ՀԱՅԱՍՏԱՆԻ ՀԱՆՐԱՊԵՏՈՒԹՅԱՆ ԿԱՌԱՎԱՐՈՒԹՅՈՒՆ
Ո Ր Ո Շ ՈՒ Մ
4 հունիսի 2014 թվականի N 574-Ն
ԳԱԶԱԲԱՇԽԻՉ ՀԱՄԱԿԱՐԳՈՒՄ ԱՊՕՐԻՆԻ ՍՊԱՌՄԱՆ ԴԵՊՔԵՐՈՒՄ ՍՊԱՌՎԱԾ ԲՆԱԿԱՆ ԳԱԶԻ ԾԱՎԱԼԻ ՀԱՇՎԱՐԿՄԱՆ ՄԵԹՈԴԻԿԱՆ ՀԱՍՏԱՏԵԼՈՒ ՄԱՍԻՆ
Ղեկավարվելով «Էներգետիկայի մասին» Հայաստանի Հանրապետության օրենքի 5.1-ին հոդվածի 2-րդ մասի «բ» կետով՝ Հայաստանի Հանրապետության կառավարությունը որոշում է.
(նախաբանը փոփ. 12.10.23 N 1743-Ն)
1. Հաստատել գազաբաշխիչ համակարգում ապօրինի սպառման դեպքերում սպառված բնական գազի ծավալի հաշվարկման մեթոդիկան՝ համաձայն հավելվածի:
2. Սույն որոշումն ուժի մեջ է մտնում պաշտոնական հրապարակմանը հաջորդող տասներորդ օրը:
|
Հայաստանի Հանրապետության |
Հ. Աբրահամյան |
|
2014 թ. հունիսի 6 Երևան |
|
Հավելված ՀՀ կառավարության 2014 թվականի հունիսի 4-ի N 574-Ն որոշման |
ԳԱԶԱԲԱՇԽԻՉ ՀԱՄԱԿԱՐԳՈՒՄ ԱՊՕՐԻՆԻ ՍՊԱՌՄԱՆ ԴԵՊՔԵՐՈՒՄ ՍՊԱՌՎԱԾ ԲՆԱԿԱՆ ԳԱԶԻ ԾԱՎԱԼԻ ՀԱՇՎԱՐԿՄԱՆ ՄԵԹՈԴԻԿԱՆ
1. Սույն մեթոդիկայով հաշվարկվում է ապօրինի գազասպառման դեպքում գազամատակարարման ցանցից արտահոսած գազի քանակությունը։
Այն կարող է կիրառվել նաև ջերմոցային գազերի կադաստրի հաշվարկման և Հայաստանի Հանրապետության էներգետիկ հաշվեկշռի կազմման ժամանակ:
2. Սույն մեթոդիկայի իմաստով ապօրինի սպառում է համարվում, երբ գազամատակարարման ցանցից բնական գազ է սպառվում առանց գազամատակարարման պայմանագրի։
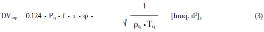
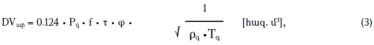
3. Գազամատակարարման ցանցում ապօրինի սպառման հետևանքով առաջացած անցքերից գազամատակարարման ցանցից արտահոսած բնական գազի քանակությունը հաշվարկվում է (1) բանաձևի հիման վրա՝ յուրաքանչյուր միջադեպի ուսումնասիրման արդյունքում կազմված ակտում ամրագրված տվյալների (միջադեպի հետևանքով առաջացած անցքի մակերես, արտահոսքի տևողություն, վնասված հատվածում բնական գազի ճնշում և բացարձակ ջերմաստիճան) հիման վրա`
1
4. Միջադեպի հետևանքով գազամատակարարման ցանցի գազատարների լրիվ բացվածքի դեպքում գազամատակարարման ցանցից արտահոսած բնական գազի քանակությունը հաշվարկվում է (2) և (3) բանաձևերի հիման վրա.
1) եթե գազամատակարարման ցանցի վնասված հատվածում ճնշումը ցածր է 0.09 ՄՊա (բնական գազի հոսքի մինչկրիտիկական ռեժիմ), ապա գազամատակարարման ցանցի գազատարներից և սարքավորումներից արտահոսքերի քանակությունների հաշվարկման համար կիրառվում է հետևյալ բանաձևը`
2) եթե գազամատակարարման ցանցի վնասված հատվածում ճնշումը հավասար կամ բարձր է 0.09 ՄՊա-ից (բնական գազի հոսքի կրիտիկական ռեժիմ), ապա գազամատակարարման ցանցի գազատարներից և սարքավորումներից արտահոսքերի քանակությունների հաշվարկման համար կիրառվում է հետևյալ բանաձևը`
5. Միջադեպի վերացման նպատակով գազամատակարարման ցանցի գազատարների կամ սարքավորումների դատարկման ընթացքում գազամատակարարման ցանցից արտահոսած բնական գազի քանակությունը հաշվարկվում է դատարկվող երկրաչափական ծավալում պարունակվող բնական գազի նորմալ պայմանների բերման բանաձևով՝ (4), որպես ելակետային ընդունվում են աշխատանքների կատարման ակտում ամրագրված տվյալները`
6. Սույն մեթոդիկայում սահմանված բանաձևերում օգտագործված ֆիզիկական մեծությունների նշագրերի մեկնաբանությունները՝
DVար -գազամատակարարման ցանցի գազատարների կամ տեխնոլոգիական սարքավորումների վնասվածքի պատճառով առաջացած անցքերից արտահոսած բնական գազի քանակությունն է,
DVդատ -վնասվածքի պատճառով առաջացած անցքերի վերացման նպատակով գազամատակարարման ցանցի գազատարի վնասված հատվածի կամ սարքավորումների (փական, կոճ և այլն) դատարկման հետևանքով գազամատակարարման ցանցից արտահոսած բնական գազի քանակությունն է,
Pգ -բնական գազի բացարձակ ճնշումը` գազամատակարարման ցանցի վնասված գազատարում կամ սարքավորումներում [Պա],
P0 -միջավայրի ճնշումն է, ուր արտահոսվում է գազը՝ անկախ գազատարների տեղադրման եղանակից, որն ընդունվում է հավասար տեղանքի մթնոլորտային ճնշման արժեքին [Պա],
Tգ -բնական գազի բացարձակ ջերմաստիճանն է գազամատակարարման ցանցի վնասված գազատարում [K],
f-գազամատակարարման ցանցի գազատարների կամ տեխնոլոգիական սարքավորումների վրա առաջացած անցքի մակերեսն է [մ2 ],
φ-գործակից, որը հաշվի է առնում բնական գազի արտահոսքի արագության անհավասարաչափությունը, φ = 0.97,
ρգ -բնական գազի խտությունն է ստանդարտ պայմաններում [կգ/մ3 ],
k-ադիաբատի ցուցիչն է բնական գազի համար, k=1.3,
Z-բնական գազի սեղմելիության գործակիցն է,
d-գազամատակարարման ցանցի վնասվածքի հետևանքով դատարկվող գազատարների ներքին տրամագծերն են [մ],
L-գազամատակարարման ցանցի վնասվածքի հետևանքով դատարկվող գազատարների երկարություններն են [կմ],
τ-գազամատակարարման ցանցից բնական գազի արտահոսքի տևողությունն է [ժամ], երբ արտահոսքի տևողությունը հնարավոր չէ որոշել, ապա արտահոսքի տևողության հաշվարկային մեծությունն ընդունվում է հավասար`
ա. 960 ժամ` վերգետնյա գազատարից կամ տեխնոլոգիական սարքավորումից արտահոսքի դեպքում,
բ. 1440 ժամ` ստորգետնյա գազատարից կամ տեխնոլոգիական սարքավորումից արտահոսքի դեպքում:
(հավելվածը խմբ. 12.10.23 N 1743-Ն)