chairperson of the Council or impossibility to perform the official responsibilities thereof, he or she shall be replaced by the eldest Council member present at the sitting. The Council shall be entitled to adopt decisions, if at least five of the Council members are present at the sitting.
11. In cases prescribed by the Statute of the Bureau, the Council may — for the purpose of more effective arrangement of activities thereof — establish commissions. Decisions of the commissions attached to the Council shall have consultative nature.
12. While performing the responsibilities thereof, the Council members shall be obliged to act proceeding from the interests of as effective accomplishment of objectives of the Bureau as possible, exercise the rights thereof and perform the responsibilities thereof in good faith and in a reasonable manner (fiduciary duty), and shall incur joint and several responsibility for the Bureau for the actual damage caused to the Bureau as a result of the Council decision (omission) in accordance with the legislation of the Republic of Armenia. Moreover, the dismissal of Council members from office shall not discharge them from the obligation provided for by this part.
13. Those members of the Council shall be discharged from the obligation for the damage caused to the Bureau, who have voted against the adoption of a decision having caused damage to the Bureau or have not been present at the sitting, or have acted in good faith according to convictions thereof, that their actions (not taking the relevant decision) proceed from the interests of the Bureau.
14. The Bureau members, as well as the executive director may apply to the court with a claim for compensation by the relevant member (members) of the Council for the damages caused to the Bureau as a result of the Council decision (omission) provided for by part 12 of this Article.
|
Article 35. |
Executive director of the Bureau |
1. The executive director of the Bureau shall manage the current activities of the Bureau.
2. The executive director of the Bureau shall be appointed by the Council and shall be accountable thereto. To be eligible for the position of the executive director a person shall have higher education, high reputation, at least three years of work experience in a managerial position in the area of insurance and shall not be affiliated with any insurance company. The executive director of the Bureau must comply with the requirements of professional competence, qualification and registration at the Central Bank prescribed by law and other legal acts for the executive director of an insurance company.
3. The executive director may not engage in entrepreneurial activity, be a member of a management body of any party, hold a position in state and local self-government bodies, in commercial organisations, perform other paid work, other than scientific, pedagogical and creative work.
4. The executive director may not be the person, who:
(1) has been declared as having no or limited legal capacity by an effective court judgement;
(2) has been convicted for an intentionally committed crime by an effective court judgement, and the conviction is not expired or cancelled in the prescribed manner;
(3) has been deprived of a right to hold a position or to carry out activities in the financial sector by an effective court judgement.
5. The executive director shall:
(1) ensure the execution of decisions of the management bodies of the Bureau and the normal functioning of the Bureau;
(2) adopt decisions on scheduling an expert examination (including also additional and repeat);
(3) ensure the management of the Guarantee fund, particularly insure the collection of funds for the Guarantee fund, the normal functioning thereof, adopt decisions on making compensations provided for by Article 49 of this Law, making payments for expenditures or rejecting the compensation (payment) related to medical aid provided for by part 3 of Article 23 of this Law at the expense of the Guarantee fund; and arrange the compensation (payment) process;
(4) arrange the record-registration of the CILUMV contracts in the prescribed manner;
(5) ensure the normal functioning of the Information system, arrange the management of a unified Information system, ensure timely and complete information input into the Information system, as well as ensure the confidentiality of information constituting insurance, banking, commercial or other secret protected by law;
(6) submit reports to the Council — in the manner and with a frequency prescribed by the Council — on activities of the Guarantee fund and the Information system, as well as on adopting decisions on making compensations provided for by Article 49 of this Law, making payments for expenditures or rejecting the compensation (payment) related to medical aid provided for by part 3 of Article 23 of this Law at the expense of the Guarantee fund;
(7) in cases prescribed by law, provide information — upon request of the injured persons — available in the Information system on the name and the registered office of the insurance company having insured the liability arising from the use of the motor vehicle having caused damage;
(8) upon consent of the parties, examine disputes arising among member insurance companies of the Bureau, the assured, the insured persons and the injured; the decisions taken as a result thereof shall have consultative nature and shall not be binding for the parties; In case no decision is taken by the executive director on the issue provided for by this point, the examination of the issue shall be conducted by the Council of the Bureau;
(9) exercise other powers reserved thereto by this Law, as well as the Statute of the Bureau.
6. The issues not falling within the jurisdiction of the Meeting, the Council, the internal audit, the chief accountant or the chief actuary pursuant to law or the Statute of the Bureau, shall be carried out by the executive director. The issues falling within the jurisdiction of the executive director may not be transferred to other management bodies of the Bureau or to other persons, with the exception of cases prescribed by law.
7. The procedure for appointing an executive director of the Bureau, terminating the powers thereof, as well as adopting of decisions thereby shall be prescribed by the Statute of the Bureau.
(Article 35 edited by HO-93-N of 19 June 2013, amended by HO-205-N of 9 June 2022)
|
Article 36. |
Rules of the Bureau |
1. The rules of the Bureau shall be the Statute of the Bureau, the internal regulations, procedures and other internal legal acts adopted by the management bodies of the Bureau — within the jurisdiction reserved thereto by this Law — as well as acts defining the lists of the injuries inflicted to the health of the injured and the medical institutions operating outside the territory of the Republic of Armenia — provided for by part 5 of Article 12 of this Law — of the Commission established by the decision of the Council of the Bureau. Only the Central Bank may terminate the rules of the Bureau adopted by the Central Bank.
2. The draft rules of the Bureau provided for by part 3 of Article 37 of this Law, as well as other rules (decisions) prescribed by the rules of the Bureau shall be placed on the official web site of the Bureau at least one week before convening the sitting for adopting those rules (decisions) by the competent body of the Bureau. The comments and recommendations received on drafts placed on the web site shall be subject to compulsory consideration while adopting the relevant rules (decisions). The rules of the Bureau provided by part 3 of Article 37 of this Law shall be subject to publication on the web site of the Bureau within a period of three working days following the registration thereof by the Central Bank.
3. The rules of the Bureau (the amendments, supplements thereto and termination thereof) — with the exception of those provided for by part 3 of Article 37 of this Law — shall enter into force upon registration thereof at the Central Bank in accordance with this Law, unless a later time period is provided for therein. The rules of the Bureau provided for by part 3 of Article 37 of this Law shall enter into force after 10 days following publication thereof as prescribed by part 2 of this Article, unless a later time period is provided for therein.
4. Member insurance companies of the Bureau shall be prohibited to act with violation of the rules of the Bureau.
5. The Statute of the Bureau shall at least prescribe that:
(1) every member of the Bureau (members affiliated to each other) shall have only one vote in the Meeting;
(2) every member of the Bureau shall be obliged to immediately report to the Council of the Bureau in case he or she is informed about violation of this Law, the regulatory legal acts adopted in accordance with it and violation of the rules of the Bureau by another member;
(3) the member insurance companies of the Bureau shall pay membership fees to the Bureau in the manner and in the amount prescribed by the rules of the Bureau;
(4) the revenue earned from the funds of the Bureau may not be — in the form of dividends or in any other manner — directly or indirectly allocated to the members thereof or other persons and must be used exclusively for the fulfilment of objectives provided for by the Statute. In case of liquidation of the Bureau, the property thereof shall be assigned to the Guarantee fund, in case it is impossible, the funds shall be transferred to the state budget, and other property shall be transferred to the Republic of Armenia, represented by the Government, by the right of ownership.
(Article 36 edited by HO-65-N of 23 March 2022)
|
Article 37. |
Registration, rejection of registration and termination of the rules of the Bureau |
1. The rules of the Bureau being adopted by the management bodies of the Bureau, the termination thereof and the supplements and amendments thereto — along with the application for registration — shall be submitted to the Central Bank as prescribed by the Board of the Central Bank.
2. The rules of the Bureau (including the supplements, amendments made thereto and the termination thereof) shall be registered, or the registration thereof shall be rejected by the decision of the chairperson of the Central Bank within 20 working days following the day of receipt of the application provided for by part 1 of this Article, with the exception of cases provided for by part 3 of this Article.
3. Those rules of the Bureau (the supplements, amendments thereto and the termination thereof) — whereby the allowable amounts, the cases of application of the unreimbursed amount within the scope of the CILUMV, the cases of early termination of the CILUMV contract, the standards of necessity, substantiation and actual proof of expenditures subject to insurance compensation, the list of documents being filed for receiving a compensation, the cases of rejecting an application for receiving insurance compensation, the limits of the compensation of expenditures provided for by part 1 of Article 12 of this Law, the maximum limits of basic and main insurance premiums, the minimum limits of basic and main insurance premiums, the allowable values of risk factors or the values of Bonus-Malus ratings, as well as the lists of the injuries inflicted to the health of the injured and the medical institutions operating outside the territory of the Republic of Armenia provided for by part 5 of Article 12 of this Law are defined — shall be registered or the registration thereof shall be rejected by the decision of the Board of the Central Bank within a period of 30 working days following the day of receipt of the application provided for by part 1 of this Article.
4. The Central Bank shall forward the decision provided for by parts 2 or 3 of this Article to the Bureau within a period of three working days following the day of adoption thereof.
5. The Central Bank shall reject the registration of the rules of the Bureau (the supplements, amendments made thereto and the termination thereof), if they contradict the requirements of this Law or other legal acts or may endanger the interests of the assured, the insured persons or beneficiaries, insurance companies, other persons or the normal functioning of the CILUMV system.
|
Article 38. |
Assignment of prescribing rules or adopting a decision |
1. The Central Bank shall be entitled — by the decision of the Board thereof — to assign to the Bureau (to the relevant management bodies of the Bureau) to prescribe rules, adopt other legal acts or revise (supplement, amend, repeal or leave in force) the rules of the Bureau or other legal acts adopted by the management bodies of the Bureau within the scope of competences thereof, if in the reasonable opinion of the Central Bank:
(1) the adoption of such rules or a legal act is necessary for normal functioning of the CILUMV system;
(2) the rules of the Bureau or the legal act adopted by the given management body of the Bureau are not substantiated;
(3) grounds are present provided for by part 5 of Article 37 of this Law.
2. In case of failure to fulfil the assignment — within a reasonable time period defined therein — given by the decision of the Board of the Central Bank adopted in accordance with part 1 of this Article, the Board of the Central Bank — upon the decision thereof — shall have the right to:
(1) prescribe rules of the Bureau independently;
(2) adopt the legal act prescribed by the assignment of the Board of the Central Bank;
(3) revise (supplement, amend, repeal or leave in force) the rules of the Bureau or the legal act adopted by the given management body of the Bureau.
3. In case of termination of the rules of the Bureau by the decision of the Board of the Central Bank adopted in accordance with part 2 of this Article, the Central Bank shall cancel the registration thereof.
4. The legal acts of the Board of the Central Bank adopted in accordance with part 2 of this Article shall be deemed to be adopted by the Bureau (the relevant management body of the Bureau) and shall be subject to compulsory application by the Bureau, the management bodies and members thereof. In case the requirements thereof are not met, the Central Bank shall have the right to apply sanctions provided for by law.
|
Article 39. |
Suspension of activities of management bodies of the Bureau |
1. The activities of management bodies of the Bureau may be temporarily suspended by the decision of the Board of the Central Bank, if the number of member insurance companies of the Bureau is less than three, as well as where in the reasonable opinion of the Board of the Central Bank, the management bodies of the Bureau do not properly exercise the powers — reserved thereto by this Law — for ensuring the normal functioning of the CILUMV system.
2. In case the activities of management bodies of the Bureau are suspended, the functions necessary for normal functioning of the CILUMV system shall be fulfilled by the Central Bank. The Board of the Central Bank shall adopt a decision on assuming the functions of management bodies of the Bureau, which shall specify the grounds for suspension of activities of management bodies of the Bureau, the measures aimed at eliminating such grounds, the time limits for assuming the functions of management bodies of the Bureau and the functions to be assumed that are necessary to ensure the normal functioning of the CILUMV system.
|
Article 40. |
Bureau audit |
1. The Bureau shall have internal audit. The internal audit shall operate pursuant to the annual internal audit plan approved by the Council of the Bureau. Every year the Council shall approve the annual internal audit plan.
2. The internal audit shall carry out independent, objective assurance and consulting activities — aimed at generation of surplus value for the Bureau and improvement of operations of the Bureau. The internal audit shall operate in accordance with law, other legal acts, including the annual internal audit plan adopted based on this Law and decisions of the Council of the Bureau.
3. Issues under the competence of the internal audit may not be transferred to the management bodies of the Bureau or to other persons.
4. With respect to its operations, the internal audit shall be accountable to the Council of the Bureau, and, with respect to administrative issues — to the executive director of the Bureau.
5. The internal auditor must comply with the requirements of professional competence, qualification and registration at the Central Bank prescribed by law and other legal acts for the internal audit of an insurance company.
|
Article 41. |
Chief accountant of the Bureau |
1. The Bureau shall have a chief accountant who shall be appointed by the Council. The chief accountant must comply with the requirements of professional competence, qualification and registration at the Central Bank prescribed by law and other legal acts for the chief accountant of an insurance company.
2. The accountant of the Bureau shall exercise the powers reserved thereto by law, as well as by the Statute of the Bureau.
|
Article 42. |
Chief actuary of the Bureau |
1. The Bureau shall have a chief actuary who shall be appointed by the Council. The chief actuary must comply with the requirements of professional competence, qualification and registration at the Central Bank prescribed by law and other legal acts for the chief actuary of an insurance company.
2. The chief actuary shall exercise the powers reserved thereto by law, as well as by the Statute of the Bureau.
|
Article 43. |
Funds, operational, administrative and capital investment expenditures of the Bureau |
1. Bureau funds shall be generated from membership fees paid by member insurance companies of the Bureau in the amount and in the manner prescribed by the rules of the Bureau, from credits, loans received and from other means not prohibited by law. Bureau funds may be used exclusively for the fulfilment of objectives provided for by this Law and the Statute of the Bureau.
2. The operational, administrative and capital investment expenditures of the Bureau shall comprise:
(1) the operational expenditures of the Bureau:
a. Expenditures related to payment of compensations made at the expense of the proceeds of the Guarantee fund and expenditures related to the medical aid provided for by part 3 of Article 23 of this law;
b. the interests accrued on credits, loans received;
c. commission fees related to the management of the Bureau funds;
d. losses incurred from the re-evaluation of assets and sale thereof at a cost lower than the balance value;
e. charges for consulting or other services rendered to the Bureau;
f. expenditures related to coverage of processes implemented within the scope of the CILUMV;
g. expenditures related to fulfilment of the function provided for by part 3 of Article 20 of this Law;
h. other expenditures related to the performance of functions of the Bureau;
(2) the administrative expenditures of the Bureau:
a. staff maintenance expenditures, including salary of employees, reward, social security payments, staff education and training, travel and entertainment expenses, operation costs of service vehicles;
b. expenditures associated with the communication means used for office purposes;
c. costs for acquiring information and professional literature;
d. expenditures related to write-off of utility supplies, and perishable goods;
e. expenditures related to preservation, service, maintenance and insurance of buildings, constructions, other fixed assets and reserves;
f. other expenditures associated with implementation of objectives set before the Bureau;
(3) the expenditures on capital investments of the Bureau:
a. expenditures on capital investments on carrying out the principal activity of the Bureau;
b. expenditures on capital investments on administrative purposes.
3. The administrative, operational and capital investment expenditures of the Bureau shall be made at the expense of the funds generated pursuant to part 1 of this Article. To make the expenditures referred to in this part the Bureau shall have the right to open accounts in banks operating within the territory of the Republic of Armenia.
4. The administrative, operational and capital investment expenditures of the Bureau for the current year may not exceed one per cent of the insurance premiums collected by all member insurance companies of the Bureau during the preceding year. In exceptional cases — to ensure the normal functioning of the Bureau — the limits referred to in this part may be changed by the decision of the Board of the Central Bank.
5. Aimed at ensuring the normal functioning of the Bureau, fulfilment, by the Bureau, of functions prescribed by this Law and Statute of the Bureau, the Meeting of the Bureau shall approve the annual cost estimate of operational, administrative and capital investment expenditures in accordance with forecasts on generation of Bureau funds. Within a period of three working days following the approval of the cost estimate by the Meeting, it shall be submitted for the approval of the Board of the Central Bank. The Bureau may not incur any operational, administrative and capital investment expenditures not provided for in the cost estimate approved by the Board of the Central Bank. The changes made to the cost estimate of operational, administrative and capital investment expenditures of the Bureau shall be subject to approval by the Board of the Central Bank. The Central Bank may not approve the changes made to the cost estimate, if the Bureau has not sufficiently substantiated the necessity of making such changes. In case the changes are not approved, the Bureau shall be obliged to be guided by the cost estimate already approved by the Central Bank.
6. Where — in the current year — the operational, administrative and capital investment expenditures of the Bureau are less than the actual funds collected — in accordance with part 1 of this Article — during the current year, the difference generated as of results of the year shall be transferred to the next year and shall be taken into account in forecasts being made on generation of Bureau funds for the next year or shall be transferred to the Guarantee fund by the decision of the Meeting of the Bureau.
7. The right to adopt a decision on charging additional funds from member insurance companies of the Bureau aimed at ensuring the normal functioning of the Bureau shall be prescribed by the Statute of the Bureau.
8. The Bureau shall be entitled to receive credits and loans — aimed at ensuring the normal functioning thereof — that shall be directed exclusively to replenishment of the Bureau funds. The credits, loans and the calculated interests (default interests) for the use thereof shall be repaid exceptionally at the expense of Bureau funds.
CHAPTER 5
GUARANTEE FUND
|
Article 44. |
Guarantee fund |
1. The lump-sum, regular and additional payments of the Bureau members collected as provided for by this Law, the funds prescribed by this Law or invested in other forms not prohibited by law, as well as the assets, where they have been invested and the incomes received as a result of management thereof shall be pooled in the Guarantee fund. All the payments to the Guarantee fund shall be made in Armenian drams. The insurance companies carrying out CILUMV within the territory of the Republic of Armenia and —in cases provided for by this Law — also the Central Bank shall be obliged to make all the payments prescribed by law to the Guarantee fund. All the payments made to the Guarantee fund in the set amount shall be unrefundable.
2. The means of the Guarantee funds shall belong to the Bureau by the right of ownership. They may be used exclusively for the Guarantee fund for the objectives and in cases prescribed by this Law. Confiscation, levy or attachment may not be applied on the means of the Guarantee fund for the liabilities — not provided for by part 4 of this Article — of the Bureau, the management bodies thereof, the members thereof or of other persons.
3. Based on the amount of the Guarantee fund for the previous year and the amount of compensations made at the expense of the proceeds of the Guarantee fund during the preceding year, as well as taking into account other standards and factors affecting the amount of insurance premiums, the Council of the Bureau shall make a forecast — for every year — on the proceeds of the Guarantee fund for the given year and compensations to be paid at the expense thereof during the given year and the amounts of payments to be made for the expenditures related to the medical aid provided for by part 3 of Article 23 of this Law. The Bureau shall take measures to mitigate the risks of the Guarantee fund, on which recommendations shall be submitted to the Meeting by the Council.
4. As an expenditure made at the expense of the proceeds of the Guarantee fund, the Bureau shall make only the compensations provided for by Article 49 of this Law and the payments of expenditures related to the medical aid provided for by part 3 of Article 23 of this Law, as well as the repayment of credits, loans and the calculated interests (default interests) for the use thereof provided for by this part. The Bureau shall be entitled to receive credits and loans — aimed at making the compensations provided for by Article 49 of this Law or the payments of expenditures related to the medical aid provided for by part 3 of Article 23 of this Law — that shall be directed exclusively to replenishment of the proceeds of the Guarantee fund. The credits, loans and the calculated interests (default interests) for the use thereof provided for by this part shall be repaid exclusively at the expense of the proceeds of the Guarantee fund. The outstanding amounts of the credits — received and to be received as provided for by this part as of every moment — may not exceed the amounts set by the decision (decisions) on making additional payments to the Guarantee fund from insurance companies for the purpose of repayment thereof and the amounts that are not collected yet. The credits provided for by this part shall be subject to immediate repayment in case of availability of sufficient means in the Guarantee fund.
|
Article 45. |
Lump-sum payments |
1. Within a period of five working days following the day of becoming a member of the Bureau, the insurance companies shall pay a lump-sum payment in the amount of AMD 15 000 000 to the Guarantee fund.
|
Article 46. |
Regular payments |
1. With the exception of cases prescribed by part 3 of this Article, the member insurance companies of the Bureau shall — once every quarter following the day of becoming a member of the Bureau — make a regular payment to the Guarantee fund in the amount of 0.5 per cent of the insurance premiums collected and to be collected from CILUMV contracts signed thereby during the preceding twelve months.
2. The regular payment shall be made within a period of 10 working days following the given quarter.
3. The Board of the Central Bank — at the suggestion of the Council of the Bureau — shall have the right to take a decision on temporary termination of making the regular payments to the Guarantee fund, where, in the reasonable judgment thereof, the proceeds of the Guarantee funds — within the entire period of termination — are sufficient to implement the objectives set before the Guarantee fund and, such termination does not endanger the financial stability of the Guarantee fund.
|
Article 47. |
Additional payments |
1. The member insurance companies of the Bureau shall make additional payments to the Guarantee fund, if the proceeds of the Guarantee funds are not sufficient (will not be sufficient) for making the compensations prescribed by this Law or making the payments of expenditures related to the medical aid provided for by part 3 of Article 23 of this Law. In case of insufficiency of funds, the Council of the Bureau shall take a decision — on attracting additional payments within a period of 15 days — that shall set the amount of additional payments necessary for making the compensations (making the payments of expenditures related to the medical aid provided for by part 3 of Article 23 of this Law). Standards for insufficiency of proceeds of the Guarantee fund, the procedure for taking a decision thereon shall be prescribed by the rules of the Bureau.
2. The member insurance companies of the Bureau shall make the additional payments in the insufficient amount of the proceeds of the Guarantee fund in proportion to the share thereof in the rate of insurance premiums accrued on CILUMV during the preceding quarter of adopting a decision provided for by part 1 of this Article. Moreover, the accrued insurance premiums of only those insurance companies shall serve as a basis while calculating the rates of insurance premiums provided for by this part, which — by virtue of being a member of the Bureau or part 8 of Article 29 of this Law — shall be obliged to pay the additional payments prescribed by the decision provided for by part 1 of this Article.
3. The member insurance companies of the Bureau shall make the additional payments within a period of 30 days following the day of receipt of the decision provided for by part 1 of this Article.
|
Article 48. |
Payments of insolvent insurance companies |
1. The insurance company shall not make payments to the Guarantee fund upon adopting a decision by the Central Bank on declaring the insurance company insolvent in accordance with the procedure prescribed by the Law of the Republic of Armenia “On bankruptcy of banks, credit organisations, investment companies and insurance companies”.
|
Article 49. |
Making compensations at the expense of the proceeds of the Guarantee fund |
1. With the exception of cases prescribed by part 3 of this Article, the damages caused to the injured persons — within limits of amounts prescribed by part 1 of Article 8 of this Law and in accordance with provisions prescribed by part 2 of Article 8 and Articles 11-18 of this Law — shall be made at the expense of the Guarantee fund, where:
(1) the motor vehicle having caused damage or the person having a responsibility of signing a CILUMV contract thereon is unknown. In this case, the Bureau shall compensate — at the expense of the Guarantee fund — only for the personal injuries caused to the injured persons;
(2) the damage has been caused by the use of a motor vehicle on which no CILUMV contract is signed;
(3) the damage has been caused by the use of an illegally taken motor vehicle or a motor vehicle owned unlawfully without any purpose of illegal taking;
(4) the insurance company having singed a CILUMV contract on the motor vehicle having caused damage has been declared insolvent (bankrupt), if — in accordance with this Law — it was obliged to compensate for the damage caused;
(5) there are other grounds prescribed by this law.
2. In cases referred to in point 3 of part 1 of this Article, the Bureau shall have the right of recourse claim against the person causing damage and — in cases referred to in points 1 and 2 of part 1 of this Article — also against the owner of the motor vehicle having caused damage with the exception of cases provided for by the second sentence of this part. In case the insurance company having signed a CILUMV contract on the motor vehicle having caused damage is identified, the Bureau — having compensated for the damage caused to the injured person on the ground provided for by point 1 of part 1 of this Article — shall accrue the right of recourse claim against that insurance company, if the latter — in accordance with this Law — is obliged to make insurance compensation. In the case provided for by point 4 of part 1 of this Article, the Bureau shall accrue rights — prescribed for an insurance company by the given Article — against the relevant persons prescribed by Article 27 of this Law. Where — in accordance with this part — the Bureau accrues the right of recourse claim against several persons, the latter shall act as joint and several debtors against the Bureau.
3. The Bureau shall reject the payment of compensation for damages at the expense of the Guarantee fund, where:
(1) the grounds provided for by points 1 and 4 of part 1 of this Article are missing or have ceased to exist;
(2) the damage has been caused by the use of motor vehicles not subject to compulsory insurance in accordance with the procedure prescribed by this Law;
(3) the damage has been caused as a result of an accident occurred in consequence of force majeure;
(4) the damage has been caused as a result of an accident occurred in consequence of acts of terrorism, military operations, acts of mutiny and mass riots;
(5) the damage has been caused during shipment of hazardous wastes and is related exclusively with hazardous wastes;
(6) the damage has been caused owing to the intention of the injured;
(7) the damage has been caused to flora and fauna, air, surface water or groundwater, subsoil deemed to be state-owned property;
(8) the damage has been caused to works of art, precious adornments, stones and metals;
(9) the insurance compensation is subject to payment by an insurance company in accordance with the procedure prescribed by this Law;
(10) there are other grounds provided for by law.
4. The Bureau shall have the right to delegate the fulfilment of functions thereby — related to payment of compensation — based on the contract provided for by this Article to any of its member insurance companies. The procedure and terms for the delegation provided for by this part shall be prescribed by the rules of the Bureau.
|
Article 50. |
Management of the proceeds of the Guarantee fund |
1. The Guarantee fund shall be managed by the Bureau represented by the Council and the executive director.
2. The proceeds of the Guarantee fund may be invested exclusively in the following financial instruments with high reliability of repayment:
(1) in state securities of the Republic of Armenia;
(2) in bank deposits attracted by the Central Bank, the banks operating within the territory of the Republic of Armenia and the leading foreign banks with high rating in accordance with internationally accepted standards and/or in bank accounts opened thereby;
(3) in securities issued or certified by the Central Bank;
(4) in standardised gold bars;
(5) in securities issued or certified by governments of countries with high rating in accordance with internationally accepted standards and/or by Central Banks;
(6) in securities issued or certified by leading organisations with high rating in accordance with internationally accepted standards and/or banks;
(7) in other financial instruments by the decision of the Meeting and the agreement with the Board of the Central Bank.
3. The primary standards for investment of proceeds of the Guarantee fund shall be the security and liquidity of the funds being allocated. The standards for security and liquidity of allocation of the proceeds of the Guarantee fund shall be prescribed by the regulatory legal acts of the Central Bank.
CHAPTER 6
INFORMATION SYSTEM
|
Article 51. |
Information system |
1. An Information system shall operate within the Bureau, which shall ensure the collection of the necessary information and the accessibility thereof for the users of the Information system to guarantee the normal functioning of the CILUMV system. The Information system shall collect information on persons having signed CILUMV contracts and motor vehicles owned thereby by the right of ownership or by other rights, as well as collect other information prescribed by law and other legal acts.
2. The Bureau, the Central Bank, insurance and reinsurance companies shall have the right to make use of the Information system with respect to data concerning them.
3. The Information system shall be formed based on data submitted by insurance companies having the right to carry out the CILUMV, the reinsurance companies having reinsured the risks thereof and other persons prescribed by Article 52 of this Law.
4. The set of data being submitted to the Information system, the form, manner and time limits of submission thereof and the procedure for using the Information system shall be prescribed by this Law and the regulatory legal acts of the Central Bank. The procedure and terms for technical maintenance of the Information system shall be prescribed by the Council of the Bureau.
5. The executive director of the Bureau shall guarantee the completeness of information being inputted into the Information system and maintained therein. The Bureau shall be obliged to maintain the collected information at least for fifteen years.
6. The technical maintenance and information service of the Information system may be delegated — by the decision of the Council of the Bureau and with the prior consent of the Board of the Central Bank — to other persons. Those persons shall be obliged to keep the information — as prescribed by law — got known thereto in the course of activity thereof and protected by law deemed to be insurance or other secret and may publish or provide them only in cases and in the manner prescribed by law.
7. Based on data of the Information system, the Bureau shall regularly publish the type and the state licence plate of a motor vehicle (vehicles) insured by CILUMV contracts valid at the given moment, the name of the insurance company deemed to be a party under the CILUMV contract, as well as other information prescribed by regulatory legal acts of the Central Bank on persons having signed the CILUMV contract. The Bureau may also publish on the web site thereof other information — not prohibited by law — on persons having signed the CILUMV contract.
| Article 52. |
Information exchange |
1. The authorized body conducting the record-registration of motor vehicles (the registration of the right of ownership and other rights thereto) shall submit to the Information system — in the manner and within time limits prescribed — the list of motor vehicles presented for state record-registration (registration of the right of ownership or other rights) (with the exception of cases provided for by points 1-3 of part 2 of Article 25 of this Law), the owners thereof, and — if available — of other lawful users thereof.
2. The authorised body in charge of the road traffic safety shall submit to the Information system — in the manner and within time limits prescribed — information on driving experience, the category of the driving permits of owners of motor vehicles (with the exception of cases provided for by points 1-3 of part 2 of Article 25 of this Law) and/or persons lawfully owning it, and traffic accidents with involvement thereof, as well as other information provided for by regulatory legal acts.
3. The insurance companies shall submit to the Information system — in the manner and within time limits prescribed by regulatory legal acts of the Central Bank — information on the CILUMV contracts signed thereby, as well as invalid CILUMV contracts and persons deemed to be assured under those contracts, as well as other information provided for by regulatory acts of the Central Bank.
4. The authorised body of public administration in charge of ensuring the road traffic safety shall undertake measures — based on information provided by the Bureau — aimed at identification of those motor vehicles and application of a sanction, in cases provided for by law, the record-registration whereof has been conducted within the territory of the Republic of Armenia or those, which travel through public highways of the Republic of Armenia without holding a valid CILUMV contract signed in the manner prescribed.
5. The procedure, form, terms, time limits for exchanging the information provided for by parts 1, 2 and 4 of this Article, the list of the information being exchanged, as well as the procedure and time limits for carrying out the measures being undertaken shall be prescribed by the decision of the Government of the Republic of Armenia.
|
Article 52.1. |
Peculiarities of the administrative proceedings conducted with regard to the violation of the requirement of compulsory insurance detected based on the Information system |
1. Administrative proceedings with regard to offences provided for by part 1 of Article 129.2 of the Administrative Offences Code of the Republic of Armenia shall be conducted as prescribed by the Administrative Offences Code of the Republic of Armenia unless other regulation is provided for by this Article.
2. Administrative proceedings with regard to the cases provided for by part 1 of this Article shall comprise the stages of establishment of elements of the offence and adoption of the administrative act.
3. In the stage of establishment of elements of the offence the evidence substantiating the offence shall be the information received from the Information system, i.e. the information on the absence of a valid CILUMV contract on the motor vehicle within that particular period of time and the information on the motor vehicle being record-registered, which is available in the database of state registration and state record-registration (repeat record-registration) of the right of ownership of vehicles.
4. The evidence provided for by part 3 of this Article shall be kept and provided to the recipient of the administrative act as prescribed by the Law of the Republic of Armenia “On peculiarities of administrative proceedings with regard to the cases on violations of road traffic rules detected by video or photo cameras”.
5. In the stage of establishment of elements of the offence the administrative body conducting the proceedings shall compare the information received from the Information system and the data available in its database and reveal the existence or absence of elements of the offence.
6. A protocol shall not be drawn up within the administrative proceedings provided for by this Article, and the elements of the offence shall be detected, the administrative act shall be adopted and handed over to the recipient of the administrative act, as well as the administrative act shall be executed by the recipient thereof in the manner and within time limits prescribed by the Law of the Republic of Armenia “On peculiarities of administrative proceedings with regard to the cases on violations of road traffic rules detected by video or photo cameras” taking into account the peculiarities of administrative proceedings provided for by this Article.
7. The recipient of the administrative act shall have the right not to pay or pay less than the penalty imposed where he or she submits — within a period of 30 days following the entry into force of the administrative act — to the authorised body of public administration in charge of ensuring road traffic safety a CILUMV contract signed before the day of the alleged offence and valid for the relevant period.
8. The procedure prescribed by this Article shall not extend to cases when the offence provided for by part 1 of Article 129.2 of the Administrative Offences Code of the Republic of Armenia has been recorded by the officer of the authorised body of public administration in charge of ensuring road traffic safety — by means of stopping the relevant motor vehicle as prescribed by law — irrespective of the fact of that the offence have been detected based on the information received from the Information system.
(Article 52.1 supplemented by HO-93-N of 19 June 2013)
CHAPTER 7
LIABILITY FOR THE VIOLATION OF THE REQUIREMENTS OF THIS LAW
|
Article 53. |
Liability for the violation of the requirements of this Law |
1. The Central Bank may apply sanctions against the Bureau and/or the executive director of the Bureau or other qualified person, if the Bureau and/or the executive director of the Bureau or other qualified person have committed the violations as follows:
(1) the requirements of this Law, other laws regulating the activity of the Bureau, regulatory legal acts of the Central Bank or other legal acts, as well as the rules of the Bureau have been violated;
(2) the rules for maintaining accounting, as well as the procedure and terms for publication and submission of financial statements and other reports have been violated and/or false or untrustworthy data have been presented in those documents;
(3) the assignments made by the Central Bank as prescribed by law has not been fulfilled.
2. For the violations provided for by part 1 of this Article, the Central Bank may apply the following sanctions against the Bureau or the executive director thereof or other qualified person:
(1) warning with an assignment to eliminate the violations within a definite period of time, to undertake measures aimed at excluding further violations or not repeating violations in the future, and/or
(2) penalty, and/or
(3) deprivation of the qualification certificate of the executive director of the Bureau or other qualified persons.
3. The Central Bank shall apply the sanctions provided for by this Article against the Bureau and/or the executive director of the Bureau or other qualified person in accordance with the procedure prescribed by the Laws of the Republic of Armenia “On the Central Bank of the Republic of Armenia” and “On insurance and insurance activities” for the application of sanctions against insurance companies and the executives thereof in the manner prescribed.
4. The insurance companies and the owners of motor vehicles shall be held liable as provided for by law for the violations of the requirements of this Law.
CHAPTER 8
TRANSITIONAL PROVISIONS
|
Article 54. |
Transitional provisions |
1. This Law shall enter into force on the tenth day following the day of the official publication, with the exception of cases prescribed by this Article.
2. The owners of motor vehicles the record-registration whereof have been conducted within the territory of the Republic of Armenia as of 1 January 2011 (with the exception of cases provided for by points 1-3 part 2 of Article 25 of this Law) shall be obliged to hold a CILUMV contract signed as prescribed by this Law, with the exception of the case prescribed by part 8 of this Article. Moreover, the CILUMV contracts signed before 1 January 2011 shall enter into force from 1 January 2011.
3. Part 3 of Article 1 and part 4 of Article 5 of this Law shall enter into force from 1 January 2011, with the exception of the case prescribed by part 8 of this Article.
4. The system of discounts and surcharges of insurance premiums (Bonus-Malus system) provided for by part 6 of Article 7 of this Law shall be applied for CILUMV contracts signed (extended) after 1 January 2013.
5. Before the application of a system of discounts and surcharges of insurance premiums (Bonus-Malus system), the insurance company may require amending of the CILUMV contract, and — in case of dissent of the assured — unilaterally terminate it in advance properly notifying the assured about it, if during the period of validity of that insurance contract at least two insured accidents have occurred and the total amount of insurance compensations made for them exceeds AMD 10 500 000. Moreover, the insurance companies shall be obliged to sign a new CILUMV contract with persons referred to in this part by virtue of part 5 of Article 5 of this Law. In case of termination of the CILUMV contract based on this part, while signing a new CILUMV contract before 1 January 2013 with a person deemed to be the assured under that contract, the maximum limits of basic and main insurance premiums provided for by part 2 of Article 7 of this Law need not be applied. The procedure and terms for the processes provided for by this part shall be prescribed by the rules of the Bureau. In case of unilateral termination of the CILUMV contract on the ground provided for by this part, the insurance company shall return to the assured the insurance premiums paid for the unexpired term of the contract validity.
6. The damages prescribed by point 2 of part 1 of Article 15 of this Law shall be subject to compensation in accordance with this Law or the CILUMV contract only in case, where the insured accident has occurred after 1 January 2016.
7. Parts 3 and 4 of Article 23 of this Law shall enter into force from 1 January 2016.
8. The provisions prescribed by part 3 of Article 1 and part 4 of Article 5 of this Law shall not enter into force, and the owners of motor vehicles the record-registration whereof have been conducted within the territory of the Republic of Armenia, as well as of those imported into the territory of the Republic of Armenia through driving and persons deemed to be leasees under the financial lease (leasing) contract shall not be obliged to hold a CILUMV contract signed as prescribed by this Law, as long as at least three insurance companies have become members of the Bureau. Where the number of Bureau members prescribed by this part is ensured after 1 January 2011, the provisions prescribed by part 3 of Article 1 and part 4 of Article 5 of this Law shall enter into force after one month following the day the third relevant insurance company has become a member of the Bureau.
9. Within a time period of 15 days following the day of entry into force of this Law, the Central Bank shall be obliged to adopt a decision on establishment of the Bureau, becoming a member thereof, as well as on approval of the Statute of the Bureau and the rules of the Guarantee fund. After the registration of the Bureau, the insurance companies willing to carry out the CILUMV shall become members of the Bureau as prescribed by the Statute of the Bureau.
10. During 10 days following the third insurance company becoming a member of the Bureau based on part 6 of Article 29 of this Law, but no earlier than on the 15th day following the publication of the relevant announcement on registration of the Bureau by the Central Bank as prescribed by part 5 of Article 29 of this Law and the notification of all insurance companies operating in the territory of the Republic of Armenia, a sitting of the Meeting shall be convened that shall elect the members of the Council provided for by point 1 of part 2 of Article 34 of this Law. Within a period of ten days provided for by this part, the Board of the Central Bank and the authorised body of public administration in charge of ensuring road traffic safety shall be obliged to appoint the members of the Council provided for respectively by points 2 and 3 of part 2 of Article 34 of this Law.
11. Before convening the first sitting of the Meeting provided for by part 10 of this Article the powers thereof shall be exercised by the Board of the Central Bank. Before election (appointment) of Council members provided for by part 10 of this Article, the powers of the Council shall be exercised by the Board of the Central Bank and the powers of the executive director — by the chairperson of the Central Bank.
12. In case the first membership composition of the Council is formed, the Central Bank shall publish the announcement provided for by part 3 of Article 34 of this Law within a period of ten days provided for by part 10 of this Article.
13. During one year following the registration of the Bureau as prescribed by this Law, the Information system shall be transferred to the management of the Bureau by the decision of the Central Bank.
14. Within the meaning of this Law, the accidents occurred shall be deemed to be insured accidents and be subject to compensation, if occurred after 1 January 2011.
15. The insurance companies holding insurance contracts — signed on a voluntary basis pursuant to the class provided for by point 10 of part 2 of Article 7 of the Law of the Republic of Armenia “On insurance and insurance activities” and valid as of the day of entry into force of this Law, the term thereof expires after 31 December 2010 — shall be obliged to properly notify the assured deemed to be a party under the relevant contracts of the rights thereof to early unilaterally terminate those contracts, as well as of the contracts signed on a voluntary basis not replacing the CILUMV contract — providing them a reasonable time to enjoy the rights thereof.
16. Compulsory requirements and terms for notification and notations provided for by part 15 of this Article may be prescribed by regulatory legal acts of the Central Bank.
17. It shall be mentioned in contracts of insurance against liability arising from the use of motor vehicles being signed on a voluntary basis after the entry into force of this Law that the signing of those contracts may not be considered as performance of the responsibility of signing a CILUMV contract in accordance with this Law.
18. The Central Bank may — by its decision — terminate its membership of the Bureau, but no earlier than 1 January 2011.
Annex
METHODOLOGY FOR CALCULATION OF INSURANCE PREMIUMS WITH RESPECT TO COMPULSORY INSURANCE AGAINST LIABILITY ARISING FROM THE USE OF MOTOR VEHICLES
1. GENERAL PROVISIONS
1.1. Based on the “Methodology for calculation of insurance premiums with respect to compulsory insurance against liability arising from the use of motor vehicles” (hereinafter referred to as “Methodology”) prescribed by this Annex, the Bureau shall calculate the maximum limits of main and basic insurance premiums and submit them to the Central Bank for registration. Any change in maximum limits of main and basic insurance premiums, as well as the inclusion of other risk factors provided for by point 3.4 of this Methodology in the calculation of the insurance premiums — in case of existence of sufficient grounds— shall also be submitted for the registration of the Central Bank.
1.2. The maximum limits of main and basic insurance premiums and other values calculated in accordance with this Methodology shall be revised by the Bureau, as well as the Central Bank no less than once every year, in consequence whereof it is initiated to change them or to leave them unchanged.
1.3. The insurance premium with respect to the CILUMV shall be calculated by the following formulae:
IP = BIP * BM
where:
IP is the insurance premium;
BIP is the basic insurance premium;
BM is the Bonus-Malus rating applied for the given assured. Moreover, the application of Bonus-Malus ratings in the calculation of insurance premiums with respect to the CILUMV shall start from 1 January 2013. Before that time limit, for the purpose of calculation of an insurance premium it shall be accepted that the BM is equal to 1.
1.4. The basic insurance premiums shall be calculated by the following formulae:
where:
BIP is the basic insurance premium;
MIP is the main insurance premium;
rfi are the risk factors according to different levels (classes) of risk of the vehicle being insured and/or the assured and/or the insured person.
1.5. Where the insurance premium calculated by an insurance company exceeds the insurance premium calculated based on maximum limits of main and basic insurance premiums prescribed by the Bureau and registered by the Central Bank (prescribed by the decision of the Board of the Central Bank in cases provided for by this Law), the insurance company shall make a recalculation and bring the values applied in the calculation of insurance premiums into compliance with them.
2. CALCULATION OF THE MAIN INSURANCE PREMIUM
2.1. The main insurance premium is calculated for all the vehicles and all the assured subject to insurance — based on the statistics on the numbers of vehicles subject to insurance and insurance contracts signed, the overall volume of insurance sums, the insured accidents, the extents of damages caused in respect thereof and compensations paid (to be paid) during the periods particularly preceding the calculation. Moreover, data received from the Information system maintained by the Bureau, official data from an authorised body of public administration in charge of ensuring road traffic safety, an authorised body of public administration in the health care sector, a body carrying out state statistical service, as well as other data may be used for those calculations.
2.2. For each type of damage (injuries inflicted to the health of the injured and/or salary (income) lost as a result thereof, death of the injured, damage caused to the property) compensated separately based on the analysis of statistical data provided for by point 2.1 of this Methodology, for each of the separate categories of those damages or for all types of damages compensated jointly, the following shall be calculated:
(1) the average probability of the accident during the period of validity of an insurance contract (p);
(2) the average amount of compensation (AC);
(3) the probabilistic insurance rate (PR) expressed by a relative value against the insured sum (S);
(4) the risk increment (RI) of insurance rate applied to the probabilistic insurance rate, the specific amount of which is dependent on characteristics of insured accidents and statistical allocations of compensations paid with respect to those insured accidents;
(5) net rate (NR) — as a sum of probabilistic rate and risk increment;
NR = PR + RI
(6) gross rate (GR), which is calculated by applying a load factor to the net rate. The load factor includes the cost load (CL) and profit load (PL);
(7) the gross insurance premium (GIP), which is calculated as a product of the gross rate and the relevant insurance sum;
GIP - GR * S
2.3. The main insurance premium is calculated as a sum of gross insurance premiums calculated for the separate types of damages or the separate categories thereof. If the values described in subpoints 1-7 of point 2.2 of this Methodology are calculated jointly for all the types of the compensated damage, the main insurance premium shall be equal to the gross insurance premium described in subpoint 7 of point 2.2 of this Methodology.
3. CALCULATION OF RISK FACTORS
3.1. The purpose of application of risk factors in calculation of the insurance premium with respect to the CILUMV shall be to prescribe differentiated insurance premiums pursuant to the level of risk of the vehicle being insured and/or the assured and/or the insured person aimed at preserving the principle of equivalence in the insurance.
3.2. The application of risk factors in the calculation of insurance premiums shall include:
(1) selecting specific risk factors;
(2) defining risk classes for each factor;
(3) defining a relevant risk factor (interval) for every risk class.
3.3. The following risk factors shall, in particular, underlie the rfi factors described in the formulae referred to in point 1.4 of this Methodology:
(1) the annual intensity of the vehicle operation (km);
(2) the type/ model/ brand of the vehicle;
(3) the main site/ area of the vehicle operation;
(4) the form/ purpose of the vehicle use;
(5) the power/ engine displacement/ weight of the vehicle;
(6) individual, particularly age peculiarities of the assured and/or the insured person;
(7) the driving experience of the assured and/or the insured person;
(8) factors related to the state of health of the assured and/or the insured person that may influence the level of accident risk of the assured and/or the insured person.
3.4. The Bureau shall be obliged to submit to the Central Bank the proposal on application of other factors related to the assured, the vehicle being insured or the use thereof in the calculation of maximum limit of the basic insurance premium — along with sufficient grounds on registration, application thereof. Those factors must comply at least with the following requirements:
(1) the application of the given factor is reasonable and grounded by statistical data (the existence of a statistical (correlative) linkage between the given factor and the level of accident risk of the vehicle being insured (of the assured, the insured person));
(2) the amount or extent of display of the given factor is possible to measure objectively and classify into one of the risk groups defined;
(3) the possibility of undue and automatic influence of the assured and/or other persons concerned on the amount or extent of display of the given factor is limited;
(4) the proposed risk factor is not essentially correlated with any of the factors already included in the calculation of the insurance premium, or the influence thereof on the overall level of risk of the vehicle being insured and/or the assured and/or the insured person is not intervened by any factor already included in the calculation of insurance premium.
3.5. The allowable values of certain values of ratings shall be set based on statistical data available and the reliable actuary forecasts for the future — ensuring maintenance of the principle of equivalence in the insurance, i.e. the relative proportions of differentiation of insurance premiums in accordance with risk groups shall — within reasonable limits — comply with differences of medium levels of real (or forecasted) risks for the group of vehicles and/or the assured and/or the insured persons being included in each of those groups.
4. CALCULATION OF THE BONUS-MALUS RATING
4.1. Bonus-Malus (hereinafter referred to as “BM”) system is a system of differentiation of insurance premiums — in accordance with BM classes, the BM ratings complying with those classes and rules on transferring of the assured from one class to the other — based on driving history of the assured and/or the insured persons.
4.2. BM system shall prescribe the procedure and terms for transferring from one class to the other — dependent on the number of insured accidents occurred due to the fault of the assured within a time period (time periods) preceding the signing of an insurance contract.
4.3. Three groups of classes are differentiated in accordance with the value of the rating describing each class:
(1) base (initial) class — may be granted in the case, when the CILUMV contract is signed for the first time, and/or there is not any driving history yet available pursuant to which the BM class shall be prescribed. Rating 1 shall comply with this class;
(2) bonus classes — may be granted to the assured and/or insured persons with a “positive” driving history. The ratings complying with these classes shall be less than 1, i.e. they decrease the amount of the insurance premium;
(3) malus classes — may be granted to the assured and/or insured persons with higher level of risk. The ratings complying with these classes shall increase the insurance premium.
4.4. Certain values of BM ratings and transfer rules shall be prescribed based on the analysis of statistical arrays describing the driving history (numbers and frequency of insured accidents) of the assured during the preceding time periods. They shall be particularly dependent on:
(1) the probabilities of the individual assured being within each of the BM classes for the given time period;
(2) the probabilities of being transferred from the BM class of the preceding time period to any other class;
(3) other mathematical and statistical characteristics of statistical distributions describing the insured accidents, the frequencies and amounts of compensations thereof.
4.5. Where several insured persons are provided for by the CILUMV contract, the BM rating underlying the calculation of the insurance premium shall be set taking into account the maximum of the BM ratings of all those insured persons.
4.6. The BM ratings and transfer rules shall be set so that the system ensures the financial (from the standpoint of an insurance company) and differentiation equity according to risk (from the standpoint of the assured).
|
President of the Republic of Armenia |
S. Sargsyan |
|
9 June 2010 Yerevan HO-63-N |
Translation published on a joint site 12 september 2023