«Գրանցված է»
ՀՀ արդարադատության
նախարարության կողմից
2 մայիսի 2007 թ.
Պետական գրանցման թիվ 05007192
ՀԱՅԱՍՏԱՆԻ ՀԱՆՐԱՊԵՏՈՒԹՅԱՆ
ԿԵՆՏՐՈՆԱԿԱՆ ԲԱՆԿԻ ԽՈՐՀՈՒՐԴ
|
9 փետրվարի 2007 թ. |
N 39-Ն |
Ո Ր Ո Շ ՈՒ Մ
«ԲԱՆԿԵՐԻ ԳՈՐԾՈՒՆԵՈՒԹՅԱՆ ԿԱՐԳԱՎՈՐՈՒՄԸ, ԲԱՆԿԱՅԻՆ ԳՈՐԾՈՒՆԵՈՒԹՅԱՆ ՀԻՄՆԱԿԱՆ ՏՆՏԵՍԱԿԱՆ ՆՈՐՄԱՏԻՎՆԵՐԸ» ԿԱՆՈՆԱԿԱՐԳ 2-Ը ՀԱՍՏԱՏԵԼՈՒ ՄԱՍԻՆ
Հիմք ընդունելով «Բանկերի և բանկային գործունեության մասին» Հայաստանի Հանրապետության օրենքի 4-րդ և 5-րդ գլուխները, «Արժութային կարգավորման և արժութային վերահսկողության մասին» Հայաստանի Հանրապետության օրենքի 5-րդ և 7-րդ հոդվածները, «Իրավական ակտերի մասին» Հայաստանի Հանրապետության օրենքի 16-րդ հոդվածը, ղեկավարվելով «Հայաստանի Հանրապետության կենտրոնական բանկի մասին» Հայաստանի Հանրապետության օրենքի 20-րդ հոդվածի «ե» կետով՝ Հայաստանի Հանրապետության կենտրոնական բանկի խորհուրդը որոշում է.
1. Հաստատել՝
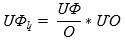
1.1. «Բանկերի գործունեության կարգավորումը, բանկային գործունեության հիմնական տնտեսական նորմատիվները» կանոնակարգ 2-ը՝ համաձայն հավելված 1-ի (կցվում է):
1.2. (կետն ուժը կորցրել է 20.12.11 թիվ 354-Ն)
1.3. «Բանկերի գործունեության կարգավորումը, բանկային գործունեության հիմնական տնտեսական նորմատիվները» կանոնակարգ 2-ի անբաժանելի մաս կազմող «Վարկային ռիսկի հաշվարկը»՝ համաձայն հավելված 3-ի (կցվում է):
1.4. «Բանկերի գործունեության կարգավորումը, բանկային գործունեության հիմնական տնտեսական նորմատիվները» կանոնակարգ 2-ի անբաժանելի մաս կազմող «Շուկայական ռիսկի հաշվարկը»՝ համաձայն հավելված 4-ի (կցվում է):
1.5. «Բանկերի գործունեության կարգավորումը, բանկային գործունեության հիմնական տնտեսական նորմատիվները» կանոնակարգ 2-ի անբաժանելի մաս կազմող «Գործառնական ռիսկի հաշվարկը»՝ համաձայն հավելված 5-ի (կցվում է):
1.6. «Բանկերի գործունեության կարգավորումը, բանկային գործունեության հիմնական տնտեսական նորմատիվները» կանոնակարգ 2-ի անբաժանելի մաս կազմող «50 տոկոս ռիսկի կշռին բավարարող հիփոթեքային վարկերի տրամադրման նվազագույն պայմանները»՝ համաձայն հավելված 6-ի (կցվում է):
1.7. Հայաստանի Հանրապետության տարածքում գործող օտարերկրյա բանկերի մասնաճյուղերի կողմից Հայաստանի Հանրապետության տարածքում ավանդներ ընդունելու համար լրացուցիչ պայմանները»՝ համաձայն հավելված 1-ի (կցվում է):
(1.7-րդ կետը լրաց. 27.11.12 թիվ 325-Ն)
2. Սույն որոշումն ուժի մեջ մտնելու պահից ուժը կորցրած ճանաչել Հայաստանի Հանրապետության կենտրոնական բանկի խորհրդի 2004 թվականի սեպտեմբերի 20-ի ««Բանկերի գործունեության կարգավորումը, բանկային գործունեության հիմնական տնտեսական նորմատիվները» կանոնակարգ 2-ը նոր խմբագրությամբ հաստատելու մասին» թիվ 237-Ն որոշումը:
3. Սույն որոշումն ուժի մեջ է մտնում 2008 թվականի հունվարի 1-ից:
|
ՀՀ կենտրոնական |
Տ. Սարգսյան |
|
|
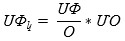
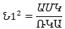
Հավելված 1
Հաստատված է
ՀՀ կենտրոնական բանկի խորհրդի
2007 թվականի փետրվարի 9-ի
թիվ 39-Ն որոշմամբ
ԲԱՆԿԵՐԻ ԳՈՐԾՈՒՆԵՈՒԹՅԱՆ ԿԱՐԳԱՎՈՐՈՒՄԸ, ԲԱՆԿԱՅԻՆ ԳՈՐԾՈՒՆԵՈՒԹՅԱՆ ՀԻՄՆԱԿԱՆ ՏՆՏԵՍԱԿԱՆ ՆՈՐՄԱՏԻՎՆԵՐԸ
Կ Ա Ն Ո Ն Ա Կ Ա Ր Գ 2
Գ Լ ՈՒ Խ I
ԿԱՆՈՆԱԿԱՐԳԻ ԿԱՐԳԱՎՈՐՄԱՆ ԱՌԱՐԿԱՆ
1. Սույն կանոնակարգը սահմանված է «Բանկերի և բանկային գործունեության մասին» Հայաստանի Հանրապետության օրենքի դրույթների համաձայն և կարգավորում է Հայաստանի Հանրապետության տարածքում գործող բանկերի և օտարերկրյա բանկերի մասնաճյուղերի թղթակցային հաշիվների բացումը և վարումը, դրանց համար սահմանվող հիմնական տնտեսական նորմատիվների հաշվարկման կարգը, հաշվարկին մասնակցող տարրերի կազմը և սահմանաչափերը:
(1-ին կետը փոփ. 20.12.11 թիվ 354-Ն)
Գ Լ ՈՒ Խ II
ԲԱՆԿԵՐԻ ԻՆՎԵՍՏԻՑԻՈՆ ԵՎ ԲԱԺԱՆՈՐԴԱԳՐԱԿԱՆ ԳՈՐԾՈՒՆԵՈՒԹՅՈՒՆԸ
(գլուխն ուժը կորցրել է 20.12.11 թիվ 354-Ն)
Գ Լ ՈՒ Խ III
ԲԱՆԿԵՐԻ ԿՈՂՄԻՑ ԹՂԹԱԿՑԱՅԻՆ ՀԱՇԻՎՆԵՐԻ ԲԱՑՈՒՄԸ
8. Բանկերը և օտարերկրյա բանկերի մասնաճյուղերը Հայաստանի Հանրապետության կենտրոնական բանկում (այսուհետ` Կենտրոնական բանկ) բացում են Հայաստանի Հանրապետության դրամով և արտարժույթով թղթակցային հաշիվներ:
(8-րդ կետը փոփ. 26.06.12 թիվ 168-Ն)
9. Բանկերը և օտարերկրյա բանկերի մասնաճյուղերը կարող են Հայաստանի Հանրապետության դրամով և արտարժույթով թղթակցային հաշիվներ բացել Հայաստանի Հանրապետության տարածքում և արտասահմանում գործող բանկերում: Բանկերը և օտարերկրյա բանկերի մասնաճյուղերը կարող են անկանխիկ ոսկով թղթակցային հաշիվներ բացել Հայաստանի Հանրապետության տարածքում և արտասահմանում գործող բանկերում: Հաշվի բացման մասին հաշվետեր բանկը պետք է հինգ աշխատանքային օրվա ընթացքում գրավոր տեղեկացնի Կենտրոնական բանկին:
(9-րդ կետը լրաց. 08.02.11 թիվ 26-Ն)
10. Սույն կանոնակարգի և սույն կանոնակարգի հիման վրա Կենտրոնական բանկի ընդունած այլ իրավական ակտերի իմաստով՝ «նոստրո» հաշիվը թղթակից բանկում տվյալ բանկի անունով բացված Հայաստանի Հանրապետության դրամով, արտարժույթով, այդ թվում` անկանխիկ ոսկով հաշիվն է, իսկ «լորո» հաշիվը՝ թղթակից բանկի անունով տվյալ բանկում բացված Հայաստանի Հանրապետության դրամով, արտարժույթով, այդ թվում` անկանխիկ ոսկով հաշիվը:
(10-րդ կետը փոփ. 08.02.11 թիվ 26-Ն)
Գ Լ ՈՒ Խ IV
ԲԱՆԿԱՅԻՆ ԳՈՐԾՈՒՆԵՈՒԹՅԱՆ ՀԻՄՆԱԿԱՆ ՏՆՏԵՍԱԿԱՆ ՆՈՐՄԱՏԻՎՆԵՐԸ ԵՎ ԴՐԱՆՑ ՍԱՀՄԱՆԱՉԱՓԵՐԸ
11. Կենտրոնական բանկը բանկերի համար սահմանում է բանկային գործունեության հետևյալ հիմնական տնտեսական նորմատիվները.
1) բանկի կանոնադրական կապիտալի և ընդհանուր կապիտալի նվազագույն չափերը (բացառությամբ` օտարերկրյա բանկերի մասնաճյուղերի),
2) բանկի կապիտալի համարժեքության նորմատիվները.
ա. առաջին մակարդակի հիմնական կապիտալի համարժեքության նորմատիվ,
բ. առաջին մակարդակի կապիտալի համարժեքության նորմատիվ,
գ. ընդհանուր կապիտալի համարժեքության նորմատիվ,
3) բանկի իրացվելիության նորմատիվները.
ա. բանկի բարձր իրացվելի ակտիվների և ընդհանուր ակտիվների գումարների միջև սահմանային հարաբերակցությունը (ընդհանուր իրացվելիություն).
բ. բանկի բարձր իրացվելի ակտիվների և ցպահանջ պարտավորությունների միջև սահմանային հարաբերակցությունը (ընթացիկ իրացվելիություն),
գ. բանկի բարձր իրացվելի ակտիվների և զուտ դրամական արտահոսքի միջև սահմանային հարաբերակցությունը (իրացվելիության ծածկույթի նորմատիվ),
դ. բանկին հասանելի կայուն միջոցների և բանկին անհրաժեշտ կայուն միջոցների միջև սահմանային հարաբերակցությունը (զուտ կայուն ֆինանսավորման նորմատիվ),
4) մեկ փոխառուի, խոշոր փոխառուների գծով ռիսկի առավելագույն չափը (չափերը).
ա. մեկ փոխառուի գծով ռիսկի առավելագույն չափը.
բ. խոշոր փոխառուների գծով ռիսկի առավելագույն չափը.
5) բանկի հետ կապված մեկ անձի, բոլոր անձանց գծով ռիսկի առավելագույն չափը (չափերը).
ա. բանկի հետ կապված մեկ անձի գծով ռիսկի առավելագույն չափը,
բ. բանկի հետ կապված բոլոր անձանց գծով ռիսկի առավելագույն չափը,
6) Կենտրոնական բանկում տեղաբաշխվող պարտադիր պահուստների նվազագույն չափը.
ա. Հայաստանի Հանրապետության դրամով ներգրավված միջոցների դիմաց.
բ. արտարժույթով ներգրավված միջոցների դիմաց,
7) արտարժույթի տնօրինման նորմատիվները.
ա. յուրաքանչյուր արտարժույթի գծով դիրքի նորմատիվ,
բ. բոլոր արտարժույթների գծով դիրքի նորմատիվ,
8) պահանջի և գրավի արժեքի սահմանային հարաբերակցության չափը (չափերը):
(11-րդ կետը լրաց. 14.10.09 թիվ 297-Ն, 27.11.12 թիվ 325-Ն, խմբ. 24.06.14 թիվ 146-Ն, լրաց. 17.04.20 թիվ 55-Ն, 28.09.21 թիվ 141-Ն, խմբ. 23.09.22 թիվ 158-Ն, 15.11.22 թիվ 195-Ն)
12. Օտարերկրյա բանկերի մասնաճյուղերի համար սահմանվող` Հայաստանի Հանրապետության տարածքում ավանդներ ընդունելու համար լրացուցիչ պայմանները սահմանվում են` համաձայն սույն կանոնակարգի Հավելված 8-ի:
(12-րդ կետը խմբ. 27.11.12 թիվ 325-Ն)
13. (կետն ուժը կորցրել է 14.11.17 թիվ 257-Ն)
14. Բանկերի կանոնադրական կապիտալի համալրման կարգը և արժույթը սահմանվում են Կենտրոնական բանկի խորհրդի 2005 թվականի ապրիլի 12-ի թիվ 145-Ն որոշմամբ հաստատված «Բանկերի և օտարերկրյա բանկերի մասնաճյուղերի գրանցումն ու լիցենզավորումը, բանկերի մասնաճյուղերի և ներկայացուցչությունների գրանցումը, բանկերի և օտարերկրյա բանկերի մասնաճյուղերի ղեկավարների որակավորումը և գրանցումը» կանոնակարգ 1-ով սահմանված կարգով:
15. Բանկի կանոնադրական կապիտալի նվազագույն չափը մեկ միլիարդ (1.000.000.000) Հայաստանի Հանրապետության դրամ է: Մինչև 2005 թվականի հունիսի 28-ը բանկերի կանոնադրական կապիտալի արտարժույթով համալրված մասը վերագնահատման ենթակա չէ:
(15-րդ կետը խմբ. 15.11.22 թիվ 195-Ն)
16. Առևտրային բանկերի համար ընդհանուր կապիտալի նվազագույն չափը սահմանվում է երեսուն միլիարդ (30.000.000.000) Հայաստանի Հանրապետության դրամ:
(16-րդ կետը խմբ. 24.06.14 թիվ 146-Ն, 30.12.14 թիվ 376-Ն, 03.02.17 թիվ 31-Ն)
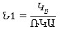
16.1. Առաջին մակարդակի հիմնական կապիտալի համարժեքության նորմատիվը (Ն11 նորմատիվ) սահմանվում է նվազագույնը 6.2 տոկոս:
(16.1-ին կետը լրաց. 24.06.14 թիվ 146-Ն, փոփ. 21.01.15 թիվ 6-Ն, խմբ. 08.05.20 թիվ 73-Ն, 15.11.22 թիվ 195-Ն)
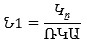
16.2. Առաջին մակարդակի կապիտալի համարժեքության նորմատիվը (Ն12 նորմատիվ) սահմանվում է նվազագույնը 8.3 տոկոս:
(16.2-րդ կետը լրաց. 15.11.22 թիվ 195-Ն)
17. Ընդհանուր կապիտալի համարժեքության նորմատիվը (Ն1 նորմատիվ) սահմանվում է նվազագույնը 11 տոկոս:
(17-րդ կետը փոփ. 24.06.14 թիվ 146-Ն, խմբ. 15.11.22 թիվ 195-Ն)
18. Բանկի բոլոր արժույթներով արտահայտված բարձր իրացվելի ակտիվների և բոլոր արժույթներով արտահայտված ընդհանուր ակտիվների գումարների միջև նվազագույն հարաբերակցությունը (Ն21 նորմատիվ) սահմանվում է 15 տոկոս:
(18-րդ կետը փոփ. 18.09.07 N 297-Ն, խմբ. 26.06.12 թիվ 168-Ն)
18.1. Բանկի առաջին խմբի արտարժույթներով արտահայտված բարձր իրացվելի ակտիվների և առաջին խմբի արտարժույթներով արտահայտված ընդհանուր ակտիվների գումարների միջև նվազագույն հարաբերակցությունը (Ն211 նորմատիվ) սահմանվում է 4 տոկոս:
(18.1-ին կետը լրաց. 26.06.12 թիվ 168-Ն)
18.2. Այն դեպքում, երբ երկրորդ խմբի որևէ արտարժույթով արտահայտված պարտավորությունները ամսվա միջին օրական հաշվարկով գերազանցում են բանկի ընդհանուր պարտավորությունների 5 տոկոսը, ապա յուրաքանչյուր այդպիսի երկրորդ խմբի արտարժույթի համար տվյալ ամսվան հաջորդող ամսվա համար հաշվարկվում է Ն212 նորմատիվ, որն իրենից ներկայացնում է ԱՄՆ դոլարով, եվրոյով և այդ արտարժույթով արտահայտված բարձր իրացվելի ակտիվների ու ԱՄՆ դոլարով, եվրոյով և այդ արտարժույթով արտահայտված ընդհանուր ակտիվների գումարների միջև հարաբերակցություն: Ն212 նորմատիվի նվազագույն մեծությունը սահմանվում է 4 տոկոս:
(18.2-րդ կետը լրաց. 26.06.12 թիվ 168-Ն)
19. Բանկի բոլոր արժույթներով արտահայտված բարձր իրացվելի ակտիվների և բոլոր արժույթներով արտահայտված ցպահանջ պարտավորությունների միջև նվազագույն հարաբերակցությունը (Ն22 նորմատիվ) սահմանվում է 60 տոկոս:
(19-րդ կետը խմբ. 26.06.12 թիվ 168-Ն)
19.1. Բանկի առաջին խմբի արտարժույթներով արտահայտված բարձր իրացվելի ակտիվների և առաջին խմբի արտարժույթներով արտահայտված ցպահանջ պարտավորությունների միջև նվազագույն հարաբերակցությունը (Ն221 նորմատիվ) սահմանվում է 10 տոկոս:
(19.1-ին կետը լրաց. 26.06.12 թիվ 168-Ն)
19.2. Այն դեպքում, երբ երկրորդ խմբի որևէ արտարժույթով արտահայտված պարտավորությունները ամսվա միջին օրական հաշվարկով գերազանցում են բանկի ընդհանուր պարտավորությունների 5 տոկոսը, ապա յուրաքանչյուր այդպիսի երկրորդ խմբի արտարժույթի համար տվյալ ամսվան հաջորդող ամսվա համար հաշվարկվում է Ն222 նորմատիվ, որն իրենից ներկայացնում է ԱՄՆ դոլարով, եվրոյով և այդ արտարժույթով արտահայտված բարձր իրացվելի ակտիվների ու ԱՄՆ դոլարով, եվրոյով և այդ արտարժույթով արտահայտված ցպահանջ պարտավորությունների միջև հարաբերակցություն: Ն222 նորմատիվի նվազագույն մեծությունը սահմանվում է 10 տոկոս:
(19.2-րդ կետը լրաց. 26.06.12 թիվ 168-Ն)
19.3. Բանկի բարձր իրացվելի ակտիվների և զուտ դրամական արտահոսքի միջև նվազագույն հարաբերակցությունը սահմանվում է.
1) Բոլոր արժույթներով՝ 100% (Ն23 նորմատիվ):
2) Յուրաքանչյուր նշանակալի արժույթի գծով՝ 80% մինչև 2021 թվականի դեկտեմբերի 31-ը, 100%՝ 2022 թվականի հունվարի 1-ից (Ն23 (FX) նորմատիվ, որտեղ FX-ը տվյալ արժույթի ISO (ԻՍՕ) 4217 կոդն է):
3) Առաջին խմբում ներառված նշանակալի արժույթների խմբի գծով՝ սույն կետի 2-րդ ենթակետով սահմանված սահմանաչափը՝ առաջին խմբում ներառվող մեկից ավելի նշանակալի արժույթների առկայության դեպքում: Տվյալ դեպքում սույն կետի 2-րդ ենթակետով սահմանված սահմանաչափը չի գործում առաջին խմբում ներառվող յուրաքանչյուր նշանակալի արժույթի գծով առանձին:
(19.3-րդ կետը լրաց. 17.04.20 թիվ 55-Ն, խմբ. 12.10.21 թիվ 153-Ն)
19.4. Բանկին հասանելի կայուն միջոցների և բանկին անհրաժեշտ կայուն միջոցների միջև նվազագույն հարաբերակցությունը սահմանվում է.
1) Բոլոր արժույթներով՝ 100% (Ն24 նորմատիվ),
2) Յուրաքանչյուր նշանակալի արժույթի գծով 80%՝ մինչև 2021 թվականի դեկտեմբերի 31-ը, 100%՝ 2022 թվականի հունվարի 1-ից (Ն24(FX) նորմատիվ, որտեղ FX-ը տվյալ արժույթի ISO (ԻՍՕ) 4217 կոդն է):
3) Առաջին խմբում ներառված նշանակալի արժույթների խմբի գծով՝ սույն կետի 2-րդ ենթակետով սահմանված սահմանաչափը՝ առաջին խմբում ներառվող մեկից ավելի նշանակալի արժույթների առկայության դեպքում: Տվյալ դեպքում սույն կետի 2-րդ ենթակետով սահմանված սահմանաչափը չի գործում առաջին խմբում ներառվող յուրաքանչյուր նշանակալի արժույթի գծով առանձին:
(19.4-րդ կետը լրաց. 17.04.20 թիվ 55-Ն, խմբ. 12.10.21 թիվ 153-Ն)
20. Մեկ փոխառուի գծով ռիսկի առավելագույն չափը (Ն31 նորմատիվ) չպետք է գերազանցի ընդհանուր կապիտալի 20 տոկոսը:
21. Խոշոր փոխառուների գծով ռիսկի առավելագույն չափը (Ն32 նորմատիվ) չպետք է գերազանցի ընդհանուր կապիտալի 500 տոկոսը:
22. Բանկի հետ կապված մեկ անձի գծով ռիսկի առավելագույն չափը (Ն41 նորմատիվ) չպետք է գերազանցի ընդհանուր կապիտալի 5 տոկոսը:
23. Բանկի հետ կապված բոլոր անձանց գծով ռիսկի առավելագույն չափը (Ն42 նորմատիվ) չպետք է գերազանցի ընդհանուր կապիտալի 20 տոկոսը:
24. Հայաստանի Հանրապետության տարածքում գործող բանկերի և օտարերկրյա բանկերի` Հայաստանի Հանրապետության տարածքում գործող մասնաճյուղերի կողմից Հայաստանի Հանրապետության դրամով ներգրավված միջոցների դիմաց Կենտրոնական բանկում դրամով տեղաբաշխվող պարտադիր պահուստների նվազագույն չափը սահմանվում է ներգրավված միջոցների 4 տոկոսի չափով` բացառությամբ սույն կանոնակարգի 24.1.1 կետով սահմանված դեպքերի:
(24-րդ կետը խմբ. 21.11.07 թիվ 368-Ն, փոփ. 01.02.11 թիվ 21-Ն, 16.04.13 թիվ 101-Ն, 24.12.13 թիվ 299-Ն, լրաց. 21.01.15 թիվ 6-Ն, խմբ. 24.02.15 թիվ 44-Ն, փոփ. 16.04.21 թիվ 46-Ն)
24.1. Հայաստանի Հանրապետության տարածքում գործող բանկերի և օտարերկրյա բանկերի՝ Հայաստանի Հանրապետության տարածքում գործող մասնաճյուղերի կողմից արտարժույթով, ինչպես նաև առարկայազուրկ մետաղական հաշիվներով (այսուհետ` մետաղական հաշիվ) ներգրավված միջոցների դիմաց Կենտրոնական բանկում տեղաբաշխվող պարտադիր պահուստների նվազագույն չափը սահմանվում է ներգրավված միջոցների 18 տոկոսի չափով:
(24.1-ին կետը լրաց. 21.11.07 թիվ 368-Ն, խմբ. 16.03.10 թիվ 46-Ն, փոփ. 27.07.10 թիվ 171-Ն, 01.02.11 թիվ 21-Ն, լրաց. 08.02.11 թիվ 26-Ն, խմբ. 22.11.11 թիվ 305-Ն, 17.12.14 թիվ 365-Ն, փոփ. 23.12.14 թիվ 369-Ն, լրաց. 21.01.15 թիվ 6-Ն, խմբ. 24.02.15 թիվ 44-Ն, 10.11.15 թիվ 236-Ն, փոփ. 20.09.16 թիվ 146-Ն, 03.02.17 թիվ 31-Ն, 16.04.21 թիվ 46-Ն, 19.04.21 թիվ 47-Ն)
24.1.1. Սույն կանոնակարգի Հավելված 11-ի 1.2 կամ 1.4 կետերի պահանջներին բավարարող պարտատոմսերով և Հավելված 11-ի 2-րդ կետով սահմանված Հայաստանի Հանրապետության դրամով ներգրավված միջոցների դիմաց Կենտրոնական բանկում տեղաբաշխվող պարտադիր պահուստների նվազագույն չափը սահմանվում է 0 տոկոսի չափով:
(24.1.1-ին կետը լրաց. 24.02.15 թիվ 44-Ն, խմբ. 10.11.15 թիվ 236-Ն, փոփ. 16.04.21 թիվ 46-Ն)
24.1.2. (կետն ուժը կորցրել է 19.04.21 թիվ 47-Ն)
24.1.3. (կետն ուժը կորցրել է 16.04.21 թիվ 46-Ն)
24.1.4. (կետն ուժը կորցրել է 16.04.21 թիվ 46-Ն)
24.1.5. (կետն ուժը կորցրել է 20.09.16 թիվ 146-Ն)
24.2. Արտարժույթի տնօրինման նորմատիվները հաշվարկվում են սույն Կանոնակարգի Գլուխ 6․1-ի համաձայն, և սահմանվում է.
1) առավելագույնը 7%՝ յուրաքանչյուր արտարժույթի գծով դիրքի նորմատիվի համար,
2) առավելագույնը 10%` բոլոր արտարժույթների գծով դիրքի նորմատիվի համար:
(24.2-րդ կետը լրաց. 14.10.09 թիվ 297-Ն, խմբ. 19.03.10 թիվ 53-Ն, 23.09.22 թիվ 158-Ն)
24.3. Պահանջի և գրավի արժեքի սահմանային հարաբերակցության առավելագույն չափը (չափերը) (Ն51 և Ն52 նորմատիվներ) սահմանված են սույն կանոնակարգի Գլուխ 6-ով։
(24.3-րդ կետը լրաց. 28.09.21 թիվ 141-Ն)
Գ Լ ՈՒ Խ V
ՀԻՄՆԱԿԱՆ ՏՆՏԵՍԱԿԱՆ ՆՈՐՄԱՏԻՎՆԵՐԻ ՀԱՇՎԱՐԿՄԱՆ ԿԱՐԳԸ ԵՎ ՀԱՇՎԱՐԿԻՆ ՄԱՍՆԱԿՑՈՂ ՏԱՐՐԵՐԻ ԿԱԶՄԸ
25. Բանկի հիմնական տնտեսական նորմատիվները հաշվարկվում են հետևյալ պարբերականությամբ.
1) կանոնադրական կապիտալի և ընդհանուր կապիտալի նվազագույն չափերը, Ն11, Ն12, Ն1, Ն21, Ն211, Ն212, Ն22, Ն221, Ն222, Ն24, Ն24 (FX), Ն31, Ն32, Ն41, Ն42 հիմնական տնտեսական նորմատիվները՝ ամսական կտրվածքով,
2) Ն23, Ն23 (FX) հիմնական տնտեսական նորմատիվները՝ շաբաթական կտրվածքով,
3) պարտադիր պահուստավորման նորմատիվը՝ որպես կանոն, 28 կամ 35 օրերի կտրվածքով՝ ըստ Կենտրոնական բանկի կողմից սահմանված պահուստավորման օրացույցի,
4) արտարժույթի տնօրինման նորմատիվները՝ օրական կտրվածքով,
5) Ն51 և Ն52 հիմնական տնտեսական նորմատիվները անշարժ գույքով ապահովված վարկի տրամադրման վերաբերյալ որոշում կայացնելիս։
(25-րդ կետը փոփ. 18.11.08 թիվ 325-Ն, լրաց. 14.10.09 թիվ 297-Ն, 27.07.10 թիվ 171-Ն, փոփ. 26.06.12 թիվ 168-Ն, 24.06.14 թիվ 146-Ն, լրաց. 17.04.20 թիվ 55-Ն, փոփ. 12.10.21 թիվ 153-Ն, խմբ. 28.09.21 թիվ 141-Ն, փոփ. 23.09.22 թիվ 158-Ն, 15.11.22 թիվ 195-Ն)
26. Հիմնական տնտեսական նորմատիվների և չբաշխված շահույթի հաշվարկում վարկերի ու դեբիտորական պարտքերի, ինչպես նաև ինվեստիցիոն արժեթղթերում ներդրումների հնարավոր կորուստների պահուստներն ընդգրկվում են Հայաստանի Հանրապետության ֆինանսների նախարարի 2021 թվականի հունիսի 16-ի թիվ 2-Ն և Հայաստանի Հանրապետության կենտրոնական բանկի խորհրդի 2021 թվականի մարտի 30-ի թիվ 39-Ն համատեղ որոշմամբ սահմանված «Հայաստանի Հանրապետության տարածքում գործող բանկերի և վարկային կազմակերպությունների ֆինանսական ակտիվների դասակարգման և հնարավոր կորուստների ձևավորման» և Կենտրոնական բանկի խորհրդի 1998 թվականի սեպտեմբերի 15-ի թիվ 188 որոշմամբ հաստատված «Հայաստանի Հանրապետության տարածքում գործող բանկերի ինվեստիցիոն արժեթղթերում ներդրումների հնարավոր կորուստների պահուստի ձևավորման և օգտագործման» կարգերին (այսուհետ՝ Ակտիվների դասակարգման և պահուստավորման կարգ) համապատասխան հաշվարկված գումարների չափով: Սույն Կանոնակարգի իմաստով ընդհանուր պահուստը ներառում է ստանդարտ դասով դասակարգված ակտիվների և ոչ ռիսկային դասակարգված արժեթղթերի գծով ձևավորված հնարավոր կորուստների պահուստները, իսկ հատուկ պահուստը ներառում է հսկվող, ոչ ստանդարտ, կասկածելի, անհուսալի դասակարգված ակտիվների և ռիսկային, միջին ռիսկային, բարձր ռիսկային, անհուսալի դասով դասակարգված արժեթղթերի գծով ձևավորված հնարավոր կորուստների պահուստները:
(26-րդ կետը փոփ. 28.09.21 թիվ 141-Ն, լրաց. 15.11.22 թիվ 195-Ն)
27. Բանկը պարտավոր է յուրաքանչյուր ամսվա միջին օրական հաշվարկով (ամսվա ընթացքում ընդհանուր կապիտալի օրական մեծությունների հանրագումարը հարաբերած ամսվա օրերի թվին) ապահովել ընդհանուր կապիտալի նվազագույն չափը:
(27-րդ կետը փոփ. 15.11.22 թիվ 195-Ն)
28. Բանկի ընդհանուր կապիտալը նրա առաջին և երկրորդ մակարդակի կապիտալների հանրագումարն է:
(28-րդ կետը խմբ. 24.06.14 թիվ 146-Ն, 21.01.15 թիվ 6-Ն, 08.05.20 թիվ 73-Ն, 15.11.22 թիվ 195-Ն)
28.1. Բանկի առաջին մակարդակի կապիտալը բանկի՝ առաջին մակարդակի հիմնական կապիտալի և առաջին մակարդակի լրացուցիչ կապիտալի հանրագումարն է` համապատասխան նվազեցումները և ճշգրտումները կատարելուց հետո:
(28.1-ին կետը խմբ. 18.09.07 N 297-Ն, փոփ. 23.05.08 թիվ 163-Ն, լրաց. 14.10.09 թիվ 297-Ն, խմբ., լրաց. 19.03.10 թիվ 54-Ն, լրաց. 08.02.11 թիվ 26-Ն, փոփ. 12.04.11 թիվ 94-Ն, խմբ., լրաց. 20.12.11 թիվ 354-Ն, լրաց. 23.07.13 թիվ 179-Ն, խմբ., լրաց. 24.06.14 թիվ 146-Ն, լրաց., խմբ., փոփ. 11.10.19 թիվ 161-Ն, խմբ. 15.11.22 թիվ 195-Ն)
28.2. Բանկի առաջին մակարդակի հիմնական կապիտալի կազմում ընդգրկվում են հետևյալ տարրերը.
1) ամբողջությամբ վճարված սովորական բաժնետոմսերը, բաժնեմասերը կամ փայերը (այսուհետ՝ սովորական բաժնետոմս) հետևյալ արժեքով՝ անվանական արժեքի և սովորական բաժնետոմսերից էմիսիոն եկամտի գումարից նվազեցրած զեղչ,
2) չբաշխված շահույթը կամ վնասը, ընդ որում չբաշխված շահույթը հաշվարկում ներառվում է սույն Կանոնակարգի Հավելված 14-ի Գլուխ 1-ի համաձայն,
3) այլ համապարփակ եկամտի տարրերը և հաշվեկշռային կապիտալում հաշվառվող պահուստները:
(28.2-րդ կետը խմբ. 18.09.07 N 297-Ն, լրաց. 18.11.08 թիվ 325-Ն, 14.10.09 թիվ 297-Ն, խմբ., լրաց. 24.06.14 թիվ 146-Ն, խմբ. 15.11.22 թիվ 195-Ն)
28.3. Բանկի առաջին մակարդակի հիմնական կապիտալը նվազեցվում է.
1) բանկի կողմից թողարկված այն սովորական բաժնետոմսերի անվանական արժեքի չափով, որոնք`
ա. հետ են գնվել բանկի կողմից, եթե արդեն իսկ չեն նվազեցվում առաջին մակարդակի կապիտալից՝ կիրառվող հաշվապահական հաշվառման ստանդարտների համաձայն, կամ
բ. ձեռք են բերվել այնպիսի կազմակերպությունների կողմից, որոնցում բանկը նշանակալից մասնակից է, կամ ձեռք են բերվել բանկի անուղղակի ֆինանսավորմամբ, կամ
գ. բանկը, որևէ իրավաբանական փաստաթղթի հիման վրա, պարտավոր է կամ կարող է պարտավորվել ձեռք բերել հետագայում (բացառությամբ` օրենսդրությամբ նախատեսված պարտադիր հետգնման դեպքերի), կամ
դ. ապահովված են բանկի հետ փոխկապակցված անձանց երաշխիքով կամ երաշխավորությամբ, կամ որոնց սեփականատերերը տնտեսապես կամ իրավական տեսանկյունից ավելի բարենպաստ կարգավիճակում են հայտնվում այն բանի արդյունքում, որ նրանց` սովորական բաժնետոմսի նկատմամբ սեփականության իրավունքից բխող պահանջը, կանոնադրության համաձայն կամ որևէ այլ կերպ ենթակա է բավարարման ավելի շուտ, քան օրենքով տվյալ պահանջի համար սահմանված բավարարման հերթը:
2) բանկի կողմից տրամադրված երկարաժամկետ ստորադաս փոխառությունների հաշվեկշռային արժեքի չափով: Ընդ որում, սույն ենթակետի իմաստով՝ երկարաժամկետ ստորադաս փոխառություն է համարվում Հայաստանի Հանրապետության քաղաքացիական օրենսգրքով նախատեսված այն ստորադաս փոխառությունը, որը տրամադրվել է առնվազն հինգ տարի ժամկետով:
3) ոչ նյութական ակտիվների և օգտագործման իրավունքի ձևով ակտիվների (հիմքում՝ ոչ նյութական ակտիվներ) (բացառությամբ` սույն կետի 4-րդ ենթակետով սահմանված ակտիվների), դրանց վրա կատարված կապիտալ ներդրումների հաշվեկշռային արժեքի (այդ թվում՝ այլ համապարփակ եկամտում գրանցված վերագնահատման արդյունքը) չափով:
4) ծրագրային ապահովումների և դրանց օգտագործման իրավունքների, տեղեկատվական և կիբեռանվտանգության ապահովման համար ներդրվող լուծումների (օրինակ՝ կրիպտոգրաֆիայի, թոքենիզացիայի), առանց շփման տեխնոլոգիաների ծրագրերի (օրինակ՝ ՔՅՈՒԱՐ, ԷՆԷՖՍԻ), հեռահար նույնականացման տեխնոլոգիաների ծրագրերի, զեղծարար գործողությունների բացահայտման ծրագրերի, ամպային ծառայությունների, ինչպես նաև տեղեկատվական տեխնոլոգիաների ոլորտում կիրառվող ստանդարտների և դրանց համապատասխանության սերտիֆիկացման (այսուհետ՝ Ծրագրային ակտիվների) գծով ոչ նյութական ակտիվների, դրանց վրա կատարված կապիտալ ներդրումների հաշվեկշռային արժեքների (այդ թվում՝ այլ համապարփակ եկամտում գրանցված վերագնահատման արդյունքը)՝ բանկի առաջին մակարդակի հիմնական կապիտալի տարրերի հանրագումարի՝ 10 տոկոսը գերազանցող գումարի չափով` մինչև 2023 թվականի դեկտեմբերի 31-ը, իսկ 2024 թվականի հունվարի 1-ից սկսած՝ 15 տոկոսը գերազանցող գումարի չափով: Ընդ որում, սույն ենթակետով սահմանված հաշվարկի ժամանակ առաջին մակարդակի հիմնական կապիտալի տարրերի հանրագումարը նվազեցվում է հիմնական միջոցների, այլ նյութական ակտիվների, Ծրագրային ակտիվների արժեքի վերագնահատման արդյունքում ձևավորված այլ համապարփակ եկամտի չափով:
5) հիմնական միջոցների, այլ նյութական ակտիվների (բացառությամբ սույն կետի 6-րդ ենթակետով սահմանված անշարժ գույքի) և օգտագործման իրավունքի ձևով ակտիվների (հիմքում՝ նյութական ակտիվներ), դրանց վրա կատարված կապիտալ ներդրումների հաշվեկշռային արժեքների (այդ թվում՝ այլ համապարփակ եկամտում գրանցված վերագնահատման արդյունքը)` բանկի առաջին մակարդակի հիմնական կապիտալի տարրերի հանրագումարի՝ 15 տոկոսը գերազանցող գումարի չափով` մինչև 2023 թվականի դեկտեմբերի 31-ը, իսկ 2024 թվականի հունվարի 1-ից սկսած՝ 10 տոկոսը գերազանցող գումարի չափով: Ընդ որում, սույն ենթակետով սահմանված հաշվարկի ժամանակ առաջին մակարդակի հիմնական կապիտալի տարրերի հանրագումարը նվազեցվում է հիմնական միջոցների, այլ նյութական ակտիվների, Ծրագրային ակտիվների արժեքի վերագնահատման արդյունքում ձևավորված այլ համապարփակ եկամտի չափով:
6) գրավի տնօրինման արդյունքում բանկին սեփականության իրավունքով անցած և ՖՀՄՍ 5-ի համաձայն վաճառքի համար պահվող դասակարգված անշարժ գույքի և դրա վրա կատարված կապիտալ ներդրումների հաշվեկշռային արժեքի չափով՝ այդ գույքը օրենքով սահմանված կարգով բանկի սեփականությունը դառնալու օրվանից երկու տարի հետո:
7) գրավի առարկայի տնօրինման արդյունքում բանկին սեփականության իրավունքով անցած բաժնետոմսերի հաշվեկշռային արժեքի չափով` այդ բաժնետոմսերը օրենքով սահմանված կարգով բանկի սեփականությունը դառնալու օրվանից վեց ամիս հետո: Ընդ որում, սույն ենթակետում նշված բաժնետոմսերը ենթակա չեն նվազեցման (առավելագույնը՝ այդ բաժնետոմսերով ապահովված պահանջի գումարի չափով) մինչև սույն ենթակետում նշված վեցամսյա ժամկետի ավարտը միայն այն դեպքում, երբ տվյալ բաժնետոմսերի գծով առկա է անկախ գնահատողի կողմից գնահատված իրական արժեքը, որը տրվել է սույն ենթակետում նշված բաժնետոմսերը օրենքով սահմանված կարգով բանկի սեփականությունը համարվելու օրվանից առավելագույնը 6 ամիս առաջ, հակառակ դեպքում բաժնետոմսերը նվազեցվում են առաջին մակարդակի հիմնական կապիտալի մեծությունից բանկի սեփականությունը դառնալու օրվանից:
8) հետաձգված հարկային ակտիվների հաշվեկշռային արժեքի և հետաձգված հարկային պարտավորությունների հաշվեկշռային արժեքի դրական տարբերության չափով:
9) այլ բանկերի, վարկային կազմակերպությունների, ապահովագրական ընկերությունների, ներդրումային ընկերությունների, ներդրումային ֆոնդի կառավարիչների, ինչպես նաև «Բանկերի և բանկային գործունեության մասին» Հայաստանի Հանրապետության օրենքի 34-րդ հոդվածի 1-ին մասով սահմանված ֆինանսական գործառնություններ իրականացնող անձանց կանոնադրական կապիտալներում իրականացված ներդրումների հաշվեկշռային արժեքի չափով (բացառությամբ՝ սույն կետի 10-րդ ենթակետով նախատեսված դեպքի), եթե`
ա. կանոնադրական կապիտալում ներդրումը կազմում է տվյալ անձի կանոնադրական կապիտալի 4.99 տոկոսը կամ ավելին, կամ
բ. բոլոր անձանց (այդ թվում` սույն կետի 11-րդ ենթակետում նշված) կանոնադրական կապիտալներում ներդրումները գերազանցում են բանկի առաջին մակարդակի հիմնական և լրացուցիչ կապիտալների հանրագումարի (նվազեցրած (ճշգրտած) սույն կետի 1-8-րդ ենթակետերում, սույն կանոնակարգի 28.4-րդ և 28.6-րդ կետերում նշված տարրերը) 10 տոկոսը:
10) սույն կետի 9-րդ ենթակետով նախատեսված այն ներդրումները, որոնց արդյունքում բանկը սույն կետի 9-րդ ենթակետում նշված կազմակերպության կապիտալում ձեռք է բերում 100 տոկոս մասնակցություն, և ներդրումը կատարվել է այդ կազմակերպությունը հետագայում լուծարելու (նաև՝ բանկին միացնելու) նպատակով, և Կենտրոնական բանկը տեղեկացվել է այդ նպատակի մասին, իրենց հաշվեկշռային արժեքի չափով նվազեցվում են ներդրումը կատարելու պահից 6 ամիս հետո:
11) սույն կետի 9-րդ ենթակետում չնշված այլ կազմակերպության կանոնադրական կապիտալում կատարված ներդրումները նվազեցվում են հետևյալ չափով.
Ն = Max [(Նա - Չ), (Նբ - Կ), 0],
Որտեղ՝
|
Ն |
-ն բանկի առաջին մակարդակի հիմնական կապիտալից կատարվող նվազեցման չափն է, |
|
Նա |
-ն տվյալ անձի կանոնադրական կապիտալում կատարված ներդրման չափն է, |
|
Չ |
-ն տվյալ անձի կանոնադրական կապիտալի 4.99 տոկոսն է, |
|
Նբ |
-ն բոլոր անձանց (այդ թվում` սույն կետի 9-րդ ենթակետում նշված) կանոնադրական կապիտալում կատարված ներդրումների հանրագումարն է, |
|
Կ |
-ն բանկի առաջին մակարդակի հիմնական և լրացուցիչ կապիտալների հանրագումարի (նվազեցրած (ճշգրտած) սույն կետի 1-8-րդ ենթակետերում, սույն կանոնակարգի 28.4-րդ և 28.6-րդ կետերում նշված տարրերը) 10 տոկոսն է: |
12) այլ կազմակերպություններում կատարված փոխադարձ ներդրումների դեպքում բանկի կապիտալում կատարված ներդրման հաշվեկշռային արժեքի չափով, եթե Կենտրոնական բանկի հիմնավոր կարծիքով այդ ներդրումը կատարվել է բանկի կապիտալն արհեստականորեն մեծացնելու նպատակով: Սույն ենթակետի իմաստով՝ փոխադարձ է համարվում այն ներդրումը, որի արդյունքում բանկը կամ այն կազմակերպությունը, որի կապիտալում բանկն ունի նշանակալից մասնակցություն (այսուհետ՝ սույն պարբերությունում` բանկ), մասնակցություն է ձեռք բերում մեկ այլ անձի կամ այն կազմակերպության կապիտալում, որում այդ անձն ունի նշանակալից մասնակցություն, և նա (նրա նշանակալից մասնակիցը) իր հերթին մասնակցություն ունի (ունեն) բանկի կապիտալում:
(28.3-րդ կետը լրաց. 15.11.22 թիվ 195-Ն)
28.4. Առաջին մակարդակի հիմնական կապիտալը ճշգրտվում է.
1) իրական արժեքով չհաշվառվող ակտիվների գծով ձևավորված դրամական հոսքերի հեջավորման պահուստն ապաճանաչելու միջոցով՝ դրական մեծությունը նվազեցվում է, իսկ բացասականը` գումարվում:
2) բանկի սեփական վարկային ռիսկի փոփոխության արդյունքում իրական արժեքով հաշվառվող պարտավորությունների իրական արժեքի փոփոխությամբ պայմանավորված չիրացված շահույթը և վնասն ապաճանաչելու միջոցով՝ դրական մեծությունը նվազեցվում է, իսկ բացասականը` գումարվում:
(28.4-րդ կետը լրաց. 15.11.22 թիվ 195-Ն)
28.5. Առաջին մակարդակի լրացուցիչ կապիտալի կազմում ընդգրկվում են սույն կանոնակարգի հավելված 9-ի բոլոր պահանջներին բավարարող արտոնյալ բաժնետոմսերը հետևյալ արժեքով՝ բաժնետոմսի անվանական արժեքի և արտոնյալ բաժնետոմսերից էմիսիոն եկամտի գումարից նվազեցրած զեղչ:
(28.5-րդ կետը լրաց. 15.11.22 թիվ 195-Ն)
28.6. Առաջին մակարդակի լրացուցիչ կապիտալը նվազեցվում է սույն կանոնակարգի հավելված 9-ի բոլոր պահանջներին բավարարող այն արտոնյալ բաժնետոմսերի անվանական արժեքի չափով, որոնք հետ են գնվել բանկի կողմից (եթե արդեն իսկ չեն նվազեցվել կիրառվող հաշվապահական հաշվառման ստանդարտների համաձայն) կամ ձեռք են բերվել այնպիսի կազմակերպությունների կողմից, որոնցում բանկը նշանակալից մասնակից է, կամ որոնք բանկը որևէ իրավաբանական փաստաթղթի հիման վրա պարտավոր է կամ կարող է պարտավորվել ձեռք բերել (բացառությամբ` օրենսդրությամբ նախատեսված պարտադիր հետգնման դեպքերի) հետագայում:
(28.6-րդ կետը լրաց. 15.11.22 թիվ 195-Ն)
28.7. Երկրորդ մակարդակի կապիտալի կազմում ընդգրկվում են հետևյալ տարրերը.
1) Սույն կանոնակարգի Հավելված 10-ի բոլոր պահանջներին բավարարող երկարաժամկետ ստորադաս փոխառությունները (այդ թվում՝ վարկերով և պարտատոմսերով ներգրավված միջոցները)՝ պայմանագրային մայր գումարի (անվանական արժեքի) չափով: Ընդ որում, ստորադաս փոխառության մայր գումարը (անվանական արժեքը) ենթակա է օրական ամորտիզացիայի՝ սույն Կանոնակարգի Հավելված 14-ի Գլուխ 2-ով սահմանված կարգով:
2) Ակտիվների դասակարգման և պահուստավորման կարգի համաձայն ձևավորված հնարավոր կորուստների ընդհանուր պահուստը՝ առավելագույնը սույն կանոնակարգի համաձայն հաշվարկված ռիսկով կշռված ակտիվների հաշվարկում ներառված «վարկային ռիսկ» տարրի մեծության 1,25 տոկոսի չափով:
(28.7-րդ կետը լրաց. 15.11.22 թիվ 195-Ն)
29. Բանկի առաջին մակարդակի հիմնական կապիտալի համարժեքության նորմատիվը հաշվարկվում է հետևյալ բանաձևով.
,
որտեղ`
ԱՄԿհիմն - առաջին մակարդակի հիմնական կապիտալն է` ամսվա միջին օրական հաշվարկով,
ՌԿԱ - վարկային ռիսկի, շուկայական ռիսկի և գործառնական ռիսկի հանրագումարն է, որը հաշվարկվում է հետևյալ բանաձևով`
ՎՌ - վարկային ռիսկն է` հաշվարկված սույն կանոնակարգի հավելված 3-ով սահմանված կարգի համաձայն,
ՇՌ – շուկայական ռիսկն է` հաշվարկված սույն կանոնակարգի հավելված 4-ով սահմանված կարգի համաձայն,
ԳՌ – գործառնական ռիսկն է` հաշվարկված սույն կանոնակարգի հավելված 5-ով սահմանված կարգի համաձայն:
(29-րդ կետը փոփ. 24.06.14 թիվ 146-Ն, խմբ. 15.11.22 թիվ 195-Ն)
29.1. (կետն ուժը կորցրել է 24.06.14 թիվ 146-Ն)
30. (կետն ուժը կորցրել է 14.11.17 թիվ 257-Ն)
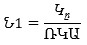
30.1. Բանկի առաջին մակարդակի կապիտալի համարժեքության նորմատիվը հաշվարկվում է հետևյալ բանաձևով.
որտեղ`
ԱՄԿ - առաջին մակարդակի կապիտալն է` ամսվա միջին օրական հաշվարկով,
ՌԿԱ - վարկային ռիսկի, շուկայական ռիսկի և գործառնական ռիսկի հանրագումարն է, որը հաշվարկվում է հետևյալ բանաձևով`
ՎՌ - վարկային ռիսկն է` հաշվարկված սույն կանոնակարգի հավելված 3-ով սահմանված կարգի համաձայն,
ՇՌ – շուկայական ռիսկն է` հաշվարկված սույն կանոնակարգի հավելված 4-ով սահմանված կարգի համաձայն,
ԳՌ – գործառնական ռիսկն է` հաշվարկված սույն կանոնակարգի հավելված 5-ով սահմանված կարգի համաձայն:
(30.1-ին կետը լրաց. 24.06.14 թիվ 146-Ն, խմբ. 15.11.22 թիվ 195-Ն)
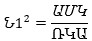
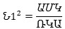
31. Բանկի ընդհանուր կապիտալի համարժեքության նորմատիվը հաշվարկվում է հետևյալ բանաձևով.
որտեղ`
Կը- ընդհանուր կապիտալն է՝ ամսվա միջին օրական հաշվարկով,
ՌԿԱ- վարկային ռիսկի, շուկայական ռիսկի և գործառնական ռիսկի հանրագումարն է, որը հաշվարկվում է հետևյալ բանաձևով՝
ՎՌ-վարկային ռիսկն է՝ հաշվարկված սույն կանոնակարգի հավելված 3-ով սահմանված կարգի համաձայն,
ՇՌ-շուկայական ռիսկն է` հաշվարկված սույն կանոնակարգի հավելված 4-ով սահմանված կարգի համաձայն,
ԳՌ-գործառնական ռիսկն է` հաշվարկված սույն կանոնակարգի հավելված 5-ով սահմանված կարգի համաձայն:
(31-րդ կետը փոփ. 24.06.14 թիվ 146-Ն, խմբ. 15.11.22 թիվ 195-Ն)
31.1. Սույն Կանոնակարգի համաձայն բանկի էմիսիոն եկամուտը ներառվում է առաջին մակարդակի կապիտալի կազմում, եթե բանկի կանոնադրությամբ սահմանվել է, որ բանկի էմիսիոն եկամուտը կարող է օգտագործվել միայն «Բանկերի և բանկային գործունեության մասին» Հայաստանի Հանրապետության օրենքի 36-րդ հոդվածի համաձայն կանոնադրական կապիտալը նվազեցնելու դեպքում կամ բանկի անվճարունակության դեպքում կորուստները ծածկելու նպատակով կամ կարող է ուղղվել բանկի բաժնետոմսերի (բաժնեմասերի) անվանական արժեքի ավելացմանը:
(31.1-ին կետը լրաց. 15.11.22 թիվ 195-Ն)
32. Այն օրերին, երբ բանկի հաշվեկշիռը փոփոխություններ չի կրել (ներառյալ՝ ոչ աշխատանքային օրերը), օրական տվյալների հաշվարկում ընդգրկվում են նախորդ օրվա տվյալները:
33. Բանկի բոլոր արժույթներով արտահայտված բարձր իրացվելի ակտիվների և բոլոր արժույթներով արտահայտված ընդհանուր ակտիվների գումարների միջև նվազագույն հարաբերակցությունը հաշվարկվում է՝
Ն21=Աբի/Աընդ բանաձևով,
որտեղ`
Աբի - միջին օրական հաշվարկով բարձր իրացվելի ակտիվներն են ամսվա ընթացքում, որը որոշվում է
Աբի = (Աբի1+Աբի2+...+ԱբիՆ)/Ն բանաձևով,
որտեղ`
Աբի1+Աբի2+...+ԱբիՆ - բանկի բարձր իրացվելի ակտիվներն են ըստ օրերի, իսկ «Ն»-ը՝ հաշվետու ամսվա օրերի թիվն է:
Աընդ - միջին օրական հաշվարկով ընդհանուր ակտիվներն են ամսվա ընթացքում, որը որոշվում է
Աընդ = Աընդ1+Աընդ2+...+ԱընդՆ/Ն բանաձևով,
որտեղ`
Աընդ1+Աընդ2+...+ԱընդՆ - բանկի ընդհանուր ակտիվներն են ըստ օրերի, իսկ «Ն»-ն՝ հաշվետու ամսվա օրերի թիվը:
(33-րդ կետը փոփ. 26.06.12 թիվ 168-Ն)
33.1. Ն211 նորմատիվը հաշվարկվում է Ն21 նորմատիվի համար սահմանված բանաձևով, ընդ որում, բարձր իրացվելի ակտիվների մեջ ներառվում են միայն առաջին խմբի արտարժույթներով արտահայտված` սույն կանոնակարգի 34-րդ կետով սահմանված բարձր իրացվելի ակտիվները, իսկ ընդհանուր ակտիվների մեջ` «ՀՀ տարածքում գործող բանկերի, վարկային կազմակերպությունների, ներդրումային ընկերությունների, ներդրումային ֆոնդերի և ներդրումային ֆոնդերի կառավարիչների հաշվապահական հաշվառման հաշվային պլանի» «Ակտիվներ» կարգի առաջին խմբի արտարժույթներով արտահայտված բոլոր հաշիվների հանրագումարը` հաշվի առնելով սույն կանոնակարգի 34.10-րդ կետով սահմանված նվազեցումները:
(33.1-ին կետը լրաց. 26.06.12 թիվ 168-Ն)
33.2. Ն212 նորմատիվը հաշվարկվում է Ն21 նորմատիվի համար սահմանված բանաձևով, ընդ որում, բարձր իրացվելի ակտիվների մեջ ներառվում են միայն սույն կանոնակարգի 18.2-րդ կետում նշված ԱՄՆ դոլարով, եվրոյով և համապատասխան երկրորդ խմբի արտարժույթով արտահայտված` սույն կանոնակարգի 34-րդ կետով սահմանված բարձր իրացվելի ակտիվները, իսկ ընդհանուր ակտիվների մեջ` «ՀՀ տարածքում գործող բանկերի, վարկային կազմակերպությունների, ներդրումային ընկերությունների, ներդրումային ֆոնդերի և ներդրումային ֆոնդերի կառավարիչների հաշվապահական հաշվառման հաշվային պլանի» «Ակտիվներ» կարգի` ԱՄՆ դոլարով, եվրոյով և համապատասխան երկրորդ խմբի արտարժույթով արտահայտված բոլոր հաշիվների հանրագումարը` հաշվի առնելով սույն կանոնակարգի 34.10-րդ կետով սահմանված նվազեցումները:
(33.2-րդ կետը լրաց. 26.06.12 թիվ 168-Ն)
34. Բարձր իրացվելի ակտիվների հաշվարկում ընդգրկվում են ստորև թվարկված այն ակտիվները (առանց այդ ակտիվների (բացառությամբ սույն կետի 34.4, 34.5, 34.6, 34.7 և 34.9 կետերում նշված ակտիվների) գծով հաշվեգրված տոկոսների), որոնց համար չկա դրանց տնօրինումը սահմանափակող որևէ պայման: Բարձր իրացվելի ակտիվներում ընդգրկվում են նաև սույն կարգի 34.4, 34.5, 34.6, և 34.7, 34.9 կետերում նշված արժեթղթերը (ընթացիկ շուկայական արժեքով), որոնք ձեռք են բերվել ռեպո համաձայնագրերով և հաշվառվում են ՀՀ կենտրոնական բանկի խորհրդի 2011 թվականի նոյեմբերի 30-ի թիվ 322-Ն որոշմամբ հաստատված «ՀՀ տարածքում գործող բանկերի, վարկային կազմակերպությունների, ներդրումային ընկերությունների, ներդրումային ֆոնդերի և ներդրումային ֆոնդերի կառավարիչների հաշվապահական հաշվառման հաշվային պլանի» 82-րդ բաժնում: Բարձր իրացվելի ակտիվներում չեն ընդգրկվում գրավադրված, ռեպո համաձայնագրերով վաճառված արժեթղթերը:
(34-րդ կետը լրաց. 30.11.11 թիվ 323-Ն, փոփ. 20.12.11 թիվ 354-Ն)
34.1. Կանխիկ դրամական միջոցներ (ներառյալ՝ ճանապարհին գտնվող և բանկոմատներում գտնվող դրամական միջոցները), կանխիկին հավասարեցված վճարային փաստաթղթեր (բացառությամբ՝ ճանապարհին գտնվող վճարային փաստաթղթերի)՝ ՎԻԶԱ, ԹՈՄԱՍ ՔՈՒԿ/ՄԱՍՏԵՐ ՔԱՐՏ, ԱՄԵՐԻՔԱՆ ԷՔՍՊՐԵՍ, ՍԻՏԻՔՈՐՊ և Կենտրոնական բանկի խորհրդի համաձայնությամբ՝ նաև այլ վճարային փաստաթղթեր,
(34.1-ին կետը լրաց. 18.11.08 թիվ 325-Ն)
34.2 Կենտրոնական բանկում թղթակցային հաշիվների միջոցներ (բացառությամբ «ՆԱՍԴԱՔ ՕԷՄԷՔՍ ԱՐՄԵՆԻԱ» ԲԲԸ-ում վարկային ռեսուրսների հարթակում կնքված մեկ աշխատանքային օրանոց (օվերնայթ) վարկային պայմանագրերով ներգրավված միջոցների), ներդրված ավանդներ (որոնց ժամկետը կամ միջոցները մինչև մարման ժամկետը պահանջի իրավունքով հետ ստանալու ժամկետը չի գերազանցում 3 աշխատանքային օրը), «ՆԱՍԴԱՔ ՕԷՄԷՔՍ ԱՐՄԵՆԻԱ» ԲԲԸ-ում վարկային ռեսուրսների հարթակում կնքված մեկ աշխատանքային օրանոց (օվերնայթ) վարկային պայմանագրերով տրամադրված միջոցներ,
(34.2-րդ կետը խմբ. 12.10.10 թիվ 254-Ն, լրաց. 20.12.11 թիվ 354-Ն)
34.3. բանկային ոսկի (ներառյալ՝ ճանապարհին գտնվող բանկային ոսկին),
(34.3-րդ կետը լրաց. 18.11.08 թիվ 325-Ն)
34.4. Հայաստանի Հանրապետության ֆինանսների նախարարության կողմից թողարկված փոխանցելի մուրհակներ, որոնց մինչև մարումն ընկած ժամանակահատվածը մինչև 1 տարի է և որոնք ենթակա են պարտադիր վճարման Հայաստանի Հանրապետության կենտրոնական բանկի կողմից՝ Հայաստանի Հանրապետության կառավարության գանձապետական միասնական հաշվի միջոցներից, Հայաստանի Հանրապետության պետական գանձապետական պարտատոմսեր և Կենտրոնական բանկի թողարկած արժեթղթեր՝ ընթացիկ (շուկայական) արժեքով,
(34.4-րդ կետը լրաց. 30.12.08 թիվ 375-Ն, խմբ. 14.10.09 թիվ 297-Ն)
34.5. ՀՀ ռեզիդենտ ոչ ֆինանսական կազմակերպությունների արժեթղթեր` ընթացիկ (շուկայական) արժեքով, որոնց վարկանիշը հավասար կամ բարձր է վարկանշային գործակալությունների («Ստանդարտ և Փուրզ կամ Ֆիթչ կամ Մուդիզ) կողմից Հայաստանի Հանրապետությանը տրված` մեկ վարկանիշ ցածր վարկանիշից,
(34.5-րդ կետը խմբ. 15.12.15 թիվ 279-Ն)
34.6. Ստանդարտ և Փուրզ կամ Ֆիթչ (փակագծում՝ Մուդիզ) վարկանիշային կազմակերպությունների կողմից տրամադրված Ա+(Ա1) և բարձր վարկանիշ ունեցող պետությունների պետական գանձապետական պարտատոմսեր՝ ընթացիկ (շուկայական) արժեքով,
34.7. Ստանդարտ և Փուրզ կամ Ֆիթչ (փակագծում՝ Մուդիզ) վարկանիշային կազմակերպությունների տրամադրած Ա+(Ա1) և բարձր վարկանիշ ունեցող կորպորատիվ պարտատոմսեր կամ Եվրոպական վերակառուցման և զարգացման բանկի, Եվրոպական կենտրոնական բանկի, Եվրոպական ներդրումային բանկի, այլ միջազգային կազմակերպությունների (որոնց անդամակցում է Հայաստանի Հանրապետությունը) կողմից թողարկված ոչ պետական պարտատոմսեր՝ ընթացիկ (շուկայական) արժեքով,
(34.7-րդ կետը լրաց. 23.07.13 թիվ 179-Ն)
34.8. ռեզիդենտ և օտարերկրյա բանկերում թղթակցային հաշիվներ (այդ թվում` անկանխիկ ոսկով). ընդ որում, վերջիններիս մեծությունը նվազեցվում է նույն բանկի նկատմամբ ունեցած պարտավորությունների չափով, բայց ոչ ավելի, քան համապատասխան «նոստրո» թղթակցային հաշվի մնացորդն է: Բանկի բարձր իրացվելի ակտիվները հաշվարկելիս ռեզիդենտ և օտարերկրյա բանկերում թղթակցային հաշիվներից առաջին հերթին նվազեցվում է նույն բանկի նկատմամբ «լորո» թղթակցային հաշվի մնացորդը, ապա՝ մնացած պարտավորությունները: Մնացած պարտավորությունները չեն նվազեցվում թղթակցային հաշվից, եթե թղթակից արտասահմանյան բանկի՝ երկարաժամկետ ավանդների ներգրավման վարկանիշը ըստ Ստանդարտ և Փուրզ կամ Ֆիթչ (փակագծում՝ Մուդիզ) վարկանիշային կազմակերպության՝ ԲԲԲ-(Բաա3) և բարձր է: Ընդ որում, Ն211 և Ն221 նորմատիվների հաշվարկում ընդգրկվում են միայն այն թղթակցային հաշիվները, որոնք արտահայտված են առաջին խմբի արտարժույթով` նվազեցրած առաջին խմբի արտարժույթով արտահայտված` սույն կետում նշված պարտավորությունների չափով: Իսկ Ն212 և Ն222 նորմատիվների հաշվարկում ընդգրկվում են.
1) այն թղթակցային հաշիվները, որոնք արտահայտված են ԱՄՆ դոլարով և եվրոյով` նվազեցրած ԱՄՆ դոլարով և եվրոյով արտահայտված` սույն կետում նշված պարտավորությունների չափով, և
2) այն թղթակցային հաշիվները, որոնք արտահայտված են երկրորդ խմբի տվյալ արժույթով` նվազեցրած նույն արտարժույթով արտահայտված` սույն կետում նշված պարտավորությունների չափով:
(34.8-րդ կետը լրաց. 30.12.08 թիվ 375-Ն, խմբ. 14.10.09 թիվ 297-Ն, լրաց. 08.02.11 թիվ 26-Ն, փոփ. 30.11.11 թիվ 323-Ն, լրաց. 20.12.11 թիվ 354-Ն, լրաց., փոփ. 26.06.12 թիվ 168-Ն)
34.9. Վերաֆինանսավորում իրականացնող վարկային կազմակերպությունների կողմից թողարկված պարտատոմսեր` ընթացիկ (շուկայական) արժեքով:
(34.9-րդ կետը լրաց. 30.08.11 թիվ 224-Ն)
34.9.1. Մեկ աշխատանքային օրանոց (օվերնայթ) վարկային պայմանագրերով տրամադրված միջոցներ, եթե վարկառուն հանդիսանում է ոչ ռեզիդենտ բանկ, որն ունի Ստանդարտ և Փուրզ կամ Ֆիթչ (փակագծում` Մուդիզ) վարկանշային գործակալությունների կողմից տրամադրված երկարաժամկետ ավանդների ներգրավման ԲԲԲ+(Բաա1) և ԲԲԲ+(Բաա1)-ից բարձր վարկանիշ` առաջնորդելով սույն կանոնակարգի 56.3-րդ կետով սահմանված սկզբունքներով: Բարձր իրացվելի ակտիվների հաշվարկում սույն կետում նշված միջոցները կարող են ընդգրկվել սույն կանոնակարգի 34.1-34.9 կետերում նշված միջոցների` բարձր իրացվելի ակտիվներում ընդգրկվող գումարների հանրագումարի առավելագույնը 15%-ի չափով:
(34.9.1-ին կետը լրաց. 27.11.12 թիվ 325-Ն)
34.10. Ն21 նորմատիվի հաշվարկման նպատակով բանկի ընդհանուր ակտիվների (Աընդ) հաշվարկում ընդգրկվում է «ՀՀ տարածքում գործող բանկերի, վարկային կազմակերպությունների, ներդրումային ընկերությունների, ներդրումային ֆոնդերի և ներդրումային ֆոնդերի կառավարիչների հաշվապահական հաշվառման հաշվային պլանի» «Ակտիվներ» կարգի բոլոր արժույթներով արտահայտված հաշիվների հանրագումարը: Ն21 , Ն211 և Ն212 նորմատիվների հաշվարկման նպատակով ընդհանուր ակտիվների հանրագումարը պակասեցվում է.
1) Այն ակտիվների (բացառությամբ` ռեպո համաձայնագրերի) հաշվեկշռային արժեքի չափով (ապահովված մասով), որոնք ապահովված են հետևյալ միջոցներով.
ա. Հայաստանի Հանրապետության ֆինանսների նախարարության կողմից թողարկված փոխանցելի մուրհակներով, որոնց մինչև մարումն ընկած ժամանակահատվածը մինչև 1 տարի է և որոնք ենթակա են պարտադիր վճարման Կենտրոնական բանկի կողմից` Հայաստանի Հանրապետության կառավարության գանձապետական միասնական հաշվի միջոցներից,
բ. Կենտրոնական բանկի թողարկած արժեթղթերով և Հայաստանի Հանրապետության պետական գանձապետական պարտատոմսերով,
գ. տվյալ բանկում պահվող բանկային ոսկով,
դ. տվյալ բանկի բանկային և (կամ) ավանդային հաշիվներում հաշվառվող Հայաստանի Հանրապետության դրամով, առաջին խմբի մեջ մտնող արտարժութային միջոցներով,
ե. տվյալ բանկի բանկային և (կամ) ավանդային հաշիվներում հաշվառվող երկրորդ խմբի մեջ մտնող արտարժութային միջոցներով, եթե վերջիններս հանդիսանում են միևնույն արտարժույթով արտահայտված ակտիվների ապահովում: Ընդ որում, Ն212 նորմատիվի հաշվարկման նպատակով ընդհանուր ակտիվներից նվազեցման են ենթակա երկրորդ խմբի մեջ մտնող արժույթով արտահայտված միայն այն ակտիվները, որոնք ապահովված են տվյալ բանկի բանկային և (կամ) ավանդային հաշիվներում հաշվառվող ԱՄՆ դոլարով, եվրոյով կամ տվյալ երկրորդ խմբի արտարժույթով:
2) Համապատասխան արժույթով արտահայտված այն վարկերի գումարի հաշվեկշռային արժեքի չափով, որոնք տրամադրվել են օտարերկրյա բանկերից և ֆինանսական կազմակերպություններից նպատակային կարգով ներգրաված միջոցների հաշվին, որոնց վերադարձն ապահովված է Հայաստանի Հանրապետության կառավարության կամ Կենտրոնական բանկի երաշխավորությամբ, դրանց տրամադրման ժամկետները չեն գերազանցում ներգրավման ժամկետները, և բանկը դրանց գծով չի ստանձնել լրացուցիչ ռիսկեր:
3) Սույն կանոնակարգի 34.8-րդ կետի համաձայն, համապատասխան նորմատիվի հաշվարկման նպատակով թղթակցային «նոստրո» հաշիվներից նվազեցվող գումարների չափով:
4) Բարձր իրացվելի ակտիվների հաշվարկում չընդգրկվող` Կենտրոնական բանկի թղթակցային հաշիվներում հաշվառվող «ՆԱՍԴԱՔ ՕԷՄԷՔՍ ԱՐՄԵՆԻԱ» ԲԲԸ-ում վարկային ռեսուրսների հարթակում կնքված մեկ աշխատանքային օրանոց (օվերնայթ) վարկային պայմանագրերով ներգրավված միջոցների չափով, ռեպո համաձայնագրերով վաճառված, ինչպես նաև գրավադրված` սույն կանոնակարգի 34.4-րդ, 34.5-րդ, 34.6-րդ, 34.7-րդ և 34.9-րդ կետերով սահմանված արժեթղթերի գումարի չափով (համապատասխան արժույթով):
(34.10-րդ կետը լրաց. 26.06.12 թիվ 168-Ն, 23.07.13 թիվ 179-Ն)
35. Բանկի բոլոր արժույթներով արտահայտված բարձր իրացվելի ակտիվների և բոլոր արժույթներով արտահայտված ցպահանջ պարտավորությունների միջև հարաբերակցությունը հաշվարկվում է՝
Ն22= Աբի/Պցպ բանաձևով,
որտեղ՝
Աբի = Աբի1+Աբի2+...+ԱբիՆ/Ն,
որտեղ՝
Աբի1+Աբի2+...+ԱբիՆ - բանկի բարձր իրացվելի ակտիվներն են ըստ օրերի, իսկ «Ն»-ը՝ հաշվետու ամսվա օրերի թիվն է,
Պցպ - միջին օրական հաշվարկով ցպահանջ պարտավորություններն են ամսվա ընթացքում, որը որոշվում է
Պցպ = (Պցպ1+ Պցպ2+...+ ՊցպՆ)/Ն բանաձևով,
որտեղ` Պցպ1+ Պցպ2+...+ ՊցպՆ - բանկի ցպահանջ պարտավորություններն են ըստ օրերի, իսկ «Ն»-ն՝ հաշվետու ամսվա օրերի թիվն է:
(35-րդ կետը փոփ. 26.06.12 թիվ 168-Ն)
35.1. Ն221 նորմատիվը հաշվարկվում է Ն22 նորմատիվի համար սահմանված բանաձևով, ընդ որում, բարձր իրացվելի ակտիվների մեջ ներառվում են միայն առաջին խմբի արտարժույթով արտահայտված` սույն կանոնակարգի 34-րդ կետով սահմանված բարձր իրացվելի ակտիվները, իսկ ցպահանջ պարտավորությունների մեջ` սույն կանոնակարգի 36-րդ կետով սահմանված` առաջին խմբի արտարժույթով արտահայտված ցպահանջ պարտավորությունները: Ընդ որում, սույն կետում նշված ցպահանջ պարտավորություններից նվազեցվում են 34.8-րդ կետի համաձայն թղթակցային «նոստրո» հաշիվներից նվազեցվող ցպահանջ պարտավորությունները (ներառյալ` դրանց գծով հաշվեգրված տոկոսները):
(35.1-ին կետը լրաց. 26.06.12 թիվ 168-Ն)
35.2. Ն222 նորմատիվը հաշվարկվում է Ն22 նորմատիվի համար սահմանված բանաձևով, ընդ որում, բարձր իրացվելի ակտիվների մեջ ներառվում են միայն սույն կանոնակարգի 18.2-րդ կետում նշված ԱՄՆ դոլարով, եվրոյով և համապատասխան երկրորդ խմբի արտարժույթով արտահայտված` սույն կանոնակարգի 34-րդ կետով սահմանված բարձր իրացվելի ակտիվները, իսկ ցպահանջ պարտավորությունների մեջ` սույն կանոնակարգի 36-րդ կետով սահմանված` ԱՄՆ դոլարով, եվրոյով և համապատասխան երկրորդ խմբի արտարժույթով արտահայտված ցպահանջ պարտավորությունները: Ընդ որում, սույն կետում նշված ցպահանջ պարտավորություններից նվազեցվում են 34.8-րդ կետի համաձայն թղթակցային «նոստրո» հաշիվներից նվազեցվող ցպահանջ պարտավորությունները (ներառյալ` դրանց գծով հաշվեգրված տոկոսները):
(35.2-րդ կետը լրաց. 26.06.12 թիվ 168-Ն)
36. Ցպահանջ պարտավորությունների հաշվարկում ընդգրկվում են հաշվեկշռի «Պարտավորություններ» կարգում հաշվառվող համապատասխան արժույթով ցպահանջ կամ մարման սահմանված ժամկետ չունեցող միջոցները (ներառյալ՝ դրանց գծով հաշվեգրված ցպահանջ և մարման սահմանված ժամկետ չունեցող տոկոսները), այդ թվում՝ ժամկետանց պարտավորությունները: Ընդ որում, համապատասխան արժույթով ցպահանջ պարտավորություններից նվազեցվում են 34.8-րդ կետի առաջին պարբերության համաձայն թղթակցային «նոստրո» հաշիվներից նվազեցվող ցպահանջ պարտավորությունները (ներառյալ՝ դրանց գծով հաշվեգրված տոկոսները): Սույն կանոնակարգի իմաստով՝ ժամկետանց են այն պարտավորությունները, որոնք, բացառությամբ դատարանի կամ միջնորդ դատարանի վարույթում գտնվողների, չեն կատարվել պարտավորությամբ սահմանված ժամկետում: Դատարանի կամ միջնորդ դատարանի վարույթում գտնվող գործերով պարտավորությունները համարվում են ցպահանջ:
(36-րդ կետը փոփ. 26.06.12 թիվ 168-Ն)
36.1. Բանկի բարձր իրացվելի ակտիվների և զուտ դրամական արտահոսքի միջև նվազագույն հարաբերակցությունը (Ն23 նորմատիվ) հաշվարկվում է`
Ն23= ԲԻԱ/ԶԴԱ բանաձևով, որտեղ
ԲԻԱ- բանկի բարձր իրացվելի ակտիվներն են` համաձայն սույն կանոնակարգի հավելված 12-ի,
ԶԴԱ - բանկի զուտ դրամական արտահոսքն է` համաձայն սույն կանոնակարգի հավելված 12-ի:
(36.1-ին կետը լրաց. 17.04.20 թիվ 55-Ն)
36.2. Յուրաքանչյուր նշանակալի արժույթի (կամ առաջին խմբում ներառվող նշանակալի արժույթների խմբի) գծով բանկի բարձր իրացվելի ակտիվների և զուտ դրամական արտահոսքի միջև նվազագույն հարաբերակցությունը (Ն23(FX) նորմատիվ) հաշվարկվում է`
Ն23(FX)= ԲԻԱ(FX)/ԶԴԱ(FX) բանաձևով, որտեղ
ԲԻԱ (FX) - տվյալ նշանակալի արժույթով (կամ առաջին խմբում ներառվող նշանակալի արժույթներով) բանկի բարձր իրացվելի ակտիվներն են` համաձայն սույն կանոնակարգի հավելված 12-ի,
ԶԴԱ (FX) – տվյալ նշանակալի արժույթով (կամ առաջին խմբում ներառվող նշանակալի արժույթներով) բանկի զուտ դրամական արտահոսքն է` համաձայն սույն կանոնակարգի հավելված 12-ի:
(36.2-րդ կետը լրաց. 17.04.20 թիվ 55-Ն)
36.3. Բանկին հասանելի կայուն միջոցների և բանկին անհրաժեշտ կայուն միջոցների միջև նվազագույն հարաբերակցությունը (Ն24 նորմատիվ) հաշվարկվում է`
Ն24= ՀԿՄ/ԱԿՄ բանաձևով, որտեղ`
ՀԿՄ – բանկին հասանելի կայուն միջոցներն է, որը որոշվում է` համաձայն հետևյալ բանաձևի`
ՀԿՄ =ՀԿՄ1*ՀԿԿ1 + ՀԿՄ2*ՀԿԿ2 +…+ ՀԿՄո*ՀԿԿո, որտեղ
ՀԿՄ1, ՀԿՄ2, ՀԿՄո- բանկին հասանելի կայուն միջոցների տարատեսակներն են` համաձայն սույն կանոնակարգի հավելված 13-ի,
ՀԿԿ1, ՀԿԿ2, ՀԿԿո – բանկին հասանելի կայուն միջոցների կշիռներն են` համաձայն սույն կանոնակարգի հավելված 13-ի,
ԱԿՄ – բանկին անհրաժեշտ կայուն միջոցներն է, որը որոշվում է` համաձայն հետևյալ բանաձևի`
ԱԿՄ =ԱԿՄ1*ԱԿԿ1 + ԱԿՄ2*ԱԿԿ2 +…+ ԱԿՄո*ԱԿԿո, որտեղ
ԱԿՄ1,ԱԿՄ2, ԱԿՄո- բանկին անհրաժեշտ կայուն միջոցների տարատեսակներն են` համաձայն սույն կանոնակարգի հավելված 13-ի,
ԱԿԿ1, ԱԿԿ2, ԱԿԿո, - բանկին անհրաժեշտ կայուն միջոցների կշիռներն են` համաձայն սույն կանոնակարգի հավելված 13-ի:
(36.3-րդ կետը լրաց. 17.04.20 թիվ 55-Ն)
36.4. Յուրաքանչյուր նշանակալի արժույթի (կամ առաջին խմբում ներառվող նշանակալի արժույթների խմբի) գծով բանկին հասանելի կայուն միջոցների և բանկին անհրաժեշտ կայուն միջոցների միջև նվազագույն հարաբերակցությունը (Ն24(FX) նորմատիվ) հաշվարկվում է`
Ն24(FX)= ՀԿՄ(FX)/ԱԿՄ(FX) բանաձևով, որտեղ`
ՀԿՄ (FX)– տվյալ նշանակալի արժույթով (կամ առաջին խմբում ներառվող նշանակալի արժույթներով) բանկին հասանելի կայուն միջոցներն է, որը որոշվում է` համաձայն հետևյալ բանաձևի`
ՀԿՄ(FX) =ՀԿՄ1(FX)*ՀԿԿ(FX)1 + ՀԿՄ2(FX)*ՀԿԿ2(FX) +…+ ՀԿՄո(FX)*ՀԿԿո(FX), որտեղ
ՀԿՄ1(FX), ՀԿՄ2(FX), ՀԿՄո(FX)- տվյալ նշանակալի արժույթով (կամ առաջին խմբում ներառվող նշանակալի արժույթներով) բանկին հասանելի կայուն միջոցների տարատեսակներն են` համաձայն սույն կանոնակարգի հավելված 13-ի,
ՀԿԿ1(FX), ՀԿԿ2(FX), ՀԿԿ(FX)ո – տվյալ նշանակալի արժույթով (կամ առաջին խմբում ներառվող նշանակալի արժույթներով) բանկին հասանելի կայուն միջոցների կշիռներն են` համաձայն սույն կանոնակարգի հավելված 13-ի,
ԱԿՄ(FX) – տվյալ նշանակալի արժույթով (կամ առաջին խմբում ներառվող նշանակալի արժույթներով) բանկին անհրաժեշտ կայուն միջոցներն է, որը որոշվում է` համաձայն հետևյալ բանաձևի`
ԱԿՄ(FX) =ԱԿՄ1(FX)*ԱԿԿ1(FX) + ԱԿՄ2(FX)*ԱԿԿ2(FX) +…+ ԱԿՄո(FX)*ԱԿԿո(FX), որտեղ
ԱԿՄ(FX)1,ԱԿՄ2(FX), ԱԿՄո(FX)- տվյալ նշանակալի արժույթով (կամ առաջին խմբում ներառվող նշանակալի արժույթներով) բանկին անհրաժեշտ կայուն միջոցների տարատեսակներն են` համաձայն սույն կանոնակարգի հավելված 13-ի,
ԱԿԿ1(FX), ԱԿԿ2(FX), ԱԿԿո(FX), - տվյալ նշանակալի արժույթով (կամ առաջին խմբում ներառվող նշանակալի արժույթներով) բանկին անհրաժեշտ կայուն միջոցների կշիռներն են` համաձայն սույն կանոնակարգի հավելված 13-ի:
(36.4-րդ կետը լրաց. 17.04.20 թիվ 55-Ն)
36.5 Ն23(FX) և Ն24(FX) նորմատիվների հաշվարկման ժամանակ նշանակալի արժույթ է համարվում՝
1) այն արժույթը, որով արտահայտված պարտավորությունները գերազանցում են բանկի ընդհանուր պարտավորությունների 5%-ը՝ սույն կանոնակարգի հավելված 12-ով սահմանված հաշվետու ժամանակաշրջանի առաջին օրվա դրությամբ, կամ
2) այն արժույթը, որի գծով հաշվետու ժամանակաշրջանի առաջին օրվան անընդմեջ նախորդող 4 հաշվետու ժամանակաշրջաններից որևիցե մեկի առաջին օրվա դրությամբ բավարարվել է նշանակալի արժույթի՝ սույն կետի 1-ին ենթակետով սահմանված պահանջը:
(36.5-րդ կետը լրաց. 17.04.20 թիվ 55-Ն, խմբ. 12.10.21 թիվ 153-Ն)
37. Մեկ փոխառուի գծով ռիսկի առավելագույն չափը (Ն31 նորմատիվ) սահմանվում է՝Ն31 = Ռիսկ/Կընդ բանաձևով,
որտեղ՝
Ռիսկ-բանկի կողմից մեկ փոխառուին (անձին) և նրա հետ փոխկապակցված անձանց տրամադրված վարկերի, այդ թվում՝ բանկային հաշվի վարկավորման, բոլոր այլ փոխառությունների, ֆակտորինգային, լիզինգային գործառնությունների, տրամադրված նախավճարների, կանխավճարների, բանկի մատուցած ծառայության կամ ապրանքի դիմաց տարաժամկետ վճարումների, ակրեդիտիվների, անձի կամ նրա հետ փոխկապակցված անձանց թողարկած արժեթղթերում ներդրումների (ներառյալ՝ մուրհակների), բանկի թղթակցային հաշիվների ու ավանդների, դեբիտորական պարտավորությունների, ռեպո համաձայնագրերի (համաձայն սույն կանոնակարգի 47-րդ կետի), ռեպո համաձայնագրերով վաճառված արժեթղթերի (համաձայն սույն կանոնակարգի 48.2 կետի), ածանցյալ գործիքների գծով առաջացող պահանջների (համաձայն սույն կանոնակարգի 48-րդ կետի), ինչպես նաև բանկի նկատմամբ ցանկացած հիմքով ծագած այլ պարտավորությունների, այդ թվում՝ նրա կողմից այլ անձին (որը փոխառուի հետ փոխկապակցված անձ չէ) նույն բանկի հանդեպ ունեցած պարտավորությունների դիմաց տրված երաշխիքների կամ երաշխավորությունների, ինչպես նաև ցանկացած այլ ապահովվածության արժեքի (ապահովված ընդհանուր պարտավորությունը չգերազանցող գումարի չափով), նրա պարտավորությունների դիմաց տրված երաշխիքների և երաշխավորությունների, վարկային ռիսկ պարունակող հետհաշվեկշռային պայմանական պարտավորությունների, այլ բանկերի կողմից տվյալ բանկի դրամական միջոցների հաշվին և դրանցով ապահովված միևնույն անձանց տրամադրված փոխառությունների և (կամ) երաշխիքների (եթե այդ փոխառության վերադարձելիության ռիսկը ստանձնել է տվյալ բանկը) գումարն է: Ն31 նորմատիվների ռիսկի հաշվարկում ընդգրկվող տարրերը իրենց համապատասխան պահուստների չափով նվազեցվելուց հետո չեն կշռվում, բացառությամբ «Նոստրո» թղթակցային հաշիվների, միջբանկային ավանդների, միջբանկային վարկերի, բանկերի նկատմամբ այլ պահանջների, օտարերկրյա կառավարությունների և կենտրոնական բանկերի նկատմամբ պահանջների, որոնք իրենց համապատասխան պահուստի չափով նվազեցվելուց հետո կշռվում են սույն կանոնակարգի 3-րդ հավելվածի 6-րդ կետով սահմանված ակտիվների համապատասխան ռիսկի կշիռներով (բայց ոչ ավելի, քան 100 տոկոսով):
Կընդ - բանկի ընդհանուր կապիտալն է:
(37-րդ կետը փոփ. 30.11.11 թիվ 323-Ն, 27.11.12 թիվ 325-Ն, լրաց. 23.11.18 թիվ 196-Ն)
38. Խոշոր փոխառուների գծով ռիսկի առավելագույն չափը (Ն32 նորմատիվ) սահմանվում է՝
Ն32 = Ռիսկ/Կընդ բանաձևով,
որտեղ՝
Ռիսկ-բանկի կողմից խոշոր փոխառուներին (անձանց) և նրանց հետ փոխկապակցված անձանց տրամադրված վարկերի, այդ թվում՝ բանկային հաշվի վարկավորման, բոլոր այլ փոխառությունների, ֆակտորինգային, լիզինգային գործառնությունների, տրամադրված նախավճարների, կանխավճարների, բանկի մատուցած ծառայության կամ ապրանքի դիմաց տարաժամկետ վճարումների, ակրեդիտիվների, անձի կամ նրա հետ փոխկապակցված անձանց թողարկած արժեթղթերում ներդրումների (ներառյալ՝ մուրհակների), բանկի թղթակցային հաշիվների ու ավանդների, դեբիտորական պարտավորությունների, ռեպո համաձայնագրերի (համաձայն սույն կանոնակարգի 47-րդ կետի), ռեպո համաձայնագրերով վաճառված արժեթղթերի (համաձայն սույն կանոնակարգի 48.2 կետի), ածանցյալ գործիքների գծով առաջացող պահանջների (համաձայն սույն կանոնակարգի 48-րդ կետի), ինչպես նաև բանկի նկատմամբ ցանկացած հիմքով ծագած այլ պարտավորությունների, այդ թվում՝ նրա կողմից այլ անձին (որը չի հանդիսանում փոխառուի հետ փոխկապակցված անձ և (կամ) բանկի խոշոր փոխառու) նույն բանկի հանդեպ ունեցած պարտավորությունների դիմաց տրված երաշխիքների կամ երաշխավորությունների, ինչպես նաև ցանկացած այլ ապահովվածության արժեքի (ապահովված ընդհանուր պարտավորությունը չգերազանցող գումարի չափով), նրա պարտավորությունների դիմաց տրված երաշխիքների և երաշխավորությունների, այլ բանկերի կողմից տվյալ բանկի դրամական միջոցների հաշվին և դրանցով ապահովված միևնույն անձանց տրամադրված փոխառությունների և (կամ) երաշխիքների (եթե այդ փոխառության վերադարձելիության ռիսկը ստանձնել է տվյալ բանկը), վարկային ռիսկ պարունակող հետհաշվեկշռային պայմանական պարտավորությունների գումարն է: Ն32 նորմատիվի ռիսկի հաշվարկում ընդգրկվող տարրերն իրենց համապատասխան պահուստների չափով նվազեցվելուց հետո չեն կշռվում, բացառությամբ «Նոստրո» թղթակցային հաշիվների, միջբանկային ավանդների, միջբանկային վարկերի, բանկերի նկատմամբ այլ պահանջների, օտարերկրյա կառավարությունների և կենտրոնական բանկերի նկատմամբ պահանջների, որոնք իրենց համապատասխան պահուստի չափով նվազեցվելուց հետո կշռվում են սույն կանոնակարգի 3-րդ հավելվածի 6-րդ կետով սահմանված ակտիվների համապատասխան ռիսկի կշիռներով (բայց ոչ ավելի, քան 100 տոկոսով):
Խոշոր փոխառու է այն անձը, որի գծով ռիսկը (համաձայն սույն կանոնակարգով սահմանված Ն31 նորմատիվի ռիսկ տարրի հաշվարկման մեթոդաբանության) գերազանցում է բանկի ընդհանուր կապիտալի 5 տոկոսը:
(38-րդ կետը լրաց., խմբ. 18.09.07 N 297-Ն, փոփ. 30.11.11 թիվ 323-Ն, 27.11.12 թիվ 325-Ն, լրաց., փոփ. 23.11.18 թիվ 196-Ն)
38.1. Խոշոր փոխառու է այն անձը, որի գծով բանկի ռիսկը (համաձայն սույն կանոնակարգի 37-րդ կետով սահմանված փոխառուի նկատմամբ ռիսկի հաշվարկման մեթոդաբանության) գերազանցում է բանկի ընդհանուր կապիտալի 5 տոկոսը:
38.2. Եթե փոխառուն (անձը) և այլ իրավաբանական անձը փոխկապակցված են միայն այն հիմքով, որ պետությունը, Միջազգային ֆինանսական կորպորացիան, Եվրոպական վերակառուցման և զարգացման բանկը և (կամ) Ասիական զարգացման բանկը տիրապետում է (են) փոխառուի (անձի) և այդ իրավաբանական անձի ձայնի իրավունք տվող բաժնետոմսերի (բաժնեմասերի, փայամասնակցությունների) 20 տոկոսից ավելիին կամ իրավունք ունի (ունեն) օրենքով չարգելված այլ ձևով կանխորոշել նրանց որոշումները, ապա Ն31 և Ն32 նորմատիվների հաշվարկման իմաստով այդ փոխառուն (անձը) և այլ իրավաբանական անձը չեն համարվում փոխկապակցված:
(38.2-րդ կետը լրաց. 19.03.10 թիվ 54-Ն, խմբ. 23.07.13 թիվ 179-Ն)
39. Ն31 և Ն32 նորմատիվները չեն հաշվարկվում Կենտրոնական բանկի և Հայաստանի Հանրապետության կառավարության նկատմամբ:
(39-րդ կետը լրաց. 19.03.10 թիվ 54-Ն)
40. Հայաստանի Հանրապետության տարածքում գործող դուստր կազմակերպության նկատմամբ պահանջները Ն31 և Ն32 նորմատիվների հաշվարկի մեջ չեն ընդգրկվում: Ընդ որում, բանկի՝ Հայաստանի Հանրապետության տարածքում գործող դուստր կազմակերպության և նրա հետ փոխկապակցված անձանց նկատմամբ պահանջների գծով Ն31 և Ն32 նորմատիվները հաշվարկելիս ռիսկերի հաշվարկի մեջ ընդգրկվում են միայն.
ա) դուստր կազմակերպության հետ փոխկապակցված անձանց նկատմամբ պահանջները, և
բ) դուստր կազմակերպության կողմից այլ անձանց (որոնք չեն հանդիսանում դուստրի հետ փոխկապակցված անձ) նույն բանկի հանդեպ ունեցած պարտավորությունների դիմաց տրամադրված երաշխիքները և երաշխավորությունները, ինչպես նաև ցանկացած այլ ապահովվածություն հանդիսացող միջոցները (ապահովված ընդհանուր պարտավորությունը չգերազանցող գումարի չափով):
40.1. Սույն կետի համաձայն՝ դուստր կազմակերպությունների համար սահմանված դրույթները տարածվում են բանկի՝ Հայաստանի Հանրապետության տարածքում գործող այն դուստր կազմակերպությունների (բանկեր, վարկային կազմակերպություններ, ինչպես նաև «Բանկերի և բանկային գործունեության մասին» Հայաստանի Հանրապետության օրենքի 34-րդ հոդվածի 1-ին կետում նշված գործունեություն իրականացնող այլ կազմակերպություններ) վրա, որոնց հաշվեկշիռը բանկը միավորում է իր հաշվեկշռում՝ Կենտրոնական բանկի խորհրդի 2002 թվականի ապրիլի 2-ի թիվ 87 որոշմամբ հաստատված «Հայաստանի Հանրապետության տարածքում գործող բանկերի կողմից Հայաստանի Հանրապետության կենտրոնական բանկ ներկայացվող համախմբված հաշվետվությունների կազմման կարգի» համաձայն:
41. Եթե բանկն ունի օտարերկրյա դուստր բանկ, ապա համախմբված հաշվետվությունների նկատմամբ Ն31 և Ն32 նորմատիվների ռիսկի հաշվարկում չեն ընդգրկվում դուստր բանկի գրանցման երկրի պետական պարտատոմսերը, դուստր բանկի գրանցման երկրի կենտրոնական բանկի նկատմամբ պահանջները:
42. Բանկի հետ կապված մեկ անձի գծով ռիսկի առավելագույն չափը (Ն41 նորմատիվ) սահմանվում է՝
Ն41 = Ռիսկ/Կընդ բանաձևով,
որտեղ՝
Ռիսկ - բանկի կողմից տվյալ բանկի հետ կապված մեկ անձին տրամադրվող վարկերի, այդ թվում՝ բանկային հաշվի վարկավորմամբ, բոլոր այլ փոխառությունների, ֆակտորինգային, լիզինգային գործառնությունների, տրամադրված նախավճարների, կանխավճարների, բանկի մատուցած ծառայության կամ ապրանքի դիմաց տարաժամկետ վճարումների, ակրեդիտիվների, անձի կամ նրա հետ փոխկապակցված անձանց թողարկած արժեթղթերում ներդրումների (ներառյալ՝ մուրհակների), բանկի թղթակցային հաշիվների ու ավանդների, դեբիտորական պարտավորությունների, ռեպո համաձայնագրերի (համաձայն սույն կանոնակարգի 47-րդ կետի), ռեպո համաձայնագրերով վաճառված արժեթղթերի (համաձայն սույն կանոնակարգի 48.2 կետի), ածանցյալ գործիքների գծով առաջացող պահանջների (համաձայն սույն կանոնակարգի 48-րդ կետի), ինչպես նաև բանկի նկատմամբ ցանկացած հիմքով ծագած այլ պարտավորությունների, այդ թվում՝ նրա կողմից այլ անձին նույն բանկի հանդեպ ունեցած պարտավորությունների դիմաց տրված երաշխիքների կամ երաշխավորությունների, ինչպես նաև ցանկացած այլ ապահովվածության արժեքի (ապահովված ընդհանուր պարտավորությունը չգերազանցող գումարի չափով), բանկի հետ կապված անձի պարտավորությունների դիմաց տրված երաշխիքների և երաշխավորությունների, այլ բանկերի կողմից տվյալ բանկի դրամական միջոցների հաշվին և դրանցով ապահովված միևնույն անձին տրամադրված փոխառությունների և (կամ) երաշխիքների (եթե այդ փոխառության վերադարձելիության ռիսկը ստանձնել է տվյալ բանկը), վարկային ռիսկ պարունակող հետհաշվեկշռային պայմանական պարտավորությունների գումարն է: Ն41 նորմատիվների ռիսկի հաշվարկում ընդգրկվող տարրերը, իրենց համապատասխան պահուստների չափով նվազեցվելուց հետո չեն կշռվում, բացառությամբ «Նոստրո» թղթակցային հաշիվների, միջբանկային ավանդների, միջբանկային վարկերի, բանկերի նկատմամբ այլ պահանջների, օտարերկրյա կառավարությունների և կենտրոնական բանկերի նկատմամբ պահանջների, որոնք իրենց համապատասխան պահուստի չափով նվազեցվելուց հետո կշռվում են սույն կանոնակարգի 3-րդ հավելվածի 6-րդ կետով սահմանված ակտիվների համապատասխան ռիսկի կշիռներով (բայց ոչ ավելի, քան 100 տոկոսով):
Կընդ - բանկի ընդհանուր կապիտալն է:
(42-րդ կետը փոփ. 30.11.11 թիվ 323-Ն, 27.11.12 թիվ 325-Ն, լրաց., փոփ. 23.11.18 թիվ 196-Ն)
43. Բանկի հետ կապված բոլոր անձանց գծով ռիսկի առավելագույն չափը (Ն42 նորմատիվ) սահմանվում է՝
Ն42 = Ռիսկ/Կընդ բանաձևով,
որտեղ՝
Ռիսկ - բանկի կողմից տվյալ բանկի հետ կապված անձանց տրամադրվող վարկերի, այդ թվում՝ բանկային հաշվի վարկավորմամբ, բոլոր այլ փոխառությունների, ֆակտորինգային, լիզինգային գործառնությունների, տրամադրված նախավճարների, կանխավճարների, բանկի մատուցած ծառայության կամ ապրանքի դիմաց տարաժամկետ վճարումների, ակրեդիտիվների, անձի կամ նրա հետ փոխկապակցված անձանց թողարկած արժեթղթերում ներդրումների (ներառյալ՝ մուրհակների), բանկի թղթակցային հաշիվների ու ավանդների, դեբիտորական պարտավորությունների, ռեպո համաձայնագրերի (համաձայն սույն կանոնակարգի 47-րդ կետի), ռեպո համաձայնագրերով վաճառված արժեթղթերի (համաձայն սույն կանոնակարգի 48.2 կետի), ածանցյալ գործիքների գծով առաջացող պահանջների (համաձայն սույն կանոնակարգի 48-րդ կետի), ինչպես նաև բանկի նկատմամբ ցանկացած հիմքով ծագած այլ պարտավորությունների, այդ թվում՝ նրա կողմից այլ անձին (որը բանկի հետ կապված անձ չէ) նույն բանկի հանդեպ ունեցած պարտավորությունների դիմաց տրված երաշխիքների կամ երաշխավորությունների, ինչպես նաև ցանկացած այլ ապահովվածության արժեքի (ապահովված ընդհանուր պարտավորությունը չգերազանցող գումարի չափով), բանկի հետ կապված անձանց պարտավորությունների դիմաց տրված երաշխիքների և երաշխավորությունների, այլ բանկերի կողմից տվյալ բանկի դրամական միջոցների հաշվին և դրանցով ապահովված միևնույն անձանց տրամադրված փոխառությունների և (կամ) երաշխիքների (եթե այդ փոխառության վերադարձելիության ռիսկը ստանձնել է տվյալ բանկը), վարկային ռիսկ պարունակող հետհաշվեկշռային պայմանական պարտավորությունների գումարն է: Ն42 նորմատիվի ռիսկի հաշվարկում ընդգրկվող տարրերը իրենց համապատասխան պահուստների չափով նվազեցվելուց հետո չեն կշռվում, բացառությամբ «Նոստրո» թղթակցային հաշիվների, միջբանկային ավանդների, միջբանկային վարկերի, բանկերի նկատմամբ այլ պահանջների, օտարերկրյա կառավարությունների և կենտրոնական բանկերի նկատմամբ պահանջների, որոնք իրենց համապատասխան պահուստի չափով նվազեցվելուց հետո կշռվում են սույն կանոնակարգի 3-րդ հավելվածի 6-րդ կետով սահմանված ակտիվների համապատասխան ռիսկի կշիռներով (բայց ոչ ավելի, քան 100 տոկոսով):
Կընդ- բանկի ընդհանուր կապիտալն է:
(43-րդ կետը փոփ. 30.11.11 թիվ 323-Ն, 27.11.12 թիվ 325-Ն, լրաց., փոփ. 23.11.18 թիվ 196-Ն)
44. Ն41 և Ն42 նորմատիվները չեն հաշվարկվում բանկի՝ Հայաստանի Հանրապետության տարածքում գործող դուստր կազմակերպությունների (բանկեր, վարկային կազմակերպություններ, ինչպես նաև «Բանկերի և բանկային գործունեության մասին» Հայաստանի Հանրապետության օրենքի 34-րդ հոդվածի 1-ին կետում նշված գործունեություն իրականացնող այլ կազմակերպություններ) նկատմամբ, որոնց հաշվեկշիռը բանկը միավորում է իր հաշվեկշռում՝ Կենտրոնական բանկի խորհրդի 2002 թվականի ապրիլի 2-ի թիվ 87 որոշմամբ հաստատված «Հայաստանի Հանրապետության տարածքում գործող բանկերի կողմից Հայաստանի Հանրապետության կենտրոնական բանկ ներկայացվող համախմբված հաշվետվությունների կազմման կարգի» համաձայն:
44.1. Եթե բանկը և անձը կապված են միայն այն հիմքով, որ պետությունը, Միջազգային ֆինանսական կորպորացիան, Եվրոպական վերակառուցման և զարգացման բանկը և (կամ) Ասիական զարգացման բանկը հանդիսանում է (են) բանկի նշանակալից մասնակից և միևնույն ժամանակ տիրապետում է (են) այդ անձի ձայնի իրավունք տվող բաժնետոմսերի (բաժնեմասերի, փայամասնակցությունների) 20 տոկոսից ավելիին կամ իրավունք ունի (ունեն) օրենքով չարգելված այլ ձևով կանխորոշել այդ անձի որոշումները, ապա Ն41 և Ն42 նորմատիվների հաշվարկման իմաստով բանկը և այդ անձը չեն համարվում կապված:
(44.1-ին կետը լրաց. 23.07.13 թիվ 179-Ն)
45. Ն31, Ն32, Ն41 և Ն42 նորմատիվները հաշվարկվում են ամսվա վերջին օրվա դրությամբ, ինչպես նաև վերոնշյալ նորմատիվների ռիսկերի մեջ ընդգրկվող տարրերի ծագման և տարրերի մեծության յուրաքանչյուր փոփոխության դեպքում: Ամսվա վերջին օրվա դրությամբ Ն31, Ն32, Ն41 և Ն42 նորմատիվները հաշվարկելիս համարիչի «Ռիսկ» տարրը հաշվարկվում է հաշվետու ամսվա վերջին օրվա դրությամբ, իսկ ընդհանուր կապիտալը՝ ամսվա միջին օրական հաշվարկով: Ամսվա վերջին օրը Ն31, Ն32, Ն41 և Ն42 նորմատիվները հաշվարկելիս «նոստրո» թղթակցային հաշիվները ռիսկի հաշվարկում ընդգրկվում են ամսվա միջին օրական մեծությամբ:
45.1. Ն31, Ն32, Ն41 և Ն42 նորմատիվների ռիսկերի հաշվարկում ընդգրկվող տարրերի ծագման պահին, ինչպես նաև նշված տարրերի մեծության յուրաքանչյուր փոփոխության դեպքում վերոնշյալ նորմատիվները հաշվարկվում են տվյալ օրվա ընդհանուր կապիտալի նկատմամբ: Ն31, Ն32, Ն41 և Ն42 նորմատիվները «նոստրո» թղթակցային հաշիվների ծագման, ինչպես նաև յուրաքանչյուր փոփոխության դեպքում չեն հաշվարկվում:
46. Ն31, Ն32, Ն41 և Ն42 նորմատիվների ռիսկերի հաշվարկում չեն ընդգրկվում Հայաստանի Հանրապետության պետական պարտատոմսերը և սույն կանոնակարգի 28.3-րդ կետով սահմանված՝ առաջին մակարդակի հիմնական կապիտալի մեծությունից նվազեցվող տարրերը:
(46-րդ կետը փոփ. 20.09.16 թիվ 146-Ն, խմբ. 14.11.17 թիվ 257-Ն, փոփ. 15.11.22 թիվ 195-Ն)
47. Ն31, Ն32, Ն41 և Ն42 նորմատիվների հաշվարկում ռեպո համաձայնագրերը համարվում են պահանջ ռեպո համաձայնագրի կողմ հանդիսացող գործընկերոջ նկատմամբ` ռեպո համաձայնագրի հաշվեկշռային արժեքի չափով, իսկ սույն կանոնակարգի հավելված 3-ի 3-րդ գլխով սահմանված կարգով ՎՌԶՄ կիրառելու դեպքում` ռեպո համաձայնագրի չապահովված մասի արժեքի չափով:
(47-րդ կետը խմբ. 27.11.12 թիվ 325-Ն)
48. Սույն կանոնակարգի 37-րդ, 38-րդ, 42-րդ և 43-րդ կետերում նշված ածանցյալ գործիքների գծով առաջացող պահանջները Ն31, Ն32, Ն41 և Ն42 նորմատիվների հաշվարկում ընդգրկվում են միայն ածանցյալ գործիքների գծով հաշվեկշռի ակտիվային մասում արտացոլված գումարների չափով, բացառությամբ այն դեպքի, երբ բանկը սվոպ գործարքի արդյունքում ստացել է երկրորդ խմբի արտարժույթ (բացառությամբ` ռուսական ռուբլու), որի դեպքում Ն31, Ն32, Ն41 և Ն42 նորմատիվների հաշվարկում սվոպն ընդգրկվում է բանկի հետհաշվեկշռում արտացոլված ստացման ենթակա ամբողջ գումարի չափով:
(48-րդ կետը խմբ. 30.11.11 թիվ 323-Ն, 27.11.12 թիվ 325-Ն)
48.1. Ն31, Ն32, Ն41 և Ն42 նորմատիվների ռիսկերի հաշվարկում ընդգրկվող արտարժույթի առուվաճառքի սփոթ գործարքները, որոնց դեպքում բանկը ստանալու է Հայաստանի Հանրապետության դրամ կամ առաջին խմբի արտարժույթ, հաշվարկի մեջ ընդգրկվում են 0% ռիսկի կշռով, եթե տվյալ գործառնությունների արդյունքում արժույթների տրամադրումն ու ստացումն իրականացվելու է միևնույն բանկային օրվա ընթացքում, որը կարող է և չհամընկնել գործարքի կնքման օրվա հետ:
(48.1-ին կետը լրաց. 18.11.08 թիվ 325-Ն)
48.2. Ն31, Ն32, Ն41 և Ն42 նորմատիվների հաշվարկում ռեպո համաձայնագրով վաճառված արժեթղթերը և փոխառությամբ տրամադրված արժեթղթերը համարվում են պահանջ`
1) տվյալ արժեթղթի թողարկողի նկատմամբ` արժեթղթի հաշվեկշռային արժեքի չափով, և
2) ռեպո համաձայնագրի կողմ հանդիսացող գործընկերոջ (փոխառուի) նկատմամբ` սույն կանոնակարգի հավելված 3-ի 22.2 կետով սահմանված չապահովված մասի արժեքի չափով: Ընդ որում, եթե բանկը ռեպո համաձայնագրով ձեռք է բերել երկրորդ խմբի արտարժույթ (բացառությամբ ռուսական ռուբլու), ապա վերջինս Ն31, Ն32, Ն41 և Ն42 նորմատիվների հաշվարկի առումով չի դիտվում որպես ռեպո համաձայնագրի ապահովվածություն:
(48.2-րդ կետը լրաց. 27.11.12 թիվ 325-Ն)
49. Ն31 , Ն32 , Ն41 և Ն42 նորմատիվների հաշվարկի մեջ չեն ընդգրկվում այն պահանջները, որոնք ամբողջությամբ ապահովված են.
ա) Կենտրոնական բանկի կողմից թողարկված արժեթղթերով, Հայաստանի Հանրապետության պետական գանձապետական պարտատոմսերով,
բ) Կենտրոնական բանկի, Հայաստանի Հանրապետության կառավարության երաշխիքներով կամ երաշխավորություններով,
գ) Որոշման Հավելված 3-ի (այսուհետ՝ Հավելված 3) Աղյուսակ 1-ի 6.6. կետով սահմանված կազմակերպությունների կողմից թողարկված արժեթղթերով,
դ) Հավելված 3-ի Աղյուսակ 1-ի 6.6. կետով սահմանված կազմակերպությունների կողմից տրամադրված երաշխիքներով կամ երաշխավորություններով,
ե) Ստանդարտ և Փուրզ կամ Ֆիթչ (փակագծում՝ Մուդիզ) վարկանիշային գործակալությունների տրամադրած ԱԱ-(Աա3) և ԱԱ-(Աա3)-ից բարձր վարկանիշ ունեցող օտարերկրյա կառավարությունների և կենտրոնական բանկերի թողարկած արժեթղթերով,
զ) Ստանդարտ և Փուրզ կամ Ֆիթչ (փակագծում՝ Մուդիզ) վարկանիշային գործակալությունների տրամադրած ԱԱ-(Աա3) և ԱԱ-(Աա3)-ից բարձր վարկանիշ ունեցող օտարերկրյա կառավարությունների և կենտրոնական բանկերի կողմից տրամադրված երաշխիքներով կամ երաշխավորություններով,
է) տվյալ բանկում ներդրված ավանդներով, տվյալ բանկին տրամադրված վարկերից կամ փոխառություններից բխող պահանջի իրավունքով:
Ընդ որում, սույն կետով սահմանված պահանջները և դրանց ապահովվածությունները պետք է միաժամանակ բավարարեն հետևյալ պայմաններին.
ա. ցանկացած արժույթով արտահայտված պահանջի ապահովվածությունը պետք է արտահայտված լինի Հայաստանի Հանրապետության դրամով, առաջին խմբի մեջ մտնող արտարժութային միջոցներով, բանկային ոսկով և (կամ) ռուբլով, իսկ երկրորդ խմբի մեջ մտնող արտարժութային միջոցներով արտահայտված պահանջի ապահովվածությունը, բացի սույն ենթակետով սահմանված արժույթներից, կարող է նաև արտահայտված լինել տվյալ պահանջին համապատասխան արժույթով, և
բ. պահանջների` մինչև մարումն ընկած ժամկետները չպետք է գերազանցեն ապահովվածություն հանդիսացող արժեթղթերի, տվյալ բանկում ներդրված ավանդների` մինչև մարումն ընկած ժամկետները, տվյալ բանկին տրամադրված վարկերից կամ փոխառություններից բխող պահանջի իրավունքի իրականացման ժամկետները, ինչպես նաև երաշխիքների կամ երաշխավորությունների տրամադրման ժամկետները, և
գ. փոխառուի կողմից պարտավորությունների չկատարման դեպքում գրավի առարկայի փաստացի իրացման հնարավորության կամ բանկին տրամադրված երաշխիքի/երաշխավորության կատարման ժամկետների առումով չպետք է լինեն պայմանագրով և/կամ այլ փոխադարձ համաձայնությամբ նախատեսված սահմանափակումներ:
Այն պահանջները, որոնք ամբողջությամբ ապահովված չեն, սույն կետի ա)-է) ենթակետերում նշված ապահովվածության տեսակներով, չապահովված մասով ընդգրկվում են Ն31, Ն32, Ն41 և Ն42 նորմատիվների հաշվարկի մեջ, իսկ ապահովված մասը չի ընդգրկվում Ն31, Ն32, Ն41 և Ն42 նորմատիվների հաշվարկի մեջ: Ընդ որում, Ն31, Ն32, Ն41 և Ն42 նորմատիվների հաշվարկում ընդգրկվող պահանջների չապահովված մասերն իրենց համապատասխան պահուստների չափով նվազեցվելուց հետո չեն կշռվում, բացառությամբ «Նոստրո» թղթակցային հաշիվների, միջբանկային ավանդների, միջբանկային վարկերի, օտարերկրյա կառավարությունների և կենտրոնական բանկերի նկատմամբ պահանջների, որոնք իրենց համապատասխան պահուստի չափով նվազեցվելուց հետո կշռվում են սույն կանոնակարգի 3-րդ հավելվածի 6-րդ կետով սահմանված ակտիվների համապատասխան ռիսկի կշիռներով (բայց ոչ ավելի, քան 100 տոկոսով): Սույն կետը չի տարածվում ռեպո համաձայնագրերի, ռեպո համաձայնագրով վաճառված արժեթղթերի և փոխառությամբ տրամադրված արժեթղթերի վրա:
(49-րդ կետը խմբ. 02.10.07 թիվ 317-Ն, 23.05.08 թիվ 163-Ն, լրաց. 18.11.08 թիվ 325-Ն, 19.03.10 թիվ 54-Ն, 27.11.12 թիվ 325-Ն, խմբ. 10.05.16 թիվ 79-Ն, փոփ. 23.11.18 թիվ 196-Ն)
50. Կենտրոնական բանկում պահուստավորման են ենթակա բանկի և օտարերկրյա բանկի՝ Հայաստանի Հանրապետության տարածքում գործող մասնաճյուղի կողմից Հայաստանի Հանրապետության դրամով, արտարժույթով, ինչպես նաև մետաղական հաշիվներով ներգրավված միջոցները: Հայաստանի Հանրապետության դրամով ներգրավված միջոցների դիմաց պահուստավորումն իրականացվում է Հայաստանի Հանրապետության դրամով, ԱՄՆ դոլարով ներգրավված միջոցների դիմաց՝ 6%-ը Հայաստանի Հանրապետության դրամով, իսկ 12%-ը՝ ԱՄՆ դոլարով, եվրոյով ներգրավված միջոցների դիմաց՝ 6%-ը Հայաստանի Հանրապետության դրամով, իսկ 12%-ը՝ եվրոյով, իսկ մնացած այլ արժույթներով, ինչպես նաև մետաղական հաշիվներով ներգրավված միջոցների դիմաց՝ 6%-ը Հայաստանի Հանրապետության դրամով, իսկ 12%-ը՝ ԱՄՆ դոլարով: Կենտրոնական բանկում արտարժութային թղթակցային հաշվի բացման կամ դրա հետագա սպասարկման՝ բանկի կամքից անկախ հանգամանքներով պայմանավորված անհնարինության դեպքում, Կենտրոնական բանկի խորհրդի համաձայնությամբ, արտարժույթով և առարկայազուրկ մետաղական հաշիվներով ներգրավված միջոցների դիմաց պահուստավորումն ամբողջությամբ իրականացվում է Հայաստանի Հանրապետության դրամով:
Ներգրավված միջոցների դիմաց պարտադիր պահուստավորումն իրականացվում է սույն կանոնակարգի 52-րդ կետով սահմանված ժամանակահատվածներում: Արտարժույթի փոխարժեքի փոփոխման հետ կապված ռիսկը կրում է բանկը:
(50-րդ կետը խմբ. 16.03.10 թիվ 46-Ն, 27.07.10 թիվ 171-Ն, 01.02.11 թիվ 21-Ն, լրաց. 08.02.11 թիվ 26-Ն, խմբ. 22.11.11 թիվ 305-Ն, 07.06.19 թիվ 75-Ն, փոփ. 19.07.19 թիվ 94-Ն, 07.10.19 թիվ 142-Ն, 18.08.20 թիվ 133-Ն, 16.04.21 թիվ 46-Ն, 19.04.21 թիվ 47-Ն, 07.12.21 թիվ 183-Ն, 14.06.22 թիվ 96-Ն, լրաց. 04.04.23 թիվ 38-Ն)
51. Հայաստանի Հանրապետության դրամով ներգրավված միջոցների դիմաց պահուստավորման ենթակա գումարի, ինչպես նաև արտարժույթով (այդ թվում՝ մետաղական հաշիվներով) ներգրավված միջոցների դիմաց Հայաստանի Հանրապետության դրամով պահուստավորման ենթակա գումարի մեծության կարգավորումը կատարվում է փաստացի պահուստավորված և պահուստավորման ենթակա միջոցների միջին օրական գումարների համեմատման միջոցով, այնպես, որ փաստացի պահուստավորված միջին օրական գումարը հավասար կամ ավելի լինի հաշվետու ժամանակահատվածում պահուստավորման ենթակա միջոցների միջին օրական գումարից:
Արտարժույթով (այդ թվում՝ մետաղական հաշիվներով) ներգրավված միջոցների դիմաց համապատասխան արտարժույթով պահուստավորման ենթակա գումարի մեծության կարգավորումը կատարվում է օրական կտրվածքով, այնպես, որ փաստացի պահուստավորման ժամանակահատվածում յուրաքանչյուր օր փաստացի պահուստավորված գումարը հավասար կամ ավելի լինի հաշվետու ժամանակահատվածում պահուստավորման ենթակա միջոցների միջին օրական գումարից:
Արտարժույթով (այդ թվում՝ մետաղական հաշիվներով) ներգրավված միջոցների դիմաց՝ հաշվետու ժամանակահատվածում դրամով պահուստավորման ենթակա միջոցների գումարը յուրաքանչյուր օրվա համար որոշվում է` հիմք ընդունելով արտարժույթով ներգրավված միջոցների օրական դրամային համարժեքը: Օրական դրամային համարժեքը յուրաքանչյուր օրվա համար որոշվում է` հիմք ընդունելով տվյալ օրվա` Կենտրոնական բանկի կողմից տվյալ արտարժույթի համար հայտարարված արտարժույթի նկատմամբ հայկական դրամի` արժութային շուկաներում ձևավորված միջին փոխարժեքը: Մետաղական հաշիվներով ներգրավված միջոցների օրական դրամային համարժեքը որոշվում է` հիմք ընդունելով տվյալ օրվա` Կենտրոնական բանկի կողմից հայտարարված ոսկու հաշվարկային գները:
ԱՄՆ դոլարից և եվրոյից տարբերվող արտարժույթներով ներգրավված միջոցների դիմաց արտարժույթով իրականացվող պարտադիր պահուստավորման հաշվարկները կատարվում են կրոս փոխարժեքով՝ հիմք ընդունելով տվյալ օրվա` Կենտրոնական բանկի կողմից տվյալ արտարժույթի համար հայտարարված արտարժույթի նկատմամբ հայկական դրամի` արժութային շուկաներում ձևավորված միջին փոխարժեքը:
Մետաղական հաշիվներով ներգրավված միջոցների դիմաց արտարժույթով իրականացվող պարտադիր պահուստավորման հաշվարկները կատարվում են` հիմք ընդունելով տվյալ օրվա` Կենտրոնական բանկի կողմից հայտարարված ոսկու հաշվարկային գները, ինչպես նաև տվյալ օրվա` Կենտրոնական բանկի կողմից տվյալ արտարժույթի համար հայտարարված արտարժույթի նկատմամբ հայկական դրամի` արժութային շուկաներում ձևավորված միջին փոխարժեքը:
(51-րդ կետը փոփ. 18.11.08 թիվ 325-Ն, լրաց. 27.07.10 թիվ 171-Ն, խմբ. 22.11.11 թիվ 305-Ն, 10.12.14 թիվ 339-Ն, 17.12.14 թիվ 365-Ն, 23.12.14 թիվ 369-Ն, 30.06.15 թիվ 152-Ն, 11.08.15 թիվ 183-Ն, լրաց., փոփ. 20.09.16 թիվ 146-Ն, խմբ. 07.06.19 թիվ 75-Ն)
52. Ներգրավված միջոցների դիմաց պահուստավորման ենթակա միջոցների չափի հաշվարկի համար 2015 թվականի փետրվարի 1-ից սկսվող հաշվետու ժամանակահատվածի և դրան հաջորդող հաշվետու ժամանակահատվածների տևողությունը սահմանվում է օրացուցային մեկ ամիսը, իսկ միջոցների փաստացի պահուստավորման հաշվարկի ժամանակահատվածը ընդգրկում է հաշվետու ժամանակահատվածի ավարտին հաջորդող 2-րդ ամսվանից սկսած՝ Կենտրոնական բանկի կողմից սահմանված պահուստավորման օրացույցով (այսուհետ՝ պահուստավորման օրացույց) նախատեսված, որպես կանոն, չորեքշաբթիից երեքշաբթի ընկած 28 կամ 35 օրերը: Ընդ որում, փաստացի պահուստավորման վերջնաժամկետ է համարվում պահուստավորման օրացույցով սահմանված փաստացի պահուստավորման վերջին օրվա` Կենտրոնական բանկի գործառնական օրվա ավարտը:
(52-րդ կետը խմբ. 25.12.07 թիվ 422-Ն, 18.11.08 թիվ 325-Ն, լրաց. 27.07.10 թիվ 171-Ն, փոփ. 22.11.11 թիվ 305-Ն, խմբ. 10.12.14 թիվ 339-Ն)
52.1. (կետն ուժը կորցրել է 22.11.11 թիվ 305-Ն)
52.1.1 (կետն ուժը կորցրել է 22.11.11 թիվ 305-Ն)
52.1.2. (կետն ուժը կորցրել է 01.02.11 թիվ 21-Ն)
52.2. Ընթացիկ տարվա պահուստավորման հաշվետու և փաստացի ժամանակահատվածների վերաբերյալ տեղեկատվությունը` պարտադիր պահուստավորման օրացույցը՝ հաստատված Կենտրոնական բանկի խորհրդի կողմից, տեղակայվում է Կենտրոնական բանկի ինտերնետային կայքում, որպես կանոն, մինչև նախորդ տարվա նոյեմբերի 30-ը: Պահուստավորման օրացույցի օրինակելի ձևը ներկայացված է սույն կանոնակարգի հավելված 7-ում:
(52.2-րդ կետը լրաց. 18.11.08 թիվ 325-Ն, փոփ. 27.07.10 թիվ 171-Ն)
53. Պարտադիր պահուստավորման ենթակա են Հայաստանի Հանրապետության դրամով և արտարժույթով ներգրավված միջոցները, բացառությամբ՝
1) Կենտրոնական բանկից ներգրաված միջոցների,
2) Հայաստանի Հանրապետության կառավարության 2009 թվականի հունիսի 26-ի թիվ 717-Ա որոշմամբ հաստատված՝ տնտեսության կայունացման վարկավորման ծրագրի Բաղադրիչ 1-ի միջոցների,
3) «ԱԶԳԱՅԻՆ ՀԻՓՈԹԵՔԱՅԻՆ ԸՆԿԵՐՈՒԹՅՈՒՆ» վերաֆինանսավորում իրականացնող վարկային կազմակերպություն փակ բաժնետիրական ընկերությունից ներգրաված միջոցների,
4) «ԲՆԱԿԱՐԱՆ ԵՐԻՏԱՍԱՐԴՆԵՐԻՆ» վերաֆինանսավորում իրականացնող վարկային կազմակերպություն փակ բաժնետիրական ընկերությունից ներգրաված միջոցների,
5) Հայաստանի Հանրապետության տարածքում գործող բանկերի միջև թղթակցային հաշիվների, միմյանցից ներգրաված այլ միջոցների,
6) Կենտրոնական բանկում բացված կուտակման հաշվում հաշվառվող կանոնադրական կապիտալի համալրման նպատակով ներգրաված միջոցների,
7) բանկի ընդհանուր կապիտալի հաշվարկում ներառվող երկարաժամկետ ստորադաս փոխառությունների,
8) (ենթակետն ուժը կորցրել է 24.02.15 թիվ 44-Ն)
9) կորոնավիրուսի տնտեսական հետևանքների չեզոքացմանն ուղղված միջոցառումների շրջանակում պետական աջակցության ծրագրերով ներգրավված միջոցների:
(53-րդ կետը խմբ. 11.03.08 թիվ 56-Ն, լրաց. 07.10.08 N 285-Ն, 30.06.09 թիվ 195-Ն, 30.11.11 թիվ 323-Ն, փոփ. 20.12.11 թիվ 354-Ն, փոփ., լրաց. 27.11.12 թիվ 325-Ն, խմբ. 10.12.14 թիվ 339-Ն, փոփ. 24.02.15 թիվ 44-Ն, լրաց. 12.06.20 թիվ 92-Ն)
53.1 (կետն ուժը կորցրել է 07.10.08 N 285-Ն)
53.1. Եթե պարտադիր պահուստավորման նորմատիվի հաշվարկում սույն կանոնակարգի 24-րդ և մինչև 2022 թվականի հունվարի 1-ը 24.1-րդ կետերով սահմանված դրույքաչափերից ցածր դրույքաչափերով ընդգրկված ներգրավված միջոցների գծով իրականացվում է վաղաժամկետ մարում կամ հետգնում, ապա բանկն այդ ներգրավված միջոցների գծով իրականացնում է պահուստավորում հետևյալ կարգով՝ բացառությամբ, եթե վաղաժամկետ մարված կամ հետգնված փոխառության ամբողջ գումարն ուղղվում է բանկի կանոնադրական կապիտալի համալրմանը (սույն կանոնակարգի 28.2-րդ կետի համաձայն առաջին մակարդակի հիմնական կապիտալի կազմում ներառվող բաժնետոմսերի տեսքով).
1) Պահուստավորումն իրականացվում է այն ժամկետով, որի չափով ներգրավված միջոցը պարտադիր պահուստավորման նորմատիվի հաշվարկում ընդգրկվել էր նվազեցված դրույքաչափով,
2) Պահուստավորման ենթակա գումարը որոշվում է հետևյալ բանաձևով.
|
n | ||
|
Պահուստավորման ենթակա գումար |
= | _________ |
|
n |
որտեղ.
ո – սույն կետի 1-ին ենթակետում նշված ժամկետն է օրերով,
Ai – ներգրավված միջոցի i-րդ օրվա դրամային համարժեքն է,
ri – i-րդ օրվա համար Հայաստանի Հանրապետության դրամով ներգրավված միջոցների դեպքում սույն կանոնակարգի 24-րդ կետով սահմանված դրույքաչափի 1.25-ապատիկն է, իսկ 18%-ից ցածր դրույքաչափով պահուստավորված արտարժույթով ներգրավված միջոցների դեպքում 18%-ն է,
3) Սույն կետի 2-րդ ենթակետով սահմանված գումարի պահուստավորումն իրականացվում է վաղաժամկետ մարումը կամ հետգնումն ընդգրկող հաշվետու ժամանակահատվածին համապատասխանող փաստացի պահուստավորման ժամանակահատվածի առաջին օրվանից սկսած՝ սույն կետի 1-ին ենթակետով սահմանված ժամկետի ընթացքում՝ գումարելով սույն կետի 2-րդ ենթակետով սահմանված գումարը Կենտրոնական բանկում տեղաբաշխվող պարտադիր պահուստների մեծությանը: Սույն կետով սահմանված պահուստավորումն իրականացվում է այն դեպքում, եթե վաղաժամկետ մարումն իրականացվել է մինչև այն ժամկետի ավարտը, որին համապատասխանող նվազեցված դրույքաչափով ներգրավված միջոցն ընդգրկվել էր պահուստավորման հաշվարկում:
(53.1-ին կետը լրաց. 14.10.09 թիվ 297-Ն, խմբ. 10.12.14 թիվ 339-Ն, 21.01.15 թիվ 6-Ն, 24.02.15 թիվ 44-Ն, փոփ. 30.06.15 թիվ 152-Ն, 10.11.15 թիվ 236-Ն, փոփ., լրաց. 03.02.17 թիվ 31-Ն, խմբ. 26.12.17 թիվ 293-Ն, խմբ., փոփ., լրաց. 23.11.18 թիվ 196-Ն, փոփ. 16.04.21 թիվ 46-Ն, լրաց., փոփ. 19.04.21 թիվ 47-Ն, փոփ. 15.11.22 թիվ 195-Ն)
53.2 (կետն ուժը կորցրել է 07.10.08 N 285-Ն)
53.3 (կետն ուժը կորցրել է 07.10.08 N 285-Ն)
53.4. Սույն կանոնակարգի 24.1.1-րդ կետով սահմանված ներգրավված միջոցների նկատմամբ բանկը կարող է կիրառել սույն կանոնակարգի 24-րդ կետով սահմանված դրույքաչափը, որի դեպքում բանկի վրա չեն տարածվի սույն կանոնակարգի 53.1 կետով սահմանված պահանջները` ներգրավված միջոցների մասնակի կամ ամբողջական վաղաժամկետ մարման դեպքում:
(53.4-րդ կետը լրաց. 21.01.15 թիվ 6-Ն, խմբ. 24.02.15 թիվ 44-Ն, փոփ. 10.11.15 թիվ 236-Ն, 03.02.17 թիվ 31-Ն, 16.04.21 թիվ 46-Ն, 19.04.21 թիվ 47-Ն)
54. Բանկերի՝ պարտադիր պահուստավորված միջոցների, ինչպես նաև կանոնադրական կապիտալի համալրման նպատակով Կենտրոնական բանկում բացված կուտակման հաշվի մնացորդի նկատմամբ կարող են հաշվարկվել և վճարվել տոկոսներ՝ Կենտրոնական բանկի սահմանած կարգով, պայմաններով ու չափով:
55. Հայաստանի Հանրապետության տարածքում գործող բանկերի՝ այլ պետություններում գործող մասնաճյուղերն ինքնուրույն են կատարում իրենց կողմից ներգրավված միջոցների դեպոնացումը տվյալ պետության կենտրոնական (ազգային) բանկում, վերջինիս կողմից սահմանված նորմատիվների սահմաններում և ժամկետներում:
56. Բանկի կողմից Հայաստանի Հանրապետության դրամով և արտարժույթով ներգրավված միջոցների դիմաց փաստացի պահուստավորված միջոցների հաշվառումը տարվում է բանկերի՝ Կենտրոնական բանկում ունեցած Հայաստանի Հանրապետության դրամով և արտարժույթով թղթակցային (պարտադիր պահուստների) հաշվով՝ հիմք ընդունելով Կենտրոնական բանկից ստացված՝ տվյալ օրվա քաղվածքներում նշված հաշվի փաստացի մնացորդները: Բանկերն ինքնուրույն են տնօրինում, տիրապետում և օգտագործում պարտադիր պահուստների միջոցները:
56.1. (կետն ուժը կորցրել է 23.09.22 թիվ 158-Ն)
56.2. (կետն ուժը կորցրել է 23.09.22 թիվ 158-Ն)
56.3 (կետն ուժը կորցրել է 23.09.22 թիվ 158-Ն)
56.4. (կետն ուժը կորցրել է 23.09.22 թիվ 158-Ն)
57. Արտարժույթի առաջին խմբի մեջ մտնում են ՍԴՌ-ը, ՍԴՌ-ի զամբյուղի մեջ մտնող արտարժույթները, շվեյցարական ֆրանկը, կանադական դոլարը, շվեդական կրոնը, դանիական կրոնը, ավստրալիական դոլարը և բանկային ոսկին: Արտարժույթի երկրորդ խմբի մեջ մտնում են այլ արժույթները:
(57-րդ կետը փոփ. 23.09.22 թիվ 158-Ն)
58. (կետն ուժը կորցրել է 11.10.19 թիվ 161-Ն)
59. Սույն կանոնակարգում «բանկային ոսկի» հասկացությունը կիրառվում է «Արժութային կարգավորման և արժութային վերահսկողության մասին» Հայաստանի Հանրապետության օրենքում սահմանված նշանակությամբ, իսկ «թանկարժեք մետաղների ստանդարտացված ձուլակտորներ» հասկացությունը` «Թանկարժեք մետաղների մասին» Հայաստանի Հանրապետության օրենքում սահմանված նշանակությամբ:
(59-րդ կետը լրաց. 08.02.11 թիվ 26-Ն)
60. Սույն կանոնակարգի իմաստով՝ առաջնային գրավ է համարվում այն գրավը, որի դեպքում գրավառու բանկը գրավ դրված գույքի նկատմամբ ունի այդ գույքի արժեքից լրիվ ծավալով բավարարում ստանալու նախապատվության իրավունք տվյալ գրավի այլ գրավառուների հանդեպ:
61. Սույն կանոնակարգի իմաստով՝ ոչ բանկ կազմակերպություններ են համարվում բոլոր իրավաբանական անձինք, բացառությամբ բանկերի:
61.1. Սույն կանոնակարգի իմաստով` ակտիվի կամ պարտավորության հաշվեկշռային մնացորդ (արժեք) է համարվում նրա գծով հաշվեկշռում հաշվեգրված գումարը` ներառյալ տոկոսները, տույժերը և տուգանքները` նվազեցրած նրա գծով ձևավորված պահուստը, կուտակված ամորտիզացիան և արժեզրկումը, եթե այդպիսիք կան:
(61.1-ին կետը լրաց. 27.11.12 թիվ 325-Ն)
61.2. Սույն կանոնակարգի իմաստով` արժութային սվոպը համաձայնություն է, որը նախատեսում է պայմանագրով սահմանված փոխարժեքով (սփոթ փոխարժեք) երկու արժույթների փոխանակում (առք/վաճառք)` այդ արժույթները պայմանագրով սահմանված ժամկետում և փոխարժեքով (ֆորվարդ փոխարժեք) հետ փոխանակելու (վաճառք/առք), ինչպես նաև պայմանագրով նախապես սահմանված տոկոսագումարներ փոխանակելու պայմանով:
(61.2-րդ կետը լրաց. 27.11.12 թիվ 325-Ն)
61.3. Սույն կանոնակարգի իմաստով` փոխարժեքային սվոպը արժութային սվոպի պարզ տեսակ է, որը նախատեսում է պայմանագրով սահմանված փոխարժեքով (սփոթ փոխարժեք) երկու արժույթների փոխանակում (առք/վաճառք)` այդ արժույթները պայմանագրով սահմանված ժամկետում և փոխարժեքով (ֆորվարդ փոխարժեք) հետ փոխանակելու (վաճառք/առք) պայմանով:
(61.3-րդ կետը լրաց. 27.11.12 թիվ 325-Ն)
61.4. Սույն կանոնակարգի իմաստով` ազատ շրջանառելի են համարվում այն արժեթղթերը, որոնք միաժամանակ բավարարում են հետևյալ պահանջներին.
1) ցուցակված են Հայաստանի Հանրապետության տարածքում գործող կարգավորվող շուկայում կամ Հայաստանի Հանրապետության կենտրոնական բանկի խորհրդի 2008 թվականի մարտի 11-ի թիվ 68 Ն որոշմամբ հաստատված «Ազդագիր և հաշվետու թողարկողների հաշվետվություններ» Կանոնակարգ 4/04-ի Հավելված 3-ով սահմանված Հայաստանի Հանրապետության տարածքից դուրս գործող կարգավորվող շուկաներում կամ Հայաստանի Հանրապետության տարածքում գործող կարգավորվող շուկայում,
2) շրջանառվում են մեծ, խորը, ակտիվ և ցածր կենտրոնացվածություն ունեցող ռեպոյի և փողի շուկայում,
3) թողարկված չեն ֆինանսական կազմակերպության կամ ֆինանսական կազմակերպության հետ փոխկապակցված կազմակերպության կողմից:
(61.4-րդ կետը լրաց. 17.04.20 թիվ 55-Ն)
Գ Լ ՈՒ Խ 6.
(գլուխը խմբ. 28.09.21 թիվ 141-Ն)
ՊԱՀԱՆՋԻ ԵՎ ԳՐԱՎԻ ԱՐԺԵՔԻ ՍԱՀՄԱՆԱՅԻՆ ՀԱՐԱԲԵՐԱԿՑՈՒԹՅԱՆ ՍԱՀՄԱՆԱՉԱՓԵՐՆ ՈՒ ՀԱՇՎԱՐԿՄԱՆ ԿԱՐԳԸ
62. Պահանջի և գրավի արժեքի սահմանային հարաբերակցության առավելագույն չափը (Ն51 նորմատիվ) անշարժ գույքով ապահովված ՀՀ դրամով վարկերի դեպքում սահմանվում է 90%:
63. Հաշվետու եռամսյակի ընթացքում տրամադրվող Ն51 նորմատիվի պահանջներին չբավարարող անշարժ գույքով ապահովված ՀՀ դրամով վարկերի առավելագույն թույլատրելի ծավալը որոշվում է հետևյալ բանաձևով.
Պշեղում= ՊՆ * 10%, որտեղ
Պշեղում - հաշվետու եռամսյակի ընթացքում ՀՀ դրամով տրամադրված և Ն51 նորմատիվի պահանջներին չբավարարող, անշարժ գույքով ապահովված վարկերի թույլատրելի ծավալն է՝ պայմանագրային մայր գումարների հանրագումարը:
ՊՆ - հաշվետու եռամսյակին նախորդող երկու եռամսյակի ընթացքում բանկի կողմից տրամադրված անշարժ գույքով ապահովված ՀՀ դրամով վարկերի պայմանագրային մայր գումարների հանրագումարների միջինն է, որը հաշվարկվում է՝ սույն պարբերությամբ սահմանված վարկերի պայմանագրային մայր գումարների հանրագումարը հարաբերելով երկուսի: ՊՆ ցուցանիշի հաշվարկին չեն մասնակցում ֆիզիկական անձանց տրամադրված անշարժ գույքով ապահովված գյուղատնտեսական վարկերի և անհատ ձեռնարկատերերին տրամադրված անշարժ գույքով ապահովված վարկերի գումարները:
64. Այն դեպքում, երբ վարկառուն ունի անշարժ գույքով ապահովված գործող արտարժութային վարկ, ապա այդ անշարժ գույքով ապահովված ՀՀ դրամով նոր վարկ տրամադրելիս հաշվարկվում է Ն52 նորմատիվը։
65. Պահանջի և գրավի արժեքի սահմանային հարաբերակցության առավելագույն չափը (Ն52 նորմատիվ) անշարժ գույքով ապահովված արտարժութային վարկերի դեպքում սահմանվում է 70%։
66. Հաշվետու եռամսյակի ընթացքում տրամադրվող Ն52 նորմատիվի պահանջներին չբավարարող, անշարժ գույքով ապահովված արտարժութային վարկերի առավելագույն թույլատրելի ծավալը որոշվում է հետևյալ բանաձևով.
Պշեղում= ՊՆ * 5%, որտեղ
Պշեղում –անշարժ գույքով ապահովված հետևյալ վարկերի թույլատրելի ծավալն է՝ պայմանագրային մայր գումարների հանրագումարը.
1) հաշվետու եռամսյակի ընթացքում արտարժույթով տրամադրված, անշարժ գույքով ապահովված ու Ն52 նորմատիվի պահանջներին չբավարարող վարկեր և (կամ)
2) հաշվետու եռամսյակի ընթացքում ՀՀ դրամով տրամադրված վարկեր, որոնք ապահովված են գործող արտարժութային վարկի գրավ հանդիսացող անշարժ գույքով և չեն բավարարում Ն52 նորմատիվի պահանջներին։
ՊՆ - հաշվետու եռամսյակին նախորդող երկու եռամսյակի ընթացքում բանկի կողմից տրամադրված անշարժ գույքով ապահովված արտարժութային վարկերի, ինչպես նաև գործող արտարժութային վարկի գրավ հանդիսացող անշարժ գույքով ապահովված ՀՀ դրամով տրամադրված վարկերի պայմանագրային մայր գումարների հանրագումարների միջինն է, որը հաշվարկվում է՝ սույն պարբերությամբ սահմանված վարկերի մայր գումարների հանրագումարը հարաբերելով երկուսի: ՊՆ ցուցանիշի հաշվարկին չեն մասնակցում ֆիզիկական անձանց տրամադրված անշարժ գույքով ապահովված գյուղատնտեսական վարկերը և անհատ ձեռնարկատերերին տրամադրված անշարժ գույքով ապահովված վարկերը:
67. Պահանջի և գրավի արժեքի սահմանային հարաբերակցության առավելագույն չափը (չափերը) հաշվարկվում է (են) ֆիզիկական անձանց հետևյալ միջոցներով (այսուհետ՝ անշարժ գույք) ապահովված վարկեր (այսուհետ՝ անշարժ գույքով ապահովված վարկ) տրամադրելու դեպքում․
1. անշարժ գույք,
2. հողամասի կառուցապատման իրավունք,
3. կառուցվող բազմաբնակարան կամ ստորաբաժանված շենքից անշարժ գույք գնելու իրավունք:
68. Պահանջի և գրավի արժեքի սահմանային հարաբերակցության առավելագույն չափը (չափերը) չի (չեն) հաշվարկվում ֆիզիկական անձանց անշարժ գույքով ապահովված գյուղատնտեսական վարկեր և անհատ ձեռնարկատերերին անշարժ գույքով ապահովված վարկեր տրամադրելիս։
69. Ն51 նորմատիվը հաշվարկվում է՝
ՊԳԱ = Պահանջ/ԳԱ բանաձևով,
որտեղ՝
Պահանջ – միևնույն անշարժ գույքով (գույքերով) ապահովված վարկերի հանրագումարն է, որը ներառում է այդ անշարժ գույքով (գույքերով) ապահովված՝
1) ՀՀ դրամով նոր տրամադրվող վարկի պայմանագրային մայր գումարը և
2) ՀՀ դրամով տրամադրված գործող վարկի (վարկերի) համախառն հաշվեկշռային մնացորդը (մնացորդները) (առկայության դեպքում):
ԳԱ – գրավադրվող անշարժ գույքի (գույքերի) արժեքն է՝ համաձայն սույն կանոնակարգի 73-75-րդ կետերի:
70. Ն52 նորմատիվը հաշվարկվում է՝
ՊԳԱ = Պահանջ/ԳԱ բանաձևով,
որտեղ՝
Պահանջ – միևնույն անշարժ գույքով (գույքերով) ապահովված վարկերի հանրագումարն է, որը ներառում է այդ անշարժ գույքով (գույքերով) ապահովված՝
1) նոր տրամադրվող արտարժութային վարկի պայմանագրային մայր գումարը և (կամ)
2) ՀՀ դրամով նոր տրամադրվող վարկի պայմանագրային մայր գումարը՝ այն դեպքում, երբ վարկառուն ունի այդ անշարժ գույքով ապահովված գործող արտարժութային վարկ և
3) գործող վարկի (վարկերի) (անկախ արժույթից) համախառն հաշվեկշռային մնացորդը (մնացորդները) (առկայության դեպքում):
ԳԱ – գրավադրվող անշարժ գույքի (գույքերի) արժեքն է՝ համաձայն սույն կանոնակարգի 73-75-րդ կետերի:
71. Ն51, Ն52 նորմատիվը և Ն52 նորմատիվին չբավարարող անշարժ գույքով ապահովված արտարժութային վարկերի առավելագույն թույլատրելի ծավալը հաշվարկելիս արտարժութային վարկերը արտահայտվում են Հայաստանի Հանրապետության դրամով՝ հիմք ընդունելով Հայաստանի Հանրապետության կենտրոնական բանկի կողմից Ն51, Ն52 նորմատիվի և Ն52 նորմատիվին չբավարարող անշարժ գույքով ապահովված արտարժութային վարկերի թույլատրելի ծավալի հաշվարկման դրությամբ հայտարարված արժութային շուկայում ձևավորված միջին փոխարժեքը։
72. Այն դեպքում, երբ անշարժ գույքով ապահովված վարկը տրամադրվում է մեկից ավելի փուլով, ապա Ն51 և Ն52 նորմատիվներում պահանջը, Պշեղում և ՊՆ մեծությունները հաշվարկելիս հիմք է ընդունվում անշարժ գույքով ապահովված վարկի բոլոր փուլերում տրամադրվող պայմանագրային մայր գումարների հանրագումարը։ Այն դեպքում, երբ բանկը չի կարող գնահատել բոլոր փուլերում տրամադրվող պայմանագրային մայր գումարների հանրագումարը, ապա բանկը Ն51 և Ն52 նորմատիվներում պահանջը, Պշեղում և ՊՆ մեծությունները հաշվարկելիս հիմք է ընդունում անշարժ գույքով ապահովված վարկի յուրաքանչյուր փուլի ժամանակ տրամադրվող պայմանագրային մայր գումարը։
73. Ն51 և Ն52 նորմատիվները հաշվարկելիս.
1) գրավադրվող անշարժ գույքի (բացառությամբ՝ հողամասի կառուցապատման իրավունքի և կառուցվող բազմաբնակարան կամ ստորաբաժանված շենքից անշարժ գույք գնելու իրավունքի) արժեքը գրավադրվող անշարժ գույքի շուկայական արժեքն է,
2) անշարժ գույքի (բացառությամբ՝ հողամասի կառուցապատման իրավունքի և կառուցվող բազմաբնակարան կամ ստորաբաժանված շենքից անշարժ գույք գնելու իրավունքի) ձեռքբերման դեպքում անշարժ գույքի շուկայական արժեքից և ձեռքբերման գնից նվազագույնը,
3) հողամասի կառուցապատման իրավունքի և կառուցվող բազմաբնակարան կամ ստորաբաժանված շենքից անշարժ գույք գնելու իրավունքի ձեռքբերման դեպքում՝ կառուցապատողից անշարժ գույք գնելու իրավունքի ձեռքբերման գինը։
74. Անշարժ գույքի (գույքերի) շուկայական արժեքը «Անշարժ գույքի գնահատման գործունեության մասին» Հայաստանի Հանրապետության օրենքով սահմանված կարգով անշարժ գույքի գնահատողի կողմից անշարժ գույքի (գույքերի) գնահատված արժեքն է, ընդ որում՝ գնահատումը պետք է իրականացված լինի վարկի տրամադրման վերաբերյալ որոշում կայացնելուն նախորդող վեց ամսվա ընթացքում:
75. Ն51 և Ն52 նորմատիվները հաշվարկելիս մինչև 10 մլն ՀՀ դրամ (համարժեք արտարժույթի) վարկ տրամադրելու դեպքում գրավադրվող անշարժ գույքի արժեքի գնահատումը կարող է իրականացվել բանկի կողմից, եթե բանկում գործում է անշարժ գույքի գնահատման համար պատասխանատու առանձին ստորաբաժանում (աշխատակից/աշխատակիցներ), ընդ որում՝ գնահատումը պետք է իրականացված լինի վարկի տրամադրման վերաբերյալ որոշում կայացնելուն նախորդող վեց ամսվա ընթացքում։
76. Այն դեպքում, երբ անշարժ գույքով ապահովված վարկը տրամադրվում է անշարժ գույքով ապահովված գործող վարկը վերաֆինանսավորելու նպատակով, ապա վերաֆինանսավորվող վարկի մնացորդային մեծությունը Ն51 և Ն52 նորմատիվների հաշվարկին չի մասնակցում։
77. Ն51 և Ն52 նորմատիվները հաշվարկելիս վարկ է համարվում անշարժ գույքի գրավով ապահովված ֆինանսական (վարկ և (կամ) փոխառություն տրամադրող) կազմակերպության կողմից ֆիզիկական անձանց տրամադրված վարկը և փոխառությունը:
78. Սույն կանոնակարգի 68-րդ կետի իմաստով՝ անշարժ գույքով ապահովված գյուղատնտեսական վարկերը Հայաստանի Հանրապետության էկոնոմիկայի նախարարի 2013 թվականի սեպտեմբերի 19-ի թիվ 874-Ն հրամանով հաստատված «Տնտեսական գործունեության տեսակների դասակարգչի» համաձայն «Գյուղատնտեսություն, անտառային տնտեսություն և ձկնորսություն» բաժնում ներառված ոլորտներին տրամադրված վարկերն են։
ԳԼՈՒԽ 6․1․
(գլուխը լրաց. 23.09.22 թիվ 158-Ն)
ԱՐՏԱՐԺՈՒՅԹԻ ՏՆՕՐԻՆՄԱՆ ՆՈՐՄԱՏԻՎԸ
79. Յուրաքանչյուր արտարժույթի գծով դիրքի նորմատիվը հաշվարկվում է հետևյալ բանաձևով՝
որտեղ՝
|
ԴԱ = |
Աբ |
* 100% |
|
Կընդ |
ԴԱ – բանկի յուրաքանչյուր արտարժույթի գծով դիրքի նորմատիվն է՝ հաշվետու օրվա դրությամբ,
Աբ – բանկի արտարժութային բաց դիրքն է՝ բացարձակ մեծությամբ հաշվետու օրվա դրությամբ՝ արտահայտված Հայաստանի Հանրապետության դրամով,
Կընդ - բանկի նորմատիվային ընդհանուր կապիտալն է՝ արտարժույթի դիրքի նորմատիվի հաշվարկման օրվա դրությամբ:
80. Բոլոր արտարժույթների գծով նորմատիվը հաշվարկվում է հետևյալ բանաձևով՝
|
Դը = |
max(Եբ, Կբ) |
* 100% |
|
Կընդ |
որտեղ՝
Դը – բանկի բոլոր արտարժույթների գծով դիրքի նորմատիվն է՝ հաշվետու օրվա դրությամբ,
Եբ – բանկի արտարժութային երկար դիրքերի հանրագումարն է՝ հաշվետու օրվա դրությամբ՝ արտահայտված Հայաստանի Հանրապետության դրամով,
Կբ – բանկի արտարժութային կարճ դիրքերի հանրագումարն է՝ բացարձակ մեծությամբ հաշվետու օրվա դրությամբ՝ արտահայտված Հայաստանի Հանրապետության դրամով,
Կընդ – բանկի նորմատիվային ընդհանուր կապիտալն է՝ արտարժութային դիրքի նորմատիվի հաշվարկման օրվա դրությամբ:
81. Սույն Կանոնակարգի 79-րդ և 80-րդ կետերում նշված արտարժույթի բաց, երկար և կարճ դիրքերը սահմանված են սույն Կանոնակարգի Հավելված 4-ի 6.3-րդ կետով:
82. Արտարժութային դիրքի հաշվարկում ներառվում են.
1) տվյալ արտարժույթով ակտիվները և պարտավորությունները,
2) տվյալ արտարժութային ռիսկ պարունակող դրամային ակտիվները և պարտավորությունները,
3) տվյալ արտարժույթով ածանցյալ գործիքները՝ ապագայում գնվող արտարժույթը ներառվում է ակտիվային հոդվածների հաշվարկում, ապագայում վաճառվող արտարժույթը՝ պարտավորությունների հաշվարկում:
83. Արտարժութային դիրքի հաշվարկում սույն Կանոնակարգի 82-րդ կետով սահմանված ակտիվներն ընդգրկելիս՝
1) ստանդարտ և հսկվող դասակարգված ակտիվները (ոչ ռիսկային և ռիսկային դասակարգված արժեթղթերը) ներառվում են համախառն հաշվեկշռային արժեքով,
2) ոչ ստանդարտ և կասկածելի դասակարգված ակտիվները (միջին ռիսկային և բարձր ռիսկային դասակարգված արժեթղթերը)՝ հաշվեկշռային արժեքով, բացառությամբ սույն կետի 3-րդ կետով սահմանված դեպքերի և հաշվի առնելով սույն կետի 4-րդ ենթակետի պահանջները,
3) բացառապես բանկի դատողությունների և մասնագիտական կարծիքի հիման վրա սուբյեկտիվ չափանիշով դասակարգված (այդ թվում` անհուսալի) ակտիվները արտարժութային դիրքի հաշվարկում ընդգրկվում են այն ակտիվների դասակարգման դասին՝ սույն կետով սահմանված պահանջների համապատասխան, որով կընդգրկվեին օբյեկտիվ չափանիշով դասակարգված լինելու դեպքում,
4) ակտիվների դասակարգման և պահուստավորման կարգի 46-րդ կետի համաձայն՝ բանկի կողմից հնարավոր կորուստների պահուստին կատարված ավելացված հատկացումները, ինչպես նաև ակտիվների գծով լրացուցիչ պահուստին կատարվող հատկացումները հաշվի չեն առնվում:
84. Սույն Կանոնակարգի իմաստով՝ դրամային ակտիվները կամ պարտավորությունները արտարժութային ռիսկ են պարունակում, եթե դրանց գծով ստացվելիք կամ վճարվելիք գումարների մեծությունները հաշվարկվում են արտարժույթի և/կամ արժութային զամբյուղի՝ դրամի նկատմամբ փոխարժեքի միջոցով և, հետևաբար, կարող են տատանվել վերջինիս փոփոխությամբ պայմանավորված:
85. Արտարժույթի տնօրինման նորմատիվների հաշվարկման իմաստով՝ արտարժութային ակտիվ կամ պարտավորություն են համարվում նաև.
1) թանկարժեք մետաղների բանկային կամ ստանդարտացված ձուլակտորները, դրանցով արտահայտված պահանջներն ու պարտավորությունները.
2) անկանխիկ մետաղական հաշիվները:
86. Արտարժույթի տնօրինման նորմատիվների հաշվարկման իմաստով՝ բանկային ոսկին, ոսկու ստանդարտացված ձուլակտորները, որոնց հարգը փոքր չէ 999-ից, դրանցով արտահայտված պահանջներն ու պարտավորությունները և անկանխիկ ոսկու հաշիվները դիտվում են որպես արտարժույթի մեկ տեսակ:
87. Եթե ակտիվը կամ պարտավորությունը կցված է որևէ արժութային զամբյուղի (բացառությամբ՝ ՍԴՌ-ի), ապա տվյալ զամբյուղի մեջ մտնող արտարժույթները մասնակցում են համապատասխան արտարժութային դիրքերի հաշվարկին տվյալ զամբյուղի կառուցվածքում իրենց տեսակարար կշռին համապատասխան:
ԳԼՈՒԽ 6.2
(գլուխը լրաց. 15.11.22 թիվ 195-Ն)
ՀԻՄՆԱԿԱՆ ՏՆՏԵՍԱԿԱՆ ՆՈՐՄԱՏԻՎՆԵՐԻ ՀԱՇՎԱՐԿՄԱՆ ԺԱՄԱՆԱԿ ՎԱՐԿԱՆԻՇԱՅԻՆ ԳՈՐԾԱԿԱԼՈՒԹՅՈՒՆՆԵՐԻ ԸՆՏՐՈՒԹՅԱՆ ՍԿԶԲՈՒՆՔՆԵՐԸ
88. Սույն կանոնակարգով սահմանված նորմատիվների հաշվարկման ժամանակ կիրառվում են հետևյալ վարկանիշային գործակալությունների սահմանած վարկանիշերը.
1) Ստանդարտ և Փուրզ,
2) Ֆիթչ,
3) Մուդիզ,
4) ՀՀ կենտրոնական բանկի նախագահի որոշմամբ սահմանված այլ վարկանիշային գործակալություններ, որոնք բավարարում են հետևյալ պայմաններին.
ա. հավաստագրվել են վարկանիշային կազմակերպություններին գրանցող, հաշվառող կամ վերահսկող միջազգայնորեն ճանաչված մարմիններից առնվազն երկուսի կողմից,
բ. բավարարում են Բազելյան կոմիտեի կողմից վարկային ռիսկի ստանդարտացված մոտեցման դեպքում կիրառվող արտաքին վարկանիշային կազմակերպությունների համար սահմանված չափանիշներին, որոնք առնվազն ներառում են օբյեկտիվության, անկախության, թափանցիկության, հաշվետվողականության, անհրաժեշտ ռեսուրսների առկայության և վերահսկող մարմնի հետ համագործակցության չափանիշները:
գ. տվյալ վարկանիշային կազմակերպության կողմից սահմանված վարկանիշերի սանդղակը ամբողջությամբ համապատասխանեցված է (կամ հնարավոր է համապատասխանեցնել) սույն կետի 1-3-րդ ենթակետերով սահմանված վարկանիշային կազմակերպություններից առնվազն մեկի վարկանիշերի սանդղակին: Ընդ որում, սանդղակների համապատասխանեցման վերաբերյալ առկա է ֆինանսական համակարգի կարգավորման կամ վերահսկողության ոլորտում միջազգայնորեն ճանաչված մարմիններից որևէ մեկի կողմից հրապարակված վերլուծությունը:
89. Սույն կանոնակարգի 88-րդ կետի 4-րդ ենթակետով սահմանված՝ Կենտրոնական բանկի նախագահի որոշման հիման վրա ձևավորված կազմակերպությունների ցանկը հրապարակվում է Կենտրոնական բանկի պաշտոնական կայքէջում:
ԳԼՈՒԽ 6.3
(գլուխը լրաց. 15.11.22 թիվ 195-Ն)
ՀԻՄՆԱԿԱՆ ՏՆՏԵՍԱԿԱՆ ՆՈՐՄԱՏԻՎՆԵՐԻ ՀԱՇՎԱՐԿՄԱՆ ԺԱՄԱՆԱԿ ՎԱՐԿԱՆԻՇԵՐԻ ԿԻՐԱՌՄԱՆ ՍԿԶԲՈՒՆՔՆԵՐ
90. Հիմնական տնտեսական նորմատիվների հաշվարկման ժամանակ սույն Կանոնակարգի 88-րդ կետի 4-րդ ենթակետով սահմանված կազմակերպությունների կողմից տրված վարկանիշերը կիրառելիս հիմք են ընդունվում Կենտրոնական բանկի պաշտոնական կայքէջում հրապարակած վարկանիշերի համեմատական սանդղակում տվյալ վարկանիշին համապատասխան սույն կանոնակարգի 88-րդ կետի 1-3-րդ ենթակետերով սահմանված վարկանիշային կազմակերպությունների տված վարկանիշերի համար սահմանված պահանջները:
91. Բանկերը պարտավոր են թարմացնել վարկանիշային գործակալությունների սահմանած վարկանիշերը՝ հիմք ընդունելով սույն կանոնակարգի 88-րդ կետով սահմանված վարկանիշային գործակալությունների կողմից տվյալ օրվան վերաբերող վարկանիշերը:
92. Եթե տվյալ գործիքը կամ կազմակերպությունն ունի միայն մեկ վարկանիշային գործակալության կողմից տրված վարկանիշ, ապա հիմք է ընդունվում միայն տվյալ վարկանիշը: Եթե միևնույն ակտիվի կամ կազմակերպության համար առկա է երկու տարբեր վարկանիշ՝ տրամադրված տարբեր վարկանիշային գործակալությունների կողմից, բանկը պետք է հիմք ընդունի ամենացածր վարկանիշը: Իսկ երեք և ավելի վարկանիշերի առկայության դեպքում բանկը պետք է հիմք ընդունի երկու ամենաբարձր վարկանիշերից առավել ցածր վարկանիշը:
93. Ֆինանսական խմբի մեջ գտնվող ցանկացած անձի տրված վարկանիշը չի տարածվում (կիրառվում) ֆինանսական խմբի և ֆինանսական խմբի մեջ մտնող այլ անձանց վրա:
94. Ֆինանսական խմբին տրված վարկանիշը չի տարածվում (կիրառվում) խմբի մեջ մտնող անձանց վրա:
Գ լ ու խ VII
Անցումային դրույթներ
63. (կետն ուժը կորցրել է 01.02.11 թիվ 21-Ն)
64. (կետն ուժը կորցրել է 01.02.11 թիվ 21-Ն)
(գլուխը լրաց. 25.12.07 թիվ 422-Ն, խմբ.18.11.08 թիվ 325-Ն)
(հավելվածը խմբ. 02.10.07 թիվ 317-Ն, փոփ., խմբ., լրաց. 18.09.07 N 297-Ն, խմբ., լրաց. 21.11.07 թիվ 368-Ն, 25.12.07 թիվ 422-Ն, խմբ.11.03.08 թիվ 56-Ն, փոփ., խմբ. 23.05.08 թիվ 163-Ն, լրաց., փոփ. 07.10.08 N 285-Ն, փոփ., լրաց., խմբ. 18.11.08 թիվ 325-Ն, լրաց. 30.06.09 թիվ 195-Ն, փոփ., լրաց., խմբ. 14.10.09 թիվ 297-Ն, խմբ. 16.03.10 թիվ 46-Ն, 19.03.10 թիվ 53-Ն, խմբ., լրաց., փոփ. 19.03.10 թիվ 54-Ն, 27.07.10 թիվ 171-Ն, խմբ. 12.10.10 թիվ 254-Ն, փոփ., խմբ. 01.02.11 թիվ 21-Ն, լրաց., խմբ. 08.02.11 թիվ 26-Ն, փոփ. 12.04.11 թիվ 94-Ն, խմբ., փոփ. 22.11.11 թիվ 305-Ն, լրաց., փոփ., խմբ. 30.11.11 թիվ 323-Ն, 20.12.11 թիվ 354-Ն, փոփ., լրաց. 26.06.12 թիվ 168-Ն, լրաց., խմբ., փոփ. 27.11.12 թիվ 325-Ն, փոփ. 16.04.13 թիվ 101-Ն, լրաց. 23.07.13 թիվ 179-Ն, փոփ. 24.12.13 թիվ 299-Ն, խմբ. 17.12.14 թիվ 365-Ն, փոփ., խմբ. 23.12.14 թիվ 369-Ն, խմբ., լրաց. 24.06.14 թիվ 146-Ն, խմբ.10.12.14 թիվ 339-Ն, խմբ., լրաց. 21.01.15 թիվ 6-Ն, խմբ., փոփ., լրաց. 24.02.15 թիվ 44-Ն,15.04.15 թիվ 81-Ն, խմբ., փոփ. 30.06.15 թիվ 152-Ն, խմբ. 11.08.15 թիվ 183-Ն, խմբ., լրաց., փոփ. 10.11.15 թիվ 236-Ն, խմբ. 10.05.16 թիվ 79-Ն, 15.12.15 թիվ 279-Ն, փոփ., խմբ., լրաց. 20.09.16 թիվ 146-Ն, 03.02.17 թիվ 31-Ն, փոփ., խմբ. 14.11.17 թիվ 257-Ն, խմբ. 26.12.17 թիվ 293-Ն, լրաց., փոփ., խմբ. 23.11.18 թիվ 196-Ն, խմբ. 07.06.19 թիվ 75-Ն, փոփ. 19.07.19 թիվ 94-Ն, 07.10.19 թիվ 142-Ն, փոփ., լրաց., խմբ. 11.10.19 թիվ 161-Ն. խմբ. 08.05.20 թիվ 73-Ն, լրաց. 12.06.20 թիվ 92-Ն, փոփ. 18.08.20 թիվ 133-Ն, լրաց. 17.04.20 թիվ 55-Ն, փոփ., խմբ. 16.04.21 թիվ 46-Ն, 12.10.21 թիվ 153-Ն, փոփ., լրաց. 19.04.21 թիվ 47-Ն, փոփ. 07.12.21 թիվ 183-Ն, լրաց., խմբ., փոփ. 28.09.21 թիվ 141-Ն, փոփ. 14.06.22 թիվ 96-Ն, խմբ., փոփ., լրաց. 23.09.22 թիվ 158-Ն, խմբ. 15.11.22 թիվ 195-Ն, լրաց. 04.04.23 թիվ 38-Ն, խմբ., լրաց., փոփ. 15.11.22 թիվ 195-Ն)
|
Հավելված 2 |
Տ Ե Ղ Ե Կ Ա Ն Ք
ՂԵԿԱՎԱՐՆԵՐԻ ԿԵՆՍԱԳՐԱԿԱՆ ՏՎՅԱԼՆԵՐԻ ՎԵՐԱԲԵՐՅԱԼ
(հավելվածն ուժը կորցրել է 20.12.11 թիվ 354-Ն)
|
Հավելված 3 |
Վարկային ռիսկի հաշվարկ
Գ լ ու խ 1
Վարկային ռիսկի հաշվարկ
1. Վարկային ռիսկի հաշվարկն իրականացվում է սույն հավելվածով սահմանված սկզբունքների համաձայն:
2. Կապիտալի համարժեքության նորմատիվի հաշվարկում ընդգրկելու նպատակով վարկային ռիսկը հաշվարկվում է հետևյալ բանաձևով.
ՎՌ = (ՎՌ1+ՎՌ2+…+ՎՌՆ)/Ն,
որտեղ՝
ՎՌ-վարկային ռիսկն է՝ ամսվա միջին օրական հաշվարկով,
ՎՌ1+ՎՌ2+…+ՎՌՆ -վարկային ռիսկն է` ըստ օրերի,
Ն-հաշվետու ամսվա օրերի թիվն է:
3. Վարկային ռիսկի հաշվարկում ընդգրկվում են բանկի ակտիվները, հետհաշվեկշռային պայմանական պարտավորությունները և հետհաշվեկշռային անավարտ ժամկետային գործառնությունները՝ սույն հավելվածով սահմանված սկզբունքների համաձայն:
(3-րդ կետը փոփ. 15.11.22 թիվ 195-Ն)
3.1. Սույն կանոնակարգով սահմանված վարկային ռիսկի հաշվարկում չեն ներառվում.
1) առաջին մակարդակի հիմնական կապիտալի մեծությունից նվազեցվող ակտիվները.
2) շահույթ/վնասով վերաչափվող իրական արժեքով հաշվառվող և իրական արժեքով՝ այլ համապարփակ ֆինանսական արդյունքի միջոցով չափվող այն ակտիվները, որոնց գծով հաշվարկվում է տոկոսադրույքի հատուկ ռիսկը՝ համաձայն սույն կանոնակարգի Հավելված 4-ի:
(3.1-ին կետը լրաց. 15.11.22 թիվ 195-Ն)
4. Վարկային ռիսկը հաշվարկվում է հետևյալ բանաձևով.
ՎՌ = Ա1*Ռ1 + Ա2*Ռ2 +…+ Աո*Ռո, որտեղ`
Ա1, Ա2, ..., Աո-ը բանկի ակտիվների (բացառությամբ այն ակտիվների, որոնք նվազեցվում են առաջին մակարդակի հիմնական կապիտալից), հետհաշվեկշռային պայմանական պարտավորությունների և հետհաշվեկշռային անավարտ ժամկետային գործառնությունների հանրագումարներն են` խմբավորված ըստ ռիսկի միևնույն կշիռների: Ակտիվները ներառվում են իրենց հաշվեկշռային արժեքով (բացառությամբ ստանդարտ դասով դասակարգված ակտիվների և ոչ ռիսկային դասակարգված արժեթղթերի, որոնք ներառվում են համախառն հաշվեկշռային արժեքով), իսկ սույն հավելվածով սահմանված կարգով ՎՌԶՄ կիրառելու դեպքում` ՎՌԶՄ ճշգրտված արժեքով: Հետհաշվեկշռային պայմանական պարտավորությունները և հետհաշվեկշռային անավարտ ժամկետային գործառնությունները վարկային ռիսկի հաշվարկում ընդգրկվում են սույն հավելվածի 12-րդ կետով սահմանված չափով:
Ռ1, Ռ2, ..., Ռո-ը համապատասխան ակտիվների ռիսկի կշիռներն են:
(4-րդ կետը խմբ. 27.07.10 թիվ 171-Ն, 27.11.12 թիվ 325-Ն, փոփ., լրաց. 15.11.22 թիվ 195-Ն)
5. Վարկային ռիսկի հաշվարկման ընթացքում բանկերը կիրառում են սույն հավելվածի 3-րդ գլխով սահմանված վարկային ռիսկի զսպման մեխանիզմները (այսուհետև՝ ՎՌԶՄ):
Գ լ ու խ 2
Վարկային ռիսկի հաշվարկում oգտագործվող ռիսկի կշիռներ
6. Վարկային ռիսկի հաշվարկում ընդգրկվում են հետևյալ ակտիվային հաշիվների մնացորդները՝ ներքոհիշյալ ռիսկի կշիռներով.
Աղյուսակ 1
ՎԱՐԿԱՅԻՆ ՌԻՍԿԻ ՀԱՇՎԱՐԿՈՒՄ ՕԳՏԱԳՈՐԾՎՈՂ ՌԻՍԿԻ ԿՇԻՌՆԵՐԻ ԱՂՅՈՒՍԱԿ Ակտիվների տեսակները Ռիսկի կշիռներ (տոկոս) դրամային ակտիվների համար արտարժութային ակտիվների համար 6.1.1. Կանխիկ դրամական միջոցներ (երկրորդ խմբի մեջ մտնող արտարժույթներով, բացառությամբ ռուբլու), ինչպես նաև Կենտրոնական բանկի խորհրդի համաձայնությամբ` կանխիկին հավասարեցված վճարային փաստաթղթեր (երկրորդ խմբի մեջ մտնող արտարժույթներով բացառությամբ ռուբլու) - 6.4. (կետն ուժը կորցրել է 23.01.24 թիվ 19-Ն) 6.5 Հայաստանի Հանրապետության պետական գանձապետական պարտատոմսեր և Հայաստանի Հանրապետության կառավարության նկատմամբ այլ պահանջներ 10 6.6. Պահանջներ Արժույթի միջազգային հիմնադրամի, Համաշխարհային բանկի խումբ կազմող Վերակառուցման և Զարգացման Միջազգային բանկի և Միջազգային ֆինանսական կորպորացիայի, Եվրոպական կենտրոնական բանկի, Եվրոպական վերակառուցման և զարգացման բանկի, Ասիական զարգացման բանկի, Աֆրիկյան զարգացման բանկի, Միջամերիկյան զարգացման բանկի, Եվրոպական ներդրումային բանկի, Եվրոպական ներդրումային հիմնադրամի, Սկանդինավյան ներդրումային բանկի, Կարիբյան զարգացման բանկի, Իսլամական զարգացման բանկի, ինչպես նաև Եվրոպական զարգացման բանկի խորհրդի նկատմամբ 6.11.1. Վերաֆինանսավորում իրականացնող վարկային կազմակերպությունների կողմից թողարկված պարտատոմսեր 6.14.1. ՀՀ վարկանիշին համապատասխան կամ բարձր վարկանիշ ստացած ապահովագրական ընկերությունների նկատմամբ մինչև երեք ամիս պայմանագրային ժամկետայնությամբ պահանջներ 20 30 6.15. Պահանջներ օտարերկրյա կառավարությունների և կենտրոնական բանկերի նկատմամբ /ԱԱԱ/Աաա/-ից /ԱԱ-/Աա3/ 0 /ԱԱԱ/Աաա/-ից /ԱԱ-/Աա3/ 0 6.16. Պահանջներ օտարերկրյա տեղական կառավարման մարմինների նկատմամբ /ԱԱԱ/Աաա/-ից /ԱԱ-/Աա3/ 20 /ԱԱԱ/Աաա/-ից /ԱԱ-/Աա3/ 20 6.17. Կարճաժամկետ պահանջներ օտարերկրյա բանկերի նկատմամբ /Ա-1+,Ա-1/Ֆ1+, Ֆ1/Պ-1/ 20 /Ա-1+,Ա-1/Ֆ1+, Ֆ1/Պ-1/ 20 6.18. Երկարաժամկետ պահանջներ օտարերկրյա բանկերի նկատմամբ /ԱԱԱ/Աաա/-ից /ԱԱ-/Աա3/ 20 /ԱԱԱ/Աաա/-ից /ԱԱ-/Աա3/ 20 6.21.1. (կետն ուժը կորցրել է 15.12.15 թիվ 279-Ն) 6.21.2. (կետն ուժը կորցրել է 15.12.15 թիվ 279-Ն) 0% 0% 6.21.4. Հայաստանի Հանրապետությանը վարկանշային գործակալությունների (Ստանդարտ և Փուրզ կամ Ֆիթչ կամ Մուդիզ) կողմից տրված վարկանիշին համապատասխան վարկանիշ ստացած ՀՀ ռեզիդենտ ոչ ֆինանսական կազմակերպությունների նկատմամբ պահանջներ 0% 10% 6.21.5. Հայաստանի Հանրապետությանը վարկանշային գործակալությունների (Ստանդարտ և Փուրզ կամ Ֆիթչ կամ Մուդիզ) կողմից տրված վարկանիշից մեկ վարկանիշ ցածր ստացած ՀՀ ռեզիդենտ ոչ ֆինանսական կազմակերպությունների նկատմամբ պահանջներ 20% 30% 6.21.6. Հայաստանի Հանրապետությանը վարկանշային գործակալությունների (Ստանդարտ և Փուրզ կամ Ֆիթչ կամ Մուդիզ) կողմից տրված վարկանիշից երկու վարկանիշ ցածր ստացած ՀՀ ռեզիդենտ ոչ ֆինանսական կազմակերպությունների նկատմամբ պահանջներ 50% 75% 6.22.1 Ֆիզիկական անձանց տրամադրված հիփոթեքային վարկեր, որոնք չեն համապատասխանում սույն հավելվածի 6.22-րդ կետով սահմանված պահանջներին, սակայն որոնց գծով բավարարված են ներքոհիշյալ պայմանները միաժամանակ. 75 150 6.22.2 Ֆիզիկական անձանց տրամադրված հիփոթեքային վարկեր, որոնք չեն համապատասխանում 6.22-րդ և 6.22.1-րդ կետերով սահմանված պահանջներին: 6.23.1. ՀՀ վարկանիշին համապատասխան կամ բարձր վարկանիշ ստացած ապահովագրական ընկերությունների նկատմամբ սույն Աղյուսակի 6.14.1-րդ կետում չներառված պահանջներ 50 75 6.25 Պահանջներ Հայաստանի Հանրապետության վարկանիշին համապատասխան վարկանիշ ստացած Հայաստանի Հանրապետության համայնքների նկատմամբ 6.27 Պահանջներ սույն Աղյուսակի 6.25-րդ կետում չնշված Հայաստանի Հանրապետության համայնքների նկատմամբ 6.31.1. (կետն ուժը կորցրել է 27.11.12 թիվ 325-Ն) 6.31.2. (կետն ուժը կորցրել է 27.11.12 թիվ 325-Ն) 6.32 (կետն ուժը կորցրել է 27.11.12 թիվ 325-Ն) 6.32. Ոսկու ստանդարտացված ձուլակտորներ (999 հարգից ոչ պակաս) - 50 6.33. Ճանապարհին գտնվող ոսկու ստանդարտացված ձուլակտորներ (999 հարգից ոչ պակաս) - 75 6.34. 6.1.1 կետում նշված ակտիվներից տարբեր այլ ակտիվներ երկրորդ խմբի արտարժույթով (բացառությամբ ռուսական ռուբլու) - 150 6.35. Պահանջներ ներդրումային ֆոնդերի նկատմամբ (վարկանիշի առկայության դեպքում) /ԱԱԱ/Աաա/-ից /ԱԱ-/Աա3/ 20 /Ֆ1+, Ֆ1/Պ-1/Ա-1+,Ա-1/ 20 /ԱԱԱ/Աաա/ -ից /ԱԱ-/Աա3/ 20 /Ֆ1+, Ֆ1/Պ-1/Ա-1+,Ա-1/ 20 6.36. Պահանջներ ոչ բարձր ռիսկային ոչ օտարերկրյա ֆոնդերի նկատմամբ (վարկանիշի բացակայության դեպքում) Համաձայն սույն հավելվածի 9.2 կետի Համաձայն սույն հավելվածի 9.2 կետի 6.37. Պահանջներ բարձր ռիսկային ոչ օտարերկրյա ֆոնդերի նկատմամբ (վարկանիշի բացակայության դեպքում) 150 150 6.38. Պահանջներ օտարերկրյա ֆոնդերի նկատմամբ (վարկանիշի բացակայության դեպքում) Համաձայն սույն հավելվածի 9.3 կետի Համաձայն սույն հավելվածի 9.3 կետի 6.39. Բոլոր այն հաշվեկշռային ակտիվները, որոնք ընդգրկված չեն սույն աղյուսակի այլ կետերում, բացառությամբ սույն Հավելվածի 9.4 կետի 100 150
6.1. Կանխիկ դրամական միջոցներ (Հայաստանի Հանրապետության դրամով և առաջին խմբի մեջ մտնող արտարժույթներով, ռուբլով), ինչպես նաև Կենտրոնական բանկի խորհրդի համաձայնությամբ՝ կանխիկին հավասարեցված վճարային փաստաթղթեր (Հայաստանի Հանրապետության դրամով և առաջին խմբի մեջ մտնող արտարժույթներով, ռուբլով)
0
0
100
6.2. Բանկային ոսկի բանկի դրամապահոցում
0
-
6.3. Կենտրոնական բանկում թղթակցային հաշվի միջոցներ, ներդրված ավանդներ, բանկի կանոնադրական կապիտալի համալրման համար բացված կուտակային հաշվի մնացորդներ, այլ պահանջներ Կենտրոնական բանկի նկատմամբ
0
0
0
0
0
6.7. (կետն ուժը կորցրել է 23.07.13 թիվ 179-Ն)
6.8. (կետն ուժը կորցրել է 27.11.12 թիվ 325-Ն)
6.9. (կետն ուժը կորցրել է 27.11.12 թիվ 325-Ն)
6.10. (կետն ուժը կորցրել է 23.01.24 թիվ 19-Ն)
6.11. (կետն ուժը կորցրել է 23.01.24 թիվ 19-Ն)
0
10
6.12. (կետն ուժը կորցրել է 23.01.24 թիվ 19-Ն)
6.13. Ճանապարհին գտնվող կանխիկ դրամական միջոցներ (Հայաստանի Հանրապետության դրամով և առաջին խմբի մեջ մտնող արտարժույթներով), բանկային ոսկի, ինչպես նաև ճանապարհին գտնվող՝ Կենտրոնական բանկի խորհրդի համաձայնությամբ կանխիկին հավասարեցված վճարային փաստաթղթեր (Հայաստանի Հանրապետության դրամով և առաջին խմբի մեջ մտնող արտարժույթներով)
20
20
6.14. Թղթակցային հաշիվներ (այդ թվում` անկանխիկ ոսկով) Հայաստանի Հանրապետության տարածքում գործող բանկերում և օտարերկրյա բանկերի` Հայաստանի Հանրապետության տարածքում գործող մասնաճյուղերում, մինչև երեք ամիս պայմանագրային ժամկետայնությամբ պահանջներ Հայաստանի Հանրապետության տարածքում գործող բանկերի և օտարերկրյա բանկերի՝ Հայաստանի Հանրապետության տարածքում գործող մասնաճյուղերի նկատմամբ, դրանց գծով հաշվարկված տոկոսներ
20
30
/Ա+/Ա1/-ից /Ա-/Ա3/ 20
/ԲԲԲ+/Բաա1/-ից /ԲԲԲ-/Բաա3/ 50
/ԲԲ+/Բա1/-ից /Բ-/Բ3/ 100
/Բ-/-ից ցածր/Բ3-ից ցածր 150
Վարկանիշ չունեցող 100
/Ա+/Ա1/-ից /Ա-/Ա3/ 20
/ԲԲԲ+/Բաա1/-ից /ԲԲԲ-/Բաա3/ 50
/ԲԲ+/Բա1/-ից /Բ-/Բ3/ 100
/Բ-/-ից ցածր/Բ3-ից ցածր 150
Վարկանիշ չունեցող 150
/Ա+/Ա1/-ից /ԲԲԲ-/Բաա3/ 50
/ԲԲ+/Բա1/-ից /Բ-/Բ3/ 100
/Բ-/-ից ցածր/Բ3-ից ցածր 150
Վարկանիշ չունեցող 100
/Ա+/Ա1/-ից /ԲԲԲ-/Բաա3/ 50
/ԲԲ+/Բա1/-ից /Բ-/Բ3/ 100
/Բ-/-ից ցածր/Բ3-ից ցածր 150
Վարկանիշ չունեցող 150
/Ա-2/Ֆ2/Պ-2/ 50
/Ա-3/Ֆ3/Պ-3/ 100
/Ա-3-ից ցածր/Ֆ3-ից ցածր/ՆՊ/ 150
Վարկանիշ չունեցող 100
/Ա-2/Ֆ2/Պ-2/ 50
/Ա-3/Ֆ3/Պ-3/ 100
/Ա-3-ից ցածր/Ֆ3-ից ցածր/ՆՊ/ 150
Վարկանիշ չունեցող 150
/Ա+/Ա1/-ից /ԲԲԲ-/Բաա3/ 50
/ԲԲ+/Բա1/-ից /Բ-/Բ3/ 100
/Բ-/-ից ցածր/Բ3-ից ցածր 150
Վարկանիշ չունեցող 100
/Ա+/Ա1/-ից /ԲԲԲ-/Բաա3/ 50
/ԲԲ+/Բա1/-ից /Բ-/Բ3/ 100
/Բ-/-ից ցածր/Բ3-ից ցածր 150
Վարկանիշ չունեցող 150
6.19. (կետն ուժը կորցրել է 15.12.15 թիվ 279-Ն)
6.20. Կարճաժամկետ պահանջներ օտարերկրյա ոչ բանկ կազմակերպությունների նկատմամբ
/Ա-1+,Ա-1/Ֆ1+,Ֆ1/Պ-1/ 20
/Ա-2/Ֆ2/Պ-2/ 50
/Ա-3/Ֆ3/Պ-3/ 100
/Ա-3-ից ցածր/Ֆ3-ից ցածր/ՆՊ/ 150 վարկանիշ չունեցող 100 /Ա-1+,Ա-1/Ֆ1+,Ֆ1/Պ-1/ 20
/Ա-2/Ֆ2/Պ-2/ 50
/Ա-3/Ֆ3/Պ-3/ 100
/Ա-3-ից ցածր/
Ֆ3-ից ցածր/ՆՊ/ 150 վարկանիշ չունեցող 150
6.21. Երկարաժամկետ պահանջներ օտարերկրյա ոչ բանկ կազմակերպությունների նկատմամբ
/ԱԱԱ/Աաա/-ից /ԱԱ-/Աա3/ 20
/Ա+/Ա1/-ից /Ա-/Ա3/ 50
/ԲԲԲ+/Բաա1/-ից /ԲԲ-/Բա3/ 100
/(ԲԲ-)-ից ցածր/(Բա3)-ից ցածր/ 150
վարկանիշ չունեցող 100/ԱԱԱ/Աաա/-ից /ԱԱ-/Աա3/ 20
/Ա+/Ա1/-ից /Ա-/Ա3/ 50
/ԲԲԲ+/Բաա1/-ից
/ԲԲ-/Բա3/ 100
/(ԲԲ-)-ից ցածր/(Բա3)-ից ցածր/ 150
վարկանիշ չունեցող 150
6.21.3. Հայաստանի Հանրապետությանը վարկանշային գործակալությունների (Ստանդարտ և Փուրզ կամ Ֆիթչ կամ Մուդիզ) կողմից տրված վարկանիշից բարձր վարկանիշ ստացած ՀՀ ռեզիդենտ ոչ ֆինանսական կազմակերպությունների նկատմամբ պահանջներ
6.22. Հիփոթեքային վարկեր, որոնք բավարարում են սույն կանոնակարգի հավելված 6-ով սահմանված «35/75 տոկոս ռիսկի կշռին բավարարող հիփոթեքային վարկերի տրամադրման նվազագույն պայմաններին»
35
75
ա. հիփոթեքային վարկ(եր) ստացած փոխառուի և նրա հետ փոխկապակցված անձանց նկատմամբ պահանջների և հետհաշվեկշռային պայմանական պարտավորությունների հանրագումարը (բացառությամբ՝ սույն հավելվածի 6.22-րդ կետին բավարարող հիփոթեքային վարկերի) չի գերազանցում 35 մլն ՀՀ դրամը և
բ. հիփոթեքային վարկ(եր) ստացած փոխառուի և նրա հետ փոխկապակցված անձանց նկատմամբ սույն կետի «ա» ենթակետին բավարարող պահանջների և հետհաշվեկշռային պայմանական պարտավորությունների հանրագումարը (բացառությամբ՝ սույն հավելվածի 6.22-րդ կետին բավարարող հիփոթեքային վարկերի) չի գերազանցում «ա» ենթակետով սահմանված մեծությունների հանրագումարի 0.3%-ը:
100
200
6.23. Այլ պահանջներ Հայաստանի Հանրապետության տարածքում գործող բանկերի և օտարերկրյա բանկերի՝ Հայաստանի Հանրապետության տարածքում գործող մասնաճյուղերի նկատմամբ
50
75
6.24. Ֆիզիկական և իրավաբանական անձանց նկատմամբ պահանջներ, հետհաշվեկշռային պայմանական պարտավորություններ (բացառությամբ՝ բոլոր հիփոթեքային վարկերի, թանկարժեք մետաղների և քարերի գրավով ապահովված վարկերի), որոնց գծով բավարարված են ներքոհիշյալ պայմանները միաժամանակ.
ա. փոխառուի և նրա հետ փոխկապակցված անձանց նկատմամբ պահանջների (բացառությամբ՝ բոլոր տեսակի հիփոթեքային վարկերի, թանկարժեք մետաղների և քարերի գրավով ապահովված վարկերի) և հետհաշվեկշռային պայմանական պարտավորությունների հանրագումարը չի գերազանցում 5 մլն ՀՀ դրամը,
բ. փոխառուի և նրա հետ փոխկապակցված անձանց նկատմամբ սույն կետի «ա» ենթակետին բավարարող պահանջների, հետհաշվեկշռային պայմանական պարտավորությունների հանրագումարը (բացառությամբ՝ բոլոր տեսակի հիփոթեքային վարկերի, թանկարժեք մետաղների և քարերի գրավով ապահովված պահանջների) չի գերազանցում «ա» ենթակետով սահմանված մեծությունների հանրագումարի 0.2%-ը75
110
0
10
6.26. Դատարանի վճռով սառեցված կամ կալանված միջոցներ
100
150
100
150
6.28. (կետն ուժը կորցրել է 23.01.24 թիվ 19-Ն)
6.29. Հիմնական միջոցներ և օգտագործման իրավունքի ձևով ակտիվներ (հիմքում՝ հիմնական միջոցներ)) ու դրանց վրա կատարված կապիտալ ներդրումներ հաշվեկշռային արժեքով
100
-
6.30. Ոչ ստանդարտ և կասկածելի դասակարգված վարկեր և դեբիտորական պարտքեր, միջին ռիսկային և բարձր ռիսկային դասակարգված արժեթղթեր
100
150
6.31. Կանոնակարգ 2-ի 28.3-րդ կետի 11-րդ ենթակետով սահմանված ներդրումների այն մասը, որը չի նվազեցվում բանկի առաջին մակարդակի առաջին մակարդակի հիմնական կապիտալից
150
225
/Ա+/Ա1/-ից /Ա-/Ա3 50
/ԲԲԲ+/Բաա1/-ից
/ԲԲԲ-/Բաա3/ 100
/ԲԲ+/Բա1/-ից
/ԲԲ-/Բա3/ 100
/Բ+/Բ1/-ից ցածր 150
/Ֆ2/Պ-2/Ա-2/ 50
/Ֆ3 և ցածր/Պ-3/Ա-3-ից ցածր / 100
/Ա+/Ա1/-ից /Ա-/Ա3 50
/ԲԲԲ+/Բաա1/-ից
/ԲԲԲ-/Բաա3/ 100
/ԲԲ+/Բա1/-ից /ԲԲ-/Բա3/ 100
/Բ+/Բ1/-ից ցածր 150
/Ֆ2/Պ-2/Ա-2/ 50
/Ֆ3 և ցածր/Պ-3/Ա-3-ից ցածր / 100
(6-րդ կետը խմբ. 23.05.08 թիվ 163-Ն, 18.11.08 թիվ 325-Ն, լրաց. 30.12.08 թիվ 375-Ն, խմբ. 19.03.10 թիվ 54-Ն, լրաց., խմբ. 08.02.11 թիվ 26-Ն, լրաց. 30.08.11 թիվ 224-Ն, փոփ. 30.11.11 թիվ 323-Ն, լրաց. 20.12.11 թիվ 354-Ն, փոփ., լրաց. 27.11.12 թիվ 325-Ն, խմբ., փոփ. 23.07.13 թիվ 179-Ն, 10.12.14 թիվ 339-Ն, փոփ. 21.01.15 թիվ 6-Ն, խմբ., լրաց., փոփ. 24.02.15 թիվ 44-Ն, խմբ. 29.12.15 թիվ 299-Ն, փոփ., լրաց. 10.05.16 թիվ 79-Ն, փոփ. 20.09.16 թիվ 146-Ն, լրաց. 25.10.16 թիվ 177-Ն, խմբ. 23.11.18 թիվ 196-Ն, խմբ. 11.10.19 թիվ 161-Ն, փոփ. 27.03.20 թիվ 44-Ն, փոփ., լրաց. 15.11.22 թիվ 195-Ն, խմբ., փոփ. 23.01.24 թիվ 19-Ն)
7. (կետն ուժը կորցրել է 15.11.22 թիվ 195-Ն)
7.1. Այն դեպքում, երբ պարտապանի նկատմամբ բանկի պահանջը միաժամանակ բավարարում է սույն կետի 1-ին, 2-րդ և 3-րդ ենթակետերով սահմանված պահանջները, պարտապանին տրամադրված արտարժութային ակտիվների նկատմամբ կիրառվում են սույն հավելվածի 6-րդ կետով սահմանված Աղյուսակ 1-ի՝ համապատասխան դրամային ակտիվների համար սահմանված ռիսկի կշիռները.
1) պարտապանը հանդիսանում է իրավաբանական անձ կամ անհատ ձեռնարկատեր,
2) պարտապանի` սույն կետի 3-րդ ենթակետով սահմանված դրամական ներհոսքը ստացվում է ապրանքների և (կամ) ծառայությունների արտահանումից,
3) պարտապանի` վարկի արժույթով արտահայտված դրամական ներհոսքերը` բացառությամբ ներգրավված վարկերի, վերջին մեկ տարվա ընթացքում գերազանցել են նույն արտարժույթով արտահայտված դրամական արտահոսքերը` ներառյալ վարկերի մարումները: Ընդ որում, եթե արտահանողն իր կողմից արտահանվող ապրանքների և (կամ) ծառայությունների դիմաց գնանշումն իրականացնում է արտարժույթով, սակայն դրա դիմաց փաստացի վճարումը ստանում է Հայաստանի Հանրապետության դրամով՝ արտահայտված վճարման օրվա փոխարժեքով, ապա նման միջոցները նույնպես կարող են ներառվել սույն ենթակետով նախատեսված ներհոսքերի հաշվարկի մեջ:
(7.1-ին կետը լրաց. 21.01.15 թիվ 6-Ն, 23.11.18 թիվ 196-Ն, 08.05.20 թիվ 73-Ն)
7.1.1 Սույն հավելվածի 6.22.1-րդ և 6.24-րդ կետերի իմաստով` «Բանկերի և բանկային գործունեության մասին» ՀՀ օրենքի 8-րդ հոդվածի 2-րդ պարբերությամբ սահմանված ֆիզիկական անձանց հետ փոխկապակցված ֆիզիկական անձանց շրջանակը, ինչպես նաև «Բանկերի և բանկային գործունեության մասին» ՀՀ օրենքի 8-րդ հոդվածի 3-րդ և 4-րդ պարբերություններում նշված ընտանիքի անդամների շրջանակը կարող է սահմանափակվել ֆիզիկական անձի հետ համատեղ տնտեսություն վարող հետևյալ անձանցով. ծնողներ, ամուսին և երեխաներ:
(7.1.1-ին կետը լրաց. 10.05.16 թիվ 79-Ն)
7.1.2. Այն դեպքում, երբ պարտապանը` համաձայն Հայաստանի Հանրապետության կառավարությանն առընթեր պետական եկամուտների կոմիտեի նախագահի 2016 թվականի դեկտեմբերի 26-ի թիվ 283-Ա հրամանով սահմանված կարգի ունի «օրինապահ հարկ վճարողի» հավաստագիր, վերջինիս գծով առկա պահանջների նկատմամբ հավաստագրի գործողության ընթացքում կիրառվում են հետևյալ դրույթները.
1) պարտապանին տրամադրված արտարժութային ակտիվների նկատմամբ կիրառվում են սույն հավելվածի 6-րդ կետի Աղյուսակ 1-ի՝ համապատասխան դրամային ակտիվների համար սահմանված ռիսկի կշիռները,
2) պարտապանին տրամադրված դրամային ակտիվների նկատմամբ կիրառվում են սույն հավելվածի 6-րդ կետի Աղյուսակ 1-ի՝ դրամային ակտիվների համար սահմանված ռիսկի կշիռներից 50 տոկոսով ցածր ռիսկի կշիռներ, բացառությամբ եթե սույն հավելվածի 6-րդ կետի Աղյուսակ 1-ի համաձայն դրամային ակտիվների համար սահմանված է 75% ռիսկի կշիռ, ապա «օրինապահ հարկ վճարողի» հավաստագիր ունեցող պարտապանի հանդեպ համապատասխան պահանջի նկատմամբ կիրառվում է 50% ռիսկի կշիռ,
3) այն դեպքում, երբ պարտապանին տրամադրված դրամային ակտիվների համար սույն հավելվածի 6-րդ կետի Աղյուսակ 1-ով սահմանված են 50% կամ ավելի ցածր ռիսկի կշիռներ, ապա պարտապանին տրամադրված բոլոր դրամային և արտարժութային ակտիվների համար կիրառվում են սույն հավելվածի 6-րդ կետի Աղյուսակ 1-ով սահմանված համապատասխան դրամային և արտարժութային ակտիվների համար սահմանված ռիսկի կշիռները:
(7.1.2-րդ կետը լրաց. 03.02.17 թիվ 31-Ն, փոփ. 23.11.18 թիվ 196-Ն, խմբ. 27.03.20 թիվ 44-Ն)
7.1.3. Սույն հավելվածի 7.1.2-րդ կետով նախատեսված դրույթները չեն տարածվում այն ակտիվների վրա, որոնք բավարարում են սույն հավելվածի 6-րդ կետով սահմանված Աղյուսակ 1-ի 6.30-րդ տողի պայմաններին:
(7.1.3-րդ կետը լրաց. 03.02.17 թիվ 31-Ն)
7.2. ՀՀ ռեզիդենտ ոչ ֆինանսական կազմակերպությունների նկատմամբ պահանջները կարող են ստանալ սույն հավելվածի 6.21.3-ից 6.21.6-րդ կետերով սահմանված ռիսկի կշիռներին համապատասխան ռիսկի կշիռներ՝ նաև Ստանդարտ և Փուրզ, Ֆիթչ և (կամ) Մուդիզ վարկանշային կազմակերպությունների կողմից տրամադրված տեղական վարկանիշերի առկայության դեպքում:
(7.2-րդ կետը լրաց. 15.12.15 թիվ 279-Ն)
8. Սույն կանոնակարգի իմաստով՝ անավարտ ժամկետային գործառնությունների թվին են դասվում հետևյալ ածանցյալ գործիքները՝ ֆորվարդ, ֆյուչերս, սվոպ, օպցիոն: Հաշվեկշռային անավարտ ժամկետային գործառնությունների ռիսկով կշռման համար հիմք է ընդունվում ակտիվում դրանց հաշվեկշռային ամբողջ արժեքը:
(8-րդ կետը փոփ. 27.11.12 թիվ 325-Ն)
9. (կետն ուժը կորցրել է 27.11.12 թիվ 325-Ն)
9.1. Սույն հավելվածի 6-րդ կետի աղյուսակի 6.37 կետում նշված բարձր ռիսկային ֆոնդեր են համարվում «Ներդրումային ֆոնդերի մասին» Հայաստանի Հանրապետության օրենքով սահմանված մասնագիտացված ֆոնդերը, բացառությամբ ֆոնդերի ֆոնդի, անշարժ գույքի ֆոնդի, ինչպես նաև ոչ հրապարակային ֆոնդերը: Սույն հավելվածի 6-րդ կետի աղյուսակի 6.36 կետում նշված ոչ բարձր ռիսկային ֆոնդեր են համարվում բարձր ռիսկային ֆոնդեր չհամարվող ֆոնդերը:
(9.1-ին կետը լրաց. 27.11.12 թիվ 325-Ն)
9.2. Սույն հավելվածի 6-րդ կետի աղյուսակի 6.36 կետում նշված վարկանիշ չունեցող ոչ բարձր ռիսկային ոչ օտարերկրյա ֆոնդերի նկատմամբ պահանջի ռիսկի կշիռը որոշելու համար պետք է հաշվարկել տվյալ ֆոնդի ակտիվներին տրված ռիսկի կշիռների միջին կշռված մեծությունը, որի հաշվարկման համար հիմք է ընդունվում ֆոնդի կառավարչի կողմից հաշվարկման պահի դրությամբ բացահայտված (տրամադրված) ֆոնդի ակտիվների ընդհանուր ծավալի (խմբավորված ըստ ռիսկի կշիռների) վերաբերյալ տեղեկատվությունը, եթե տվյալ տեղեկատվությունը բացահայտվել (տրամադրվել) է ոչ շուտ, քան կապիտալի համարժեքության նորմատիվի հաշվարկման ամսվան նախորդող երկու ամսվա ընթացքում: Եթե սույն կետով սահմանված տեղեկատվությունը բացահայտվել է (տրամադրվել է) ավելի շուտ, քան կապիտալի համարժեքության նորմատիվի հաշվարկման ամսվան նախորդող երկու ամսվա ընթացքում կամ չի բացահայտվել (տրամադրվել), ապա սույն հավելվածի աղյուսակ 1-ի 6.36 կետում նշված վարկանիշ չունեցող ոչ բարձր ռիսկային ոչ օտարերկրյա ֆոնդերի նկատմամբ պահանջի ռիսկի կշիռը ընդունվում է 100%:
(9.2-րդ կետը լրաց. 27.11.12 թիվ 325-Ն)
9.3. Սույն հավելվածի աղյուսակ 1-ի 6.38 կետում նշված վարկանիշ չունեցող օտարերկրյա ֆոնդերի նկատմամբ պահանջի ռիսկի կշիռը որոշվում է աղյուսակ 1.1-ի համաձայն: Ընդ որում, աղյուսակ 1.1-ի 1-ին, 2-րդ և 3-րդ կետերում նշված ֆոնդերը պետք է բավարարեն Հայաստանի Հանրապետության կենտրոնական բանկի խորհրդի 2011 թվականի դեկտեմբերի 6-ի թիվ 337-Ն որոշմամբ հաստատված «Ներդրումային ֆոնդերի ներդրումային սահմանափակումները» կանոնակարգ 10/10-ի 9-րդ կետով սահմանված պահանջները:
Աղյուսակ 1.1
|
ՖՈՆԴԻ ՏԵՍԱԿԸ |
ՌԻՍԿԻ ԿՇԻՌԸ | |
|
ՀՐԱՊԱՐԱԿԱՅԻՆ ՍՏԱՆԴԱՐՏ ՖՈՆԴԵՐ |
||
|
1.
|
Դրամական շուկայի ֆոնդեր |
20% |
|
2. |
Ստանդարտ ֆոնդեր (տարատեսականացված) |
50% |
|
ՀՐԱՊԱՐԱԿԱՅԻՆ ՄԱՍՆԱԳԻՏԱՑՎԱԾ ՖՈՆԴԵՐ |
||
|
3. |
Ֆոնդերի ֆոնդ, որի ակտիվները ներդրվում են միայն հրապարակային ստանդարտ տարատեսականացված ֆոնդերում |
50% |
| 4. |
Անշարժ գույքի ֆոնդ (տարատեսականացված) |
75% |
| 5. |
Այլ մասնագիտացված ֆոնդեր |
150% |
|
1-5-ՐԴ ԿԵՏԵՐՈՒՄ ՉՆՇՎԱԾ ՖՈՆԴԵՐ |
||
| 6. |
1-5-րդ կետերում չնշված ֆոնդեր |
150% |
(9.3-րդ կետը լրաց. 27.11.12 թիվ 325-Ն)
9.4. Հայաստանի Հանրապետության կենտրոնական բանկի խորհրդի 2012 թվականի սեպտեմբերի 18-ի թիվ 242-Ն որոշմամբ հաստատված «Կենտրոնական դեպոզիտարիայի կողմից լրացուցիչ գործունեության տեսակները, դրանց իրականացման կարգը և պայմանները» կանոնակարգ 5/09-ով (այսուհետ` Կանոնակարգ 5/09) սահմանված կարգով Կենտրոնական դեպոզիտարիայում բացված հաշվառման հաշիվներում հաշվառվող դրամական միջոցների մասով Կենտրոնական դեպոզիտարիայի նկատմամբ պահանջի ռիսկի կշիռը ընդունվում է հավասար Կանոնակարգ 5/09-ի 18-րդ կետով նախատեսված այն անձի ռիսկի կշռին, որի մոտ փաստացի պահվում են դրամական միջոցները:
(9.4-րդ կետը լրաց. 25.10.16 թիվ 177-Ն)
10. Բանկերը ոչ ֆինանսական կազմակերպությունների նկատմամբ պահանջները կարող են կշռել յուրաքանչյուր ակտիվի նկատմամբ սույն հավելվածի 6-րդ կետով համապատասխան արժույթի համար սահմանված «վարկանիշ չունեցող» ակտիվին համապատասխանող ռիսկի կշռով` հաշվի չառնելով վերջիններիս անհատական վարկանիշերը: Նման մոտեցման կիրառման դեպքում բանկերը տարին մեկ անգամ ընտրում են սույն կետում նշված մոտեցումը, որով պետք է առաջնորդվեն և տեղեկացնեն այդ մասին Կենտրոնական բանկին` մինչև յուրաքանչյուր տարվան նախորդող տարվա դեկտեմբերի 31-ը:
(10-րդ կետը խմբ. 08.02.11 թիվ 26-Ն, 15.12.15 թիվ 279-Ն)
10.1. (կետն ուժը կորցրել է 23.05.08 թիվ 163-Ն)
11. Եթե միևնույն ակտիվը սույն հավելվածի համաձայն ստանում է մեկից ավելի ռիսկի կշիռներ, բանկը պետք է ընտրի ամենացածր ռիսկի կշիռը` բացառությամբ հետևյալ դեպքերի.
1) ոչ ստանդարտ, կամ կասկածելի դասակարգված ակտիվները, միջին ռիսկային և բարձր ռիսկային դասակարգված արժեթղթերը կամ դատարանի որոշմամբ սառեցված կամ կալանված ակտիվները կշռվում են այդ ակտիվների համար սահմանված ամենաբարձր ռիսկի կշռով,
2) այն դեպքում, երբ 6.24-րդ կետին բավարարող պահանջները միաժամանակ բավարարում են 6.17-ից 6.21.6-րդ կետերի պահանջներին, ապա տվյալ պահանջը վարկային ռիսկի հաշվարկում ընդգրկելու նպատակով պետք է հիմք ընդունել 6.17-ից 6.21.6-րդ կետերով սահմանված վարկանիշերին համապատասխան ռիսկի կշիռները,
3) երկրորդ խմբի արտարժույթով (բացառությամբ ռուսական ռուբլու) ակտիվները կշռվում են այդ ակտիվների համար սահմանված ամենաբարձր ռիսկի կշռով:
4) Ռեպո համաձայնագրերը, ռեպո համաձայնագրով վաճառված արժեթղթերը, փոխառությամբ տրամադրված արժեթղթերը և դրանց գծով հաշվարկված տոկոսները վարկային ռիսկի հաշվարկում ընդգրկվում են համաձայն սույն հավելվածի 3-րդ գլխի պահանջների:
5) Աղյուսակ 1-ի 6.31 կետում նշված ակտիվները կշռվում են այդ ակտիվների համար սահմանված ամենաբարձր ռիսկի կշռով:
(11-րդ կետը լրաց. 18.09.07 N 297-Ն, խմբ. 08.02.11 թիվ 26-Ն, լրաց. 27.11.12 թիվ 325-Ն, փոփ. 24.02.15 թիվ 44-Ն, խմբ. 15.12.15 թիվ 279-Ն, փոփ. 08.05.20 թիվ 73-Ն)
12. Վարկային ռիսկի հաշվարկում ընդգրկելու նպատակով հետհաշվեկշռային պայմանական պարտավորությունների և հետհաշվեկշռային անավարտ ժամկետային գործառնությունների նկատմամբ կիրառվում են սույն հավելվածի 13-րդ կետով սահմանված վարկային ռիսկի փոխարկման գործոնները (ՎՌՓԳ): Հետհաշվեկշռային հոդվածները պահուստի չափով նվազեցնելուց հետո (բացառությամբ ստանդարտ դասով դասակարգված հետհաշվեկշռային հոդվածների, որոնք դրանց գծով ձևավորված ընդհանուր պահուստի չափով չեն նվազեցվում) ՎՌՓԳ-ների միջոցով վերածվում են հաշվեկշռային վարկային ռիսկի, որից հետո կշռվում են սույն հավելվածի 6-րդ կետով սահմանված ռիսկի համապատասխան կշիռներով: Հետհաշվեկշռային պայմանական պարտավորությունները և հետհաշվեկշռային անավարտ ժամկետային գործառնությունները ՎՌՓԳ-ների միջոցով վերածվում են հաշվեկշռային վարկային ռիսկի հետևյալ բանաձևի համաձայն՝
ՀՎՌ=(ՀՀ-Պ)*ՎՌՓԳ,
որտեղ՝
ՀՎՌ-ՎՌՓԳ-ների միջոցով հաշվեկշռային վարկային ռիսկի վերածված հետհաշվեկշռային պայմանական պարտավորություններն ու հետհաշվեկշռային անավարտ ժամկետային գործառնություններն են` հետհաշվեկշռում արտացոլված ամբողջ գումարի չափով, որոնք վարկային ռիսկի հաշվարկում ընդգրկելու նպատակով կշռվում են սույն հավելվածի 6-րդ կետով սահմանված համապատասխան ռիսկի կշիռներով,
ՀՀ-հետհաշվեկշռային պայմանական պարտավորություններն ու հետհաշվեկշռային անավարտ ժամկետային գործառնություններն են,
Պ- հետհաշվեկշռային պայմանական պարտավորությունների գծով ձևավորված պահուստի մեծությունն է,
ՎՌՓԳ-սույն հավելվածի 13-րդ կետով սահմանված վարկային ռիսկի փոխարկման գործոններն են:
(12-րդ կետը լրաց. 27.11.12 թիվ 325-Ն, 15.11.22 թիվ 195-Ն)
13. Վարկային ռիսկի փոխարկման գործոններ
Աղյուսակ 2
| Հետհաշվեկշռային հոդվածներ | ՎՌՓԳ (%) | |
| Դրամային հոդվածներ | Արտարժութային հոդվածներ | |
| 13.1. Հետհաշվեկշռային անավարտ ժամկետային գործառնություններ | 1 | 1.5 |
| 13.2. Պայմանագրով մինչև մեկ տարի ժամկետայնությամբ հետհաշվեկշռային պայմանական պարտավորություններ (բացառությամբ՝ երաշխավորությունների (երաշխիքների)) | 20 | 30 |
| 13.3. Պայմանագրով մեկ տարի և ավելի ժամկետայնությամբ հետհաշվեկշռային պայմանական պարտավորություններ (բացառությամբ՝ երաշխավորությունների (երաշխիքների)) | 50 | 75 |
| 13.4. Երաշխավորություններ/երաշխիքներ | 100 | 100 |
(13-րդ կետը լրաց. 18.09.07 N 297-Ն, խմբ. 19.03.10 թիվ 54-Ն)
14. Սույն հավելվածով սահմանվող հետհաշվեկշռային պայմանական պարտավորությունների շարքին են դասվում երաշխավորությունները/երաշխիքները, ակրեդիտիվները, վարկային գծերի, օվերդրաֆտների և վարկային քարտերի չօգտագործված մասերը: Եթե միևնույն հետհաշվեկշռային անավարտ ժամկետային գործառնության պայմանագրի համաձայն բանկը միաժամանակ իրականացնում է արտարժույթի առք ու վաճառք, ապա վարկային ռիսկի հաշվարկում հետհաշվեկշռային պայմանագիրն ընդգրկվում է մեկ անգամ՝ ակտիվ առաջացնող մեծության չափով:
Գ լ ու խ 3
Վարկային ռիսկի զսպման մեխանիզմ
15. Վարկային ռիսկի հաշվարկի ընթացքում կիրառվում են ՎՌԶՄ-ները: ՎՌԶՄ-ն հնարավորություն է տալիս ճշգրտել բանկի վարկային ռիսկի գնահատականը, եթե առկա են վարկային ռիսկը ճշգրտող գործոններ: ՎՌԶՄ-ի կիրառման արդյունքում պահանջի ապահովված մասը ստանում է ապահովվածության կամ ապահովվածություն տրամադրող անձի ռիսկի կշիռը, իսկ չապահովված մասը՝ փոխառուի/գործիքի ռիսկի կշիռը: Եթե որպես ապահովվածություն հանդես է գալիս տվյալ բանկի կողմից թողարկված և կարգավորվող շուկայում առևտրին թույլատրված պարտատոմսը, ապա պահանջի ապահովված մասը ստանում է 0% ռիսկի կշիռ, ընդ որում՝ պահանջի ապահովված մասը հաշվարկվում է պարտատոմսի տվյալ օրվա շուկայական գնի հիման վրա:
(15-րդ կետը լրաց. 14.11.17 թիվ 257-Ն)
16. Պահանջները, հետհաշվեկշռային պայմանական պարտավորությունները, հետհաշվեկշռային անավարտ ժամկետային գործառնությունները, դրանց գծով հաշվարկված տոկոսները (այսուհետ՝ ՎՌԶՄ-ին ենթակա պահանջ) կարող են ճանաչվել ՎՌԶՄ-ի առարկա, եթե միաժամանակ բավարարված են հետևյալ պայմանները.
ա. ՎՌԶՄ-ին ենթակա պահանջի գծով առկա է սույն հավելվածի 26-րդ կետով սահմանված առաջնային ֆինանսական գրավ, որը վերագնահատվում է նվազագույնը վեց ամիսը մեկ անգամ, կամ Ստանդարտ և Փուրզ/Ֆիթչ/Մուդիզ վարկանիշային գործակալությունների կողմից վարկանիշ ստացած այլ սուբյեկտի, ինչպես նաև Հայաստանի Հանրապետության կառավարության, Կենտրոնական բանկի, շուկայի հիմնական մասնակիցների, սույն հավելվածի 6-րդ կետի աղյուսակ 1-ի 6.6 կետում նշված կազմակերպությունների երաշխիք կամ երաշխավորություն, կամ ՀՀ վարկանիշին համապատասխան կամ բարձր վարկանիշ ստացած ապահովագրական ընկերությունների կողմից վարկի ապահովագրության, երաշխիքի տրամադրման և ֆինանսական վնասների դասերով տրամադրված արտահանման ապահովագրություն (սույն գլխում այսուհետ նաև՝ ապահովագրություն),
բ. առկա են ապահովվածությունը հաստատող համապատասխան փաստաթղթեր,
գ. գրավի առարկայի՝ մինչև մարումն ընկած ժամկետը, երաշխիքի/երաշխավորության, ապահովագրության (այսուհետ՝ ապահովվածություն) տրամադրման ժամկետը մեծ կամ հավասար է ՎՌԶՄ-ին ենթակա պահանջի մինչև մարումն ընկած ժամկետին (չկա բացասական ժամկետային անհամապատասխանություն),
դ. փոխառուի վարկունակության և գրավի առարկայի, երաշխիք կամ երաշխավորություն, ապահովագրություն տրամադրողի միջև չկա դրական կորելացիա (օրինակ՝ երաշխավորը փոխառուի հետ փոխկապակցված անձ չէ, կամ գրավը փոխառուի կողմից թողարկված արժեթուղթ չէ և այլն), բացառությամբ այն դեպքերի, երբ երաշխավորություն, ապահովագրություն տվողը Կենտրոնական բանկը կամ Հայաստանի Հանրապետության կառավարությունն է կամ գրավի առարկան հանդիսանում է Կենտրոնական բանկի կողմից թողարկված արժեթուղթ կամ Հայաստանի Հանրապետության գանձապետական պարտատոմս,
ե. փոխառուի կողմից պայմանագրով սահմանված պարտավորությունների չկատարման դեպքում բանկն ունի գրավի իրացման արտադատարանային իրավունք (միայն գրավի դեպքում),
զ. փոխառուի կողմից պարտավորությունների չկատարման դեպքում գրավի առարկայի փաստացի իրացման հնարավորության կամ բանկին տրամադրված երաշխիքի/երաշխավորության կատարման ժամկետների առումով չկան պայմանագրով և/կամ այլ փոխադարձ համաձայնությամբ նախատեսված սահմանափակումներ:
է. ապահովվածության կամ ապահովվածություն տրամադրող անձի ռիսկի կշիռը ցածր է ՎՌԶՄ-ին ենթակա պահանջի ռիսկի կշռից:
(16-րդ կետը լրաց., փոփ. 18.09.07 N 297-Ն, խմբ. 23.05.08 թիվ 163-Ն, 14.10.09 թիվ 297-Ն, 19.03.10 թիվ 54-Ն, լրաց. 27.11.12 թիվ 325-Ն, փոփ. 15.12.15 թիվ 279-Ն, լրաց. 15.11.22 թիվ 195-Ն)
17. ՎՌԶՄ-ները չեն տարածվում ՎՌԶՄ-ին ենթակա այն պահանջների նկատմամբ, որոնք դասակարգվել են որպես ոչ ստանդարտ և կասկածելի վարկեր և դեբիտորական պարտքեր, միջին ռիսկային և բարձր ռիսկային արժեթղթեր:
(17-րդ կետը խմբ. 23.05.08 թիվ 163-Ն, փոփ. 30.11.11 թիվ 323-Ն, խմբ. 27.11.12 թիվ 325-Ն, փոփ. 10.12.14 թիվ 339-Ն)
18. ՎՌԶՄ-ի կիրառումը ապահովելու նպատակով անհրաժեշտ է կատարել սույն հավելվածի 25-րդ կետով սահմանված արժեքի տատանման գործակիցների միջոցով ՎՌԶՄ-ին ենթակա պահանջի և ապահովվածության մեծության ճշգրտում, եթե դրանց գծով սույն հավելվածի 25-րդ կետով սահմանված են արժեքի տատանման գործակիցներ, կամ ՎՌԶՄ-ին ենթակա պահանջը և համապատասխան ապահովվածությունն արտահայտված են տարբեր արժույթներով:
(18-րդ կետը խմբ. 23.05.08 թիվ 163-Ն)
19. Արժեքի տատանման գործակիցների կիրառման դեպքում.
ա. ՎՌԶՄ-ին ենթակա պահանջի ճշգրտված արժեքը կլինի բարձր ՎՌԶՄ-ին ենթակա պահանջի արժեքից՝ համաձայն սույն հավելվածի 20-րդ կետի,
բ. ապահովվածության ճշգրտված արժեքը կլինի ցածր ապահովվածության արժեքից՝ համաձայն սույն հավելվածի 21-րդ կետի:
20. ՎՌԶՄ շրջանակներում արժեքի տատանման գործակիցների կիրառման դեպքում բանկերը ճշգրտում են միայն այն ՎՌԶՄ-ին ենթակա պահանջները, որոնց գծով սույն հավելվածի 25-րդ կետով սահմանված են արժեքի տատանման գործակիցներ: Հաշվարկն իրականացվում է հետևյալ բանաձևի համաձայն.
Վռճ = (Վռ-Պ) (1+Գվ),
որտեղ՝
«Վռճ»-ՎՌԶՄ-ին ենթակա պահանջի ճշգրտված մեծությունն է՝ հաշվի առած արժեքի տատանման գործակիցը,
«Վռ»-ՎՌԶՄ-ին ենթակա պահանջի մեծությունն է՝ հնարավոր կորուստների հատուկ պահուստի (առկայության դեպքում), գումարների չափով նվազեցնելուց և արժեքը ճշգրտելուց առաջ,
«Պ»-ՎՌԶՄ-ին ենթակա պահանջի գծով ձևավորված հնարավոր կորուստների հատուկ պահուստի (առկայության դեպքում), մեծությունն է:
«Գվ»-25-րդ կետով սահմանված արժեքի տատանման գործակիցն է:
(20-րդ կետը փոփ. 15.11.22 թիվ 195-Ն)
21. ՎՌԶՄ շրջանակներում բանկը ճշգրտում է ապահովվածության արժեքը՝ ՎՌԶՄ ենթակա պահանջը և ապահովվածությունը տարբեր արժույթներով լինելու դեպքում, սույն հավելվածի 25-րդ կետով արժեքի տատանման գործակիցներ սահմանված լինելու դեպքում կամ սույն գլխով սահմանված ապահովագրության՝ որպես ապահովվածություն առկայության դեպքում: Հաշվարկն իրականացվում է հետևյալ բանաձևի համաձայն.
Աճ = Ա *(1-Գգ-Գփխ- ԳԱ),
որտեղ՝
«Աճ»-ապահովվածության ճշգրտված արժեքն է,
«Ա»-ապահովվածության արժեքն է,
«Գգ»-25-րդ կետով սահմանված արժեքի տատանման գործակիցն է,
«Գփխ»-փոխարժեքի տատանման գործակիցն է, որը սահմանվում է՝
8%, եթե ՎՌԶՄ-ին ենթակա պահանջը և ապահովվածությունը տարբեր արժույթներով են,
0%, եթե ՎՌԶՄ-ին ենթակա պահանջը և ապահովվածությունը միևնույն արժույթներով են,
«ԳԱ»- ապահովագրության պայմանագրի ճշգրտման գործակիցն է, որը սահմանվում է
20%, եթե առկա է սույն գլխով սահմանված ապահովագրությունը,
0%, եթե առկա չէ սույն գլխով սահմանված ապահովագրությունը:
(21-րդ կետը խմբ. 15.11.22 թիվ 195-Ն)
22. Եթե պահանջի գծով առկա չեն տատանման (ճշգրտման) գործակիցներ, ապա ՎՌԶՄ ենթակա պահանջի արժեքը հավասար է պահանջի և հնարավոր կորուստների հատուկ պահուստի (առկայության դեպքում) տարբերությանը: Եթե պահանջի գծով առկա է արժեքի տատանման (ճշգրտման) գործակից, ապա ՎՌԶՄ ենթակա պահանջի ճշգրտված արժեքը որոշվում է սույն հավելվածի 20-րդ կետի համաձայն: Եթե պահանջի գծով առկա է արժեքի տատանման գործակից, ապա ՎՌԶՄ ենթակա պահանջի ճշգրտված արժեքը որոշվում է սույն հավելվածի 20-րդ կետի համաձայն: Հետհաշվեկշռային պայմանական պարտավորությունների դեպքում ՎՌԶՄ ենթակա պահանջի արժեքը որոշվում է սույն հավելվածի 12-րդ կետի համաձայն: Ապահովվածության ճշգրտված արժեքը հաշվարկվում է սույն հավելված 21-րդ կետի համաձայն:
(22-րդ կետը փոփ. 23.05.08 թիվ 163-Ն, խմբ. 15.11.22 թիվ 195-Ն)
22.1. Ռեպո համաձայնագրերը և դրանց գծով հաշվարկված տոկոսները վարկային ռիսկի հաշվարկում ընդգրկվում են հետևյալ բանաձևի համաձայն`
ՌՀԱ = Առավելագույն [ԴՄXԴՌ; ՊՀ], որտեղ`
ՌՀԱ – ռեպո համաձայնագրի և դրանց գծով հաշվարկված տոկոսների` վարկային ռիսկի հաշվարկում ընդգրկվող գումարն է,
ԴՄ - ռեպո համաձայնագրով տրամադրված դրամական միջոցների արժեքն է,
ԴՌ - ռեպո համաձայնագրով տրամադրված դրամական միջոցների ռիսկի կշիռն է` համաձայն սույն հավելվածի 6-րդ կետի աղյուսակի,
ՊՀ – սույն գլխով սահմանված կարգով և դեպքերում ՎՌԶՄ կիրառման արդյունքում հաշվարկված ռեպո համաձայնագրի` վարկային ռիսկի հաշվարկում ընդգրկվող գումարն է, իսկ ՎՌԶՄ չկիրառելու դեպքում` ռեպո համաձայնագրի հաշվեկշռային արժեքի (ստանդարտ դասով դասակարգված ակտիվների և ոչ ռիսկային դասակարգված արժեթղթերի դեպքում՝ համախառն հաշվեկշռային արժեքի) և ռեպո գործառնության կողմ հանդիսացող անձի (գործընկերոջ) վարկային ռիսկի կշռի (համաձայն սույն հավելվածի 6-րդ կետի աղյուսակի` հաշվի առնելով ռեպո համաձայնագրով տրամադրված դրամական միջոցների արժույթը) արտադրյալն է:
(22.1-ին կետը լրաց. 27.11.12 թիվ 325-Ն, փոփ. 23.07.13 թիվ 179-Ն, լրաց. 15.11.22 թիվ 195-Ն)
22.2. Ռեպո համաձայնագրով վաճառված արժեթղթերը վարկային ռիսկի հաշվարկում ընդգրկվում են հետևյալ բանաձևի համաձայն`
ՌՎԱ = Առավելագույն [ՉԱ X ԳՌ; ԱՀ X ԹՌ], որտեղ`
ՌՎԱ – ռեպո համաձայնագրով վաճառված արժեթղթի` վարկային ռիսկի հաշվարկում ընդգրկվող գումարն է,
ՉԱ – ռեպո համաձայնագրով վաճառված արժեթղթի չապահովված մասն է, որը որոշվում է որպես`
ա. ռեպո համաձայնագրով վաճառված արժեթղթի հաշվեկշռային ճշգրտված արժեքի (կիրառելով սույն գլխով սահմանված արժեքի տատանման գործակիցները), և
բ. ստացված դրամական միջոցների ու դրանց գծով վճարվելիք գումարների հանրագումարի դրական տարբերություն,
ԳՌ – ռեպո գործառնության կողմ հանդիսացող անձի (գործընկերոջ) վարկային ռիսկի կշիռը` համաձայն սույն հավելվածի 6-րդ կետի աղյուսակի` հաշվի առնելով ռեպո համաձայնագրով վաճառված արժեթղթի արժույթը,
ԱՀ - ռեպո համաձայնագրով վաճառված արժեթղթի հաշվեկշռային արժեքը (ստանդարտ դասով դասակարգված ակտիվների և ոչ ռիսկային դասակարգված արժեթղթերի դեպքում՝ համախառն հաշվեկշռային արժեքը),
ԹՌ - ռեպո համաձայնագրով վաճառված արժեթղթի թողարկողի (գործիքի) վարկային ռիսկի կշիռը` համաձայն սույն հավելվածի 6-րդ կետի աղյուսակի:
Փոխառությամբ տրամադրված արժեթղթերը վարկային ռիսկի հաշվարկում ընդգրկվում են սույն կետով սահմանված կարգով:
(22.2-րդ կետը լրաց. 27.11.12 թիվ 325-Ն, 15.11.22 թիվ 195-Ն)
23. ՎՌԶՄ շրջանակներում ՎՌԶՄ-ին ենթակա պահանջի ապահովված մասը ստանում է 20% և ավելի բարձր ռիսկի կշիռ, բացառությամբ սույն հավելվածի 23.1-րդ, 23.2-րդ և 23.3-րդ կետերում ներկայացված դեպքերի:
23.1. Ֆինանսական գրավով ապահովված ՎՌԶՄ-ին ենթակա պահանջը վարկային ռիսկի հաշվարկում ընդգրկվում է 0% ռիսկի կշռով, եթե՝
1) որպես ֆինանսական գրավ հանդես է գալիս տվյալ բանկում պահվող (ներառյալ տվյալ բանկի դեպոզիտային հաշիվներում հաշվառվող)՝ բանկային ոսկին, Հայաստանի Հանրապետության դրամը, առաջին խմբի մեջ մտնող արտարժութային միջոցները կամ ռուբլին, կամ
2) բավարարված են հետևյալ պայմանները միաժամանակ՝
ա. ապահովվածությունը Կենտրոնական բանկի կողմից թողարկված արժեթուղթ է, Հայաստանի Հանրապետության դրամով Հայաստանի Հանրապետության պետական գանձապետական պարտատոմս կամ այլ երկրների կենտրոնական բանկերի կամ կառավարությունների կողմից թողարկված արժեթուղթ, որը, համաձայն սույն հավելվածի 6-րդ կետի, վարկային ռիսկի հաշվարկում ընդգրկվում է 0% ռիսկի կշռով,
բ. գրավը վերագնահատվում է ամեն օր,
գ. փոխառուն (պարտապանը) դասվում է սույն հավելվածի 27-րդ կետով սահմանվող շուկայի հիմնական մասնակիցների շարքին:
(23.1-ին կետը խմբ. 23.07.13 թիվ 179-Ն, 23.01.24 թիվ 19-Ն)
23.2. Երաշխիքով կամ երաշխավորությամբ ապահովված պահանջը վարկային ռիսկի հաշվարկում ընդգրկվում է 0% ռիսկի կշռով, եթե երաշխիք կամ երաշխավորություն տրամադրողը
ա) Հայաստանի Հանրապետության կառավարությունն է (եթե երաշխիքը կամ երաշխավորությունը տրամադրվել է ՀՀ դրամով) կամ Կենտրոնական բանկը,
բ) դասվում է սույն հավելվածի 27-րդ կետով սահմանված շուկայի հիմնական մասնակիցների շարքին, որոնց նկատմամբ պահանջները, սույն հավելվածի 6-րդ կետի համաձայն, վարկային ռիսկի հաշվարկում ընդգրկվում են 0% ռիսկի կշռով,
գ) Հանդիսանում է սույն հավելվածի աղյուսակ 1-ի 6.6 կետում նշված կազմակերպություն:
(23.2-րդ կետը խմբ. 23.05.08 թիվ 163-Ն, լրաց. 27.11.12 թիվ 325-Ն, 23.01.24 թիվ 19-Ն)
23.3. Պահանջի ապահովված մասը վարկային ռիսկի հաշվարկում ընդգրկվում է 10% ռիսկի կշռով, եթե՝
1) գրավը արտարժույթով Հայաստանի Հանրապետության պետական գանձապետական պարտատոմս է, և բավարարված են սույն հավելվածի 23.1-րդ կետի 2-րդ ենթակետի «բ» և «գ» պարբերություններով սահմանված պայմանները.
2) գործարքը միաժամանակ բավարարում է սույն հավելվածի 23.1-րդ կետի 2-րդ ենթակետի «ա» և «բ» պարբերություններով սահմանված պայմաններին.
3) Հայաստանի Հանրապետության կառավարության կողմից արտարժույթով տրամադրվել է երաշխիք կամ երաշխավորություն:
(23.3-րդ կետը խմբ., լրաց. 23.01.24 թիվ 19-Ն)
24. Եթե ՎՌԶՄ-ին ենթակա պահանջն ունի մեկ տեսակից ավելի ապահովվածություն, որոնց հանրագումարը գերազանցում է պահանջի մեծությունը, և որոնք ունեն տարբեր ռիսկի կշիռներ, ապա ՎՌԶՄ-ին ենթակա պահանջի ապահովված մասի ռիսկի կշիռը որոշելու համար հիմք պետք է ընդունել ապահովվածությունների ռիսկի կշիռները՝ ըստ ռիսկի կշիռների աճման կարգի (սկզբում հիմք ընդունելով առավել ցածր ռիսկի կշիռ ունեցող ապահովվածության ռիսկի կշիռը, այնուհետ՝ հաջորդող ապահովվածությունների ռիսկի կշիռները):
25. Արժեքի տատանման գործակիցներ
Աղյուսակ 3
|
Արժեթղթերի տեսակներ և վարկանիշներ |
Մարմանը |
Արժեքի տատանման գործակիցներ (%) | |
|
Կենտրոնական բանկեր (Կառավարություն) տեղական կառավարման մարմիններ |
Այլ թողար-կողներ | ||
|
25.1. Հայաստանի Հանրապետության դրամով Կենտրոնական բանկի թողարկած արժեթղթեր, Հայաստանի Հանրապետության պետական գանձապետական պարտատոմսեր, /ԱԱԱ/Աաա/-ից /ԱԱ-/Աա3/ վարկանիշ ունեցող օտարերկրյա կենտրոնական բանկերի, կառավարությունների, տեղական կառավարման մարմինների թողարկած պարտատոմսեր, |
< 1 տարի |
1 |
|
|
≥ 1 տարի, |
2 |
| |
|
≥ 5 տարի |
4 |
| |
|
25.3. Օտարերկրյա բանկերի և ոչ բանկ կազմակերպությունների՝ /ԱԱԱ/Աաա/-ից /ԱԱ-/Աա3/ վարկանիշ ունեցող պարտատոմսեր, |
< 1 տարի |
|
1 |
|
≥ 1 տարի, |
|
4 | |
|
< 5 տարի |
|
8 | |
|
25.5. Արտարժույթով Կենտրոնական բանկի թողարկած արժեթղթեր, Հայաստանի Հանրապետության պետական գանձապետական պարտատոմսեր, |
< 1 տարի |
2 |
|
|
≥ 1 տարի, |
3 |
| |
|
≥ 5 տարի |
6 |
| |
|
25.7. Հայաստանի Հանրապետության տարածքում գործող բանկերի, վարկային կազմակերպությունների և օտարերկրյա բանկերի՝ Հայաստանի Հանրապետության տարածքում գործող մասնաճյուղերի թողարկած պարտատոմսեր, |
< 1 տարի |
|
2 |
|
< 5 տարի |
|
6 | |
|
≥ 5 տարի |
|
12 | |
|
25.10. /ԲԲ+/Բա1/-ից /ԲԲ-/Բա3/ վարկանիշ ունեցող օտարերկրյա կենտրոնական բանկերի, կառավարությունների, տեղական կառավարման մարմինների թողարկած պարտատոմսեր, |
20 |
|
25.16. ՀՀ ռեզիդենտ ոչ ֆինանսական կազմակերպությունների բաժնետոմսեր, որոնց վարկանիշը հավասար կամ բարձր է վարկանշային գործակալությունների («Ստանդարտ և Փուրզ կամ Ֆիթչ կամ Մուդիզ) կողմից Հայաստանի Հանրապետությանը տրված` մեկ վարկանիշ ցածր վարկանիշից, |
30 |
(25-րդ կետը խմբ. 15.12.15 թիվ 279-Ն)
26. Ֆինանսական գրավի առարկաները, որոնք կարող են օգտագործվել ՎՌԶՄ-ում.
26.1. Կենտրոնական բանկի թողարկած արժեթղթեր:
26.1.1. Տվյալ բանկում պահվող (ներառյալ տվյալ բանկի դեպոզիտային հաշիվներում հաշվառվող)՝ բանկային ոսկի, Հայաստանի Հանրապետության դրամ, առաջին խմբի մեջ մտնող արտարժութային միջոցներ, ռուբլի, ինչպես նաև այլ արտարժութային միջոցներ (եթե վերջիններս հանդիսանում են միևնույն արտարժույթով արտահայտված ակտիվների ապահովում):
(26.1.1-ին կետը լրաց. 23.07.13 թիվ 179-Ն)
26.2. Հայաստանի Հանրապետության պետական գանձապետական պարտատոմսեր Հայաստանի Հանրապետության ֆինանսների նախարարության կողմից թողարկված փոխանցելի մուրհակներ, որոնց մինչև մարումն ընկած ժամանակահատվածը մինչև 1 տարի է և որոնք ենթակա են պարտադիր վճարման Հայաստանի Հանրապետության կենտրոնական բանկի կողմից՝ Հայաստանի Հանրապետության կառավարության գանձապետական միասնական հաշվի միջոցներից, դատական ակտերի հիման վրա Հայաստանի Հանրապետության պետական բյուջեից բռնագանձման ենթակա գումարների դիմաց փոխանցելի Հայաստանի Հանրապետության պետական մուրհակներ:
(26.2-րդ կետը լրաց. 30.12.08 թիվ 375-Ն)
26.3. Հայաստանի Հանրապետության տարածքում գործող բանկերի, վարկային կազմակերպությունների և օտարերկրյա բանկերի՝ Հայաստանի Հանրապետության տարածքում գործող մասնաճյուղերի թողարկած պարտատոմսեր:
26.4. ՀՀ ռեզիդենտ ոչ ֆինանսական կազմակերպությունների կողմից թողարկված պարտատոմսեր, որոնց վարկանիշը հավասար կամ բարձր է վարկանշային գործակալությունների («Ստանդարտ և Փուրզ կամ Ֆիթչ կամ Մուդիզ) կողմից Հայաստանի Հանրապետությանը տրված` մեկ վարկանիշ ցածր վարկանիշից:
(26.4-րդ կետը խմբ. 15.12.15 թիվ 279-Ն)
26.5. /ԲԲԲ-/Բաա3/ և ավելի բարձր վարկանիշ ունեցող օտարերկրյա կենտրոնական բանկերի, կառավարությունների, տեղական կառավարման մարմինների թողարկած պարտատոմսեր:
26.6. Օտարերկրյա բանկերի կողմից թողարկված /ԲԲԲ-/Բաա3/ և ավելի բարձր վարկանիշ ունեցող պարտատոմսեր:
26.7. Օտարերկրյա ոչ բանկ կազմակերպությունների կողմից թողարկված /Ա-/Ա3/ և ավելի բարձր վարկանիշ ունեցող պարտատոմսեր:
26.8. Օտարերկրյա բանկերի ու ոչ բանկ կազմակերպությունների /Ա-2/Ֆ2/Պ-2/ և ավելի բարձր վարկանիշ ունեցող պարտատոմսեր:
26.9. ՀՀ ռեզիդենտ ոչ ֆինանսական կազմակերպությունների բաժնետոմսեր, որոնց վարկանիշը հավասար կամ բարձր է վարկանշային գործակալությունների («Ստանդարտ և Փուրզ կամ Ֆիթչ կամ Մուդիզ) կողմից Հայաստանի Հանրապետությանը տրված` մեկ վարկանիշ ցածր վարկանիշից:
(26.9-րդ կետը խմբ. 15.12.15 թիվ 279-Ն)
26.10. Հայաստանի Հանրապետության տարածքում գործող բանկերի և վարկային կազմակերպությունների բաժնետոմսեր:
26.11. /ԲԲԲ-/Բաա3/ և ավելի բարձր վարկանիշ ունեցող օտարերկրյա բանկերի բաժնետոմսեր, որոնք մտնում են սույն հավելվածի 28-րդ կետով սահմանված բորսայական ինդեքսների մեջ:
26.12. /Ա-/Ա3/ և ավելի բարձր վարկանիշ ունեցող օտարերկրյա ոչ բանկ կազմակերպությունների բաժնետոմսեր, որոնք մտնում են սույն հավելվածի 28-րդ կետով սահմանված բորսայական ինդեքսների մեջ:
26.13. Վերաֆինանսավորում իրականացնող վարկային կազմակերպությունների կողմից թողարկված պարտատոմսեր:
(26.13-րդ կետը լրաց. 30.08.11 թիվ 224-Ն)
27. Շուկայի հիմնական մասնակիցներ: Սույն կանոնակարգի իմաստով՝ շուկայի հիմնական մասնակիցների շարքին են դասվում.
27.1. Պետությունները/կառավարությունները, կենտրոնական բանկերը և տեղական կառավարման մարմինները:
27.2. Հայաստանի Հանրապետության տարածքում գործող բանկերը, վարկային կազմակերպությունները և օտարերկրյա բանկերի՝ Հայաստանի Հանրապետության տարածքում գործող մասնաճյուղերը:
27.3. Օտարերկրյա բանկերը:
27.4. Այլ ֆինանսական կազմակերպությունները (ներառյալ՝ ներդրումային և ապահովագրական ընկերությունները), որոնց նկատմամբ պահանջները սույն հավելվածի 6-րդ կետի համաձայն՝ վարկային ռիսկի հաշվարկում ընդգրկվում են 20% ռիսկի կշիռով:
28. Բորսայական ինդեքսներ: Սույն կանոնակարգի իմաստով՝ բորսայական ինդեքսների շարքին են դասվում սույն հավելվածի 4-րդ աղյուսակում սահմանված ինդեքսները:
Աղյուսակ 4
Բորսայական ինդեքսների անվանումը Երկիրը Օլ Օրդս (All Ords) Ավստրալիա ԷյԹիԷքս (ATX) Ավստրիա ԲԵԼ 20 (BEL20) Բելգիա Եվրոնեքստ 100 (Euronext 100) միջազգային ՍիԷյՍի 40 (CAC 40) Ֆրանսիա ԻԲԵՔՍ 35 (IBEX 35) Իսպանիա ԷյԻԷքս(AEX) Նիդերլանդներ Հանգ Սենգ (Hang Seng) Հոնկոնգ Նիկկեի 225 (Nikkei225) Ճապոնիա ԴԱՔս (DAX) Գերմանիա ՍՄԻ (SMI) Շվեյցարիա ՕԷմԷքս (ՕMX) Շվեդիա Սի և Փի 500 (S&P500) ԱՄՆ Դոու Ջոնս(Dow Jones) ԱՄՆ ՆԱՍԴԱՔ (NASDAQ) ԱՄՆ ՖՏՍԵ 100 (FTSE100) Միացյալ Թագավորություն ՖՏՍԵ միդ-250 (FTSE mid-250) Միացյալ Թագավորություն
Գ լ ու խ 4
Վարկային ռիսկի հաշվարկի ընթացքում վարկանիշների կիրառման սկզբունքները
29. (կետն ուժը կորցրել է 15.12.15 թիվ 279-Ն)
30. Վարկային ռիսկի հաշվարկման ժամանակ վարկանիշերի կիրառման սկզբունքները պետք է համապատասխանեն սույն կանոնակարգի 6․2-րդ և 6․3-րդ գլուխներով սահմանված պահանջներին:
(30-րդ կետը խմբ. 15.11.22 թիվ 195-Ն)
31. (կետն ուժը կորցրել է 15.11.22 թիվ 195-Ն)
32. (կետն ուժը կորցրել է 15.11.22 թիվ 195-Ն)
33. Օտարերկրյա կենտրոնական բանկերի, կառավարությունների, տեղական կառավարման մարմինների նկատմամբ պահանջները վարկային ռիսկի հաշվարկում ընդգրկելու համար պետք է հիմք ընդունել վարկանիշները՝ կախված գործիքների տեսակից և արժույթից: Իսկ օտարերկրյա բանկերի և ոչ բանկ կազմակերպությունների նկատմամբ պահանջների համար հիմք պետք է ընդունել վարկանիշները՝ կախված պահանջների ժամկետայնությունից, արժույթից և գործիքների տեսակից:
(33-րդ կետը լրաց. 23.05.08 թիվ 163-Ն)
34. Սույն հավելվածի առումով կարճաժամկետ պահանջներ են համարվում ցպահանջ և մինչև 90 օր (ներառյալ) մարման ժամկետ ունեցող պահանջները, իսկ երկարաժամկետ՝ 90 օրից ավելի մարման ժամկետ ունեցող և մարման սահմանված ժամկետ չունեցող պահանջները:
35. ՎՌԶՄ-ի կիրառման ընթացքում օտարերկրյա կառավարությունների, կենտրոնական բանկերի, օտարերկրյա առևտրային բանկերի երաշխիքներով/երաշխավորություններով ապահովված պահանջները ռիսկով կշռելիս բանկերը պետք է օգտագործեն վարկանիշային կազմակերպության սահմանած երկարաժամկետ ավանդների ներգրավման վարկանիշները, իսկ վարկանիշ ունեցող օտարերկրյա ոչ բանկ կազմակերպությունների երաշխիքներով/երաշխավորություններով ապահովված պահանջների դեպքում պետք է օգտագործեն «թողարկողի վարկանիշ» վարկանիշները:
36. Եթե առկա չէ կարճաժամկետ վարկանիշ, ապա օտարերկրյա բանկերի և ոչ բանկ կազմակերպությունների նկատմամբ կարճաժամկետ պահանջի ռիսկի կշիռը որոշելու համար հիմք կարող է ընդունվել սույն հավելվածի 6.18-րդ և 6.21-րդ կետերում ներկայացված երկարաժամկետ վարկանիշներին համապատասխան կշիռներից մեկ մակարդակ ավելի բարենպաստ ռիսկի կշիռը: Սույն կետի կիրառման իմաստով՝ բացառություն են կազմում 20% և 150% ռիսկի կշիռները (այսինքն՝ կարճաժամկետ պահանջները պետք է կշռել, համապատասխանաբար, 20% և 150% ռիսկի կշռով):
(36-րդ կետը փոփ. 23.05.08 թիվ 163-Ն)
37. Օտարերկրյա կառավարությունների և կենտրոնական բանկերի, տեղական կառավարման մարմինների և' կարճաժամկետ, և' երկարաժամկետ պահանջները ռիսկով կշռելու, ինչպես նաև վերոնշյալ անձանց նկատմամբ սույն կանոնակարգով սահմանված վարկանիշները կիրառելու նպատակով պետք է հիմք ընդունել բացառապես երկարաժամկետ վարկանիշները:
(37-րդ կետը փոփ. 15.12.15 թիվ 279-Ն)
37.1. Եթե ռեզիդենտ ոչ ֆինանսական կազմակերպությունը Մուդիզ վարկանիշային գործակալության կողմից ստացել է ՆՊ կարճաժամկետ վարկանիշ, ապա տվյալ անձի նկատմամբ կարճաժամկետ պահանջը կշռելիս հիմք է ընդունվում երկարաժամկետ վարկանիշը, իսկ երկարաժամկետ վարկանիշ չունենալու դեպքում` կիրառվում է 150 տոկոս ռիսկի կշիռ:
(37.1-ին կետը լրաց. 24.02.15 թիվ 44-Ն)
38. Եթե անձի/գործիքի նկատմամբ կարճաժամկետ պահանջի ռիսկի կշիռը 150% է, ապա տվյալ անձի նկատմամբ ցանկացած վարկանիշ չունեցող պահանջները (թե' երկարաժամկետ, թե' կարճաժամկետ) վարկային ռիսկի հաշվարկում պետք է ընդգրկվեն 150% ռիսկի կշռով:
39. (կետն ուժը կորցրել է 23.05.08 թիվ 163-Ն)
40. (կետն ուժը կորցրել է 15.11.22 թիվ 195-Ն)
41. (կետն ուժը կորցրել է 15.11.22 թիվ 195-Ն)
42. Սույն Հավելվածի 6.21.3-6.21.6-րդ կետերը կիրառելիս՝ Հայաստանի Հանրապետությանը վարկանիշային գործակալությունների (Ստանդարտ և Փուրզ կամ Ֆիթչ կամ Մուդիզ) կողմից տրված վարկանիշը որոշվում է՝ առաջնորդվելով հետևյալ սկզբունքներով.
1) Հայաստանի Հանրապետությանը տրված վարկանիշի և սույն Հավելվածի 43-րդ կետի հիման վրա որոշված վարկանիշի արժույթները (տեղական արժույթ կամ արտարժույթ) պետք է համապատասխանեն: Այն դեպքում, երբ սույն Հավելվածի 43-րդ կետի հիման վրա որոշված վարկանիշը տարանջատված չէ ըստ արժույթների, ապա համեմատության համար հիմք է ընդունվում տեղական արժույթով Հայաստանի Հանրապետությանը տրված վարկանիշը:
2) Եթե Հայաստանի Հանրապետությանը տրվել է երկարաժամկետ վարկանիշ միայն մեկ վարկանիշային գործակալության կողմից, ապա հիմք է ընդունվում այդ վարկանիշը:
3) Եթե Հայաստանի Հանրապետությանը տրվել է երկու տարբեր երկարաժամկետ վարկանիշներ երկու տարբեր վարկանիշային գործակալությունների կողմից, ապա հիմք է ընդունվում ամենաբարձր վարկանիշը:
4) Եթե Հայաստանի Հանրապետությանը տրվել է երեք տարբեր երկարաժամկետ վարկանիշներ երեք տարբեր վարկանիշային գործակալությունների կողմից, ապա հիմք է ընդունվում երկու ամենաբարձր վարկանիշներից առավել ցածր վարկանիշը:
(42-րդ կետը լրաց. 20.12.19 թիվ 200-Ն)
43. Սույն Հավելվածի 6.21.3-6.21.6-րդ կետերը կիրառելիս՝ Հայաստանի Հանրապետության ռեզիդենտ ոչ ֆինանսական կազմակերպություններին վարկանիշային գործակալությունների (Ստանդարտ և Փուրզ կամ Ֆիթչ կամ Մուդիզ) կողմից տրված վարկանիշը որոշվում է՝ առաջնորդվելով հետևյալ սկզբունքներով.
1) Հայաստանի Հանրապետության ռեզիդենտ ոչ ֆինանսական կազմակերպության նկատմամբ երկարաժամկետ պահանջի դեպքում՝ հիմք է ընդունվում տվյալ պահանջի գծով առկա երկարաժամկետ վարկանիշը (issue rating) (իշյու ռեյթինգ), իսկ այդ վարկանիշ(ներ)ի բացակայության դեպքում՝ տվյալ կազմակերպությանը տրված երկարաժամկետ թողարկողի վարկանիշը (issuer rating (corporate family rating))(իշյուեր ռեյթինգ (քոռփոռեյթ ֆեմիլի ռեյթինգ)) կամ թողարկողի անվճարունակության վարկանիշը (Issuer Default Rating) (իշյուեր դեֆոլտ ռեյթինգ)` համաձայն սույն կանոնակարգի 92-րդ կետով սահմանված սկզբունքների:
2) Հայաստանի Հանրապետության ռեզիդենտ ոչ ֆինանսական կազմակերպության նկատմամբ կարճաժամկետ պահանջի դեպքում՝ հիմք է ընդունվում տվյալ կազմակերպությանը տրված երկարաժամկետ թողարկողի վարկանիշը (issuer rating (corporate family rating)) (իշյուեր ռեյթինգ (քոռփոռեյթ ֆեմիլի ռեյթինգ)) կամ թողարկողի անվճարունակության վարկանիշը (Issuer Default Rating) (իշյուեր դեֆոլտ ռեյթինգ)` համաձայն սույն կանոնակարգի 92-րդ կետով սահմանված սկզբունքների:
3) ՀՀ ռեզիդենտ ոչ ֆինանսական կազմակերպության նկատմամբ բանկի պահանջի ու տվյալ կազմակերպությանը տրված վարկանիշի արժույթները (տեղական արժույթ կամ արտարժույթ) պետք է համապատասխանեն, եթե տվյալ տեսակի վարկանիշը տարանջատվում է ըստ արժույթների: Այն դեպքում, երբ կազմակերպությունը չի ստացել պահանջի արժույթին համապատասխան արժույթով (տեղական արժույթ կամ արտարժույթ) վարկանիշ, ապա հիմք է ընդունվում առկա արժույթով վարկանիշը:
(43-րդ կետը լրաց. 20.12.19 թիվ 200-Ն, փոփ. 15.11.22 թիվ 195-Ն)
44. Սույն Հավելվածի 6.14.1-րդ և 6.25-րդ կետերը կիրառելիս հիմք են ընդունվում սույն հավելվածի 42-րդ և 43-րդ կետերով սահմանված սկզբունքները:
(44-րդ կետը լրաց. 23.01.24 թիվ 19-Ն)
(հավելվածը լրաց., փոփ., խմբ. 18.09.07 N 297-Ն, 23.05.08 թիվ 163-Ն, լրաց. 30.12.08 թիվ 375-Ն, խմբ. 19.03.10 թիվ 54-Ն, 27.07.10 թիվ 171-Ն, լրաց., խմբ. 08.02.11 թիվ 26-Ն, լրաց. 30.08.11 թիվ 224-Ն, փոփ. 30.11.11 թիվ 323-Ն, լրաց. 20.12.11 թիվ 354-Ն,խմբ., լրաց., փոփ. 27.11.12 թիվ 325-Ն, 23.07.13 թիվ 179-Ն, փոփ.10.12.14 թիվ 339-Ն, խմբ., լրաց., փոփ. 24.02.15 թիվ 44-Ն, խմբ. 29.12.15 թիվ 299-Ն, փոփ., լրաց. 10.05.16 թիվ 79-Ն, փոփ., լրաց., խմբ. 15.12.15 թիվ 279-Ն, փոփ. 20.09.16 թիվ 146-Ն, լրաց. 25.10.16 թիվ 177-Ն, 03.02.17 թիվ 31-Ն, 14.11.17 թիվ 257-Ն, լրաց., փոփ., խմբ. 23.11.18 թիվ 196-Ն, լրաց. 20.12.19 թիվ 200-Ն, փոփ. 08.05.20 թիվ 73-Ն, խմբ. 11.10.19 թիվ 161-Ն, փոփ., խմբ. 27.03.20 թիվ 44-Ն, լրաց. 08.05.20 թիվ 73-Ն, փոփ., լրաց., խմբ. 15.11.22 թիվ 195-Ն, 23.01.24 թիվ 19-Ն)
|
Հաստատված է |
Շուկայական ռիսկի հաշվարկ
Գ լ ու խ 1
Շուկայական ռիսկի հաշվարկ
1. Շուկայական ռիսկը հաշվարկվում է սույն հավելվածով սահմանված սկզբունքների համաձայն:
2. Շուկայական ռիսկն արտարժութային, տոկոսադրույքի և կապիտալի գործիքների գնային ռիսկերի հանրագումարն է, որը հաշվարկվում է հետևյալ բանաձևով՝
ՇՌ = ԱՌ+ՏՌ+ԿԳԳՌ,
որտեղ՝
ՇՌ-շուկայական ռիսկն է,
ԱՌ-արտարժութային ռիսկն է,
ՏՌ-տոկոսադրույքի ռիսկն է` ամսվա միջին օրական հաշվարկով,
ԿԳԳՌ-կապիտալի գործիքների գնային ռիսկն է` ամսվա միջին օրական հաշվարկով:
3. Շուկայական ռիսկի հաշվարկում տոկոսադրույքի և կապիտալի գործիքների գնային ռիսկերը հաշվարկվում են միայն այն դեպքում, երբ հաշվետու ժամանակաշրջանին նախորդող ամսվա կամ հաշվետու ամսվա միջին օրական հաշվարկով բանկի.
ա. շահույթ/վնասով վերաչափվող իրական արժեքով հաշվառվող և իրական արժեքով՝ այլ համապարփակ ֆինանսական արդյունքի միջոցով չափվող ակտիվների հանրագումարը գերազանցում է ընդհանուր հաշվեկշռային ակտիվների 3 տոկոսը, կամ
բ. շահույթ/վնասով վերաչափվող իրական արժեքով հաշվառվող և իրական արժեքով՝ այլ համապարփակ ֆինանսական արդյունքի միջոցով չափվող ակտիվների հանրագումարը գերազանցում է բանկի նորմատիվային ընդհանուր կապիտալի 20 տոկոսը:
(3-րդ կետը փոփ. 30.11.11 թիվ 323-Ն, 26.12.17 թիվ 293-Ն)
Գ լ ու խ 2
Արտարժութային ռիսկի հաշվարկ
4. Կապիտալի համարժեքության նորմատիվի հաշվարկման նպատակով արտարժութային ռիսկը հաշվարկվում է արտարժութային ռիսկի հաշվարկման Ստանդարտ կամ ՎաՌ մեթոդաբանության համաձայն:
5. Բանկերը տարին մեկ անգամ ընտրում են այն մեթոդաբանությունը (Ստանդարտ կամ ՎաՌ մեթոդաբանություն), որով պետք է հաշվարկեն արտարժութային ռիսկը՝ այդ մասին տեղեկացնելով Կենտրոնական բանկին մինչև յուրաքանչյուր տարվան նախորդող տարվա դեկտեմբերի 31-ը:
6. Ստանդարտ մեթոդաբանության համաձայն արտարժութային ռիսկի հաշվարկ.
6.1. Ակտիվները կամ պարտավորությունները պարունակում են արտարժութային ռիսկ, երբ դրանց մեծությունները, դրանց գծով ստացվելիք կամ վճարվելիք գումարները դրամային արտահայտությամբ ժամանակի ընթացքում կարող են փոփոխվել արտարժույթի՝ Հայաստանի Հանրապետության դրամի նկատմամբ փոխարժեքի փոփոխությամբ պայմանավորված: Ընդ որում, արտարժութային ռիսկի հաշվարկման իմաստով` արտարժութային ռիսկ են պարունակում նաև թանկարժեք մետաղների բանկային կամ ստանդարտացված ձուլակտորները, մետաղական հաշիվները, ինչպես նաև թանկարժեք մետաղների բանկային կամ ստանդարտացված ձուլակտորներով արտահայտված ակտիվները և պարտավորությունները:
(6.1-ին կետը խմբ. 08.02.11 թիվ 26-Ն)
6.2. Արտարժութային դիրքերի հաշվարկում ընդգրկվում են նաև հետհաշվեկշռային անավարտ ժամկետային գործառնությունները միայն հետհաշվեկշռում գրանցված գումարների (ներառյալ դրանց գծով հետհաշվեկշռում գրանցված տոկոսները) և հաշվեկշռում հաշվեգրված տույժերի և տուգանքների չափով (եթե այդպիսիք կան):
(6.2-րդ կետը լրաց. 30.11.11 թիվ 323-Ն, խմբ. 27.11.12 թիվ 325-Ն)
6.3. Արտարժութային դիրքը բանկի արտարժութային ռիսկ պարունակող ակտիվների և արտարժութային ռիսկ պարունակող պարտավորությունների միջև եղած տարբերությունն է: Արտարժութային դիրքի հաշվարկում արտարժութային ակտիվներն ընդգրկվում են առանց հաշվի առնելու այդ ակտիվների գծով ձևավորված հնարավոր կորուստների պահուստի մեծությունը, բացառությամբ ոչ ստանդարտ և կասկածելի դասակարգված արտարժութային ակտիվների, որոնք հաշվարկին մասնակցում են՝ հաշվի առնելով հնարավոր կորուստների պահուստի մեծությունը (հաշվեկշռային արժեքով): Սույն մասին համապատասխան` բացառապես բանկի դատողությունների և մասնագիտական կարծիքի հիման վրա սուբյեկտիվ չափանիշով դասակարգված արտարժութային ակտիվները արտարժութային դիրքի հաշվարկում ընդգրկվում են այն չափով, որքանով կընդգրկվեին օբյեկտիվ չափանիշով դասակարգված լինելու դեպքում: Արտարժութային դիրքի հաշվարկում արտարժութային ակտիվներն ընդգրկվում են առանց հաշվի առնելու այդ ակտիվների գծով Հայաստանի Հանրապետության ֆինանսների նախարարի 2021 թվականի հունիսի 16-ի թիվ 2-Ն և Հայաստանի Հանրապետության կենտրոնական բանկի խորհրդի 2021 թվականի մարտի 30-ի թիվ 39-Ն համատեղ որոշմամբ սահմանված «Հայաստանի Հանրապետության տարածքում գործող բանկերի և վարկային կազմակերպությունների ֆինանսական ակտիվների դասակարգման և հնարավոր կորուստների պահուստների ձևավորման» կարգի 46-րդ կետի համաձայն՝ բանկի կողմից հնարավոր կորուստների պահուստին կատարված ավելացված հատկացումները, ինչպես նաև առանց հաշվի առնելու առանց ակտիվների դասակարգման լրացուցիչ պահուստին կատարվող հատկացումները: Արտարժութային դիրքերը սահմանվում են՝
ա. երկար, եթե տարբերությունը մեծ է զրոյից,
բ. կարճ, եթե տարբերությունը փոքր է զրոյից,
գ. փակ, եթե տարբերությունը հավասար է զրոյի,
դ. բաց, եթե տարբերությունը մեծ կամ փոքր է զրոյից:
(6.3-րդ կետը լրաց. 23.07.13 թիվ 179-Ն, փոփ. 28.09.21 թիվ 141-Ն)
6.4. Արտարժութային առավելագույն դիրքը հաշվարկվում է հետևյալ բանաձևով.
ԱԴա = max(Եբ, Կբ),
որտեղ՝
ԱԴա – բանկի արտարժութային առավելագույն դիրքն է,
Եբ – բանկի արտարժութային երկար դիրքերի հանրագումարն է՝ հաշվետու օրվա դրությամբ՝ արտահայտված Հայաստանի Հանրապետության դրամով,
Կբ – բանկի արտարժութային կարճ դիրքերի հանրագումարն է՝ բացարձակ մեծությամբ հաշվետու օրվա դրությամբ՝ արտահայտված Հայաստանի Հանրապետության դրամով:
(6.4-րդ կետը փոփ. 08.02.11 թիվ 26-Ն, խմբ. 23.09.22 թիվ 158-Ն)
6.5. Արտարժութային դիրքի հաշվարկն իրականացվում է արտարժույթների առանձին տեսակներով: Արտարժութային ռիսկի հաշվարկման իմաստով բանկային ոսկին, ոսկու ստանդարտացված ձուլակտորները, որոնց հարգը փոքր չէ 999-ից, դրանցով արտահայտված պահանջներն ու պարտավորությունները և մետաղական հաշիվները դիտվում են որպես արտարժույթի մեկ տեսակ: Ընդ որում, արտարժութային դիրքերի հաշվարկում չեն ընդգրկվում արտարժութային ռիսկ պարունակող այն միջոցները, որոնք նվազեցվում են առաջին մակարդակի հիմնական կապիտալի հաշվարկից:
(6.5-րդ կետը լրաց. 08.02.11 թիվ 26-Ն, փոփ. 15.11.22 թիվ 195-Ն)
6.6. Արտարժութային դիրքերը հաշվարկվում են յուրաքանչյուր օրվա դրությամբ և արտահայտվում են Հայաստանի Հանրապետության դրամով:
6.7. Ստանդարտ մեթոդաբանության համաձայն կապիտալի համարժեքության նորմատիվի հաշվարկում ընդգրկելու նպատակով արտարժութային ռիսկը հաշվարկվում է հետևյալ բանաձևով.
ԱՌ=առավելագույն (ԱԱԴ1, ԱԱԴ2, …, ԱԱԴՆ),
որտեղ՝
ԱՌ-ստանդարտ մեթոդաբանության համաձայն հաշվարկված արտարժութային ռիսկն է,
ԱԱԴ1, ԱԱԴ2, …, ԱԱԴՆ արտարժութային առավելագույն դիրքի 11 տոկոսն է՝ ըստ հաշվետու ժամանակաշրջանի օրերի,
«Ն» - հաշվետու ամսվա օրերի թիվն է:
(6.7-րդ կետը փոփ. 15.11.22 թիվ 195-Ն)
6.8. Այն օրերին, երբ բանկի հաշվեկշիռը փոփոխություններ չի կրել (ներառյալ ոչ աշխատանքային օրերը), օրական տվյալների հաշվարկում ընդգրկվում են նախորդ օրվա տվյալները:
7. ՎաՌ մեթոդաբանության համաձայն՝ արտարժութային ռիսկը հաշվարկելու նպատակով բանկերը պետք է հաշվարկեն 7.1-ից 7.8-րդ կետերով սահմանված մեծությունները՝ օրական պարբերականությամբ.
7.1. Հաշվարկել բանկի արտարժութային դիրքերը՝ արտահայտված Հայաստանի Հանրապետության դրամով՝ համաձայն սույն հավելվածի 6.1, 6.2 և 6.3-րդ կետերով սահմանված կարգի: Հիմք ընդունելով հաշվարկված դիրքերը՝ պետք է կառուցել արտարժութային դիրքերի միաչափ «1xԱ» մատրիցան.
Դ = (Դ1, Դ2, …, ԴԱ),
որտեղ՝
«(Դ1 , Դ2 , . . . , ԴԱ ) - արտարժույթների դիրքերի մեծություններն են՝ ըստ արտարժույթների տեսակների,
«Ա» - արտարժույթի տեսակներն են:
(7.1-ին կետը փոփ. 23.05.08 թիվ 163-Ն)
7.2. Ձևավորել այն արտարժույթների՝ Հայաստանի Հանրապետության դրամի նկատմամբ Կենտրոնական բանկի հայտարարած օրական փոխարժեքների ժամանակային շարքերը, որոնց գծով հաշվետու ժամանակաշրջանում եղել է բաց դիրք: Ժամանակային շարքերը պետք է կազմված լինեն տվյալ օրվա և արտարժութային ռիսկի հաշվարկմանը նախորդող 250 աշխատանքային օրերի տվյալներից: Փոխարժեքների հաշվարկման համար հիմք են ընդունվում Կենտրոնական բանկի հայտարարած` Հայաստանի Հանրապետության դրամի նկատմամբ համապատասխան արտարժույթների փոխարժեքները, իսկ թանկարժեք մետաղների բանկային կամ ստանդարտացված ձուլակտորների և մետաղական հաշիվների համար` Կենտրոնական բանկի հայտարարած թանկարժեք մետաղների հաշվարկային գները:
(7.2-րդ կետը խմբ. 23.05.08 թիվ 163-Ն, 08.02.11 թիվ 26-Ն)
7.3. Արտարժույթի յուրաքանչյուր տեսակի համար հաշվարկել տվյալ արտարժույթի՝ Հայաստանի Հանրապետության դրամի նկատմամբ Կենտրոնական բանկի կողմից հայտարարված արժութային շուկայում ձևավորված միջին փոխարժեքի տատանումների բնական լոգարիթմական մեծություններն՝ ըստ օրերի.
Ln (ՓՕ / ՓՕ-1 );
որտեղ՝
«ՓՕ » տվյալ արտարժույթի՝ Հայաստանի Հանրապետության դրամի նկատմամբ Կենտրոնական բանկի կողմից հայտարարված արժութային շուկայում ձևավորված միջին փոխարժեքն է՝ տվյալ օրվանից «Օ» օր առաջ,
«Օ» արտարժութային ռիսկի հաշվարկման օրն է կամ դրան նախորդող 250 աշխատանքային օրերից մեկը:
(7.3-րդ կետը խմբ. 23.05.08 թիվ 163-Ն)
7.4. Արտարժույթի յուրաքանչյուր տեսակի համար հաշվարկել տվյալ արտարժույթի՝ Հայաստանի Հանրապետության դրամի նկատմամբ Կենտրոնական բանկի հայտարարած փոխարժեքի տատանումների բնական լոգարիթմական մեծությունների (շարքի երկարությունը՝ 250 աշխատանքային օր) մաթեմատիկական սպասումը: Վերջինս հաշվարկվում է ստորև ներկայացված բանաձևով՝
| ԵԻ= |
1 250 |
250 ∑ Ln (ՓԻՕ/ ՓԻՕ-1),Օ=1 |
որտեղ՝
«ԵԻ»-«Ի»-րդ արտարժույթի տատանման բնական լոգարիթմական մեծությունների մաթեմատիկական սպասումն է,
Ln (ՓԻՕ/ ՓԻՕ-1) - «Ի»-րդ արտարժույթի տատանման բնական լոգարիթմական մեծությունն է՝ ըստ օրերի:
7.5 Հաշվարկել արտարժույթների միջև բոլոր հնարավոր կովարիացիաների գործակիցները: Կովարիացիաների գործակիցների հիման վրա պետք է կառուցել արտարժութային «ԱXԱ» չափանի կովարիացիոն մատրիցան, որտեղ «Ա»-ն արտարժույթների տեսակների քանակն է: Կովարիացիայի գործակիցը հաշվարկվում է հետևյալ բանաձևով՝
| ԿովԻԺ= |
1 250 |
250 ∑ (Ln (ՓԻՕ/ ՓԻՕ-1)-ԵԻ)(Ln (ՓԺՕ/ ՓԺՕ-1)-ԵԺ)Օ=1 |
որտեղ՝
ԿովԻԺ- «Ի»-րդ և «Ժ»-րդ արտարժույթների միջև կովարիացիայի գործակիցն է,
«ԵԻ», «ԵԺ», համապատասխանաբար, «Ի»-րդ և «Ժ»-րդ արտարժույթների մաթեմատիկական սպասումներն են` հաշվարկված սույն հավելվածի 7.4-րդ կետի համաձայն:
7.6 ՎաՌ մեթոդաբանությամբ արտարժութային ռիսկի հաշվարկման համար հիմք պետք է ընդունել 99% վստահության միջակայքը:
7.7 Տվյալ օրվա համար բանկի արտարժութային ՎաՌ-ը (այսուհետև՝ արտարժութային օրական ՎաՌ) հաշվարկվում է հետևյալ բանաձևով՝
ՎաՌ = 2.33√Դ*Կով*ԴՏ
որտեղ՝
«Դ»-բանկի արտարժութային դիրքերի մատրիցան է,
«Կով»-բանկի արտարժութային կովարիացիոն մատրիցան է,
«ԴՏ»-բանկի արտարժութային դիրքերի տրանսպոնացված մատրիցան է:
7.8 Կապիտալի համարժեքության նորմատիվի հաշվարկման նպատակով ՎաՌ մեթոդաբանության համաձայն՝ արտարժութային ռիսկը հաշվարկում է հետևյալ բանաձևով՝
| Արտարժութային ռիսկը = 3*(առավելագույն | (ՎաՌ-10; Գ |
1 Ն |
Ն ∑ ՎաՌԻ))Ի=1 |
որտեղ՝
«ՎաՌ-10»-ը հաշվետու ժամանակաշրջանի վերջին օրվա տասնօրյա ՎաՌ-ն է՝ հաշվարկված հետևյալ բանաձևով՝
ՎաՌ-10 = √10*ՎաՌՆ,
«Ն»-հաշվետու ժամանակաշրջանի օրերի թիվն է,
«Ի»-հաշվետու ժամանակաշրջանի օրերն են,
«Գ» ընդունում է ներքոհիշյալ արժեքները՝ կախված այն բանից, թե հաշվետու ամսվա վերջին օրվան նախորդող 250 աշխատանքային օրերի ընթացքում քանի օր է փոխարժեքի փոփոխության պատճառով բանկի օրական զուտ կորուստների մեծությունը գերազանցել տվյալ օրվա արտարժութային ՎաՌ-ը:
Աղյուսակ 1
|
Գերազանցող օրերի քանակը |
Գ |
|
4 և 4-ից փոքր |
3 |
|
5 |
3.4 |
|
6 |
3.5 |
|
7 |
3.65 |
|
8 |
3.75 |
|
9 |
3.85 |
|
10 և ավելի |
4 |
(7.8-րդ կետը լրաց. 23.05.08 թիվ 163-Ն)
Գ լ ու խ 3
Տոկոսադրույքի ռիսկի հաշվարկ
8. Տոկոսադրույքի ռիսկը հաշվարկվում է որպես տոկոսադրույքի հատուկ ռիսկի և ընդհանուր ռիսկի հանրագումար, որը հաշվարկվում է հետևյալ բանաձևով՝
ՏՌ = ՏՀՌ+ՏԸՌ,
որտեղ`
ՏՌ - տոկոսադրույքի ռիսկն է` ամսվա միջին օրական հաշվարկով,
ՏՀՌ - տոկոսադրույքի հատուկ ռիսկն է՝ ամսվա միջին օրական հաշվարկով,
ՏԸՌ - տոկոսադրույքի ընդհանուր ռիսկն է՝ ամսվա միջին օրական հաշվարկով:
9. Տոկոսադրույքի հատուկ և ընդհանուր ռիսկերը հաշվարկվում են շահույթ/վնասով վերաչափվող իրական արժեքով հաշվառվող և իրական արժեքով՝ այլ համապարփակ ֆինանսական արդյունքի միջոցով չափվող արժեթղթերի նկատմամբ: Ընդ որում, պարտքային արժեթղթերը դիրքերի հաշվարկում ընդգրկվում են ընթացիկ շուկայական արժեքով:
(9-րդ կետը փոփ. 30.11.11 թիվ 323-Ն, 26.12.17 թիվ 293-Ն)
10. Սույն կանոնակարգի իմաստով՝ պարտքային արժեթղթերի թվին են դասվում.
ա. պետական պարտատոմսեր և մուրհակներ,
բ. այլ պարտատոմսեր և մուրհակներ (բացառությամբ փոխարկվող պարտատոմսերի և այլ արժեթղթերի),
գ. ավանդային սերտիֆիկատներ,
դ. ոչ փոխարկելի արտոնյալ բաժնետոմսեր,
ե. բաժնային արժեթղթեր չհամարվող այն արժեթղթերը, որոնք պարունակում են տոկոսադրույքի ռիսկ:
11. Պարտքային արժեթղթերի դիրքերի հաշվարկում ընդգրկվում են նաև ռեպո համաձայնագրերով վաճառված արժեթղթերը, ռեպո համաձայնագրերով ձեռք բերված արժեթղթերի վաճառքի արդյունքում ձևավորված հաշվեկշռային պարտավորությունները, փոխառությամբ տրամադրված արժեթղթերը, փոխառությամբ ստացված արժեթղթերի վաճառքի արդյունքում ձևավորված հաշվեկշռային պարտավորությունները, գրավադրված պարտքային արժեթղթերը, ինչպես նաև այն հետհաշվեկշռային ածանցյալ գործիքները, որոնց հիմքում ընկած է պարտքային արժեթուղթ: Պարտքային արժեթղթերի դիրքերի հաշվարկում չեն ընդգրկվում ռեպո համաձայնագրերով ձեռք բերված և փոխառությամբ ստացված արժեթղթերը, որպես գրավ ստացված արժեթղթերը, արժեթղթերի փաթեթի կառավարման պայմանագրի համաձայն կառավարվող արժեթղթերը, ինչպես նաև բրոքերային ծառայության շրջանակներում կառավարվող արժեթղթերը:
(11-րդ կետը խմբ. 23.05.08 թիվ 163-Ն, 30.11.11 թիվ 323-Ն, փոփ. 27.11.12 թիվ 325-Ն)
12. Պարտքային արժեթղթերի դիրքը բանկի պարտքային արժեթղթերի (ներառյալ հետհաշվեկշռային ածանցյալ գործիքների հիմքում ընկած պարտքային արժեթղթերի) և որպես պարտավորություն հանդիսացող պարտքային արժեթղթերի (ներառյալ հետհաշվեկշռային ածանցյալ գործիքների հիմքում ընկած պարտքային արժեթղթերի) մեծությունների տարբերությունն է: Պարտքային արժեթղթերի դիրքերը սահմանվում են.
ա. երկար, եթե տարբերությունը մեծ է զրոյից,
բ. կարճ, եթե տարբերությունը փոքր է զրոյից,
գ. փակ, եթե տարբերությունը հավասար է զրոյի:
Պարտքային արժեթղթերի համախառն դիրքը հաշվարկվում է որպես պարտքային արժեթղթերի երկար և կարճ դիրքերի բացարձակ մեծությունների հանրագումար:
13. Տոկոսադրույքի ռիսկի հաշվարկման նպատակով պարտքային արժեթղթերի դիրքերը պետք է հաշվարկվեն ներքոհիշյալ սկզբունքներով խմբավորված պարտքային արժեթղթերի նկատմամբ: Միևնույն դիրքերի հաշվարկին մասնակցող պարտքային արժեթղթերը պետք է.
13.1. թողարկված լինեն միևնույն անձի կողմից, և
13.2. արտահայտված լինեն միևնույն արժույթով, և
13.3. ունենան միևնույն եկամտաբերությունը, կամ եկամտաբերությունների միջև տարբերությունը չպետք է գերազանցի 0.2 տոկոսային կետը, և
13.4. մինչև մարումն ընկած ժամկետայնությունները պետք է բավարարեն հետևյալ պայմաններին.
ա. ունենան միևնույն ժամկետայնությունները, եթե մինչև մարումը ընկած ժամկետը փոքր կամ հավասար է մեկ ամսի, կամ
բ. ժամկետայնությունների միջև տարբերությունը չպետք է գերազանցի 7 օրը, եթե վեջիններիս ժամկետայնությունը մեկից տասներկու ամիս է, կամ
գ. ժամկետայնությունների միջև տարբերությունը չպետք է գերազանցի 30 օրը, եթե ժամկետայնությունները մեկ տարուց ավելի են:
14. Տոկոսադրույքի ռիսկի հաշվարկի ընթացքում պարտքային արժեթղթերի՝ մինչև մարումներն ընկած ժամկետները հաշվարկվում են հետևյալ կերպ.
14.1. ֆիքսված տոկոսադրույք ունեցող պարտքային արժեթղթերի դեպքում հիմք է ընդունվում պարտքային արժեթղթերի՝ մինչև մարումն ընկած օրերի թիվը (մասնակի մարման արժեթղթերի դեպքում հիմք է ընդունվում յուրաքանչյուր մասնակի մարմանը մնացած օրերի թիվը),
14.2. փոփոխվող տոկոսադրույք ունեցող պարտքային արժեթղթերի դեպքում հիմք է ընդունվում տոկոսադրույքի առաջիկա վերանայմանը մնացած օրերի թիվը,
14.3. ռեպո համաձայնագրերով վաճառված արժեթղթերի դեպքում հիմք է ընդունվում պարտքային արժեթղթերի մինչև մարումն ընկած ժամկետայնությունը,
(14.3-րդ կետը խմբ. 23.05.08 թիվ 163-Ն)
14.4. հետհաշվեկշռային ածանցյալ գործիքների հիմքում ընկած պարտքային արժեթղթերի դեպքում հիմք է ընդունվում ածանցյալ գործառնության՝ մինչև կատարումն ընկած ժամկետայնությունը:
15. Տոկոսադրույքի հատուկ ռիսկի հաշվարկ.
15.1. Տոկոսադրույքի հատուկ ռիսկի հաշվարկման նպատակով պարտքային արժեթղթերի դիրքերի հաշվարկն իրականացվում է սույն հավելվածի 13-րդ կետով սահմանված սկզբունքներով խմբավորված պարտքային արժեթղթերի նկատմամբ:
15.2. Դիրքերի հաշվարկից հետո հաշվարկվում է պարտքային արժեթղթերի համախառն դիրքը:
15.3. Համախառն դիրքի հաշվարկում պարտքային արժեթղթերը տարբերակված կշիռներով ընդգրկելու նպատակով դասակարգվում են հետևյալ դասերի: Պարտքային արժեթղթերի դասերն են.
ա. պետական պարտքային արժեթղթեր՝ պետությունների/կառավարությունների, կենտրոնական բանկերի և տեղական կառավարման մարմինների պարտքային արժեթղթեր,
բ. հուսալի պարտքային արժեթղթեր: Հուսալի պարտքային արժեթղթերի թվին են դասվում սույն կանոնակարգի 3-րդ հավելվածի 6.6-րդ կետով սահմանված՝ միջազգային ֆինանսական կազմակերպությունների կողմից թողարկված պարտքային արժեթղթերը, Հայաստանի Հանրապետության տարածքում գործող բանկերի, վարկային կազմակերպությունների և օտարերկրյա բանկերի՝ Հայաստանի Հանրապետության տարածքում գործող մասնաճյուղերի պարտքային արժեթղթերը, օտարերկրյա բանկի կողմից թողարկված /ԲԲԲ-/Բաա3/ և ավելի բարձր վարկանիշ ունեցող պարտքային արժեթղթերը, օտարերկրյա ոչ բանկ կազմակերպության կողմից թողարկված /Ա-/Ա3/ և ավելի բարձր վարկանիշ ունեցող պարտքային արժեթղթերը, ինչպես նաև ՀՀ ռեզիդենտ այն ոչ ֆինանսական կազմակերպությունների պարտքային արժեթղթերը, որոնց վարկանիշը հավասար կամ բարձր է վարկանշային գործակալությունների (Ստանդարտ և Փուրզ կամ Ֆիթչ կամ Մուդիզ) կողմից Հայաստանի Հանրապետությանը տրված վարկանիշից,
գ. այլ պարտքային արժեթղթեր, որոնք չեն դասվում պետական պարտքային և հուսալի պարտքային արժեթղթերի շարքին:
(15.3-րդ կետը փոփ. 15.12.15 թիվ 279-Ն)
15.4. Համախառն դիրքի հաշվարկում պարտքային արժեթղթերի դիրքերն ընդգրկվում են սույն հավելվածի 2-րդ աղյուսակի 4-րդ սյունակով սահմանված կշիռներով:
Աղյուսակ 2
|
Պարտքային արժեթղթերի տեսակներ |
Թողարկող/վարկանիշ |
Մինչև մարումն ընկած ժամկետայնություն |
Կշիռը |
|
(1) |
(2) |
(3) |
(4) |
|
1. Պետական պարտքային արժեթղթեր
|
1.1 Հայաստանի Հանրապետության դրամով Կենտրոնական բանկի թողարկած արժեթղթեր, Հայաստանի Հանրապետության պետական գանձապետական պարտատոմսեր, |
< 1 տարի |
1 |
|
≥ 1 տարի, < 5 տարի |
2 | ||
|
≥ 5 տարի |
4 | ||
|
1.3 Արտարժույթով Կենտրոնական բանկի թողարկած արժեթղթեր, Հայաստանի Հանրապետության պետական գանձապետական պարտատոմսեր, |
< 1 տարի |
2 | |
|
≥ 1 տարի, < 5 տարի |
3 | ||
|
≥ 5 տարի |
6 | ||
|
1.5 /ԲԲ+/Բա1-ից /Բ-/Բ3/ վարկանիշ ունեցող օտարերկրյա կենտրոնական բանկերի, կառավարությունների, տեղական կառավարման մարմինների թողարկած պարտքային արժեթղթեր, |
- |
8 | |
|
|
|
| |
|
1.6 /Բ-/Բ3/-ից ցածր վարկանիշ ունեցող օտարերկրյա կենտրոնական բանկերի, կառավարությունների, տեղական կառավարման մարմինների թողարկած պարտքային արժեթղթեր, |
- |
12 | |
|
1.7 Վարկանիշ չունեցող |
- |
8 | |
|
2. Հուսալի պարտքային արժեթղթեր |
< 1 տարի |
2 | |
|
≥ 1 տարի, < 5 տարի |
6 | ||
|
≥ 5 տարի |
12 | ||
|
3. Պարտքային այլ արժեթղթեր |
- |
20 | |
15.5. Տոկոսադրույքի հատուկ ռիսկը հաշվարկվում է յուրաքանչյուր օրվա դրությամբ և արտահայտվում Հայաստանի Հանրապետության դրամով:
15.6. Տոկոսադրույքի հատուկ ռիսկը հաշվարկվում է հետևյալ բանաձևով.
ՏՀՌ= (ՏՀՌ1+ ՏՀՌ2+…+ ՏՀՌՆ)/Ն,
որտեղ՝
ՏՀՌ-տոկոսադրույքի հատուկ ռիսկն է` ամսվա միջին օրական հաշվարկով,
ՏՀՌ1,ՏՀՌ2,…, ՏՀՌՆ պարտքային արժեթղթերի համախառն դիրքն է՝ ըստ օրերի: Ընդ որում, համախառն դիրքի հաշվարկում պարտքային արժեթղթերի դիրքերը ընդգրկվում են 15.4-րդ կետով սահմանված կշիռներով,
«Ն» - հաշվետու ամսվա օրերի թիվն է:
15.7. Այն օրերին, երբ բանկի հաշվեկշիռը փոփոխություններ չի կրել (ներառյալ ոչ աշխատանքային օրերը),
օրական տվյալների հաշվարկում ընդգրկվում են նախորդ օրվա տվյալները:
16. Տոկոսադրույքի ընդհանուր ռիսկի հաշվարկ
16.1. Տոկոսադրույքի ընդհանուր ռիսկի հաշվարկման նպատակով պարտքային արժեթղթերի դիրքերի հաշվարկն իրականացվում է սույն հավելվածի 13-րդ կետով սահմանված սկզբունքներով դասակարգված պարտքային արժեթղթերի նկատմամբ: Ընդ որում, պարտքային արժեթղթերի համախառն զուտ դիրքը հաշվարկվում է որպես պարտքային արժեթղթերի երկար դիրքերի հանրագումարի և կարճ դիրքերի հանրագումարի (բացարձակ մեծությամբ) տարբերություն:
16.2. Պարտքային արժեթղթերի դիրքերի հաշվարկից հետո պարտքային արժեթղթերի երկար կամ կարճ դիրքերը բաշխվում են սույն հավելվածի 3-րդ աղյուսակի 3-րդ սյունակով սահմանված՝ մինչև մարումը ընկած ժամանակաշրջաններում՝ համապատասխան կշիռներով.
Աղյուսակ 3
|
Ժամկետային գոտիներ |
N |
Պարտքային արժեթղթերի մինչև մարումը ընկած ժամանակաշրջաններ |
Կշիռ |
|
(1) |
(2) |
(3) |
(4) |
|
1-ին գոտի |
1 |
մինչև մեկ ամիս |
0 |
|
2 |
1-ից 3 ամիս |
0.5 | |
|
3 |
3-ից 6 ամիս |
1 | |
|
4 |
6-ից 12 ամիս |
2 | |
|
2-րդ գոտի |
5 |
1-ից մինչև 2 տարի |
3 |
|
6 |
2-ից մինչև 3 տարի |
4 | |
|
7 |
3-ից մինչև 4 տարի |
6 | |
|
3-րդ գոտի
|
8 |
4-ից մինչև 5 տարի |
7 |
|
9 |
5-ից մինչև 7 տարի |
8 | |
|
10 |
7-ից մինչև 10 տարի |
10 | |
|
11 |
10-ից մինչև 15 տարի |
11 | |
|
12 |
15-ից մինչև 20 տարի |
13 | |
|
13 |
20 տարի և ավելի |
15 |
(աղյուսակը խմբ. 20.12.11 թիվ 354-Ն)
(16.2-րդ կետը փոփ. 18.09.07 N 297-Ն)
16.3. Պարտքային արժեթղթերի դիրքերը սույն հավելվածի 16.2-րդ կետով սահմանված կշիռներով հաշվարկելուց հետո հաշվարկվում են 16.4-16.10-րդ կետերով սահմանված մեծությունները:
16.4. Աղյուսակ 3-ով սահմանված՝ մինչև մարումը ընկած յուրաքանչյուր ժամանակաշրջանի համար պարտքային արժեթղթերի նվազագույն դիրքը տվյալ ժամանակաշրջանի բոլոր երկար դիրքերի հանրագումարի և կարճ դիրքերի հանրագումարի (բացարձակ մեծությամբ) նվազագույն մեծությունն է:
16.5. Աղյուսակ 3-ով սահմանված՝ մինչև մարումը ընկած յուրաքանչյուր ժամանակաշրջանի համար պարտքային արժեթղթերի զուտ դիրքը (երկար կամ կարճ) տվյալ ժամանակաշրջանի բոլոր երկար դիրքերի հանրագումարի և կարճ դիրքերի հանրագումարի (բացարձակ մեծությամբ) տարբերությունն է:
(16.5-րդ կետը խմբ. 23.05.08 թիվ 163-Ն)
16.6. Աղյուսակ 3-ով սահմանված յուրաքանչյուր ժամանակային գոտու համար պարտքային արժեթղթերի նվազագույն դիրքը տվյալ ժամանակային գոտու ժամանակաշրջանների պարտքային արժեթղթերի երկար զուտ դիրքերի հանրագումարի և պարտքային արժեթղթերի կարճ զուտ դիրքերի հանրագումարի (բացարձակ մեծությամբ) նվազագույն մեծությունն է:
(16.6-րդ կետը փոփ. 23.05.08 թիվ 163-Ն)
16.7. Աղյուսակ 3-ով սահմանված յուրաքանչյուր ժամանակային գոտու համար պարտքային արժեթղթերի զուտ (երկար կամ կարճ) դիրքը տվյալ ժամանակային գոտու ժամանակաշրջանների պարտքային արժեթղթերի երկար զուտ դիրքերի հանրագումարի և պարտքային արժեթղթերի կարճ զուտ դիրքերի հանրագումարի տարբերությունն է:
(16.7-րդ կետը փոփ. 23.05.08 թիվ 163-Ն)
16.8. Աղյուսակ 3-ով սահմանված առաջին և երկրորդ գոտիների միջև նվազագույն դիրքը հաշվարկվում է որպես առաջին գոտու երկար զուտ (կամ կարճ) դիրքի (բացարձակ մեծությամբ) և երկրորդ գոտու կարճ զուտ (կամ երկար) դիրքի (բացարձակ մեծությամբ) նվազագույն մեծություն:
(16.8-րդ կետը փոփ. 23.05.08 թիվ 163-Ն)
16.9. Աղյուսակ 3-ով սահմանված երկրորդ և երրորդ գոտիների միջև նվազագույն դիրքը ներքոհիշյալ մեծություններից նվազագույնն է.
ա. (երկրորդ գոտու զուտ դիրք (բացարձակ մեծությամբ)) - (առաջին և երկրորդ գոտիների միջև նվազագույն դիրք),
բ. (երրորդ գոտու զուտ դիրք (բացարձակ մեծությամբ)):
16.10. Աղյուսակ 3-ով սահմանված առաջին և երրորդ գոտիների միջև նվազագույն դիրքը ներքոհիշյալ մեծություններից նվազագույնն է.
ա. (առաջին գոտու զուտ դիրք (բացարձակ մեծությամբ)) - (առաջին և երկրորդ գոտիների միջև նվազագույն դիրք),
բ. (երրորդ գոտու զուտ դիրք (բացարձակ մեծությամբ)) - (երկրորդ և երրորդ գոտիների միջև նվազագույն դիրք):
16.11. Տոկոսադրույքի ընդհանուր ռիսկը հաշվարկվում է հետևյալ բանաձևով.
ՏԸՌ= (ՏԸՌ1+ ՏԸՌ2+…+ ՏԸՌՆ)/Ն,
որտեղ՝
ՏԸՌ-տոկոսադրույքի ընդհանուր ռիսկն է՝ ամսվա միջին օրական հաշվարկով,
ՏԸՌ1, ՏԸՌ2,…,ՏԸՌՆ- տոկոսադրույքների ընդհանուր ռիսկերն են՝ ըստ օրերի,
«Ն» - հաշվետու ամսվա օրերի թիվն է:
16.12. Տվյալ օրվա տոկոսադրույքի ընդհանուր ռիսկը ներքոհիշյալ մեծությունների հանրագումարն է.
ա. մինչև մարումն ընկած յուրաքանչյուր ժամանակաշրջանի նվազագույն դիրքի 10 տոկոս,
բ. առաջին գոտու նվազագույն դիրքի 40 տոկոս,
գ. երկրորդ գոտու նվազագույն դիրքի 30 տոկոս,
դ. երրորդ գոտու նվազագույն դիրքի 30 տոկոս,
ե. առաջին և երկրորդ գոտիների միջև նվազագույն դիրքի 40 տոկոս,
զ. երկրորդ և երրորդ գոտիների միջև նվազագույն դիրքի 40 տոկոս,
է. առաջին և երրորդ գոտիների միջև նվազագույն դիրքի 150 տոկոս,
ը. պարտքային արժեթղթերի համախառն զուտ դիրքի 100 տոկոս:
16.13. Այն օրերին, երբ բանկի հաշվեկշիռը փոփոխություններ չի կրել (ներառյալ ոչ աշխատանքային օրերը), օրական տվյալների հաշվարկում ընդգրկվում են նախորդ օրվա տվյալները:
Գ լ ու խ 4
Կապիտալի գործիքների գնային ռիսկի հաշվարկ
17. Բաժնային արժեթղթերի (այսուհետև՝ կապիտալի գործիքներ) համար հիմք է ընդունվում ՀՀՄՍ 39-ում տրված սեփական կապիտալի գործիքների սահմանումը:
Կապիտալի գործիքների գնային ռիսկը հաշվարկվում է շահույթ/վնասով վերաչափվող իրական արժեքով հաշվառվող և իրական արժեքով՝ այլ համապարփակ ֆինանսական արդյունքի միջոցով չափվող կապիտալի գործիքների նկատմամբ:
(17-րդ կետը լրաց. 23.05.08 թիվ 163-Ն, փոփ. 19.03.10 թիվ 54-Ն, 30.11.11 թիվ 323-Ն, 26.12.17 թիվ 293-Ն)
18. Սույն հավելվածի իմաստով՝ կապիտալի գործիքների թվին են դասվում.
18.1. բաժնետոմսեր (բացառությամբ ոչ փոխարկելի արտոնյալ բաժնետոմսերի),
18.2. իրավաբանական անձի կանոնադրական կապիտալում բաժնեմասի, անդամակցության կամ նման այլ մասնակցության իրավունք տվող այլ արժեթղթեր,
18.3. 18.1-րդ և 18.2-րդ կետերում նշված արժեթղթերի փոխարկվող պարտատոմսեր և այլ արժեթղթեր,
18.4. 18.1-րդ և 18.2-րդ կետերում նշված արժեթղթերին բաժանորդագրվելու կամ այն գնելու օպցիոն կամ այլ համաձայնություն (իրավունք),
18.5. այլ ֆինանսական գործիքներ, որոնք կարող են ճանաչվել որպես կապիտալի գործիք:
19. Կապիտալի գործիքների դիրքերի հաշվարկում ընդգրկվում են նաև ռեպո համաձայնագրերով վաճառված կապիտալի գործիքները, ռեպո համաձայնագրերով ձեռք բերված կապիտալի գործիքների վաճառքի արդյունքում ձևավորված հաշվեկշռային պարտավորությունները, փոխառությամբ տրամադրված կապիտալի գործիքները, փոխառությամբ ստացված կապիտալի գործիքների վաճառքի արդյունքում ձևավորված պարտավորությունները, գրավադրված կապիտալի գործիքները, ինչպես նաև այն հետհաշվեկշռային ածանցյալ գործիքները, որոնց հիմքում ընկած են սույն հավելվածի 18-րդ կետով սահմանված կապիտալի գործիքները: Կապիտալի գործիքների դիրքերի հաշվարկում չեն ընդգրկվում ռեպո համաձայնագրերով ձեռք բերված և փոխառությամբ ստացված կապիտալի գործիքները, որպես գրավ ստացված կապիտալի գործիքները, արժեթղթերի փաթեթի կառավարման պայմանագրի համաձայն կառավարվող կապիտալի գործիքները, ինչպես նաև բրոքերային ծառայության շրջանակներում կառավարվող կապիտալի գործիքները:
(19-րդ կետը խմբ. 23.05.08 թիվ 163-Ն, 30.11.11 թիվ 323-Ն, փոփ. 27.11.12 թիվ 325-Ն)
20. Կապիտալի գործիքների գնային ռիսկի հաշվարկման նպատակով կապիտալի գործիքների դիրքերը պետք է հաշվարկվեն ներքոհիշյալ սկզբունքներով խմբավորված կապիտալի գործիքների նկատմամբ: Միևնույն դիրքերի հաշվարկում մասնակցող կապիտալի գործիքները պետք է.
ա. թողարկված լինեն միևնույն անձի կողմից,
բ. թողարկված լինեն միևնույն արժույթով:
21. Կապիտալի գործիքների դիրքը որպես ակտիվ հանդիսացող կապիտալի գործիքների (ներառյալ հետհաշվեկշռային ածանցյալ գործիքների հիմքում ընկած կապիտալի գործիքների) և որպես պարտավորություն հանդիսացող կապիտալի գործիքների (ներառյալ հետհաշվեկշռային ածանցյալ գործիքների հիմքում ընկած կապիտալի գործիքների) մեծությունների տարբերությունն է: Կապիտալի գործիքների դիրքերը սահմանվում են՝
ա. երկար, եթե տարբերությունը մեծ է զրոյից,
բ. կարճ, եթե տարբերությունը փոքր է զրոյից,
գ. փակ, եթե տարբերությունը հավասար է զրոյի:
(21-րդ կետը լրաց. 23.05.08 թիվ 163-Ն)
22. Կապիտալի գործիքների համախառն դիրքը հաշվարկվում է որպես կապիտալի գործիքների տարբեր դիրքերի (երկար և կարճ) բացարձակ մեծությունների հանրագումար:
23. Կապիտալի գործիքների համախառն զուտ դիրքը հաշվարկում է որպես կապիտալի գործիքների երկար դիրքերի հանրագումարի և կարճ դիրքերի հանրագումարի (բացարձակ մեծությամբ) միջև տարբերություն:
24. Կապիտալի գործիքները դիրքերի հաշվարկում ընդգրկվում են ընթացիկ շուկայական արժեքով:
25. Կապիտալի գործիքների դիրքերը հաշվարկվում են յուրաքանչյուր օրվա դրությամբ և արտահայտվում Հայաստանի Հանրապետության դրամով:
26. Կապիտալի այն գործիքները, որոնք նվազեցվել են առաջին մակարդակի հիմնական կապիտալի հաշվարկից, չեն ընդգրկվում կապիտալի գործիքների դիրքերի հաշվարկում:
(26-րդ կետը փոփ. 15.11.22 թիվ 195-Ն)
27. Կապիտալի գործիքների դիրքերի հաշվարկն իրականացվում է սույն հավելվածի 20-րդ կետով սահմանված սկզբունքներով դասակարգված կապիտալի գործիքների նկատմամբ:
28. Կապիտալի գործիքների գնային ռիսկը կապիտալի գործիքների գնային ընդհանուր ռիսկի և կապիտալի գործիքների գնային հատուկ ռիսկի հանրագումարն է, որը հաշվարկվում է հետևյալ բանաձևով.
ԿԳԳՌ = (ԸՌ1+ ԸՌ2+…+ԸՌՆ)/Ն + (ՀՌ1+ՀՌ2+…+ՀՌՆ)/Ն,
որտեղ՝
ԿԳԳՌ - կապիտալի գործիքների գնային ռիսկն է` ամսվա միջին օրական հաշվարկով,
ԸՌ1, ԸՌ2,...,ԸՌՆ - կապիտալի գործիքների գնային ընդհանուր ռիսկն է՝ ըստ օրերի,
ՀՌ1,ՀՌ2,…,ՀՌՆ- կապիտալի գործիքների գնային հատուկ ռիսկն է՝ ըստ օրերի,
«Ն» - հաշվետու ամսվա օրերի թիվն է:
29. Տվյալ օրվա համար կապիտալի գործիքների գնային ընդհանուր ռիսկը հավասար է տվյալ օրվա կապիտալի գործիքների համախառն զուտ դիրքի 8 տոկոսի բացարձակ մեծությանը:
30. Տվյալ օրվա կապիտալի գործիքների գնային հատուկ ռիսկը հավասար է տվյալ օրվա կապիտալի գործիքների համախառն դիրքին՝ հաշվարկված սույն հավելվածի 33-րդ կետի կշիռներով:
31. Համախառն դիրքի հաշվարկում կապիտալի գործիքները տարբերակված կշիռներով ընդգրկելու նպատակով դասակարգվում են հետևյալ դասերի.
ա) իրացվելի և դիվերսիֆիկացված կապիտալի գործիքներ,
բ) այլ կապիտալի գործիքներ:
32. Կապիտալի գործիքները դասվում են իրացվելի և դիվերսիֆիկացված կապիտալի գործիքների շարքին, եթե միաժամանակ բավարարվել են հետևյալ պայմանները.
ա) Հայաստանի Հանրապետության տարածքում գործող բանկի, վարկային կազմակերպության կապիտալի գործիք է կամ /ԲԲԲ-/Բաա3/ և ավելի բարձր վարկանիշ ունեցող բանկի կապիտալի գործիք, որը մտնում է սույն կանոնակարգի հավելված 3-ով սահմանվող որևէ բորսայական ինդեքսի մեջ, կամ ՀՀ ռեզիդենտ ոչ ֆինանսական կազմակերպության կապիտալի գործիք է, որի վարկանիշը հավասար կամ բարձր է վարկանշային գործակալությունների («Ստանդարտ և Փուրզ կամ Ֆիթչ կամ Մուդիզ) կողմից Հայաստանի Հանրապետությանը տրված` մեկ վարկանիշ ցածր վարկանիշից, կամ /Ա-/Ա3/ և ավելի բարձր վարկանիշ ունեցող օտարերկրյա ոչ բանկ կազմակերպության կապիտալի գործիք, որը մտնում է սույն կանոնակարգի հավելված 3-ով սահմանվող որևէ բորսայական ինդեքսի մեջ, և
բ) սույն հավելվածի 32-րդ կետի «ա» ենթակետով սահմանված ցանկացած կապիտալի գործիքի դիրքը (կարճ կամ երկար) չի գերազանցում կապիտալի գործիքների համախառն դիրքի 10 տոկոսը:
(32-րդ կետը փոփ. 18.09.07 N 297-Ն, խմբ. 15.12.15 թիվ 279-Ն)
33. Կապիտալի գործիքների գնային հատուկ ռիսկի հաշվարկման ընթացքում համախառն դիրքի հաշվարկում կապիտալի գործիքների դիրքերը (բացարձակ մեծությամբ) մտնում են հետևյալ կշիռներով.
ա) սույն հավելվածի 31-րդ կետի «ա» ենթակետով սահմանված կապիտալի գործիքների շարքին դասվող կապիտալի գործիքների դիրքերը՝ 4 տոկոս,
բ) սույն հավելվածի 31-րդ կետի «բ» ենթակետով սահմանված կապիտալի գործիքների շարքին դասվող կապիտալի գործիքների դիրքերը՝ 8 տոկոս:
34. Այն օրերին, երբ բանկի հաշվեկշիռը փոփոխություններ չի կրել (ներառյալ ոչ աշխատանքային օրերը), օրական տվյալների հաշվարկում ընդգրկվում են նախորդ օրվա տվյալները:
(հավելվածը փոփ. 18.09.07 N 297-Ն, փոփ., խմբ., լրաց. 23.05.08 թիվ 163-Ն, փոփ. 19.03.10 թիվ 54-Ն, փոփ., լրաց., խմբ. 08.02.11 թիվ 26-Ն, 30.11.11 թիվ 323-Ն, խմբ. 20.12.11 թիվ 354-Ն, խմբ., փոփ. 27.11.12 թիվ 325-Ն, լրաց. 23.07.13 թիվ 179-Ն, փոփ., խմբ. 15.12.15 թիվ 279-Ն, փոփ. 26.12.17 թիվ 293-Ն, 28.09.21 թիվ 141-Ն, խմբ. 23.09.22 թիվ 158-Ն, փոփ. 15.11.22 թիվ 195-Ն)
|
Հավելված 5 |
Գործառնական ռիսկի հաշվարկ
Գ լ ու խ 1
Գործառնական ռիսկի հաշվարկ
1. Գործառնական ռիսկը հաշվարկվում է հիմնական բնութագրիչների կամ ստանդարտացված մոտեցման համաձայն:
2. Բանկերը տարին մեկ անգամ ընտրում են այն մոտեցումը (հիմնական բնութագրիչների կամ ստանդարտացված), որով պետք է հաշվարկեն գործառնական ռիսկը՝ այդ մասին տեղեկացնելով Կենտրոնական բանկին մինչև յուրաքանչյուր տարվան նախորդող տարվա դեկտեմբերի 31-ը: Եթե բանկը մեկ անգամ ընտրել է գործառնական ռիսկի հաշվարկման ստանդարտացված մոտեցումը, ապա նրան այլևս չի թույլատրվում ընտրել գործառնական ռիսկի հաշվարկման հիմնական բնութագրիչների մոտեցումը հետագա տարիների համար, առանց Կենտրոնական բանկի հավանության:
(2-րդ կետը լրաց. 20.12.11 թիվ 354-Ն)
Գ լ ու խ 2
Գործառնական ռիսկի հաշվարկման հիմնական բնութագրիչների մոտեցում
3. Հիմնական բնութագրիչների մոտեցման համաձայն՝ գործառնական ռիսկը հաշվարկվում է հետևյալ բանաձևով.
ԳՌ = (ԶԵՏ*Գ+ԶԵՏ-1*Գ+ԶԵՏ-2*Գ)/Ն,
որտեղ՝
ԳՌ-հիմնական բնութագրիչների մոտեցման համաձայն հաշվարկված գործառնական ռիսկն է,
ԶԵՏ-կապիտալի համարժեքության նորմատիվի հաշվարկմանը նախորդող տարվա հունվարից դեկտեմբերն ընկած տարվա (այսուհետև՝ հաշվետու տարի) զուտ եկամուտն է,
ԶԵՏ-1-կապիտալի համարժեքության նորմատիվի հաշվարկմանը նախորդող 2-րդ հաշվետու տարվա զուտ եկամուտն է,
ԶԵՏ-2-կապիտալի համարժեքության նորմատիվի հաշվարկմանը նախորդող 3-րդ հաշվետու տարվա զուտ եկամուտն է,
«Գ» = 15%,
«Ն»-վերջին երեք տարիների՝ 0-ից բարձր զուտ եկամուտ ունեցած տարիների թիվն է:
4. Եթե որևէ տարվա զուտ եկամուտը փոքր է 0-ից, ապա տվյալ տարվա զուտ եկամուտը չի ընդգրկվում գործառնական ռիսկի հաշվարկում:
5. Եթե հաշվետու ամսվան նախորդող երեք տարիներից յուրաքանչյուրում բանկի զուտ եկամուտները փոքր կամ հավասար են եղել 0-ի, ապա տվյալ տարվա ընթացքում գործառնական ռիսկը չի հաշվարկվում:
6. Տվյալ տարվա զուտ եկամուտը հաշվարկվում է որպես զուտ տոկոսային եկամուտների և զուտ ոչ տոկոսային եկամուտների հանրագումար: Տվյալ տարվա զուտ եկամտի հաշվարկին չեն մասնակցում արժեթղթերի իրացումից ստացված շահույթը/վնասը, ինչպես նաև որպես փոխհատուցում ստացված ապահովագրական եկամուտները:
(6-րդ կետը փոփ. 27.11.12 թիվ 325-Ն)
Գ լ ու խ 3
Գործառնական ռիսկի հաշվարկման ստանդարտացված մոտեցում
7. Ստանդարտացված մոտեցման համաձայն՝ գործառնական ռիսկի հաշվարկման նպատակով սույն հավելվածի 6-րդ կետով սահմանվող զուտ եկամուտը պետք է բաժանել հետևյալ խմբերի.
7.1. Կորպորատիվ ֆինանսներ (ԿՖ): Այս խմբում ընդգրկվում են հետևյալ գործառնությունների/գործիքների գծով ձևավորված եկամուտները/ծախսերը. կապիտալի գործիքներ, ակտիվների արժեթղթավորում, արժեթղթերի երաշխավորված և չերաշխավորված տեղաբաշխում, ֆինանսական և ինվեստիցիոն խորհրդատվություն:
(7.1-ին կետը փոփ. 27.11.12 թիվ 325-Ն)
7.2. Առք ու վաճառք (ԱՎ): Այս խմբում ընդգրկվում են առևտրական նպատակով պահվող ակտիվների և պարտավորությունների գծով ձևավորված եկամուտները/ծախսերը:
7.3. Վճարահաշվարկային ծառայություն (ՎՀԾ): Այս խմբում ընդգրկվում են վճարահաշվարկային ծառայությունների (այդ թվում՝ դրամական փոխանցումներ) գծով ձևավորված եկամուտները/ծախսերը:
7.4 Ներդրումային և ոչ հիմնական ծառայություններ (ՆՈՀԾ): Այս խմբում ընդգրկվում են «Արժեթղթերի շուկայի մասին» Հայաստանի Հանրապետության օրենքով սահմանված ներդրումային և ոչ հիմնական ծառայությունների գծով ձևավորված եկամուտները և ծախսերը` բացառությամբ արժեթղթերի երաշխավորված և չերաշխավորված տեղաբաշխման և ֆինանսական ու ինվեստիցիոն խորհրդատվության ծառայությունների գծով ձևավորված եկամուտների և ծախսերի:
(7.4-րդ կետը խմբ. 27.11.12 թիվ 325-Ն)
7.5. Հիմնական բանկային գործունեություն (ՀԲԳ): Այս խմբում ընդգրկվում են այն գործառնությունների գծով ձևավորված եկամուտները/ծախսերը, որոնք չեն ընդգրկվում սույն հավելվածի 7.1-7.4 կետերում:
8. Ստանդարտացված մոտեցման համաձայն հաշվարկվող զուտ եկամտի խմբերը և դրանց համապատասխան «Գ» գործակիցները:
Աղյուսակ 1
|
N |
Զուտ եկամտի խմբեր |
Գ | |
|
I |
Կորպորատիվ ֆինանսներ (ԿՖ) |
Գ1 |
18% |
|
II |
Առք ու վաճառք (ԱՎ) |
Գ2 |
18% |
|
III |
Վճարահաշվարկային ծառայություն (ՎՀԾ) |
Գ3 |
18% |
|
IV |
Ներդրումային և ոչ հիմնական ծառայություններ (ՆՈՀԾ) |
Գ4 |
18% |
|
V |
Հիմնական բանկային գործունեություն (ՀԲԳ) |
Գ5 |
14% |
(8-րդ կետը փոփ. 27.11.12 թիվ 325-Ն)
9. Ստանդարտացված մոտեցման համաձայն՝ գործառնական ռիսկը հաշվարկվում է հետևյալ բանաձևով՝
| ԳՌ =( |
Ն ∑Տ=1 |
5 ∑ (ԶԵԻՏ* ԳԻ ))/ՆԻ=1 |
որտեղ՝
ԳՌ - ստանդարտացված մոտեցման համաձայն հաշվարկված գործառնական ռիսկն է,
«Ի» - սույն հավելվածի 7-րդ կետով սահմանված զուտ եկամտի խմբերն են,
ԶԵԻՏ - «Ի»-րդ խմբի համար հաշվարկված դրական զուտ եկամուտն է՝ նորմատիվի հաշվարկմանը նախորդող «Տ»-րդ հաշվետու տարում,
«ԳԻ» - սույն հավելվածի 8-րդ կետով սահմանված «Ի»-րդ խմբի «Գ» գործակիցն է,
«Տ» - նորմատիվի հաշվարկմանը նախորդող հաշվետու տարիներն են,
«Ն» - վերջին երեք տարիների՝ 0-ից բարձր զուտ եկամուտ ունեցած հաշվետու տարիների թիվն է:
10. Եթե որևէ խմբի ինչ-որ հաշվետու տարվա համար հաշվարկված զուտ եկամուտը փոքր է 0-ից, ապա վերջինիս մեծությունը չի ընդգրկվում գործառնական ռիսկի հաշվարկում:
11. Սույն հավելվածի 7-րդ կետով սահմանված խմբերի զուտ եկամուտը հաշվարկվում է որպես տվյալ խմբի գծով ձևավորված զուտ տոկոսային եկամուտների և զուտ ոչ տոկոսային եկամուտների հանրագումար: Տվյալ տարվա զուտ եկամտի հաշվարկին չեն մասնակցում արժեթղթերի իրացումից ստացված շահույթը/վնասը, ինչպես նաև որպես փոխհատուցում ստացված ապահովագրական եկամուտները:
(11-րդ կետը փոփ. 27.11.12 թիվ 325-Ն)
(հավելվածը լրաց. 20.12.11 թիվ 354-Ն, փոփ., խմբ. 27.11.12 թիվ 325-Ն)
|
Հավելված 6 |
35/75 տոկոս ռիսկի կշռին բավարարող հիփոթեքային վարկերի տրամադրման նվազագույն պայմաններ
(վերնագիրը լրաց. 19.03.10 թիվ 54-Ն, փոփ. 10.05.16 թիվ 79-Ն)
Բանկի կողմից տրամադրված հիփոթեքային վարկը (այսուհետ՝ վարկ) համարվում է «35/75 տոկոս ռիսկի կշռին բավարարող հիփոթեքային վարկերի տրամադրման նվազագույն պայմաններին» համապատասխանող, եթե բավարարում է հետևյալ պայմաններին միաժամանակ՝
(նախաբանը փոփ. 10.05.16 թիվ 79-Ն)
1. Վարկը տրամադրվել է ֆիզիկական անձին (այսուհետ՝ վարկառու) Հայաստանի Հանրապետության տարածքում գտնվող բնակելի տան կամ բնակարանի (այսուհետ՝ գույք) ձեռքբերման, վերանորոգման կամ կառուցման նպատակով և ապահովված է այդ նույն գույքի առաջնային գրավով:
(1-ին կետը փոփ. 10.05.16 թիվ 79-Ն)
2. Վարկը տրամադրվել է առնվազն տասը տարի ժամկետով՝ բացառությամբ վերանորոգման նպատակով տրամադրված վարկերի:
3. Վարկի տրամադրման պահից մինչև վարկային պայմանագրի գործողության ավարտը վարկառուն (համավարկառուն) գույքի նկատմամբ ունի սեփականության իրավունք, և առկա է տվյալ գույքի նկատմամբ սեփականության իրավունքը հաստատող իրավունքի պետական գրանցման վկայականը:
(3-րդ կետը խմբ. 23.05.08 թիվ 163-Ն, լրաց. 19.03.10 թիվ 54-Ն, լրաց. 10.05.16 թիվ 79-Ն)
4.(4-րդ կետն ուժը կորցրել է 23.05.08 թիվ 163-Ն)
5. Վարկի տրամադրման պահից առավելագույնը երկու ամիս առաջ գույքը գնահատվել է «Անշարժ գույքի գնահատման գործունեության մասին» Հայաստանի Հանրապետության օրենքի պահանջներին համապատասխան:
(5-րդ կետը խմբ. 23.05.08 թիվ 163-Ն)
6. Վարկի գումարը տրամադրման պահին չի գերազանցում գույքի՝ գնահատված շուկայական արժեքից կամ ձեռքբերման գնից նվազագույնի յոթանասուն տոկոսը:
(6-րդ կետը խմբ. 23.05.08 թիվ 163-Ն)
7. Վարկի գծով մարումների (մայր գումար, տոկոսագումար, ապահովագրության վճարներ) ամսական մեծությունը չի գերազանցում վարկառուի (համավարկառուի) ամսական եկամտի (համախառն եկամուտ՝ հանած բոլոր հարկերը և պարտադիր սոցիալական ապահովության վճարները) քառասուն տոկոսը:
(7-րդ կետը խմբ. 23.05.08 թիվ 163-Ն)
8. Վարկի գծով մարումների (մայր գումար, տոկոսագումար, ապահովագրության վճարներ) և վարկառուի այլ վարկային պարտավորությունների գծով կանոնավոր մարումների ամսական մեծությունների հանրագումարը չի գերազանցում վարկառուի (համավարկառուի) ամսական եկամտի (համախառն եկամուտ՝ հանած բոլոր հարկերը և պարտադիր սոցիալական ապահովության վճարները) հիսուն տոկոսը:
(8-րդ կետը խմբ. 23.05.08 թիվ 163-Ն)
9. Վարկային պայմանագրի համաձայն վարկի տրամադրման պահից մինչև վարկային պայմանագրից բխող պարտավորությունների լրիվ կատարումն ընկած ժամկետի ցանկացած պահի դրությամբ գույքն ապահովագրված է ոչնչացման, վնասի և փչացման ռիսկերից՝ նվազագույնը վարկի մնացորդային արժեքի չափով:
(9-րդ կետը խմբ. 23.05.08 թիվ 163-Ն)
10. Սույն հավելվածի 3-րդ, 5-րդ, 6-րդ և 9-րդ կետերի իմաստով` գույքի կառուցման նպատակով տրամադրված հիփոթեքային վարկի, ինչպես նաև կառուցվող բազմաբնակարան շենքից գույքի ձեռքբերման նպատակով տրամադրված հիփոթեքային վարկի տրամադրման պահ է համարվում «35/75 տոկոս» ռիսկի կշիռների կիրառման սկզբնական պահը:
(10-րդ կետը լրաց. 10.05.16 թիվ 79-Ն)
(հավելվածը խմբ. 23.05.08 թիվ 163-Ն, լրաց. 19.03.10 թիվ 54-Ն, փոփ., լրաց. 10.05.16 թիվ 79-Ն)
|
Հավելված 7 |
Պարտադիր պահուստավորման օրացույցի ՁԵՎ
Պարտադիր պահուստավորման օրացույցը ——— թ. համար
|
Հ/Հ |
ՀՀ դրամ |
Արտարժույթ |
Փաստացի օրերի քանակը | ||||
|
ՀՀ դրամով պահուստավորման ենթակա |
Արտարժույթով պահուստավորման ենթակա | ||||||
|
Հաշվետու ժամանա- |
Փաստացի ժամանա- |
Հաշվետու ժամանակա-հատված |
Փաստացի ժամանակա-հատված |
Հաշվետու ժամանակա-հատված |
Փաստացի ժամանակա-հատված | ||
|
1 |
2 |
3 |
4 |
5 |
6 |
7 |
8 |
|
տտ-1 |
օօ1 .աա1.տտ1-օօ2 .աա2 .տտ2 |
օօ1 .աա1.տտ1-օօ2 .աա2 .տտ2 |
օօ1 .աա1.տտ1-օօ2 .աա2 .տտ2 |
օօ1 .աա1.տտ1-օօ2 .աա2 .տտ2 |
օօ1 .աա1.տտ1-օօ2 .աա2 .տտ2 |
օօ1 .աա1.տտ1-օօ2 .աա2 .տտ2 |
… |
|
տտ-2 |
… |
… |
… |
… |
… |
… |
… |
|
… |
… |
… |
… |
… |
… |
… |
… |
|
տտ-11 |
… |
… |
… |
… |
… |
… |
… |
|
տտ-12 |
… |
… |
… |
… |
… |
… |
… |
(հավելվածը լրաց. 18.11.08 թիվ 325-Ն, խմբ. 27.07.10 թիվ 171-Ն)
|
Հավելված 8 ՀՀ կենտրոնական բանկի խորհրդի 2007 թվականի փետրվարի 9-ի թիվ 39-Ն որոշմամբ |
ՀԱՅԱՍՏԱՆԻ ՀԱՆՐԱՊԵՏՈՒԹՅԱՆ ՏԱՐԱԾՔՈՒՄ ԳՈՐԾՈՂ ՕՏԱՐԵՐԿՐՅԱ ԲԱՆԿԵՐԻ ՄԱՍՆԱՃՅՈՒՂԵՐԻ ԿՈՂՄԻՑ ՀԱՅԱՍՏԱՆԻ ՀԱՆՐԱՊԵՏՈՒԹՅԱՆ ՏԱՐԱԾՔՈՒՄ ԱՎԱՆԴՆԵՐ ԸՆԴՈՒՆԵԼՈՒ ՀԱՄԱՐ ԼՐԱՑՈՒՑԻՉ ՊԱՅՄԱՆՆԵՐԸ
Գ Լ ՈՒ Խ 1
ԸՆԴՀԱՆՈՒՐ ՍԱՀՄԱՆՈՒՄՆԵՐ
1. Սույն հավելվածի իմաստով օտարերկրյա բանկի մասնաճյուղի (այսուհետ` Մասնաճյուղ) հետ կապված անձինք են համարվում.
1) Մասնաճյուղի ղեկավարները,
2) Մասնաճյուղի մայր բանկի ղեկավարները և նշանակալից մասնակիցները, դրանց հետ փոխկապակցված անձինք,
3) Մասնաճյուղի մայր բանկի հետ փոխկապակցված անձինք:
Գ Լ ՈՒ Խ 2
ՄԱՍՆԱՃՅՈՒՂԵՐԻ ՆԿԱՏՄԱՄԲ ԿԻՐԱՌՎՈՂ ՊԱՅՄԱՆՆԵՐԸ
2. Հայաստանի Հանրապետության տարածքում գործող Մասնաճյուղերը պետք է բավարարեն հետևյալ պայմանները.
1) Մասնաճյուղ ստեղծող օտարերկրյա բանկի կողմից Կենտրոնական բանկում կամ Կենտրոնական բանկի համաձայնությամբ` Հայաստանի Հանրապետության տարածքում գործող որևէ առևտրային բանկում` Կենտրոնական բանկի խորհրդի 2005 թվականի ապրիլի 12-ի թիվ 145-Ն որոշմամբ հաստատված «Բանկային գործունեության ոլորտում լիցենզավորման, գրանցման, համաձայնության և թույլտվության տրամադրման, մասնագիտական համապատասխանության ստուգման և որակավորման կարգերը» կանոնակարգ 1-ի 33-րդ կետի 5-րդ ենթակետի «բ» պարբերության համաձայն, Մասնաճյուղ ստեղծող օտարերկրյա բանկի կողմից որոշակի սահմանափակող պայմաններով ներդրված միջոցների և Մասնաճյուղի չբաշխված շահույթի/վնասի (եկամուտների պահուստներ) հանրագումարի (այսուհետ` գործառնական կապիտալ) և ռիսկով կշռված ակտիվների գումարների նվազագույն հարաբերակցությունը (Պ1 պայման) կազմում է առնվազն 12 տոկոս:
2) Մասնաճյուղի բոլոր արժույթներով արտահայտված բարձր իրացվելի ակտիվների և բոլոր արժույթներով արտահայտված ընդհանուր ակտիվների գումարների միջև նվազագույն հարաբերակցությունը (Պ21 պայման) կազմում է.
ա. 15 տոկոս, այն Մասնաճյուղերի համար, որոնք, իրենց կանոնադրության համաձայն, մեկ անձից ներգրավում են ավանդ նվազագույնը 30 միլիոն Հայաստանի Հանրապետության դրամի կամ դրան համարժեք արտարժույթի չափով,
բ. 60 տոկոս, այն Մասնաճյուղերի համար, որոնք մեկ անձից ներգրավում են նաև 30 միլիոն դրամը կամ դրան համարժեք արտարժույթի մեծությունը չգերազանցող ավանդ:
3) Մասնաճյուղի առաջին խմբի արտարժույթներով արտահայտված բարձր իրացվելի ակտիվների և առաջին խմբի արտարժույթներով արտահայտված ընդհանուր ակտիվների գումարների միջև նվազագույն հարաբերակցությունը (Պ211 պայման) կազմում է.
ա. 4 տոկոս, այն Մասնաճյուղերի համար, որոնք, իրենց կանոնադրության համաձայն, մեկ անձից ներգրավում են ավանդ նվազագույնը 30 միլիոն Հայաստանի Հանրապետության դրամի կամ դրան համարժեք արտարժույթի չափով,
բ. 16 տոկոս, այն Մասնաճյուղերի համար, որոնք մեկ անձից ներգրավում են նաև 30 միլիոն դրամը կամ դրան համարժեք արտարժույթի մեծությունը չգերազանցող ավանդ:
4) Այն դեպքում, երբ երկրորդ խմբի որևէ արտարժույթով արտահայտված պարտավորություններն ամսվա միջին օրական հաշվարկով գերազանցում են Մասնաճյուղի ընդհանուր պարտավորությունների 5 տոկոսը, ապա յուրաքանչյուր այդպիսի երկրորդ խմբի արտարժույթի համար տվյալ ամսվան հաջորդող ամսվա համար հաշվարկվում է Պ212 պայման, որն իրենից ներկայացնում է ԱՄՆ դոլարով, եվրոյով և այդ արտարժույթով արտահայտված բարձր իրացվելի ակտիվների ու ԱՄՆ դոլարով, եվրոյով և այդ արտարժույթով արտահայտված ընդհանուր ակտիվների գումարների միջև նվազագույն հարաբերակցությունը: Պ212 պայմանի նվազագույն մեծությունը սահմանվում է.
ա. 4 տոկոս, այն Մասնաճյուղերի համար, որոնք, իրենց կանոնադրության համաձայն, մեկ անձից ներգրավում են ավանդ նվազագույնը 30 միլիոն Հայաստանի Հանրապետության դրամի կամ դրան համարժեք արտարժույթի չափով,
բ. 16 տոկոս, այն Մասնաճյուղերի համար, որոնք մեկ անձից ներգրավում են նաև 30 միլիոն դրամը կամ դրան համարժեք արտարժույթի մեծությունը չգերազանցող ավանդ:
5) Մասնաճյուղի բոլոր արժույթներով արտահայտված բարձր իրացվելի ակտիվների և բոլոր արժույթներով արտահայտված ցպահանջ պարտավորությունների միջև նվազագույն հարաբերակցությունը (Պ22 պայման) կազմում է.
ա. 60 տոկոս, այն Մասնաճյուղերի համար, որոնք, իրենց կանոնադրության համաձայն, մեկ անձից ներգրավում են ավանդ նվազագույնը 30 միլիոն Հայաստանի Հանրապետության դրամի կամ դրան համարժեք արտարժույթի չափով,
բ. 100 տոկոս, այն Մասնաճյուղերի համար, որոնք մեկ անձից ներգրավում են նաև 30 միլիոն դրամը կամ դրան համարժեք արտարժույթի մեծությունը չգերազանցող ավանդ:
6) Մասնաճյուղի առաջին խմբի արտարժույթներով արտահայտված բարձր իրացվելի ակտիվների և առաջին խմբի արտարժույթներով արտահայտված ցպահանջ պարտավորությունների միջև նվազագույն հարաբերակցությունը (Պ221 պայման) սահմանվում է.
ա. 10 տոկոս, այն Մասնաճյուղերի համար, որոնք, իրենց կանոնադրության համաձայն, մեկ անձից ներգրավում են ավանդ նվազագույնը 30 միլիոն Հայաստանի Հանրապետության դրամի կամ դրան համարժեք արտարժույթի չափով,
բ. 100 տոկոս, այն Մասնաճյուղերի համար, որոնք մեկ անձից ներգրավում են նաև 30 միլիոն դրամը կամ դրան համարժեք արտարժույթի մեծությունը չգերազանցող ավանդ:
7) Այն դեպքում, երբ երկրորդ խմբի որևէ արտարժույթով արտահայտված պարտավորություններն ամսվա միջին օրական հաշվարկով գերազանցում են Մասնաճյուղի ընդհանուր պարտավորությունների 5 տոկոսը, ապա յուրաքանչյուր այդպիսի երկրորդ խմբի արտարժույթի համար տվյալ ամսվան հաջորդող ամսվա համար հաշվարկվում է Պ222 պայման, որն իրենից ներկայացնում է ԱՄՆ դոլարով, եվրոյով և այդ արտարժույթով արտահայտված բարձր իրացվելի ակտիվների ու ԱՄՆ դոլարով, եվրոյով և այդ արտարժույթով արտահայտված ցպահանջ պարտավորությունների միջև հարաբերակցություն: Պ222 պայմանի նվազագույն մեծությունը սահմանվում է.
ա. 10 տոկոս, այն Մասնաճյուղերի համար, որոնք, իրենց կանոնադրության համաձայն, մեկ անձից ներգրավում են ավանդ նվազագույնը 30 միլիոն Հայաստանի Հանրապետության դրամի կամ դրան համարժեք արտարժույթի չափով,
բ. 100 տոկոս, այն Մասնաճյուղերի համար, որոնք մեկ անձից ներգրավում են նաև 30 միլիոն դրամը կամ դրան համարժեք արտարժույթի մեծությունը չգերազանցող ավանդ:
8) Մասնաճյուղի` մեկ փոխառուի գծով ռիսկի առավելագույն չափը (Պ31 պայման) չպետք է գերազանցի Մասնաճյուղի գործառնական կապիտալի 20 տոկոսը:
9) Մասնաճյուղի` խոշոր փոխառուների գծով ռիսկի առավելագույն չափը (Պ32 պայման) չպետք է գերազանցի Մասնաճյուղի գործառնական կապիտալի 500 տոկոսը:
10) Մասնաճյուղի հետ կապված մեկ անձի գծով ռիսկի առավելագույն չափը (Պ41 պայման) չպետք է գերազանցի Մասնաճյուղի գործառնական կապիտալի 5 տոկոսը:
11) Մասնաճյուղի հետ կապված բոլոր անձանց գծով ռիսկի առավելագույն չափը (Պ42 պայման) չպետք է գերազանցի Մասնաճյուղի գործառնական կապիտալի 20 տոկոսը:
12) Արտարժույթի տնօրինման սահմանափակման պայմանը բաղկացած է երկու տարրերից` համախառն արտարժութային դիրք և ըստ առանձին արտարժույթների դիրք, ընդ որում.
ա. արտարժութային համախառն դիրքի և Մասնաճյուղի գործառնական կապիտալի միջև առավելագույն հարաբերակցությունը կազմում է 10 տոկոս,
բ. ըստ առանձին արտարժույթների յուրաքանչյուր արտարժույթի բաց դիրքի և Մասնաճյուղի գործառնական կապիտալի միջև առավելագույն հարաբերակցությունը կազմում է 7 տոկոս:
13) Մասնաճյուղի պահանջը իր մայր բանկի նկատմամբ չի կարող գերազանցել Մասնաճյուղի ակտիվների և Հայաստանի Հանրապետության ռեզիդենտներից ներգրավված միջոցների տարբերության մեծությունը (Հայաստանի Հանրապետության ռեզիդենտներից ներգրավված միջոցների արտահոսքի սահմանափակման պայման):
14) Մասնաճյուղը պետք է բավարարի Կենտրոնական բանկում տեղաբաշխվող պարտադիր պահուստների նվազագույն չափի նորմատիվին` համաձայն սույն կանոնակարգի 24-րդ և 24.1-րդ կետերի: Ընդ որում, եթե սույն կետի 1-ին ենթակետով սահմանված` Մասնաճյուղ ստեղծող օտարերկրյա բանկի կողմից որոշակի սահմանափակող պայմաններով ներդրված միջոցները ներդրված են Կենտրոնական բանկում, ապա այդ միջոցները ևս գումարվում են Մասնաճյուղի կողմից փաստացի պահուստավորված միջոցների գումարին:
(2-րդ կետը փոփ. 24.02.15 թիվ 44-Ն)
Գ Լ ՈՒ Խ 3
ՊԱՅՄԱՆՆԵՐԻ ՀԱՇՎԱՐԿՄԱՆ ԿԱՐԳԸ ԵՎ ՀԱՇՎԱՐԿՈՒՄ ՆԵՐԱՌՎՈՂ ՏԱՐՐԵՐԻ ԿԱԶՄԸ
3. Մասնաճյուղի Պ1, Պ21, Պ211, Պ212, Պ22, Պ221, Պ222, Պ31, Պ32, Պ41, Պ42 պայմանները և Հայաստանի Հանրապետության ռեզիդենտներից ներգրավված միջոցների արտահոսքի սահմանափակման պայմանը հաշվարկվում են ամսական, իսկ արտարժույթի տնօրինման սահմանափակման պայմանը` օրական կտրվածքով:
4. Հայաստանի Հանրապետության ռեզիդենտներից ներգրավված միջոցների արտահոսքի սահմանափակման պայմանը հաշվարկում է միջին օրական հաշվարկով:
5. Պայմանների և չբաշխված շահույթի հաշվարկում վարկերի և դեբիտորական պարտքերի, ինչպես նաև ինվեստիցիոն արժեթղթերում ներդրումների հնարավոր կորուստների պահուստներն ընդգրկվում են, համապատասխանաբար, «Հայաստանի Հանրապետության ֆինանսների նախարարի 2021 թվականի հունիսի 16-ի թիվ 2-Ն և Հայաստանի Հանրապետության կենտրոնական բանկի խորհրդի 2021 թվականի մարտի 30-ի թիվ 39-Ն համատեղ որոշմամբ սահմանված «Հայաստանի Հանրապետության տարածքում գործող բանկերի և վարկային կազմակերպությունների ֆինանսական ակտիվների դասակարգման և հնարավոր կորուստների պահուստների ձևավորման կարգին» և Կենտրոնական բանկի խորհրդի 1998 թվականի սեպտեմբերի 15-ի թիվ 188 որոշմամբ հաստատված «Հայաստանի Հանրապետության տարածքում գործող բանկերի ինվեստիցիոն արժեթղթերում ներդրումների հնարավոր կորուստների պահուստի ձևավորման և օգտագործման» կարգին համապատասխան հաշվարկված գումարների չափով:
(5-րդ կետը փոփ. 28.09.21 թիվ 141-Ն)
6. Մասնաճյուղի գործառնական կապիտալի և ռիսկով կշռված ակտիվների գումարների միջև նվազագույն հարաբերակցությունը որոշվում է
Պ1 |
= |
Կգործ |
բանաձևով, |
|
ՌԿԱ |
|
որտեղ.
Կգործ – Մասնաճյուղի գործառնական կապիտալն է` միջին օրական հաշվարկով,
ՌԿԱ – վարկային ռիսկի, շուկայական ռիսկի և գործառնական ռիսկի հանրագումարն է, որը հաշվարկվում է հետևյալ բանաձևով`
ՌԿԱ = ՎՌ + (25/3)*(ՇՌ + ԳՌ),
ՎՌ – Մասնաճյուղի վարկային ռիսկն է` հաշվարկված սույն կանոնակարգի հավելված 3-ով սահմանված կարգի համաձայն,
ՇՌ – Մասնաճյուղի շուկայական ռիսկն է` հաշվարկված սույն կանոնակարգի հավելված 4-ով սահմանված կարգի համաձայն,
ԳՌ – Մասնաճյուղի գործառնական ռիսկն է` հաշվարկված սույն կանոնակարգի հավելված 5-ով սահմանված կարգի համաձայն:
7. Այն օրերին, երբ Մասնաճյուղի հաշվեկշիռը փոփոխություններ չի կրել (ներառյալ` ոչ աշխատանքային օրերը), միջին օրական տվյալների հաշվարկում ընդգրկվում են նախորդ օրվա տվյալները:
8. Մասնաճյուղի բոլոր արժույթներով արտահայտված բարձր իրացվելի ակտիվների և բոլոր արժույթներով արտահայտված ընդհանուր ակտիվների գումարների միջև նվազագույն հարաբերակցությունը հաշվարկվում է`
Պ21 |
= |
Աբի |
բանաձևով, |
|
Աընդ |
|
որտեղ.
Աբի – միջին օրական հաշվարկով բարձր իրացվելի ակտիվներն են ամսվա ընթացքում, որը որոշվում է
Աբի |
= |
(Աբի1+Աբի2+…+ԱբիՆ)__________________ |
բանաձևով, |
|
Ն |
որտեղ Աբի1, Աբի2, …, ԱբիՆ – Մասնաճյուղի բարձր իրացվելի ակտիվներն են ըստ օրերի, իսկ
«Ն»-ը` հաշվետու ամսվա օրերի թիվն է:
Աընդ – միջին օրական հաշվարկով ընդհանուր ակտիվներն են ամսվա ընթացքում, որը որոշվում է
| Աընդ | = |
(Աընդ1+Աընդ2+…+ԱընդՆ)__________________ |
բանաձևով, |
|
Ն |
որտեղ Աընդ1, Աընդ2, …, ԱընդՆ – Մասնաճյուղի ընդհանուր ակտիվներն են ըստ օրերի, իսկ «Ն»-ը` հաշվետու ամսվա օրերի թիվն է:
9. Պ211 պայմանը հաշվարկվում է Պ21 պայմանի համար սահմանված բանաձևով, ընդ որում, բարձր իրացվելի ակտիվների մեջ ներառվում են միայն առաջին խմբի արտարժույթներով արտահայտված` սույն կանոնակարգի 34-րդ կետով սահմանված բարձր իրացվելի ակտիվները, իսկ ընդհանուր ակտիվների մեջ` «ՀՀ տարածքում գործող բանկերի, վարկային կազմակերպությունների, ներդրումային ընկերությունների, ներդրումային ֆոնդերի և ներդրումային ֆոնդերի կառավարիչների հաշվապահական հաշվառման հաշվային պլանի» «Ակտիվներ» կարգի առաջին խմբի արտարժույթներով արտահայտված բոլոր հաշիվների հանրագումարը` հաշվի առնելով սույն կանոնակարգի 34.10 կետով սահմանված նվազեցումները:
10. Պ212 պայմանը հաշվարկվում է Պ21 պայմանի համար սահմանված բանաձևով, ընդ որում, բարձր իրացվելի ակտիվների մեջ ներառվում են միայն սույն հավելվածի 2-րդ կետի 4-րդ ենթակետում նշված ԱՄՆ դոլարով, եվրոյով և համապատասխան երկրորդ խմբի արտարժույթով արտահայտված` սույն կանոնակարգի 34-րդ կետով սահմանված բարձր իրացվելի ակտիվները, իսկ ընդհանուր ակտիվների մեջ` «ՀՀ տարածքում գործող բանկերի, վարկային կազմակերպությունների, ներդրումային ընկերությունների, ներդրումային ֆոնդերի և ներդրումային ֆոնդերի կառավարիչների հաշվապահական հաշվառման հաշվային պլանի» «Ակտիվներ» կարգի` ԱՄՆ դոլարով, եվրոյով և համապատասխան երկրորդ խմբի արտարժույթով արտահայտված բոլոր հաշիվների հանրագումարը` հաշվի առնելով սույն կանոնակարգի 34.10 կետով սահմանված նվազեցումները:
11. Մասնաճյուղի բարձր իրացվելի ակտիվների և ընդհանուր ակտիվների հաշվարկն իրականացվում է` համաձայն սույն կանոնակարգի 34-րդ կետի:
12. Մասնաճյուղի բոլոր արժույթներով արտահայտված բարձր իրացվելի ակտիվների և բոլոր արժույթներով արտահայտված ցպահանջ պարտավորությունների միջև հարաբերակցությունը հաշվարկվում է
| Պ22 | = |
Աբի |
բանաձևով, |
|
Պցպ |
|
որտեղ
| Աբի | = |
(Աբի1+Աբի2+…+ԱբիՆ)__________________ |
բանաձևով, |
|
Ն |
|
որտեղ Աբի1, Աբի2, …, ԱբիՆ – Մասնաճյուղի բարձր իրացվելի ակտիվներն են ըստ օրերի, իսկ
«Ն»-ը` հաշվետու ամսվա օրերի թիվն է,
Պցպ – միջին օրական հաշվարկով ցպահանջ պարտավորություններն են ամսվա ընթացքում, որը որոշվում է
| Պցպ | = |
(Պցպ1+Պցպ2+…+ՊցպՆ)__________________ |
բանաձևով, |
|
Ն |
|
որտեղ Պցպ1, Պցպ2, …, ՊցպՆ – Մասնաճյուղի ցպահանջ պարտավորություններն են ըստ օրերի, իսկ «Ն»-ը` հաշվետու ամսվա օրերի թիվն է:
13. Պ221 պայմանը հաշվարկվում է Պ22 պայմանի համար սահմանված բանաձևով, ընդ որում, բարձր իրացվելի ակտիվների մեջ ներառվում են միայն առաջին խմբի արտարժույթով արտահայտված` սույն կանոնակարգի 34-րդ կետով սահմանված բարձր իրացվելի ակտիվները, իսկ ցպահանջ պարտավորությունների մեջ` սույն կանոնակարգի 36-րդ կետով սահմանված` առաջին խմբի արտարժույթով արտահայտված ցպահանջ պարտավորությունները: Ընդ որում, սույն կետում նշված ցպահանջ պարտավորություններից նվազեցվում են սույն կանոնակարգի 34.8 կետի համաձայն թղթակցային «նոստրո» հաշիվներից նվազեցվող ցպահանջ պարտավորությունները (ներառյալ` դրանց գծով հաշվեգրված տոկոսները):
14. Պ222 պայմանը հաշվարկվում է Պ22 պայմանի համար սահմանված բանաձևով, ընդ որում, բարձր իրացվելի ակտիվների մեջ ներառվում են միայն սույն հավելվածի 2-րդ կետի 7-րդ ենթակետում նշված ԱՄՆ դոլարով, եվրոյով և համապատասխան երկրորդ խմբի արտարժույթով արտահայտված` սույն կանոնակարգի 34-րդ կետով սահմանված բարձր իրացվելի ակտիվները, իսկ ցպահանջ պարտավորությունների մեջ` սույն կանոնակարգի 36-րդ կետով սահմանված` ԱՄՆ դոլարով, եվրոյով և համապատասխան երկրորդ խմբի արտարժույթով արտահայտված ցպահանջ պարտավորությունները: Ընդ որում, սույն կետում նշված ցպահանջ պարտավորություններից նվազեցվում են սույն կանոնակարգի 34.8 կետի համաձայն թղթակցային «նոստրո» հաշիվներից նվազեցվող ցպահանջ պարտավորությունները (ներառյալ` դրանց գծով հաշվեգրված տոկոսները):
15. Մասնաճյուղի ցպահանջ պարտավորությունների հաշվարկն իրականացվում է` համաձայն սույն կանոնակարգի 36-րդ կետի:
16. Մեկ փոխառուի գծով ռիսկի առավելագույն չափը (Պ31 պայման) սահմանվում է
| Պ31 | = |
Ռիսկ |
բանաձևով, |
|
Կգործ |
|
որտեղ Կգործ – Մասնաճյուղի գործառնական կապիտալն է:
17. Խոշոր փոխառուների գծով ռիսկի առավելագույն չափը (Պ32 պայման) սահմանվում է
| Պ32 | = |
Ռիսկ |
բանաձևով, |
|
Կգործ |
|
որտեղ Կգործ – Մասնաճյուղի գործառնական կապիտալն է:
18. Սույն հավելվածի 16-րդ և 17-րդ կետերում սահմանված «Ռիսկի» հաշվարկն իրականացվում է` համաձայն սույն կանոնակարգի, համապատասխանաբար, 37-րդ և 38-րդ կետերի:
19. Խոշոր փոխառու է այն անձը, որի գծով ռիսկը (համաձայն սույն հավելվածով սահմանված Պ31 պայմանի «Ռիսկ» տարրի հաշվարկման մեթոդաբանության) գերազանցում է Մասնաճյուղի գործառնական կապիտալի 5 տոկոսը:
20. Պ31 և Պ32 պայմանների հաշվարկին չեն մասնակցում այն իրավաբանական անձինք, որոնք փոխառուի հետ փոխկապակցված են միայն այն հիմքով, որ պետությունը տիրապետում է փոխառուի և այդ իրավաբանական անձի ձայնի իրավունք տվող բաժնետոմսերի քսան տոկոսից ավելիին կամ իրավունք ունի օրենքով չարգելված այլ ձևով կանխորոշել նրանց որոշումները:
21. Պ31 և Պ32 պայմանները չեն հաշվարկվում Կենտրոնական բանկի և Հայաստանի Հանրապետության կառավարության նկատմամբ:
22. Մասնաճյուղի հետ կապված մեկ անձի գծով ռիսկի առավելագույն չափը (Պ41 պայման) սահմանվում է
| Պ41 | = |
Ռիսկ |
բանաձևով, |
|
Կգործ |
|
որտեղ Կգործ – Մասնաճյուղի գործառնական կապիտալն է:
23. Մասնաճյուղի հետ կապված բոլոր անձանց գծով ռիսկի առավելագույն չափը (Պ42 պայման) սահմանվում է
| Պ42 | = |
Ռիսկ |
բանաձևով, |
|
Կգործ |
|
որտեղ Կգործ – Մասնաճյուղի գործառնական կապիտալն է:
(23-րդ կետը փոփ. 24.02.15 թիվ 44-Ն)
24. Սույն հավելվածի 22-րդ և 23-րդ կետերում սահմանված «Ռիսկի» հաշվարկն իրականացվում է` համաձայն սույն կանոնակարգի, համապատասխանաբար, 42-րդ և 43-րդ կետերի:
25. Պ31, Պ32, Պ41 և Պ42 պայմանները հաշվարկվում են ամսվա վերջին օրվա դրությամբ, ինչպես նաև վերոնշյալ պայմանների ռիսկերի մեջ ընդգրկվող տարրերի ծագման և տարրերի մեծության յուրաքանչյուր փոփոխության դեպքում: Ամսվա վերջին օրվա դրությամբ Պ31, Պ32, Պ41 և Պ42 պայմանները հաշվարկելիս համարիչի «Ռիսկ» տարրը հաշվարկվում է հաշվետու ամսվա վերջին օրվա դրությամբ, իսկ գործառնական կապիտալը` ամսվա միջին օրական հաշվարկով: Ամսվա վերջին օրը Պ31, Պ32, Պ41 և Պ42 պայմանները հաշվարկելիս «նոստրո» թղթակցային հաշիվները ռիսկի հաշվարկում ընդգրկվում են ամսվա միջին օրական մեծությամբ:
26. Պ31, Պ32, Պ41 և Պ42 պայմանների ռիսկերի հաշվարկում ընդգրկվող տարրերի ծագման պահին, ինչպես նաև նշված տարրերի մեծության յուրաքանչյուր փոփոխության դեպքում վերոնշյալ պայմանները հաշվարկվում են տվյալ օրվա գործառնական կապիտալի նկատմամբ: Պ31, Պ32, Պ41, Պ42 պայմանները «նոստրո» թղթակցային հաշիվների ծագման, ինչպես նաև յուրաքանչյուր փոփոխության դեպքում չեն հաշվարկվում:
27. Պ31, Պ32, Պ41 և Պ42 պայմանների ռիսկերի հաշվարկում չեն ընդգրկվում Հայաստանի Հանրապետության պետական պարտատոմսերը:
28. Պ31, Պ32, Պ41 և Պ42 պայմանների ռիսկերի հաշվարկում ռեպո համաձայնագրերը համարվում են պահանջ ռեպո համաձայնագրի կողմ հանդիսացող գործընկերոջ նկատմամբ` ռեպո համաձայնագրի հաշվեկշռային արժեքի չափով, իսկ սույն կանոնակարգի հավելված 3-ի 3-րդ կետով սահմանված կարգով ՎՌԶՄ կիրառելու դեպքում, ռեպո համաձայնագրի չապահովված մասի արժեքի չափով:
29. Սույն կանոնակարգի 37-րդ, 38-րդ, 42-րդ և 43-րդ կետերում նշված ածանցյալ գործիքների գծով առաջացող պահանջները Պ31, Պ32, Պ41 և Պ42 պայմանների հաշվարկում ընդգրկվում են միայն ածանցյալ գործիքների գծով հաշվեկշռի ակտիվային մասում արտացոլված գումարների չափով, բացառությամբ այն դեպքի, երբ Մասնաճյուղը սվոպ գործարքի արդյունքում ստացել է երկրորդ խմբի արտարժույթ (բացառությամբ` ռուսական ռուբլու), որի դեպքում Պ31, Պ32, Պ41 և Պ42 պայմանների հաշվարկում սվոպն ընդգրկվում է Մասնաճյուղի հետհաշվեկշռում արտացոլված ստացման ենթակա ամբողջ գումարի չափով:
30. Պ31, Պ32, Պ41 և Պ42 պայմանների ռիսկերի հաշվարկում ընդգրկվող արտարժույթի առուվաճառքի սփոթ գործարքները, որոնց դեպքում Մասնաճյուղը ստանալու է Հայաստանի Հանրապետության դրամ կամ առաջին խմբի արտարժույթ, հաշվարկի մեջ ընդգրկվում են 0% ռիսկի կշռով, եթե տվյալ գործառնությունների արդյունքում արժույթների տրամադրումն ու ստացումն իրականացվելու է միևնույն բանկային օրվա ընթացքում, որը կարող է և չհամընկնել գործարքի կնքման օրվա հետ:
31. Պ31, Պ32, Պ41 և Պ42 պայմանների հաշվարկում ռեպո համաձայնագրով վաճառված արժեթղթերը և փոխառությամբ տրամադրված արժեթղթերը համարվում են պահանջ`
1) տվյալ արժեթղթի թողարկողի նկատմամբ` արժեթղթի հաշվեկշռային արժեքի չափով, և
2) ռեպո համաձայնագրի կողմ հանդիսացող գործընկերոջ (փոխառուի) նկատմամբ` սույն կանոնակարգի հավելված 3-ի 22.2 կետով սահմանված չապահովված մասի արժեքի չափով: Ընդ որում, եթե Մասնաճյուղը ռեպո համաձայնագրով ձեռք է բերել երկրորդ խմբի արտարժույթ (բացառությամբ ռուսական ռուբլու), ապա վերջինս Պ31, Պ32, Պ41 և Պ42 պայմանների հաշվարկի առումով չի դիտվում որպես ռեպո համաձայնագրի ապահովվածություն:
32. Պ31, Պ32, Պ41 և Պ42 պայմանների հաշվարկում չեն ընդգրկվում այն պահանջները, որոնք ամբողջությամբ ապահովված են.
1) Կենտրոնական բանկի կողմից թողարկված արժեթղթերով, Հայաստանի Հանրապետության պետական գանձապետական պարտատոմսերով,
2) Կենտրոնական բանկի, Հայաստանի Հանրապետության կառավարության երաշխիքներով կամ երաշխավորություններով,
3) հավելված 3-ի Աղյուսակ 1-ի 6.6 կետով սահմանված կազմակերպությունների կողմից թողարկված արժեթղթերով,
4) Սույն կանոնակարգի հավելված 3-ի Աղյուսակ 1-ի 6.6 կետով սահմանված կազմակերպությունների կողմից տրամադրված երաշխիքներով կամ երաշխավորություններով,
5) Ստանդարտ և Փուրզ կամ Ֆիթչ (փակագծում` Մուդիզ) վարկանշային գործակալությունների տրամադրած ԱԱ-(Աա3) և ԱԱ-(Աա3)-ից բարձր վարկանիշ ունեցող օտարերկրյա կառավարությունների և կենտրոնական բանկերի թողարկած արժեթղթերով,
6) Ստանդարտ և Փուրզ կամ Ֆիթչ (փակագծում` Մուդիզ) վարկանշային գործակալությունների տրամադրած ԱԱ-(Աա3) և ԱԱ-(Աա3)-ից բարձր վարկանիշ ունեցող օտարերկրյա կառավարությունների և կենտրոնական բանկերի կողմից տրամադրված երաշխիքներով կամ երաշխավորություններով,
7) տվյալ Մասնաճյուղում ներդրված ավանդներով, տվյալ Մասնաճյուղին տրամադրված վարկերից կամ փոխառություններից բխող պահանջի իրավունքով:
33. Սույն հավելվածի 32-րդ կետով սահմանված պահանջները և դրանց ապահովվածությունները պետք է արտահայտված լինեն միևնույն արժույթով, ինչպես նաև պահանջների` մինչև մարումն ընկած ժամկետները չպետք է գերազանցեն ապահովվածություն հանդիսացող արժեթղթերի, տվյալ Մասնաճյուղում ներդրված ավանդների` մինչև մարումն ընկած ժամկետները, տվյալ Մասնաճյուղին տրամադրված վարկերից կամ փոխառություններից բխող պահանջի իրավունքի իրականացման ժամկետները, ինչպես նաև երաշխիքների կամ երաշխավորությունների տրամադրման ժամկետները: Բացի այդ, փոխառուի կողմից պարտավորությունների չկատարման դեպքում գրավի առարկայի փաստացի իրացման հնարավորության կամ Մասնաճյուղին տրամադրված երաշխիքի/երաշխավորության կատարման ժամկետների առումով չպետք է լինեն պայմանագրով և/կամ այլ փոխադարձ համաձայնությամբ նախատեսված սահմանափակումներ:
34. Այն պահանջները, որոնք ամբողջությամբ ապահովված չեն սույն հավելվածի 32-րդ կետում նշված ապահովվածության տեսակներով, չապահովված մասով ընդգրկվում են Պ31, Պ32, Պ41 և Պ42 պայմանների հաշվարկի մեջ, իսկ ապահովված մասը չի ընդգրկվում Պ31, Պ32, Պ41 և Պ42 պայմանների հաշվարկի մեջ: Ընդ որում, Պ31, Պ32, Պ41 և Պ42 պայմանների հաշվարկում ընդգրկվող պահանջների չապահովված մասերն իրենց համապատասխան պահուստների չափով նվազեցվելուց հետո չեն կշռվում, բացառությամբ «նոստրո» թղթակցային հաշիվների, միջբանկային ավանդների, միջբանկային վարկերի, օտարերկրյա կառավարությունների և կենտրոնական բանկերի նկատմամբ պահանջների, որոնք իրենց համապատասխան պահուստի չափով նվազեցվելուց հետո կշռվում են սույն կանոնակարգի հավելված 3-ի 6-րդ կետով սահմանված ակտիվների համապատասխան կշիռներով:
35. Սույն կանոնակարգի 32-34-րդ կետերը չեն տարածվում ռեպո համաձայնագրերի, ռեպո համաձայնագրով վաճառված արժեթղթերի ու փոխառությամբ տրամադրված արժեթղթերի վրա:
36. Արտարժույթի տնօրինման սահմանափակման պայմանի հաշվարկման նպատակով արտարժութային դիրքը սույն հավելվածի 38-րդ կետով սահմանված եղանակներով հաշվարկվող` Մասնաճյուղի արտարժույթով, ինչպես նաև արտարժութային ռիսկ պարունակող դրամական ակտիվների և պարտավորությունների միջև եղած տարբերությունն է: Դրամական ակտիվները կամ պարտավորությունները պարունակում են արտարժութային ռիսկ, երբ դրանց գծով ստացվելիք կամ վճարվելիք գումարների մեծությունները հաշվարկվում են արտարժույթի և/կամ արժութային զամբյուղի` Հայաստանի Հանրապետության դրամի նկատմամբ փոխարժեքի միջոցով և, հետևաբար, կարող են տատանվել վերջինիս փոփոխությամբ պայմանավորված: Արտարժույթի տնօրինման սահմանափակման պայմանի հաշվարկման իմաստով, արտարժութային ակտիվ կամ պարտավորություն են համարվում նաև թանկարժեք մետաղների բանկային կամ ստանդարտացված ձուլակտորները, ինչպես նաև թանկարժեք մետաղների բանկային կամ ստանդարտացված ձուլակտորներով արտահայտված պահանջներն ու պարտավորությունները, մետաղական հաշիվները: Ընդ որում, արտարժույթի տնօրինման սահմանափակման պայմանի հաշվարկման իմաստով բանկային ոսկին, ոսկու ստանդարտացված ձուլակտորները, որոնց հարգը փոքր չէ 999-ից, դրանցով արտահայտված պահանջներն ու պարտավորությունները և մետաղական հաշիվները դիտվում են որպես արտարժույթի մեկ տեսակ:
37. Եթե ակտիվը կամ պարտավորությունը կցված է որևէ արժութային զամբյուղի (բացառությամբ ՍԴՌ-ի), ապա տվյալ զամբյուղի մեջ մտնող արտարժույթները մասնակցում են համապատասխան արտարժութային դիրքերի հաշվարկին՝ տվյալ զամբյուղի կառուցվածքում իրենց տեսակարար կշռին համապատասխան:
38. Ըստ առանձին արժույթների դիրքի հաշվարկն իրականացվում է արտարժույթների առանձին տեսակներով, ինչպես դրանց գծով ածանցյալ գործիքները (սվոփ, ֆյուչերս, ֆորվարդ, օպցիոն) ներառյալ, այնպես էլ առանց դրանց, և ամփոփվում են ըստ արտարժութային երկու խմբերի, ընդ որում, առանց ածանցյալ գործիքների արտարժութային դիրքի հաշվարկում ներառվում են.
1) Սույն կանոնակարգի հավելված 3-ի Աղյուսակ 1-ի 6.6 կետով սահմանված կազմակերպությունների հետ կնքված ածանցյալ գործիքները,
2) Ստանդարտ և Փուրզ կամ Ֆիթչ (փակագծում` Մուդիզ) վարկանշային գործակալությունների կողմից տրամադրված երկարաժամկետ ավանդների ներգրավման Ա+(Ա1) և Ա+(Ա1)-ից բարձր վարկանիշ ունեցող օտարերկրյա կառավարությունների և կենտրոնական (ազգային) բանկերի հետ կնքված ածանցյալ գործիքները,
3) Ստանդարտ և Փուրզ կամ Ֆիթչ (փակագծում` Մուդիզ) վարկանշային գործակալությունների կողմից տրամադրված երկարաժամկետ ավանդների ներգրավման Ա+(Ա1) և Ա+(Ա1)-ից բարձր վարկանիշ ունեցող օտարերկրյա ֆինանսական կազմակերպությունների հետ կնքված ածանցյալ գործիքները,
4) Արժութային և փոխարժեքային սվոպերը: Արտարժույթի տնօրինման սահմանափակման պայմանի հաշվարկում ածանցյալ գործիքներն ընդգրկվում են միայն հետհաշվեկշռում գրանցված գումարների (ներառյալ` ածանցյալ գործիքի գծով հետհաշվեկշռում գրանցված տոկոսները) և հաշվեկշռում հաշվեգրված տույժերի և տուգանքների չափով (եթե այդպիսիք կան):
39. Մասնաճյուղերը թարմացնում են վարկանշային գործակալությունների սահմանած վարկանիշները` հիմք ընդունելով սույն հավելվածի 38-րդ կետում նշված վարկանշային գործակալությունների՝ տվյալ օրվան վերաբերող վարկանիշները: Եթե սույն հավելվածի 38-րդ կետի 2-րդ և 3-րդ ենթակետերում նշված կազմակերպությունն ունի երկու և ավելի վարկանշային գործակալության կողմից տրված վարկանիշներ, ապա Մասնաճյուղը հիմք է ընդունում ամենացածր վարկանիշը: Սույն հավելվածի 38-րդ կետում նշված կազմակերպությունների համար վարկանիշները հիմք են ընդունվում` կախված ածանցյալ գործիքի արժույթից:
40. Արտարժույթի տնօրինման սահմանափակման պայմանի արտարժութային դիրքը հաշվարկվում է Մասնաճյուղի համախառն արտարժութային դիրքի նկատմամբ, ինչպես ածանցյալ գործիքները ներառյալ, այնպես էլ առանց դրանց, ընդ որում, առանց ածանցյալ գործիքների արտարժութային դիրքի հաշվարկում ներառվում են սույն հավելվածի 38-րդ կետի 1-4-րդ ենթակետերով սահմանված ածանցյալ գործիքները` սույն հավելվածի 39-րդ կետով սահմանված պահանջներին համապատասխան: Արտարժութային բաց դիրքը հաշվարկվում է յուրաքանչյուր օրվա դրությամբ և արտահայտվում է Հայաստանի Հանրապետության դրամով: Պասիվային սալդոն նշվում է բացասական նշանով` ցույց տալով արտարժութային կարճ դիրքը, իսկ ակտիվային սալդոն` դրական նշանով` ցույց տալով արտարժութային երկար դիրքը:
(հավելվածը լրաց. 27.11.12 թիվ 325-Ն, փոփ. 24.02.15 թիվ 44-Ն, 28.09.21 թիվ 141-Ն)
Հավելված 9
ՀՀ կենտրոնական բանկի խորհրդի 2007 թվականի փետրվարի 9-ի
թիվ 39-Ն որոշմամբ հաստատված «Բանկերի գործունեության
կարգավորումը, բանկային գործունեության հիմնական
տնտեսական նորմատիվները» կանոնակարգ 2-ի
ընդհանուր կապիտալի ՀԱՇՎԱՐԿՈՒՄ ԸՆԴԳՐԿՎՈՂ ԱՐՏՈՆՅԱԼ ԲԱԺՆԵՏՈՄՍԵՐԻ ՆՎԱԶԱԳՈՒՅՆ ՊԱՀԱՆՋՆԵՐ
(վերնագիրը փոփ. 15.11.22 թիվ 195-Ն)
1. Արտոնյալ բաժնետոմսն ընդգրկվում է բանկի ընդհանուր կապիտալի հաշվարկում, եթե բավարարում է հետևյալ պայմաններին միաժամանակ.
1) այն ամբողջությամբ վճարված է և օրենքով սահմանված կարգով հաշվապահական հաշվեկշռում արտացոլվում է կանոնադրական հիմնադրամի «Արտոնյալ բաժնետոմսեր» հաշվում.
2) բանկի լուծարման դեպքում արտոնյալ բաժնետիրոջ պահանջները (այդ թվում` շահութաբաժինների գծով) ենթակա են բավարարման բանկի մյուս բոլոր պահանջատերերի պահանջները բավարարվելուց հետո, բացառությամբ սովորական բաժնետերերի պահանջների.
3) ապահովված չէ բանկի հետ փոխկապակցված անձանց երաշխիքով կամ երաշխավորությամբ, և (կամ) արտոնյալ բաժնետոմսի սեփականատերը տնտեսապես և (կամ) իրավական տեսանկյունից ավելի բարենպաստ կարգավիճակում չի հայտնվում այն բանի արդյունքում, որ նրա պահանջը, կանոնադրության համաձայն կամ որևէ այլ կերպ, ենթակա է բավարարման ավելի շուտ, քան բանկի լուծարման դեպքում օրենքով տվյալ պահանջի համար սահմանված բավարարման հերթը: Ընդ որում, արտոնյալ բաժնետոմսի սեփականատիրոջ պահանջը չի կարող հաշվանցվել (զուտացվել) արտոնյալ բաժնետոմսի սեփականատիրոջ` բանկի հանդեպ ունեցած այլ պարտավորությունների հետ.
4) թողարկված է անժամկետ.
5) արտոնյալ բաժնետոմսի գծով շահութաբաժինը՝ ամբողջությամբ կամ մասամբ, ենթակա չէ վճարման, եթե դա կհանգեցնի բանկի տնտեսական նորմատիվներից որևէ մեկի խախտմանը կամ բանկի ֆինանսական վիճակի վատթարացմանը, ընդ որում`
ա. շահութաբաժնի լրիվ կամ մասնակի չվճարումը ենթակա չէ կուտակման և վճարման հետագայում,
բ. բանկի և արտոնյալ բաժնետիրոջ միջև որևէ իրավաբանական փաստաթղթով չի կարող նախատեսվել որևէ սահմանափակում բանկի համար շահութաբաժնի ամբողջական կամ մասնակի չվճարման դեպքում, ինչպես նաև որևէ իրավաբանական փաստաթղթով չի կարող նախատեսվել այդպիսի սահմանափակումներ նախատեսելու իրավունքի տրամադրում արտոնյալ բաժնետիրոջը, բացառությամբ, եթե սահմանափակումը վերաբերում է սովորական բաժնետոմսերի գծով շահութաբաժինների վճարմանը: Ընդ որում, սովորական բաժնետոմսերի գծով շահութաբաժինների վճարման՝ սույն պարբերությամբ նշված սահմանափակումը կարող է վերաբերել միայն այն ժամանակահատվածին, որի ընթացքում ամբողջությամբ կամ մասամբ չի վճարվել արտոնյալ բաժնետոմսին հասանելիք շահութաբաժինը.
6) տվյալ բաժնետոմսի գծով շահութաբաժինները ենթակա են վճարման միայն բանկի զուտ շահույթից և (կամ) դրա հաշվին ձևավորված հիմնադրամներից, ընդ որում, շահութաբաժինները վճարվում են միայն դրամական միջոցով.
7) տվյալ բաժնետոմսերի գծով վճարվող շահութաբաժնի չափը չի կարող կախվածության մեջ դրվել բանկի վարկանիշից, ֆինանսական վիճակը բնութագրող որևէ ցուցանիշից կամ արտոնյալ բաժնետոմսերի գծով նախկինում վճարված շահութաբաժինների փաստացի մեծությունից.
8) բանկն անուղղակիորեն չի ֆինանսավորել այդ բաժնետոմսերի ձեռքբերումը.
9) առկա չէ համաձայնություն (որոշում, պայմանագիր, համաձայնագիր), որով արտոնյալ բաժնետոմսի սեփականատերն իրավունք կունենա որևէ սահմանափակում կամ խոչընդոտ նախատեսել բանկի կողմից լրացուցիչ սովորական կամ արտոնյալ բաժնետոմսերի հետագա թողարկման կամ նոր ստորադաս փոխառությունների ներգրավման համար.
10) ցանկացած իրավաբանական փաստաթղթով (բացառությամբ՝ բանկի կանոնադրության), որով կարգավորվում են բանկի և արտոնյալ բաժնետիրոջ միջև արտոնյալ բաժնետոմսի հետ կապված հարաբերությունները, սահմանված է, որ սույն հավելվածով սահմանված պահանջները (պայմանները) փոփոխվելու դեպքում, այդ փոփոխությունները ներկայացվում են Կենտրոնական բանկի նախնական համաձայնությանը, առանց որի փոփոխությունները պարտադիր իրավական ուժ չունեն (կողմերի համար չեն առաջացնում իրավական հետևանքներ):
(1-ին կետը փոփ. 15.11.22 թիվ 195-Ն)
(հավելվածը լրաց. 24.06.14 թիվ 146-Ն, փոփ. 15.11.22 թիվ 195-Ն)
Հավելված 10
ՀՀ կենտրոնական բանկի խորհրդի 2007 թվականի փետրվարի 9-ի
թիվ 39-Ն որոշմամբ հաստատված «Բանկերի գործունեության
կարգավորումը, բանկային գործունեության հիմնական
տնտեսական նորմատիվները» կանոնակարգ 2-ի
երկրորդ մակարդակի կապիտալ ՀԱՇՎԱՐԿՈՒՄ ԸՆԴԳՐԿՎՈՂ ԵՐԿԱՐԱԺԱՄԿԵՏ ՍՏՈՐԱԴԱՍ ՓՈԽԱՌՈՒԹՅՈՒՆՆԵՐԻ ՆՎԱԶԱԳՈՒՅՆ ՊԱՀԱՆՋՆԵՐ
(վերնագիրը փոփ. 15.11.22 թիվ 195-Ն)
1. Երկարաժամկետ ստորադաս փոխառությունը (այսուհետ նաև` փոխառություն) ընդգրկվում է բանկի երկրորդ մակարդակի կապիտալ հաշվարկում, եթե փոխառությունը (փոխառության պայմանագիրը) բավարարում է հետևյալ պայմաններին միաժամանակ.
1) Փոխառությունը չի տրամադրվել բանկի հանդեպ ունեցած որոշակի պարտավորությունների կատարումն ապահովելու նպատակով:
2) Փոխառությունը ներգրավված է Հայաստանի Հանրապետության դրամով կամ առաջին խմբի մեջ մտնող արտարժութային միջոցներով:
3) Բանկի լուծարման դեպքում փոխատուի պահանջները (այդ թվում` տոկոսների գծով) ենթակա են բավարարման բանկի մյուս բոլոր պարտատերերի պահանջները բավարարվելուց հետո:
4) Փոխառությունն ապահովված չէ բանկի և (կամ) բանկի հետ փոխկապակցված անձանց երաշխիքով կամ երաշխավորությամբ, և (կամ) փոխատուն տնտեսապես և (կամ) իրավական տեսանկյունից ավելի բարենպաստ կարգավիճակում չի հայտնվում այն բանի արդյունքում, որ նրա պահանջը ենթակա է բավարարման ավելի շուտ, քան բանկի լուծարման դեպքում օրենքով տվյալ պահանջի համար սահմանված բավարարման հերթը: Ընդ որում, փոխատուի պահանջը չի կարող հաշվանցվել (զուտացվել) փոխատուի` բանկի հանդեպ ունեցած այլ պարտավորությունների հետ:
5) Փոխառությունը տրամադրվել է առնվազն 5 տարի ժամկետով:
6) Փոխառության պայմանագիրը չի պարունակում այնպիսի դրույթներ (խթաններ), որոնք տնտեսապես կամ այլ կերպ կարող են ստիպել (խթանել) բանկին ժամկետից շուտ ամբողջությամբ կամ մասնակիորեն մարել փոխառության գումարը: Սույն հավելվածի 17-րդ ենթակետով սահմանված փոխառության` բաժնետոմսերի փոխարկվելու դրույթը չի համարվում սույն ենթակետի իմաստով խթան:
7) Փոխառությունը (մայր գումարը և տոկոսները) ժամկետից շուտ մարման ենթակա չէ, բացառությամբ`
ա. Հայաստանի Հանրապետության օրենսդրությամբ նախատեսված դեպքերի,
բ. եթե ժամկետից շուտ մարման դեպքում փոխառության ամբողջ գումարն ուղղվում է բանկի կանոնադրական կապիտալի համալրմանը (սույն կանոնակարգի առաջին մակարդակի հիմնական կապիտալի կազմում ներառվող սովորական բաժնետոմսերի տեսքով),
գ. եթե փոխառությունը ժամկետից շուտ մարվում է բանկի նախաձեռնությամբ, և եթե պահպանվել են հետևյալ բոլոր պայմանները միաժամանակ.
գ1. փոխառությունը ժամկետից շուտ մարելու նպատակով բանկը ստացել է Կենտրոնական բանկի նախնական համաձայնությունը,
գ2. փոխառության ժամկետից շուտ մարման ամսաթվի և փոխառության ստացման ամսաթվի միջև տարբերությունը կազմում է առնվազն 5 օրացուցային տարի:
8) Սույն հավելվածի 1-ին կետի 7-րդ ենթակետում նշված նախնական համաձայնությունը ստանալու նպատակով բանկը Կենտրոնական բանկ է ներկայացնում ստորադաս փոխառությունը վաղաժամկետ մարելու նպատակահարմարությունը և դրա հետևանքով անցանկալի հետևանքներ չառաջանալը հիմնավորող տեղեկատվությունը և (կամ) փաստաթղթերը: Կենտրոնական բանկը փաստաթղթերը ստանալու պահից 30-օրյա ժամկետում որոշում է կայացնում նախնական համաձայնության տրամադրման կամ մերժման վերաբերյալ, որի մասին ծանուցում է բանկին 30-օրյա ժամկետի ավարտից հետո երկու աշխատանքային օրվա ընթացքում: Կենտրոնական բանկի կողմից պահանջվող որոշակի փաստեր պարզաբանելու և (կամ) բանկի կողմից ներկայացված փաստաթղթերում փոփոխություններ, ճշգրտումներ կատարելու անհրաժեշտության դեպքում 30-օրյա ժամկետը կարող է կասեցվել Կենտրոնական բանկի որոշմամբ: Կենտրոնական բանկը սույն հավելվածի 1-ին կետի 7-րդ ենթակետում նշված նախնական համաձայնությունը տրամադրում է, եթե`
ա. բանկը փոխարինում է ստորադաս փոխառությունը սույն հավելվածի պահանջներին բավարարող մեկ այլ երկարաժամկետ ստորադաս փոխառությամբ կամ սույն կանոնակարգի 9-րդ հավելվածի պահանջներին բավարարող արտոնյալ բաժնետոմսերով, և այդ փոխարինումը բացասաբար չի անդրադառնա բանկի ֆինանսական վիճակի վրա, կամ
բ. բանկը հիմնավորում է, որ իր կապիտալի համարժեքության նորմատիվները բավարար չափով բարձր են սույն կանոնակարգով սահմանված նվազագույն սահմանաչափերից՝ առանց սույն կետում նշված ստորադաս փոխառության, և նոր կապիտալի գործիքով փոխարինելու անհրաժեշտությունը բացակայում է:
9) Պայմանագրի համաձայն՝ փոխառությունը (մայր գումարը կամ տոկոսները) ենթակա չէ մարման բանկի կողմից, եթե փոխառության գումարի և (կամ) դրա գծով տոկոսների մարումը վճարման օրվա դրությամբ կհանգեցնի բանկի տնտեսական նորմատիվներից որևէ մեկի և (կամ) «Հայաստանի Հանրապետության տարածքում գործող առևտրային բանկերի կապիտալի համարժեքության նորմատիվի սահմանաչափից բարձր շեմերի սահմանման և հաշվարկման կարգի» համաձայն սահմանված համախմբված շեմի խախտմանը: Ընդ որում, բանկի և փոխատուի միջև որևէ պայմանագրով կամ բանկի ներքին կամ անհատական իրավական ակտով չի կարող նախատեսվել որևէ սահմանափակում բանկի համար փոխառության գումարի և (կամ) դրա գծով տոկոսների ամբողջական կամ մասնակի չվճարման դեպքում, ինչպես նաև այդպիսի սահմանափակումներ նախատեսելու իրավունք տրամադրել փոխատուին, բացառությամբ, եթե սահմանափակումը վերաբերում է բանկի կողմից թողարկված բաժնետոմսերի գծով շահութաբաժինների վճարմանը և (կամ) բանկի երկրորդ մակարդակի կապիտալ հաշվարկում ընդգրկվող այլ ստորադաս փոխառությունների գծով վճարումների իրականացմանը:
10) Սույն հավելվածի 9-րդ ենթակետում նշված դեպքում փոխառության մայր գումարի և (կամ) տոկոսների մասնակի կամ ամբողջական չվճարումը չի հանդիսանում բանկի կողմից պարտավորությունների չկատարում կամ ոչ պատշաճ կատարում:
11) Փոխառության գծով վճարման ենթակա տոկոսների մեծությունը չի կարող կախվածության մեջ դրվել բանկի վարկանիշից, ֆինանսական վիճակը բնութագրող որևէ ցուցանիշից կամ փոխառության գծով կատարված մայր գումարի և (կամ) տոկոսների փաստացի վճարումների մակարդակից: Փոխառության գծով վճարման ենթակա տոկոսների չափը չի կարող նվազել այն դեպքում, երբ փոխառության գծով սահմանված վճարումները բանկը կատարում է ամբողջությամբ և ժամանակին:
12) Որևէ իրավաբանական փաստաթղթով սահմանված չէ փոխատուի համար իրավունք` ժամկետից շուտ պահանջելու փոխառության գումարը միայն այն հիմքով, որ բանկը պատշաճ կերպով չի կատարել այլ պարտավորությունների գծով իր ստանձնած պարտավորությունները:
13) Փոխառությունը չի տրամադրվել այնպիսի իրավաբանական անձի կողմից, որում բանկը հանդիսանում է նշանակալից մասնակից, և (կամ) բանկն ուղղակիորեն կամ անուղղակիորեն չի ֆինանսավորել այդ փոխառության ներգրավումը:
14) Որևէ իրավաբանական փաստաթղթով սահմանված չէ, որ փոխատուն կարող է որևէ կերպ սահմանափակել կամ խոչընդոտել բանկին այլ փոխատուներից նոր փոխառությունների ներգրավման հարցում:
15) Փոխառության գծով վճարվող գումարների վճարման ժամանակացույցը հստակ նշված է փոխառության պայմանագրում:
16) Այն դեպքում, երբ փոխառության գումարը բանկին տրամադրվում է փուլերով (տրանշերով), ապա երկրորդ մակարդակի կապիտալ հաշվարկում ընդգրկվելու նպատակով յուրաքանչյուր այդպիսի փուլ (տրանշ) պետք է բավարարի սույն հավելվածով սահմանված բոլոր պայմաններին, այդ թվում` յուրաքանչյուր փուլ պետք է տրամադրվի առնվազն 5 տարի ժամկետով:
17) Փոխառության պայմանագրով նախատեսված է, որ բանկի ֆինանսական վիճակի վատթարացման դեպքում փոխառությունը մարվում է փոխառության համապատասխան գումարի չափով բանկի կողմից, իսկ փոխատուն պարտավորվում է մարված փոխառության գումարն անհապաղ ուղղել բանկի կանոնադրական կապիտալի համալրմանը (այսուհետ՝ փոխարկում)՝ սույն կանոնակարգի առաջին մակարդակի հիմնական կապիտալի կազմում ներառվող սովորական բաժնետոմսերի տեսքով: Ընդ որում, սույն ենթակետի իմաստով՝ փոխառության համապատասխան գումար է համարվում այն գումարը, որը, Կենտրոնական բանկի կարծիքով, անհրաժեշտ է բանկի ֆինանսական վիճակի վատթարացման հիմքերը վերացնելու (մեղմելու) համար, սակայն ոչ ավելի, քան փոխառության մայր գումարն (անվանական արժեքն) է: Եթե փոխառությունը ներգրավված է առաջին խմբի մեջ մտնող արտարժութային միջոցներով, ապա բանկի կանոնադրական կապիտալի համալրմանն ուղղվող գումարը փոխարկվում է Հայաստանի Հանրապետության դրամի՝ հիմք ընդունելով Կենտրոնական բանկի կողմից փոխարկման օրվա համար հայտարարված տվյալ արտարժույթի նկատմամբ հայկական դրամի` արժութային շուկաներում ձևավորված միջին փոխարժեքը:
18) Փոխառության պայմանագրով հստակ սահմանվում է այն հարաբերակցությունը, ըստ որի՝ սույն հավելվածի 17-րդ ենթակետով սահմանված փոխարկումն իրականացնելու նպատակով փոխառությունը պետք է փոխարկվի առաջին մակարդակի հիմնական կապիտալի կազմում ներառվող սովորական բաժնետոմսերի:
19) Փոխառության պայմանագրով սահմանվում է, որ փոխառության պայմանագրի փոփոխության և (կամ) լուծելու դեպքում անհրաժեշտ է Կենտրոնական բանկի նախնական համաձայնությունը, առանց որի պայմանագրի ցանկացած փոփոխությունը և (կամ) լուծումը պարտադիր իրավական ուժ չունեն (կողմերի համար չեն առաջացնում իրավական հետևանքներ):
(1-ին կետը լրաց. 11.10.19 թիվ 161-Ն, փոփ. 15.11.22 թիվ 195-Ն)
2. Սույն կանոնակարգի իմաստով՝ ֆինանսական վիճակի վատթարացում է համարվում հետևյալ իրավիճակներից որևէ մեկի ի հայտ գալը.
1) բանկը խախտում է առաջին մակարդակի հիմնական կապիտալի համարժեքության նվազագույն սահմանաչափը:
2) Կենտրոնական բանկը գրավոր կերպով տեղեկացնում է բանկին այն մասին, որ Կենտրոնական բանկի կողմից հաշվարկված գնահատականը վատթարացել է կամ կարող է վատթարանալ սահմանված չափից:
3) Կենտրոնական բանկը գրավոր եղանակով տեղեկացնում է բանկին այն մասին, որ առանց Կենտրոնական բանկի կամ պետական այլ օժանդակության բանկի մոտ կառաջանան (հնարավոր է, որ առաջանան) «Բանկերի, վարկային կազմակերպությունների, ներդրումային ընկերությունների, ներդրումային ֆոնդի կառավարիչների և ապահովագրական ընկերությունների սնանկության մասին» Հայաստանի Հանրապետության օրենքով սահմանված հիմքերից որևէ մեկը:
(2-րդ կետը փոփ. 08.05.20 թիվ 73-Ն, 12.10.21 թիվ 153-Ն, խմբ. 15.11.22 թիվ 195-Ն)
3. Անկախ սույն Հավելվածի 1-ին կետի 18-րդ ենթակետով սահմանված փոխարկման կարգի՝ նախքան փոխառության գումարը (կամ դրա մի մասը) բանկի ընդհանուր կապիտալի հաշվարկում ընդգրկելը, փոխատուն (փոխկապակցված անձինք) պետք է ստանա (ստանան) Հայաստանի Հանրապետության կենտրոնական բանկի խորհրդի 2005 թվականի ապրիլի 12-ի թիվ 145-Ն որոշմամբ հաստատված «Բանկային գործունեության ոլորտում լիցենզավորման, գրանցման, համաձայնության և թույլտվության տրամադրման, մասնագիտական համապատասխանության ստուգման և որակավորման կարգերը» Կանոնակարգ 1-ի համաձայն բանկում նշանակալից մասնակցություն ձեռք բերելու վերաբերյալ Կենտրոնական բանկի նախնական համաձայնությունը (բացառությամբ սույն Հավելվածի 4-րդ կետով սահմանված դեպքի), եթե փոխառության ներգրավման արդյունքում հետևյալ ցուցանիշը (Ց) գերազանցում է 10, 20, 50 կամ 75 տոկոսը՝
ՍՓ + ԲԱՓՈԽ
Ց = ------------------- * 100%
ԲԱ + ՍՓ
որտեղ
ՍՓ - փոխատուի (փոխկապակցված անձանց) կողմից բանկին տրամադրված երկարաժամկետ ստորադաս փոխառության (փոխառությունների) մայր գումարն է,
ԲԱփոխ - փոխատուի (փոխկապակցված անձանց)՝ բանկի կանոնադրական կապիտալում ունեցած ձայնի իրավունք տվող մասնակցության (առկայության դեպքում) անվանական արժեքն է,
ԲԱ - բանկի` ձայնի իրավունք տվող բաժնետոմսերի անվանական արժեքն է: Ընդ որում, սույն կետով սահմանված ձայնի իրավունք տվող բաժնետոմսերի հաշվարկում չեն ընդգրկվում այն արտոնյալ բաժնետոմսերը, որոնք ձայնի իրավունք են տալիս միայն օրենքով սահմանված որոշ դեպքերում:
(3-րդ կետը խմբ. 20.12.19 թիվ 200-Ն, փոփ. 15.11.22 թիվ 195-Ն)
4. Կենտրոնական բանկի նախնական համաձայնությունը չի պահանջվում այն դեպքում, երբ ստորադաս փոխառության ներգրավման արդյունքում սույն Հավելվածի 3-րդ կետով հաշվարկվող ցուցանիշը գերազանցում է տվյալ կետով սահմանված որոշակի սահմանաչափը, սակայն ստորադաս փոխառության պայմանագրով սահմանվել է, որ
1) փոխատուն ձեռք չի բերելու տվյալ սահմանաչափը գերազանցող ձայնի իրավունք տվող բաժնետոմսեր,
2) փոխատուն գիտակցում է, որ փոխառության փոխարկման դեպքում, սահմանված սահմանաչափը գերազանցող մասն ուղղվում է բանկի էմիսիոն եկամտի կամ շահույթի հաշվին՝ սույն հավելվածի 1-ին կետի 17-րդ ենթակետի համաձայն ֆինանսական վիճակի վատթարացման հիմքերը վերացնելու (մեղմելու) համար անհրաժեշտ գումարը լրացնելու նպատակով:
(4-րդ կետը լրաց. 20.12.19 թիվ 200-Ն, խմբ. 15.11.22 թիվ 195-Ն)
5. Սույն հավելվածի 2-րդ կետով սահմանված դեպքում բանկի երկրորդ մակարդակի կապիտալի կազմում ներառված ստորադաս փոխառությունները սույն Կանոնակարգի 1-ին կետի 17-րդ ենթակետի համաձայն փոխարկվում են առաջին մակարդակի կապիտալի կազմում ներառվող բաժնետոմսերի կամ ուղղվում են էմիսիոն եկամտի կամ շահույթի հաշվին (սույն հավելվածի 4-րդ կետով սահմանված դեպքում) հետևյալ չափով.
(5-րդ կետը լրաց. 15.11.22 թիվ 195-Ն)
(հավելվածը լրաց. 24.06.14 թիվ 146-Ն, 11.10.19 թիվ 161-Ն, խմբ., լրաց. 20.12.19 թիվ 200-Ն, փոփ. 08.05.20 թիվ 73-Ն, 12.10.21 թիվ 153-Ն, փոփ., խմբ., լրաց. 15.11.22 թիվ 195-Ն)
Հավելված 11
ՀՀ կենտրոնական բանկի խորհրդի 2007 թվականի փետրվարի 9-ի
թիվ 39-Ն որոշմամբ հաստատված «Բանկերի գործունեության
կարգավորումը, բանկային գործունեության հիմնական
տնտեսական նորմատիվները» կանոնակարգ 2-ի
ՆԵՐԳՐԱՎՎԱԾ ՄԻՋՈՑՆԵՐԸ ՊԱՐՏԱԴԻՐ ՊԱՀՈՒՍՏԱՎՈՐՄԱՆ ՆՈՐՄԱՏԻՎԻ ՀԱՇՎԱՐԿՈՒՄ ՆՎԱԶԵՑՎԱԾ ԴՐՈՒՅՔԱՉԱՓՈՎ ԸՆԴԳՐԿԵԼՈՒ ՊԱՅՄԱՆՆԵՐ
(վերնագիրը խմբ. 24.02.15 թիվ 44-Ն)
1. Հայաստանի Հանրապետության տարածքում գործող բանկերի և օտարերկրյա բանկերի՝ Հայաստանի Հանրապետության տարածքում գործող մասնաճյուղերի կողմից թողարկված պարտատոմսերով (պարտքային արժեթղթերով) ներգրավված միջոցները պարտադիր պահուստավորման նորմատիվի հաշվարկում նվազեցված դրույքաչափով ընդգրկելու պայմաններ.
1.1 (կետն ուժը կորցրել է 16.04.21 թիվ 46-Ն)
1.2 Պարտատոմսերը թույլատրվել են Հայաստանի Հանրապետության կենտրոնական բանկի խորհրդի 2008 թվականի մարտի 11-ի թիվ 68-Ն որոշմամբ հաստատված «Ազդագիր և հաշվետու թողարկողների հաշվետվություններ» Կանոնակարգ 4/04-ի Հավելված 3-ով սահմանված Հայաստանի Հանրապետության տարածքից դուրս գործող կարգավորվող շուկաներում առևտրին, ընդ որում` թողարկվել են բանկի կողմից կամ թողարկման նպատակով ստեղծված կազմակերպության կողմից՝ այդ կազմակերպության կողմից բանկին տրամադրված փոխառության ապահովությամբ, պարտատոմսերի տեղաբաշխման պահից մինչև մարումն ընկած ժամկետը փոքր չէ 2 տարուց, և պարտատոմսերի գծով մայր գումարի մասնակի մարումներ չեն նախատեսվում։
(1.2-րդ կետը փոփ. 16.04.21 թիվ 46-Ն)
1.3 (կետն ուժը կորցրել է 16.04.21 թիվ 46-Ն)
1.4 Պարտատոմսերը թույլատրվել են Հայաստանի Հանրապետության տարածքում գործող կարգավորվող շուկայում առևտրին և բավարարում են հետևյալ բոլոր պայմաններին`
ա. տեղաբաշխման պահից մինչև մարում ընկած ժամկետը փոքր չէ 2 տարուց,
բ. պարտատոմսը զեղչատոկոսային է կամ արժեկտրոնային՝ ֆիքսված կամ լողացող տոկոսադրույքով, չի պարունակում մասնակի մարումներ կամ ժամկետից շուտ մարելու (հետ գնելու) որևէ հնարավորություն,
գ. պարտատոմսի մարման և մարման կատարման (վճարման) ամսաթվերը, ինչպես նաև արժեկտրոնի մարման և արժեկտրոնների վճարման ամսաթվերը (յուրաքանչյուր ժամկետի համար) տարբեր չեն,
դ. արժեկտրոնային տոկոսադրույքը հանդիսանում է անվանական տոկոսադրույք և բացասական մեծություն չէ,
ե. արժեկտրոնների վճարման ժամանակահատվածները կանոնավոր են, արժեկտրոնի վճարումն իրականացվում է տարեկան, կիսամյակային, եռամսյակային կամ ամսական պարբերականությամբ,
զ. օրերի հաշվարկման պայմանականությունը ընտրվում է հետևյալ տարբերակներից մեկով` փաստացի/365, փաստացի/փաստացի, փաստացի/360 կամ 30/360,
է. լողացող տոկոսադրույքով պարտատոմսի դեպքում հղման դրույքը բավարարում է հետևյալ պայմաններին` թափանցիկ, հրապարակված, անընդհատ, վստահելի և մատչելի շուկայի մասնակիցների համար,
ը. լողացող տոկոսադրույքով պարտատոմսի օրերի հաշվարկման պայմանականությունը և արժեկտրոնի հղման դրույքի օրերի հաշվարկման պայմանականությունը նույնն է,
թ. լողացող արժեկտրոնով պարտատոմսի արժեկտրոնի սահմանման նպատակով հղման դրույքին գումարվող մեծությունը՝ հղման դրույքի մարժան (Reset Margin), հանդիսանում է հաստատուն անվանական մեծություն:
(1.4-րդ կետը փոփ. 16.04.21 թիվ 46-Ն)
1.5 (կետն ուժը կորցրել է 16.04.21 թիվ 46-Ն)
2. Հայաստանի Հանրապետության տարածքում գործող բանկերի և օտարերկրյա բանկերի՝ Հայաստանի Հանրապետության տարածքում գործող մասնաճյուղերի կողմից «Ստանդարտ և Փուրզ կամ Ֆիթչ (փակագծում` Մուդիզ) վարկանշային գործակալությունների կողմից տրամադրված երկարաժամկետ միջոցների ներգրավման Ա-(Ա3) և բարձր վարկանիշ ունեցող բանկերից, բանկի կանոնադրական կապիտալում 50 % և ավելի մասնակցություն ունեցող մայր բանկից Հայաստանի Հանրապետության դրամով և առաջին խմբի արտարժույթներով, բանկի կանոնադրական կապիտալում 50 % և ավելի մասնակցություն ունեցող բանկային խմբի հոլդինգային կազմակերպությունից կամ խմբի անդամ բանկերից Հայաստանի Հանրապետության դրամով և առաջին խմբի արտարժույթներով, սույն կանոնակարգի Հավելված 3-ի Աղյուսակ 1-ի 6.6 կետով սահմանված կազմակերպություններից, Գերմանահայկական հիմնադրամից, Եվրասիական զարգացման Բանկից, Նավթ Արտահանող Երկրների Կազմակերպության Միջազգային Զարգացման հիմնադրամից (OPEC Fund for International Development), Հարավարևելյան Եվրոպայի Եվրոպական հիմնադրամից (European Fund for Southeast Europe), Արտասահմանյան Մասնավոր Ներդրումների Կորպորացիայից (Overseas Private Investment Corporation), Կանաչը աճի համար հիմնադրամից (Green for Growth Fund), Զարգացման Եվրոպական Ֆինանսական Ինստիտուտների Ասոցիացիայի (Association European Development Finance Institutions) անդամ ֆինանսական կազմակերպություններից, «Ռեսփոնսաբիլիթի Ինվեսթմենթս Էյ-ջի»-ից (responsAbility Investments AG), Միկրոֆինանսավորման ընդլայնման հաստատությունից (Microfinance Enհancement Facility S.A.), Տրիոդոս Բանկ Վի-Էն-ից (Triodos Bank VN), «Էյ-Սի-Թի-Այ-Էյ-Էմ»-ից (ACTIAM), «Բլյու Օրչարդ» Միկրոֆինանսավորման ֆոնդից (Blue Orchard Microfinance Fund), «Դուալ Ռիթըռն Ֆանդ Էս.Այ.Սի.Էյ.Վի»-ից (Dual Return Fund S.I.C.A.V.), «Ֆայնետիք Էս.Սի.Էյ. ՍԻՔԱՎ-ՍԻՖ, Սաբ-Ֆանդ-Ֆայնետիք – Մայքրոֆայնենս»-ից (Finethic S.C.A., SICAV-SIF, Sub-Fund – Finethic-Microfinance), «Սիմբիոտիքս Սիքավ (Լյուքս.)»-ից (Symbiotics Sicav (Lux.)), «ԻԷմԷֆ Մայքրոֆայնենս Ֆանդ ԷյՋիէմվիքէյ»-ից (EMF Microfinance Fund AGmvK), «Քեփիթալ Ջեսշըն (Capital Gestion)»-ից, «Դը Սմոլ Էնթեռփռայզ Իմփաքթ Ինվեստինգ Ֆանդ ԷՍ.ԷՅ, ՍԻՔԱՎ-ՍԻՖ»-ից (The Small Enterprise Impact Investing Fund (SEIIF) S.A., SICAV-SIF), «Միկրո-, Սմոլ Էնդ Մեդիում Էնթեռփռայզիս Բոնդս ԷսԷյ»-ից (Micro-, Small & Medium Enterprises Bonds SA), «Միգրացիայի միջազգային կազմակերպություն»-ից (International Organization For Migration), «Կառգիլ Ֆայնանշլ Սերվիսիս Ինթերնեյշնլ Ինկ»-ից (Cargill Financial Services International Inc), «Ֆրանկֆուրտ Սքուլ Ֆայնանշլ Սերվիսիս ՋիԷմԲիԷյջ»-ից (Frankfurt School Financial Services GmbH), «Աթլանթիկ Ֆորֆեյթինգ ԷյՋի»-ից (Atlantic Forfaiting AG), «Գլոբալ Քլայմիթ Փարթներշիփ Ֆանդ ԷՍ.ԷՅ, ՍԻՔԱՎ-ՍԻՖ»-ից (Global Climate Partnership fund S.A., SICAV-SIF), Առևտրի և զարգացման սևծովյան բանկից (Black Sea Trade and Development Bank), «ՋիԷլԷս Օլթերնաթիվ Ինվեսթմենթս - Միկրոֆայնանսֆոնդս»-ից (GLS Alternative Investments -Mikrofinanzfonds), «IIV Միկրոֆայնանսֆոնդս»-ից (IIV Mikrofinanzfonds), «ԻԷֆԷյ_ԷֆԱյԴիԷՖ/ԷսԷմԻ»-ից (EFA_FIDF/SME), «Սվիս Ինվեսթմենթ Ֆանդ ֆոռ Իմերջինգ Մարկետս»-ից (Swiss Investment Fund For Emerging Markets)», ««Տրիոդոս Բանկ ՅուՔեյ ԷլԹիԴի.»-ից (Triodos Bank UK Ltd.), «ԴիՔեյԷմ Էյ» (DKM A) և «ԴիՔեյԷմ Բի» (DKM B) ֆոնդերից, «ՍԻՎԻԷՍՕ ՍիՎիԲիԷյ-ԷՍՕ/ԷմԷՍԻ» (CVSO CVBA-SO/MSE) (նախկինում՝ «Ինկոֆին Սի Վի Բի Էյ» (Incofin CVBA)) ընկերությունից, «Տրիոդոս Քասթըդի Բի-Վի»-ից (Triodos Custody B.V.), «Տրիոդոս Միկրոֆայնընս Ֆանդ»-ից (Triodos Microfinance Fund)», «Ստարտս Փի-Էլ-Սի ԷսՓիՎի»-ից (STARTS plc SPV) ներգրավված միջոցները, ինչպես նաև Հայաստանի Հանրապետության կառավարության որոշման հիման վրա և (կամ) կառավարության երաշխիքով պետական հատուկ ծրագրերի ֆինանսավորման նպատակով ներգրավված միջոցները, որոնց համար առկա է պարտադիր պահուստավորման նորմատիվի հաշվարկում նվազեցված դրույքաչափով ընդգրկման վերաբերյալ Կենտրոնական բանկի համաձայնությունը, պարտադիր պահուստավորման նորմատիվի հաշվարկում ենթակա են նվազեցված դրույքաչափով ընդգրկման, եթե ներգրավված միջոցի ներգրավման պահից մինչև մարումն ընկած ժամկետը փոքր չէ 2 տարուց: Սույն կետով սահմանված բանկի` վարկանիշ չունենալու դեպքում հաշվի է առնվում տվյալ բանկի գործունեության նկատմամբ հսկողության հնարավորություն ունեցող անձի վարկանիշը:
(2-րդ կետը լրաց. 10.05.16 թիվ 79-Ն, 15.12.15 թիվ 279-Ն, 20.09.16 թիվ 146-Ն, 03.02.17 թիվ 31-Ն, փոփ. 14.11.17 թիվ 257-Ն, լրաց. 19.01.18 թիվ 2-Ն, լրաց., փոփ. 11.10.19 թիվ 161-Ն, լրաց. 27.03.20 թիվ 44-Ն, լրաց., փոփ. 10.04.20 թիվ 49-Ն)
3. (կետն ուժը կորցրել է 16.04.21 թիվ 46-Ն)(հավելվածը լրաց. 10.12.14 թիվ 339-Ն, խմբ. 24.02.15 թիվ 44-Ն, լրաց. 12.03.15 թիվ 50-Ն, 15.04.15 թիվ 81-Ն, 30.06.15 թիվ 152-Ն, խմբ. 10.11.15 թիվ 236-Ն, լրաց. 10.05.16 թիվ 79-Ն, 20.09.16 թիվ 146-Ն, 03.02.17 թիվ 31-Ն, փոփ. 14.11.17 թիվ 257-Ն, լրաց. 19.01.18 թիվ 2-Ն, լրաց., փոփ., խմբ. 11.10.19 թիվ 161-Ն, լրաց. 27.03.20 թիվ 44-Ն, լրաց., փոփ. 10.04.20 թիվ 49-Ն, փոփ. 16.04.21 թիվ 46-Ն)
|
ՀԱՎԵԼՎԱԾ 12 Հայաստանի Հանրապետության կենտրոնական բանկի խորհրդի 2007 թվականի փետրվարի 9-ի թիվ 39-Ն որոշմամբ հաստատված «Բանկերի գործունեության կարգավորումը, բանկային գործունեության hիմնական տնտեսական նորմատիվները» կանոնակարգ 2-ի |
ԻՐԱՑՎԵԼԻՈՒԹՅԱՆ ԾԱԾԿՈՒՅԹԻ ՆՈՐՄԱՏԻՎԻ (Ն23) ՀԱՇՎԱՐԿԻՆ ՄԱՍՆԱԿՑՈՂ ՏԱՐՐԵՐԸ ԵՎ ԴՐԱՆՑ ՀԱՇՎԱՐԿՄԱՆ ԿԱՐԳԸ
ԳԼՈՒԽ 1․ ԸՆԴՀԱՆՈՒՐ ԴՐՈՒՅԹՆԵՐ
1. Ն23 նորմատիվը հաշվարկվում է շաբաթական կտրվածքով՝ յուրաքանչյուր շաբաթվա կիրակի օրվա դրությամբ (այսուհետ՝ հաշվետու ժամանակահատվածի առաջին օր)՝ տվյալ օրվան հաջորդող 30 օրացուցային օրվա համար:
(1-ին կետը խմբ. 12.10.21 թիվ 153-Ն)
2. Ն23 նորմատիվը հաշվարկելիս անհրաժեշտ է բացառել կրկնակի հաշվարկը: Այն դեպքում, երբ ակտիվը ներառված է բանկի բարձր իրացվելի ակտիվների հաշվարկում, ապա այդ ակտիվի գծով առաջիկա 30 օրվա ընթացքում ակնկալվող դրամական մուտքերը չեն կարող միաժամանակ հաշվարկվել բանկի դրամական միջոցների ներհոսքի մեջ:
3. Ն23 նորմատիվը հաշվարկելիս վարկանշային գործակալության կողմից տրված վարկանիշներն օգտագործելու դեպքում անհրաժեշտ է առաջնորդվել սույն Կանոնակարգի հավելված 3-ի 4-րդ գլխով:
ԳԼՈՒԽ 2․ ԻՐԱՑՎԵԼԻՈՒԹՅԱՆ ԾԱԾԿՈՒՅԹԻ ՆՈՐՄԱՏԻՎԻ (Ն23) ՀԱՇՎԱՐԿԻՆ ՄԱՍՆԱԿՑՈՂ ՏԱՐՐԵՐԻ ՀԱՇՎԱՐԿԸ
4. Ն23 նորմատիվի հաշվարկին մասնակցող բանկի բարձր իրացվելի ակտիվները (այսուհետև նաև` ԲԻԱ) բաժանվում են երկու մակարդակի և հաշվարկվում են՝
ԲԻԱ = ԲԻԱ1 +ԲԻԱ2ա + ԲԻԱ2բ - 15% ՍՃ – 40% ՍՃ բանաձևով, որտեղ`
ԲԻԱ1- սույն հավելվածով սահմանված առաջին մակարդակի բարձր իրացվելի ակտիվների հանրագումարն է` համապատասխան կշիռներով կշռվելուց հետո,
ԲԻԱ2ա - սույն հավելվածով սահմանված երկրորդ (ա) մակարդակի բարձր իրացվելի ակտիվների հանրագումարն է` համապատասխան կշիռներով կշռվելուց հետո,
ԲԻԱ2բ - սույն հավելվածով սահմանված երկրորդ (բ) մակարդակի բարձր իրացվելի ակտիվների հանրագումարն է` համապատասխան կշիռներով կշռվելուց հետո:
15% ՍՃ - երկրորդ (բ) մակարդակի բարձր իրացվելի ակտիվների գծով սահմանաչափի ճշգրտումն է, որը հաշվարկվում է`
15% ՍՃ = Առավելագույնը (ՃշԲԻԱ2բ– 15/85 * (Ճշ ԲԻԱ1 + ՃշԲԻԱ2ա), ՃշԲԻԱ2բ– 15/60 *Ճշ ԲԻԱ1, 0) բանաձևով,
40% ՍՃ - երկրորդ մակարդակի բարձր իրացվելի ակտիվների գծով սահմանաչափի ճշգրտումն է, որը հաշվարկվում է`
40% ՍՃ = Առավելագույնը ((ՃշԲԻԱ2ա+ ՃշԲԻԱ2բ – 15% ՍՃ) – 2/3 * Ճշ ԲԻԱ1, 0) բանաձևով, որտեղ`
ՃշԲԻԱ1 - սույն հավելվածով սահմանված այն բոլոր առաջին մակարդակի բարձր իրացվելի ակտիվների գումարն է՝ համապատասխան կշիռներով կշռելուց հետո, որը բանկը կունենա իր ռեպո/հակադարձ ռեպո համաձայնագրերի և արժեթղթերի փոխառության պայմանագրերի` առաջիկա 30 օրվա ընթացքում մարման արդյունքում, որի դեպքում վերջիններիս հիմքում ընկած բարձր իրացվելի ակտիվները փոխանակվում են առաջին մակարդակի ակտիվների (այդ թվում` կանխիկ դրամական միջոցների) հետ,
ՃշԲԻԱ2ա – սույն հավելվածով սահմանված այն բոլոր երկրորդ (ա) մակարդակի բարձր իրացվելի ակտիվների գումարն է՝ համապատասխան կշիռներով կշռելուց հետո, որը բանկը կունենա ռեպո/հակադարձ ռեպո համաձայնագրերի և արժեթղթերի փոխառության պայմանագրերի` առաջիկա 30 օրվա ընթացքում մարման արդյունքում, որի դեպքում վերջիններիս հիմքում ընկած բարձր իրացվելի ակտիվները փոխանակվում են երկրորդ (ա) մակարդակի ակտիվների հետ:
ՃշԲԻԱ2բ - սույն հավելվածով սահմանված այն բոլոր երկրորդ (բ) մակարդակի բարձր իրացվելի ակտիվների գումարն է՝ համապատասխան կշիռներով կշռելուց հետո, որը բանկը կունենա ռեպո/հակադարձ ռեպո համաձայնագրերի և արժեթղթերի փոխառության պայմանագրերի` առաջիկա 30 օրվա ընթացքում մարման արդյունքում, որի դեպքում վերջիններիս հիմքում ընկած բարձր իրացվելի ակտիվները փոխանակվում են երկրորդ (բ) մակարդակի ակտիվների հետ:
5. Այն դեպքում, երբ մինչև 30 օր մարման ժամկետ ունեցող հակադարձ ռեպո համաձայնագրերով կամ արժեթղթերի փոխառության պայմանագրերով ներգրավված արժեթուղթը օգտագործվում է 30 օրից ավել ժամկետայնությամբ գործարքներում (ներառյալ՝ արժեթղթի վաճառքը), ապա հակադարձ ռեպո համաձայնագրերը կամ արժեթղթերի փոխառության պայմանագրերը չեն ներառվում սույն հավելվածի 4-րդ կետով սահմանված ճշգրտված ԲԻԱ-ի և սույն հավելվածի 41-րդ կետի Աղյուսակ 5-ի 1-4-րդ կետերով սահմանված ներհոսքի հաշվարկում:
6. Բանկի զուտ դրամական արտահոսքը առաջիկա 30 օրվա ընթացքում բոլոր ակնկալվող դրամական արտահոսքերի (այսուհետ նաև` ԱԴԱ) և ներհոսքերի (այսուհետ նաև` ԱԴՆ) հանրագումարների տարբերությունն է, բայց ոչ պակաս, քան դրամական արտահոսքերի հանրագումարի 25%-ը, մասնավորապես`
ԶԴԱ = ԱԴԱ – նվազագույնը (ԱԴՆ; 75%* ԱԴԱ):
7. Բանկի բոլոր ակնկալվող դրամական արտահոսքերը հաշվարկվում են `
ԱԴԱ= ԴԱ1*ԱԿ1 + ԴԱ2*ԱԿ2 +….+ԴԱn*ԱԿn բանաձևով, որտեղ`
ԴԱn - առաջիկա 30 օրվա ընթացքում n-րդ դրամական արտահոսք առաջացնող հաշվեկշռային կամ արտահաշվեկշռային պարտավորության գումարն է,
ԱԿn - առաջիկա 30 օրվա ընթացքում n-րդ դրամական արտահոսք առաջացնող հաշվեկշռային կամ արտահաշվեկշռային պարտավորության գծով սույն հավելվածով սահմանված արտահոսքի կշիռն է` արտահայտված տոկոսով:
8. Ն23 նորմատիվի հաշվարկին մասնակցող բանկի դրամական միջոցների առաջիկա 30 օրվա ընթացքում ակնկալվող զուտ արտահոսքը հաշվարկելիս բանկի կողմից արտահոսքի հնարավոր գումարների մասին որևէ այլ ենթադրություն (կանխատեսում) չի իրականացվում, քան պահանջվում է սույն հավելվածով: Օրինակ՝ բանկից չի պահանջվում կանխատեսել առաջիկա 30 օրվա ընթացքում նոր վարկերի տրամադրման հետևանքով դրամական միջոցների արտահոսքը կամ դեռևս չկնքված, սակայն սպասվող պայմանագրերից բխող դրամական միջոցների ներհոսքը, ինչպես նաև բանկի ներքին մոդելների հիման վրա դրամական միջոցների արտահոսքերի կամ ներհոսքերի հաշվարկման արդյունքները:
9. Բանկի դրամական միջոցների զուտ արտահոսքը հաշվարկելիս միջոցները հաշվարկվում են պայմանագրի համաձայն 30-օրյա ժամանակահատվածում ակնկալվող հոսքերի հանրագումարի չափով, եթե այլ բան սահմանված չէ սույն հավելվածով:
10. Բանկի բոլոր ակնկալվող դրամական ներհոսքերը հաշվարկվում են`
ԱԴՆ= ԴՆ1*ՆԿ1 + ԴՆ2*ՆԿ2 +….+ԴՆn*ՆԿn բանաձևով, որտեղ`
ԴՆn - առաջիկա 30 օրվա ընթացքում n-րդ դրամական ներհոսք առաջացնող հաշվեկշռային և հետհաշվեկշռային ակտիվների գումարն է,
ՆԿn - առաջիկա 30 օրվա ընթացքում n-րդ դրամական ներհոսք առաջացնող հաշվեկշռային և հետհաշվեկշռային ակտիվների գծով սույն հավելվածով սահմանված ներհոսքի կշիռն է` արտահայտված տոկոսով:
ԳԼՈՒԽ 3․ ԲԱՆԿԻ ԲԱՐՁՐ ԻՐԱՑՎԵԼԻ ԱԿՏԻՎՆԵՐԸ ԵՎ ԴՐԱՆՑ ԿՇԻՌՆԵՐԸ
11. Բանկի բարձր իրացվելի ակտիվների առաջին մակարդակի կազմում ընդգրկվում են հետևյալ ակտիվները` սույն կետի Աղյուսակ 1-ով սահմանված համապատասխան կշիռներով։
Աղյուսակ 1
|
Առաջին մակարդակի բարձր իրացվելի ակտիվներ |
Կշիռը |
|
1. Կանխիկ դրամական միջոցները (ներառյալ՝ ճանապարհին գտնվող կանխիկ), կանխիկին հավասարեցված և վճարային քարտում առկա դրամական միջոցները (բացառությամբ՝ ճանապարհին գտնվող անկանխիկ դրամական միջոցների) |
100% |
|
2. Հայաստանի Հանրապետության կենտրոնական բանկում թղթակցային հաշվի միջոցները, ներդրված ավանդները, բանկի կանոնադրական կապիտալի համալրման համար բացված հաշվի մնացորդները և Հայաստանի Հանրապետության կենտրոնական բանկի նկատմամբ այլ պահանջներ (բացառությամբ՝ Հայաստանի Հանրապետության կենտրոնական բանկում սառեցված հաշիվների) |
100% |
|
3. Սույն Կանոնակարգի հավելված 3-ի Աղյուսակ 1-ի 6.6-րդ կետով սահմանված կազմակերպությունների և միջազգային զարգացման բանկերի (multilateral development banks) կողմից թողարկված կամ ոչ ֆինանսական կազմակերպությունների կողմից թողարկված և սույն Կանոնակարգի հավելված 3-ի աղյուսակ 1-ի 6.6-րդ կետով սահմանված կազմակերպությունների և միջազգային զարգացման բանկերի (multilateral development banks) կողմից ամբողջությամբ երաշխավորված ազատ շրջանառելի արժեթղթերը |
100% |
|
4. Ստանդարտ և Փուրզ կամ Ֆիթչ (կամ Մուդիզ) վարկանիշային կազմակերպությունների կողմից տրամադրված ԱԱ-(կամ Աա3) և բարձր վարկանիշ ունեցող պետությունների (կառավարությունների) և կենտրոնական բանկերի կողմից թողարկված կամ ոչ ֆինանսական կազմակերպությունների կողմից թողարկված և Ստանդարտ և Փուրզ կամ Ֆիթչ (կամ Մուդիզ) վարկանիշային կազմակերպությունների կողմից տրամադրված ԱԱ-(կամ Աա3) և բարձր վարկանիշ ունեցող պետությունների (կառավարությունների) և կենտրոնական բանկերի կողմից ամբողջությամբ երաշխավորված պարտատոմսերը |
100% |
|
5. Հայաստանի Հանրապետության կառավարության և Հայաստանի Հանրապետության կենտրոնական բանկի կողմից թողարկված ՀՀ դրամով պարտքային արժեթղթերը |
100% |
|
6. Հայաստանի Հանրապետության կառավարության և Հայաստանի Հանրապետության կենտրոնական բանկի կողմից թողարկված արտարժույթով պարտքային արժեթղթեր՝ առավելագույնը տվյալ արտարժույթի (կամ առաջին խմբում ներառվող նշանակալի արժույթների խմբի) գծով առկա զուտ արտահոսքի չափով |
100% |
12. Բանկի բարձր իրացվելի ակտիվների երկրորդ (ա) մակարդակի կազմում ընդգրկվում են հետևյալ ակտիվները` սույն կետի Աղյուսակ 2-ով սահմանված համապատասխան կշիռներով։
Աղյուսակ 2
|
Երկրորդ (ա) մակարդակի բարձր իրացվելի ակտիվներ |
Կշիռը |
|
1. Ստանդարտ և Փուրզ կամ Ֆիթչ (կամ Մուդիզ) վարկանիշային կազմակերպությունների կողմից տրամադրված Ա-(կամ Ա3)-ից Ա+(կամ Ա1) վարկանիշ ունեցող պետությունների (կառավարությունների) և կենտրոնական բանկերի, Ստանդարտ և Փուրզ կամ Ֆիթչ (կամ Մուդիզ) վարկանիշային կազմակերպությունների կողմից տրամադրված ԱԱ-(կամ Աա3)-ից ԱԱԱ (կամ Աաա) վարկանիշ ունեցող օտարերկրյա տեղական կառավարման մարմինների կողմից թողարկված, կամ ոչ ֆինանսական կազմակերպությունների կողմից թողարկված և Ստանդարտ և Փուրզ կամ Ֆիթչ (կամ Մուդիզ) վարկանիշային կազմակերպությունների կողմից տրամադրված Ա-(կամ Ա3)-ից Ա+(կամ Ա1) վարկանիշ ունեցող պետությունների (կառավարությունների) և կենտրոնական բանկերի կամ ԱԱ-(կամ Աա3) և բարձր վարկանիշ ունեցող օտարերկրյա տեղական կառավարման մարմինների կողմից ամբողջությամբ երաշխավորված ազատ շրջանառելի արժեթղթերը, որոնք շուկայական սթրեսային իրավիճակում հանդիսանում են իրացվելիության հուսալի աղբյուր, մասնավորապես՝ 30-օրյա սթրեսային իրավիճակներում արժեթղթի գինը առավելագույնը նվազում է 10%-ով կամ 30-օրյա իրացվելիության սթրեսի ընթացքում արժեթղթի սահմանաչափի ճշգրտումը (haircut) չի գերազանցում 10%-ը |
85% |
|
2. Ստանդարտ և Փուրզ կամ Ֆիթչ (կամ Մուդիզ) վարկանիշային կազմակերպությունների կողմից տրամադրված ԱԱ-(կամ Աա3) և բարձր վարկանիշ ունեցող պարտքային արժեթղթեր (բացառությամբ՝ ստորադաս պարտավորությունների), որոնք միաժամանակ բավարարում են հետևյալ պայմաններին. 1) թողարկված չեն ֆինանսական կազմակերպության կամ ֆինանսական կազմակերպության հետ փոխկապակցված կազմակերպության կողմից, 2) ցուցակված են Հայաստանի Հանրապետության տարածքում գործող կարգավորվող շուկայում կամ Հայաստանի Հանրապետության կենտրոնական բանկի խորհրդի 2008 թվականի մարտի 11-ի թիվ 68-Ն որոշմամբ հաստատված «Ազդագիր և հաշվետու թողարկողների հաշվետվություններ» Կանոնակարգ 4/04-ի Հավելված 3-ով սահմանված Հայաստանի Հանրապետության տարածքից դուրս գործող կարգավորվող շուկաներում, 3) շուկայական սթրեսային իրավիճակում հանդիսանում են իրացվելիության հուսալի աղբյուր, մասնավորապես, 30-օրյա սթրեսային իրավիճակներում արժեթղթի գինը առավելագույնը նվազում է 10%-ով կամ 30-օրյա իրացվելիության սթրեսի ընթացքում արժեթղթի սահմանաչափի ճշգրտումը (haircut) չի գերազանցում 10%-ը |
85% |
|
3. Ստանդարտ և Փուրզ կամ Ֆիթչ (կամ Մուդիզ) վարկանիշային կազմակերպությունների կողմից տրամադրված ԱԱ-(կամ Աա3) և բարձր վարկանիշ ունեցող ապահովված պարտատոմսեր, որոնք միաժամանակ բավարարում են հետևյալ պահանջներին. 1) թողարկված չեն տվյալ բանկի կամ տվյալ բանկի հետ փոխկապակցված կազմակերպության կողմից, 2) ցուցակված են Հայաստանի Հանրապետության տարածքում գործող կարգավորվող շուկայում կամ Հայաստանի Հանրապետության կենտրոնական բանկի խորհրդի 2008 թվականի մարտի 11-ի թիվ 68-Ն որոշմամբ հաստատված «Ազդագիր և հաշվետու թողարկողների հաշվետվություններ» Կանոնակարգ 4/04-ի Հավելված 3-ով սահմանված Հայաստանի Հանրապետության տարածքից դուրս գործող կարգավորվող շուկաներում, 3) շուկայական սթրեսային իրավիճակում հանդիսանում են իրացվելիության հուսալի աղբյուր, մասնավորապես՝ 30-օրյա սթրեսային իրավիճակներում արժեթղթի գինը առավելագույնը նվազում է 10%-ով կամ 30-օրյա իրացվելիության սթրեսի ընթացքում արժեթղթի սահմանաչափի ճշգրտումը (haircut) չի գերազանցում 10%-ը |
85% |
13. Բանկի բարձր իրացվելի ակտիվների երկրորդ (բ) մակարդակի կազմում ընդգրկվում են հետևյալ ակտիվները` սույն կետի Աղյուսակ 3-ով սահմանված համապատասխան կշիռներով։
Աղյուսակ 3
|
Երկրորդ (բ) մակարդակի բարձր իրացվելի ակտիվներ |
Կշիռը |
|
1. Հայաստանի Հանրապետության կենտրոնական բանկի կողմից լիցենզավորված վերաֆինանսավորում իրականացնող վարկային կազմակերպությունների կողմից թողարկված ապահովված բնակարանային հիփոթեքային պարտատոմսեր |
75% |
|
2. Ստանդարտ և Փուրզ կամ Ֆիթչ (կամ Մուդիզ) վարկանիշային կազմակերպությունների կողմից ԲԲԲ-(կամ Բաա3)-ից Ա+(կամ Ա1) վարկանիշ ունեցող պարտքային արժեթղթերը, որոնք միաժամանակ բավարարում են հետևյալ պայմաններին. 1) թողարկված չեն ֆինանսական կազմակերպության կամ ֆինանսական կազմակերպության հետ փոխկապակցված կազմակերպության կողմից, 2) ցուցակված են Հայաստանի Հանրապետության տարածքում գործող կարգավորվող շուկայում կամ Հայաստանի Հանրապետության կենտրոնական բանկի խորհրդի 2008 թվականի մարտի 11-ի թիվ 68-Ն որոշմամբ հաստատված «Ազդագիր և հաշվետու թողարկողների հաշվետվություններ» Կանոնակարգ 4/04-ի Հավելված 3-ով սահմանված Հայաստանի Հանրապետության տարածքից դուրս գործող կարգավորվող շուկաներում, 3) շուկայական սթրեսային իրավիճակում հանդիսանում են իրացվելիության հուսալի աղբյուր, մասնավորապես՝ 30-օրյա սթրեսային իրավիճակներում արժեթղթի գինը առավելագույնը նվազում է 20%-ով կամ 30-օրյա իրացվելիության սթրեսի ընթացքում արժեթղթի սահմանաչափի ճշգրտումը (haircut) չի գերազանցում 20%-ը |
50% |
|
3. Հայաստանի Հանրապետությանը վարկանշային գործակալությունների (Ստանդարտ և Փուրզ կամ Ֆիթչ կամ Մուդիզ) կողմից տրված վարկանիշին համապատասխան կամ վարկանիշից բարձր վարկանիշ կամ մեկ վարկանիշ ցածր ստացած ՀՀ ռեզիդենտ ոչ ֆինանսական կազմակերպությունների կողմից թողարկված արժեթղթեր, որոնք ցուցակված են «Հայաստանի ֆոնդային բորսա» ԲԲԸ հիմնական ցուցակում |
50% |
|
4. Կանոնադրական կապիտալում մասնակցությունը հավաստող արժեթղթեր, որոնք միաժամանակ բավարարում են հետևյալ պահանջներին. 1) թողարկված չեն ֆինանսական կազմակերպության կամ ֆինանսական կազմակերպության հետ փոխկապակցված կազմակերպության կողմից, 2) ցուցակված են Հայաստանի Հանրապետության տարածքում գործող կարգավորվող շուկայում կամ Հայաստանի Հանրապետության կենտրոնական բանկի խորհրդի 2008 թվականի մարտի 11-ի թիվ 68-Ն որոշմամբ հաստատված «Ազդագիր և հաշվետու թողարկողների հաշվետվություններ» Կանոնակարգ 4/04-ի Հավելված 3-ով սահմանված Հայաստանի Հանրապետության տարածքից դուրս գործող կարգավորվող շուկաներում, 3) շուկայական սթրեսային իրավիճակում հանդիսանում են իրացվելիության հուսալի աղբյուր, մասնավորապես՝ 30-օրյա սթրեսային իրավիճակներում արժեթղթի գինը առավելագույնը նվազում է 40%-ով կամ 30-օրյա իրացվելիության սթրեսի ընթացքում արժեթղթի սահմանաչափի ճշգրտումը (haircut) չի գերազանցում 40%-ը |
50% |
14. Ն23 նորմատիվի հաշվարկին մասնակցող բարձր իրացվելի ակտիվները պետք է միաժամանակ բավարարեն հետևյալ գործառնական պահանջներին.
1) չկա իրավական, պայմանագրային կամ կարգավորման դաշտում առկա որևէ պահանջ, որը սահմանափակում է կամ կարող է սահմանափակել ակտիվի տնօրինումը,
2) բանկը ռեպո գործարքի կամ վաճառքի միջոցով կարող է ակտիվները վերածել կանխիկ դրամական միջոցների 30-օրյա սթրեսային ժամանակահատվածում՝ բանկի ընդհանուր ակտիվներից ստացվող ներհոսքի և արտահոսքի միջև ճեղքվածքը վերացնելու նպատակով,
3) դասակարգված են ստանդարտ դասով:
15. Բարձր իրացվելի ակտիվներում ներառվում են նաև Կենտրոնական բանկում տեղաբաշխվող պարտադիր պահուստների մեծությունը:
16. Բարձր իրացվելի ակտիվներում ներառվում են նաև ածանցյալ գործարքների գծով որպես գրավ ստացված ակտիվները, որոնք պայմանագրով սահմանված կարգով կարող են վերագրավադրվել բանկի կողմից:
17. Բարձր իրացվելի ակտիվներում չեն ներառվում վերագրավադրված (որպես գրավ ստացված ակտիվի գրավադրում) այն ակտիվները, որոնց դեպքում գրավատուն ունի պայմանագրային իրավունք պայմանագրի գործողության ընթացքում հետ պահանջելու գրավադրված ակտիվները:
18. Ն23 նորմատիվի հաշվարկին չեն մասնակցում բարձր իրացվելի այն ակտիվները, որոնք հաշվետու ժամանակահատվածի առաջին օրվա վերջի դրությամբ գրավադրված են բանկի կողմից ի ապահովումն բանկի ունեցած դրամական կամ այլ պարտավորությունների (այդ թվում` ռեպո համաձայնագրերով վաճառված (արժեթղթերի փոխառության պայմանագրով տրամադրված) արժեթղթերը), կամ որոնց գծով բանկի տիրապետման, օգտագործման և տնօրինման իրավունքը որևէ կերպ սահմանափակված է` իրավական (այդ թվում` Հայաստանի Հանրապետության կենտրոնական բանկի հանձնարարականների հիման վրա), պայմանագրային կամ այլ հիմքերով:
19. Բարձր իրացվելի ակտիվների մեջ ներառվում են հակադարձ ռեպո համաձայնագրով (արժեթղթերի փոխառության պայմանագրով) ստացված բարձր իրացվելի ակտիվները, եթե դրանք չեն վաճառվել կամ գրավադրվել հաշվետու բանկի կողմից, և որոնց գծով բանկի տիրապետման, օգտագործման և տնօրինման իրավունքը որևէ կերպ սահմանափակված չէ:
20. Բարձր իրացվելի ակտիվների հաշվարկում սույն հավելվածով սահմանված ակտիվներն ընդգրկվում են հաշվետու ժամանակահատվածի առաջին օրվա դրությամբ ակտիվի համախառն հաշվեկշռային արժեքով` բացառությամբ պարտատոմսերի, որոնք ընդգրկվում են հաշվետու ժամանակահատվածի առաջին օրվա դրությամբ ակտիվի ընթացիկ (շուկայական) արժեքով:
(20-րդ կետը լրաց. 12.10.21 թիվ 153-Ն)
21. Բարձր իրացվելի ակտիվներում ընդգրկվող պարտատոմսերն ընդգրկվում են անկախ այդ պարտատոմսերի` մինչև մարմանը մնացած ժամկետից:
22. Սույն կանոնակարգի իմաստով` ակտիվի կամ պարտավորության համախառն հաշվեկշռային արժեք է համարվում վերջինիս գծով հաշվեկշռում գրանցված գումարը, ներառյալ` տոկոսները, տույժերը և տուգանքները, առանց նրա գծով ձևավորված պահուստի, կուտակված ամորտիզացիայի կամ արժեզրկման նվազեցման, եթե այդպիսիք կան:
23. Բարձր իրացվելի ակտիվները համապատասխան կշիռներով կշռվելուց հետո նվազեցվում են ՀՀ կենտրոնական բանկի խորհրդի 2011 թվականի նոյեմբերի 30-ի թիվ 322-Ն որոշմամբ հաստատված «ՀՀ տարածքում գործող բանկերի, վարկային կազմակերպությունների, ներդրումային ընկերությունների, ներդրումային ֆոնդերի և ներդրումային ֆոնդերի կառավարիչների հաշվապահական հաշվառման հաշվային պլանի» հետևյալ ծախսային հոդվածներով ձևակերպված կամ ձևակերպման ենթակա և առաջիկա 30 օրվա ընթացքում վճարվելիք գումարների չափով.
1) «Տոկոսային ծախսեր վարձակալության գծով պարտավորության դիմաց»,
2) «Միջնորդավճարներ, տույժեր ու տուգանքներ և այլ գործառնական ծախսեր» (բացառությամբ՝ միջնորդավճարների, տույժերի ու տուգանքների, տրված երաշխիքների և երաշխավորությունների գծով ծախսերի, ստացված ակրեդիտիվների դիմաց ծախսերի),
3) «Վարչական ծախսեր» (բացառությամբ՝ հիմնական միջոցների մաշվածության գծով ծախսերի և ոչ նյութական ակտիվների ամորտիզացիայի գծով ծախսերի),
4) «Ապահովագրության գծով ծախսեր»,
5) «Ֆինանսական հաշտարարի գրասենյակի գծով ծախսեր»:
(23-րդ կետը խմբ. 12.10.21 թիվ 153-Ն)
23.1. Բարձր իրացվելի ակտիվների հաշվարկում ընդգրկվող արժեթղթերի 30-օրյա սթրեսային իրավիճակում գնի նվազման կամ արժեթղթերի սահմանաչափի ճշգրտման գնահատումն իրականացվում է առնվազն տարեկան կտրվածքով:
(23.1-ին կետը լրաց. 12.10.21 թիվ 153-Ն)
ԳԼՈՒԽ 4. ԲԱՆԿԻ ԴՐԱՄԱԿԱՆ ՄԻՋՈՑՆԵՐԻ ԱՐՏԱՀՈՍՔԻ ՀԱՇՎԱՐԿԻՆ ՄԱՍՆԱԿՑՈՂ ՏԱՐՐԵՐԸ ԵՎ ԴՐԱՆՑ ԿՇԻՌՆԵՐԸ
24. Բանկի դրամական միջոցների արտահոսքի հաշվարկին մասնակցում են սույն հավելվածի 25-րդ կետի Աղյուսակ 4-ով սահմանված այն հաշվեկշռային և հետհաշվեկշռային պարտավորությունները.
1) որոնց մարման (դրանց գծով իրականացվելիք մարումների) ժամկետը չի գերազանցում 30 օրը (ներառյալ՝ ցպահանջ և անժամկետ միջոցները),
2) որոնց մարմանը մնացած ժամկետը գերազանցում է 30 օրը, սակայն միջոցների ներգրավման պայմանագրում առկա է որևէ պայման, որը բանկի համար վաղաժամկետ մարում իրականացնելու պարտավորություն է առաջացնում, բացառությամբ.
ա․ եթե պայմանագրում հստակ ամրագրված են հետևյալ դրույթները միաժամանակ.
ա1․ վաղաժամկետ մարում կարող է իրականացվել միայն միջոցներ տրամադրող կողմի՝ վաղաժամկետ մարում իրականացնելու պահանջ ներկայացնելու դեպքում,
ա2․ վաղաժամկետ մարում իրականացնելու համար սահմանված է պահանջ ներկայացնելու պահից առնվազն 30-օրյա ժամկետ,
և
այդ միջոցների գծով հաշվետու ժամանակահատվածի առաջին օրվա դրությամբ բանկը վաղաժամկետ մարման վերաբերյալ պահանջ չի ստացել,
բ․ միջազգային ֆինանսական կազմակերպություններից և ֆոնդերից ներգրավված և սույն ենթակետի «ա» պարբերությամբ սահմանված պայմաններին չբավարարող միջոցների, եթե բանկի գնահատմամբ 30-օրյա սթրեսի ժամանակ ներգրավման պայմանագրով սահմանված վաղաժամկետ մարում իրականացնելու պարտավորություն առաջացնող պայմանների ի հայտ գալու դեպքում հավանական չէ վաղաժամկետ մարման պահանջի ներկայացումը: Սույն պարբերությամբ սահմանված պահանջը կիրառվում է այն դեպքում, եթե միջոցներ տրամադրող կողմն այնպիսի ֆոնդ է կամ ՀՀ կենտրոնական բանկի խորհրդի 2008 թվականի փետրվարի 26-ի թիվ 50-Ն որոշմամբ հաստատված Կանոնակարգ 3-ի Ձև թիվ 18.2 հաշվետվությամբ սահմանված չափանիշների համաձայն այնպիսի միջազգային կազմակերպություն, որոնք վարում են սոցիալական ուղղվածության նպատակային վարկավորման քաղաքականություն, ներդրումներ են կատարում զարգացող երկրներում աղքատության մակարդակի նվազմանը, կրթության որակի բարելավմանը կամ բնության պահպանությանն ուղղված ծրագրերում, ոլորտներում կամ կազմակերպություններում: Սույն պարբերությամբ սահմանված հավանականությունը բանկը գնահատում է առնվազն հաշվի առնելով միջոցներ տրամադրող կողմի հետ հաստատված կայուն գործարար հարաբերությունները և նախկինում ներգրավված միջոցների գծով վերջինիս պահանջով երբևէ իրականացրած վաղաժամկետ մարումների հանգամանքը,
3) որոնց մարման ժամկետը գերազանցում է 30 օրը, և միջոցների ներգրավման պայմանագրում առկա չէ որևէ պայման, որը միջոցները տրամադրող կողմին իրավունք է տալիս ներգրավված միջոցի վաղաժամկետ մարման պահանջ ներկայացնել կամ միջոցներ ներգրավող կողմի համար պարտավորություն է առաջացնում վաղաժամկետ մարում իրականացնել, սակայն այդ կամ նմանատիպ այլ միջոցների գծով պարբերաբար (երկկողմանի համաձայնությամբ) վաղաժամկետ մարումներ են իրականացվել կամ ձևավորվել են ակնկալիքներ, որ կիրականացվեն վաղաժամկետ մարումներ։
(24-րդ կետը խմբ. 12.10.21 թիվ 153-Ն)
24.1.Սույն հավելվածի 24-րդ կետի 2-րդ ենթակետի «բ» պարբերությամբ նկարագրված և բանկի գնահատմամբ Ն23 նորմատիվի դրամական արտահոսքի հաշվարկում չընդգրկված պարտավորությունն ընդգրկվում է արտահոսքի հաշվարկին մասնակցող տարրերի կազմում, եթե ՀՀ կենտրոնական բանկի Ֆինանսական վերահսկողության համար պատասխանատու ստորաբաժանման հիմնավոր կարծիքով, անկախ սույն հավելվածի 24-րդ կետի 2-րդ ենթակետի «բ» պարբերությամբ սահմանված չափանիշներից, սթրեսի ժամանակ տվյալ պարտավորության գծով մարման պահանջի ներկայացումը գնահատվում է հավանական:
(24.1-ին կետը լրաց. 12.10.21 թիվ 153-Ն)
25. Բանկի դրամական միջոցների արտահոսքի հաշվարկին մասնակցում են հաշվեկշռային և հետհաշվեկշռային պարտավորությունները` համաձայն սույն կետի Աղյուսակ 4-ով սահմանված արտահոսքի կշիռների։
Աղյուսակ 4
|
Դրամական արտահոսք առաջացնող հաշվեկշռային կամ հետհաշվեկշռային պարտավորություններ |
Արտահոսքի կշիռ |
|
1. Բանկի հետ չկապված ֆիզիկական անձանցից բանկային ավանդներով, բանկային հաշիվներով, փոխառություններով և այլ գործիքների միջոցով ներգրավված միջոցներ (բացառությամբ ռեպո համաձայնագրերով և արժեթղթերի փոխառության պայմանագրերի գծով բանկի պարտավորությունների) |
10% |
|
2. Բանկի հետ չկապված, Հայաստանի Հանրապետության կենտրոնական բանկի խորհրդի 2014 թվականի դեկտեմբերի 30-ի թիվ 377-Ն որոշմամբ հաստատված «Բանկերից համապարփակ տվյալների ստացման կարգի» հավելված 5-ի համաձայն՝ գերփոքր, փոքր և միջին դասակարգված սուբյեկտներից, ինչպես նաև բանկի հետ չկապված անհատ ձեռնարկատերերից բանկային ավանդներով, բանկային հաշիվներով, փոխառություններով և այլ գործիքների միջոցով ներգրավված միջոցներ (բացառությամբ ռեպո համաձայնագրերով և արժեթղթերի փոխառության պայմանագրերի գծով բանկի պարտավորությունների) |
10% |
|
3. Սույն Աղյուսակի 2-րդ կետում չընդգրկված, բանկի հետ չկապված ոչ ֆինանսական կազմակերպություններից, ՀՀ կառավարությունից, ՀՀ տեղական ինքնակառավարման մարմիններից, Հայաստանի Հանրապետության կենտրոնական բանկից, Ստանդարտ և Փուրզ կամ Ֆիթչ (կամ Մուդիզ) վարկանիշային կազմակերպությունների կողմից տրամադրված Ա-(կամ Ա3) և բարձր վարկանիշ ունեցող օտարերկրյա կառավարություններից և կենտրոնական բանկերից, Ստանդարտ և Փուրզ կամ Ֆիթչ (կամ Մուդիզ) վարկանիշային կազմակերպությունների կողմից տրամադրված ԱԱ-(կամ Աա3) և բարձր վարկանիշ ունեցող օտարերկրյա տեղական ինքնակառավարման մարմիններից, սույն Կանոնակարգի հավելված 3-ի Աղյուսակ 1-ի 6.6-րդ կետով սահմանված կազմակերպություններից և միջազգային զարգացման բանկերից (multilateral development banks), բանկային հաշիվներով, ավանդներով, վարկերով և փոխառություններով ներգրավված միջոցներ (բացառությամբ՝ ռեպո համաձայնագրերով և արժեթղթերի փոխառության պայմանագրերի գծով բանկի պարտավորությունների) |
40% |
|
4. Բանկի կողմից թողարկված պարտատոմսեր, որոնք բավարարում են սույն հավելվածի 24-րդ կետի 1-ին ենթակետին |
100% |
|
5. Բանկի կողմից թողարկված և սույն Աղյուսակի 4-րդ կետում չընդգրկված պարտատոմսեր |
40% |
|
6. Բանկի հետ չկապված ֆինանսական կազմակերպություններից ավանդներով, վարկերով և փոխառություններով ներգրավված միջոցները (բացառությամբ ռեպո համաձայնագրերով և արժեթղթերի փոխառության պայմանագրերի գծով բանկի պարտավորությունների) |
100% |
|
7. Բանկի հետ կապված անձանցից բանկային հաշիվներով, ավանդներով, վարկերով և փոխառություններով ներգրավված միջոցներ (բացառությամբ՝ ռեպո համաձայնագրերով և արժեթղթերի փոխառության պայմանագրերի գծով բանկի պարտավորությունների) |
100% |
|
8. Ռեպո համաձայնագրեր և արժեթղթերի փոխառության պայմանագրեր, որոնք ապահովված են սույն հավելվածով սահմանված առաջին մակարդակի բարձր իրացվելի ակտիվներով |
0% |
|
9. Ռեպո համաձայնագրեր և արժեթղթերի փոխառության պայմանագրեր, որոնք ապահովված են սույն հավելվածով սահմանված երկրորդ (ա) մակարդակի բարձր իրացվելի ակտիվներով |
15% |
|
10. Ռեպո համաձայնագրեր և արժեթղթերի փոխառության պայմանագրեր, որոնք ապահովված են Հայաստանի Հանրապետության կենտրոնական բանկի կողմից լիցենզավորված վերաֆինանսավորում իրականացնող վարկային կազմակերպությունների կողմից թողարկված ապահովված հիփոթեքային պարտատոմսերով |
25% |
|
11. ՀՀ կառավարության, ՀՀ տեղական ինքնակառավարման մարմինների, սույն Կանոնակարգի հավելված 3-ի Աղյուսակ 1-ի 6.6-րդ կետով սահմանված կազմակերպությունների և միջազգային զարգացման բանկերի (multilateral development banks) հետ կնքված ռեպո համաձայնագրերի և արժեթղթերի փոխառության պայմանագրերի գծով բանկի այն պարտավորությունների գումարը, որոնք ապահովված չեն սույն հավելվածով սահմանված առաջին մակարդակի բարձր իրացվելի ակտիվներով և երկրորդ (ա) մակարդակի բարձր իրացվելի ակտիվներով |
25% |
|
12. Ռեպո համաձայնագրեր և արժեթղթերի փոխառության պայմանագրեր, որոնք ապահովված են սույն հավելվածով սահմանված երկրորդ (բ) մակարդակի բարձր իրացվելի ակտիվներով (բացառությամբ` Հայաստանի Հանրապետության կենտրոնական բանկի կողմից լիցենզավորված վերաֆինանսավորում իրականացնող վարկային կազմակերպությունների կողմից թողարկված ապահովված հիփոթեքային պարտատոմսերի) |
50% |
|
13. Ռեպո համաձայնագրերի և արժեթղթերի փոխառության պայմանագրերի գծով Հայաստանի Հանրապետության կենտրոնական բանկի նկատմամբ բանկի պարտավորությունները |
0% |
|
14. Ռեպո համաձայնագրեր և արժեթղթերի փոխառության պայմանագրեր, որոնք նշված չեն սույն աղյուսակի այլ կետերում |
100% |
|
15. Ածանցյալ գործիքների գծով վճարման ենթակա դրամական միջոցները |
100% |
|
16. Իրացվելիության պահանջ ֆինանսական գործիքների, ածանցյալ գործիքների և այլ պայմանագրերի գծով` կապված բանկի վարկանիշի նվազման հետ. այն է՝ բարձր իրացվելի ակտիվների այն լրացուցիչ արտահոսքի գումարը, որը կարող է առաջանալ բանկի երկարաժամկետ վարկանիշի 3 մակարդակով (notch) նվազման դեպքում, եթե նման դրույթ նախատեսված է բանկի կողմից կնքված ֆինանսական գործիքների, ածանցյալ գործիքների և այլ պայմանագրերի գծով (սույն կետում նշված բարձր իրացվելի ակտիվների արտահոսքը կարող է հանդես գալ լրացուցիչ բարձր իրացվելի ակտիվների գրավադրման, պարտավորությունների ժամկետից շուտ մարման և այլ ձևերով) |
100% |
|
17. Իրացվելիության պահանջ գրավադրված առաջին մակարդակի բարձր իրացվելի ակտիվների արժեքի պոտենցիալ փոփոխության գծով |
0% |
|
18. Իրացվելիության պահանջ գրավադրված առաջին մակարդակի բարձր իրացվելի ակտիվ չհանդիսացող ակտիվների արժեքի փոփոխության գծով, այն է` ածանցյալ գործիքների և այլ ֆինանսական գործիքների գծով բանկի կողմից գրավադրված առաջին մակարդակի բարձր իրացվելի ակտիվ չհանդիսացող ակտիվները՝ ընթացիկ (շուկայական) արժեքով, եթե նշված ածանցյալ գործիքների և այլ ֆինանսական գործիքների պայմանագրով նախատեսված է բանկի պարտավորությունը համալրել կամ ավելացնել գրավը` գրավադրված ակտիվների շուկայական արժեքի նվազման դեպքում |
20% |
|
19. Իրացվելիության պահանջ պայմանագրով սահմանված կարգով պարտապանի պահանջով գրավի մի մասի վերադարձման գծով |
100% |
|
20. Իրացվելիության պահանջ պայմանագրով պահանջվող, բայց դեռևս չգրավադրված բարձր իրացվելի ակտիվների գծով. այն է՝ բարձր իրացվելի ակտիվների արժեքը, որոնք ըստ կնքված պայմանագրի հաշվետու ժամանակաշրջանի առաջին օրվա դրությամբ պետք է գրավադրվեն բանկի կողմից, սակայն դեռևս չեն գրավադրվել |
100% |
|
21. Իրացվելիության պահանջ գրավի փոխարինում թույլատրող պայմանագրերի գծով. այն է՝ բանկի կողմից հակադարձ ռեպո համաձայնագրով (արժեթղթերի փոխառության պայմանագրով) ստացված առաջին և երկրորդ մակարդակի այն բարձր իրացվելի ակտիվները՝ ընթացիկ (շուկայական) արժեքով՝ կշռված սույն հավելվածի 11-րդ կետի Աղյուսակ 1-ով, 12-րդ կետի Աղյուսակ 2-ով , 13-րդ կետի Աղյուսակ 3-ով սահմանված համապատասխան կշռով, որոնք բանկի կողմից ներառվել են սույն հավելվածով սահմանված բարձր իրացվելի ակտիվների հաշվարկում և որոնք գրավատուի պահանջով` առանց բանկի համաձայնությունը ստանալու, կարող են հետ կանչվել կամ փոխարինվել այլ` ոչ բարձր իրացվելի ակտիվներով |
100% |
|
22. Իրացվելիության պահանջ ածանցյալ գործիքների շուկայական արժեքի փոփոխության գծով. այն է՝ դրամական միջոցների զուտ արտահոսքի գումարը, որը կարող է առաջանալ ածանցյալ գործիքների գնային տատանումների արդյունքում (այդ թվում՝ ածանցյալ գործիքների գծով բանկի կողմից դեպոնացված (սառեցված) մարժայի ավելացման միջոցով) |
100% |
|
23. Բանկի հետ չկապված, Հայաստանի Հանրապետության կենտրոնական բանկի խորհրդի 2014 թվականի դեկտեմբերի 30-ի թիվ 377-Ն որոշմամբ հաստատված «Բանկերից համապարփակ տվյալների ստացման կարգի» հավելված 5-ի համաձայն՝ գերփոքր, փոքր և միջին դասակարգված սուբյեկտների, անհատ ձեռնարկատերերի և ֆիզիկական անձանց նկատմամբ վարկային ռիսկ պարունակող հետհաշվեկշռային պայմանական պարտավորությունների չօգտագործված մասը (բացառությամբ` երաշխավորությունների, երաշխիքների) |
5% |
|
24. Հայաստանի Հանրապետության կառավարության, Հայաստանի Հանրապետության տեղական ինքնակառավարման մարմինների, Ստանդարտ և Փուրզ կամ Ֆիթչ (կամ Մուդիզ) վարկանիշային կազմակերպությունների կողմից տրամադրված Ա-(կամ Ա3) և բարձր վարկանիշ ունեցող օտարերկրյա կառավարությունների և կենտրոնական բանկերի, Ստանդարտ և Փուրզ կամ Ֆիթչ (կամ Մուդիզ) վարկանիշային կազմակերպությունների կողմից տրամադրված ԱԱ-(կամ Աա3) և բարձր վարկանիշ ունեցող օտարերկրյա տեղական ինքնակառավարման մարմինների, բանկի հետ չկապված և սույն Աղյուսակի 23-րդ կետում չընդգրկված ոչ ֆինանսական կազմակերպությունների, սույն Կանոնակարգի հավելված 3-ի Աղյուսակ 1-ի 6.6-րդ կետով սահմանված կազմակերպությունների և միջազգային զարգացման բանկերի (multilateral development banks) նկատմամբ վարկային ռիսկ պարունակող հետհաշվեկշռային պայմանական պարտավորությունների չօգտագործված մասը (բացառությամբ` երաշխավորությունների, երաշխիքների) |
10% |
|
25. Հայաստանի Հանրապետության կառավարության, Հայաստանի Հանրապետության տեղական ինքնակառավարման մարմինների, Ստանդարտ և Փուրզ կամ Ֆիթչ (կամ Մուդիզ) վարկանիշային կազմակերպությունների կողմից տրամադրված Ա-(կամ Ա3) և բարձր վարկանիշ ունեցող օտարերկրյա կառավարությունների և կենտրոնական բանկերի, Ստանդարտ և Փուրզ կամ Ֆիթչ (կամ Մուդիզ) վարկանիշային կազմակերպությունների կողմից տրամադրված ԱԱ-(կամ Աա3) և բարձր վարկանիշ ունեցող օտարերկրյա տեղական ինքնակառավարման մարմինների, բանկի հետ չկապված սույն Աղյուսակի 23-րդ կետում չընդգրկված ոչ ֆինանսական կազմակերպությունների, սույն Կանոնակարգի հավելված 3-ի Աղյուսակ 1-ի 6.6-րդ կետով սահմանված կազմակերպությունների և միջազգային զարգացման բանկերի (multilateral development banks) նկատմամբ վարկային ռիսկ պարունակող իրացվելիության գծերի չօգտագործված մասը (բացառությամբ` երաշխավորությունների, երաշխիքների) |
30% |
|
26. Բանկի հետ չկապված ռեզիդենտ և օտարերկրյա բանկերի նկատմամբ վարկային ռիսկ պարունակող հետհաշվեկշռային պայմանական պարտավորությունների չօգտագործված մասը (բացառությամբ` երաշխավորությունների, երաշխիքների) |
40% |
|
27. Բանկի հետ չկապված ռեզիդենտ և օտարերկրյա ոչ բանկ ֆինանսական կազմակերպությունների նկատմամբ վարկային ռիսկ պարունակող հետհաշվեկշռային պայմանական պարտավորությունների չօգտագործված մասը (բացառությամբ` երաշխավորությունների, երաշխիքների) |
40% |
|
28. Բանկի հետ չկապված ռեզիդենտ և օտարերկրյա ոչ բանկ ֆինանսական կազմակերպությունների նկատմամբ վարկային ռիսկ պարունակող իրացվելիության գծերի չօգտագործված մասը (բացառությամբ` երաշխավորությունների, երաշխիքների) |
100% |
|
29. Բանկի մասնակիցների և բանկի հետ կապված անձանց նկատմամբ վարկային ռիսկ պարունակող հետհաշվեկշռային պայմանական պարտավորությունների չօգտագործված մասը (բացառությամբ` երաշխավորությունների, երաշխիքների) |
100% |
|
30. Սույն աղյուսակի 23-29-րդ կետերում նշված անձանցից տարբեր այլ անձանց նկատմամբ վարկային ռիսկ պարունակող հետհաշվեկշռային պայմանական պարտավորությունների չօգտագործված մասը (բացառությամբ` երաշխավորությունների, երաշխիքների) |
100% |
|
31. Ֆինանսական կազմակերպությունների նկատմամբ վարկային ռիսկ պարունակող հետհաշվեկշռային պայմանական պարտավորություններ, եթե սույն աղյուսակով այլ բան նախատեսված չէ |
100% |
|
32. Ֆիզիկական անձանց և ոչ ֆինանսական կազմակերպությունների նկատմամբ սույն աղյուսակում չնշված վարկային ռիսկ պարունակող հետհաշվեկշռային պայմանական պարտավորություններ, եթե առաջիկա 30 օրվա ընթացքում դրանց գծով սպասվող արտահոսքը գերազանցում է սպասվող ներհոսքի 50%-ը։ |
100% |
|
33. Բանկի կողմից տրված երաշխիքներ, երաշխավորություններ |
10% |
|
34. Բանկի կողմից տրված ակրեդիտիվներ |
5% |
|
35. Սույն աղյուսակում չնշված այլ միջոցներ |
100% |
(25-րդ կետը փոփ. 12.10.21 թիվ 153-Ն)
26. Այն դեպքում, երբ բանկը հաշվետու ժամանակահատվածի առաջին օրվա դրությամբ բացահայտում է սույն հավելվածի 25-րդ կետի Աղյուսակ 4-ի 5-րդ կետով սահմանված բոլոր պարտատոմսերի սեփականատերերին, ապա բանկի կողմից թողարկված պարտատոմսերը դրամական միջոցների արտահոսքի հաշվարկին կարող են մասնակցել ըստ տվյալ սուբյեկտից ներգրաված միջոցների արտահոսքի կշռի՝ համաձայն սույն հավելվածի 25-րդ կետի Աղյուսակ 4-ի 1-3-րդ և 6-7-րդ կետերի: Նման մոտեցման կիրառման դեպքում բանկերը տարին մեկ անգամ ընտրում են սույն կետում նշված մոտեցումը, որով պետք է առաջնորդվեն և այդ մասին տեղեկացնում են Կենտրոնական բանկին` մինչև յուրաքանչյուր տարվան նախորդող տարվա դեկտեմբերի 31-ը:
27. Այն դեպքում, երբ բանկն ընտրում է սույն հավելվածի 26-րդ կետով սահմանված մոտեցումը, ապա այդ մոտեցումը կիրառում է բոլոր պարտատոմսերի գծով, իսկ մոտեցման փոփոխության դեպքում տեղեկացնում է Կենտրոնական բանկին՝ ներկայացնելով վերջինիս հիմնավորումը:
28. Սույն հավելվածի 25-րդ կետի Աղյուսակ 4-ի 15-րդ կետով սահմանված ածանցյալ գործիքների գծով առաջիկա 30 օրվա ընթացքում վճարման ենթակա դրամական միջոցները հաշվարկելիս տվյալ գործընկերոջ գծով ածանցյալ գործիքի արտահոսքի գումարը հաշվարկվում է զուտ մեծությամբ, եթե գործարքի կողմերը պարտավորություն ունեն իրենց պարտավորությունները կատարել հաշվանցով և (կամ) զուտացմամբ: Օպցիոնների գծով դրամական միջոցների արտահոսքը ներառվում է միայն այն դեպքում, երբ օպցիոնը թողարկվել է (written) հաշվետու բանկի կողմից, և օպցիոնը դրական արժեք ունի օպցիոնի գնորդի համար հաշվետու ժամանակահատվածի առաջին օրվա վերջի դրությամբ (in the money), և այն կարող է իրականացվել (exercise) առաջիկա 30 օրվա ընթացքում:
(28-րդ կետը փոփ. 12.10.21 թիվ 153-Ն)
29. Սույն հավելվածի 5-րդ կետի Աղյուսակ 4-ի 15-րդ կետով սահմանված ածանցյալ գործիքների գծով առաջիկա 30 օրվա ընթացքում վճարման ենթակա դրամական միջոցները հաշվարկելիս տվյալ ածանցյալ գործիքի գծով դրամական միջոցների արտահոսքի գումարը հաշվարկվում է զուտ մեծությամբ, եթե Կենտրոնական բանկի ֆինանսական վերահսկողության համար պատասխանատու ստորաբաժանման հիմնավոր կարծիքով բանկը պարբերաբար կնքում է ածանցյալ գործիքներ և դրանք չի կատարում:
(29-րդ կետը խմբ. 12.10.21 թիվ 153-Ն)
30. Եթե սույն հավելվածի 25-րդ կետի Աղյուսակ 4-ի 16-րդ կետով սահմանված դրույթները պայմանագրով սահմանված են բանկի կարճաժամկետ վարկանիշի նկատմամբ, ապա հիմք է ընդունվում համապատասխանող երկարաժամկետ վարկանիշը: Օրինակ, եթե Ստանդարտ ընդ Փուրզ վարկանշային գործակալության կողմից բանկին տրամադրվել է «Ա» երկարաժամկետ վարկանիշ և «Ա-1» կարճաժամկետ վարկանիշ, ապա երկարաժամկետ վարկանիշի 3 մակարդակով նվազման դեպքում բանկի երկարաժամկետ վարկանիշը կդառնա «ԲԲԲ», որին համապատասխանող կարճաժամկետ վարկանիշը կլինի «Ա-3»:
31. Եթե բանկի կողմից կնքված պայմանագրերի գծով բանկի վարկանիշի նվազման դեպքում նախատեսված է պարտավորությունների ժամկետից շուտ մարման դրույթ, և նույն անձից ներգրաված միջոցներն արդեն իսկ արտացոլված են սույն հավելվածով սահմանված կարգով դրամական միջոցների արտահոսքի հաշվարկում, ապա սույն հավելվածի 25-րդ կետի Աղյուսակ 4-ի 16-րդ կետով սահմանված դրույթները կիրառվում են միայն լրացուցիչ արտահոսքի գծով գումարի նկատմամբ, ըստ հետևյալ բանաձևի`
Լրացուցիչ արտահոսք = Առավելագույնը {0, Դրամական միջոցների արտահոսք բանկի վարկանիշի նվազման դեպքում – Ներգրավված միջոց X Արտահոսքի կշիռ}
32. Սույն հավելվածի 25-րդ կետի Աղյուսակ 4-ի 21-րդ կետը վերաբերում է նաև այն դեպքերին, երբ գրավատուն կարող է փոխարինել բարձր իրացվելի ակտիվը` մեկ այլ, ավելի ցածր մակարդակի բարձր իրացվելի ակտիվով, այն է` առաջին մակարդակի բարձր իրացվելի ակտիվը երկրորդ (ա) կամ երկրորդ (բ) մակարդակի բարձր իրացվելի ակտիվով, կամ երկրորդ (ա) մակարդակի բարձր իրացվելի ակտիվը երկրորդ (2բ) մակարդակի բարձր իրացվելի ակտիվով: Տվյալ դեպքում դրամական արտահոսքի մեծությունը որոշվում է որպես ստացվելիք բարձր իրացվելի ակտիվների ընթացիկ (շուկայական) արժեքի և համապատասխան բարձր իրացվելի ակտիվների կշիռների միջև տարբերության արտադրյալ: Եթե գրավատուն փոխարինման դեպքում կարող է փոփոխել նաև բարձր իրացվելի ակտիվների ընթացիկ (շուկայական) արժեքը, ապա պետք է հիմք ընդունվի հնարավոր ամենացածր ընթացիկ (շուկայական) արժեքը:
33. Սույն հավելվածի 25-րդ կետի Աղյուսակ 4-ի 16-րդ, 18-րդ և 21-22-րդ կետերով սահմանված գումարը հաշվարկվում է այն դեպքում, երբ սույն հավելվածի 25-րդ կետի Աղյուսակ 4-ի 16-րդ, 18-րդ և 21-22-րդ կետերով սահմանված պայմանների ի հայտ գալու դեպքում (հիպոթետիկ) բանկի` այդ ենթակետերով սահմանված պարտավորության կատարումը, ըստ պայմանագրի, պետք է տեղի ունենա հաշվետու ժամանակաշրջանի առաջին օրվան հաջորդող 30 օրվա ընթացքում:
34. Սույն հավելվածի 25-րդ կետի Աղյուսակ 4-ի 22-րդ կետով սահմանված գումարը որոշվում է՝ հիմք ընդունելով դրամական միջոցների արտահոսքի (այդ թվում՝ դեպոնացված մարժայի ավելացման) այն գումարը, որը բանկը կունենա ածանցյալների հիմքում ընկած ակտիվների գների՝ հաշվետու ժամանակահատվածի առաջին օրվան նախորդող 24 ամսվա ընթացքում դիտարկված 30-օրյա առավելագույն տատանումների պատմական սցենարի կրկնության արդյունքում: Արտահոսքի գումարը հաշվարկելու համար հիմք է ընդունվում այն 30-օրյա պատմական ժամանակահատվածը, որի դեպքում ածանցյալ գործիքի կամ ածանցյալների պորտֆելի գծով իրացվելիության պահանջն առավելագույնն է: Կիրառվող 30-օրյա ժամանակահատվածը որոշելիս ածանցյալները կարող են խմբավորվել ըստ հիմքում ընկած ակտիվների տեսակների (օրինակ՝ արժութային ածանցյալներ): Հաշվարկված իրացվելիության լրացուցիչ պահանջները կարող են զուտացվել միայն ըստ գործընկերների՝ ներառյալ արդեն առկա դեպոնացված (սառեցված) միջոցները:
35. Սույն հավելվածի 25-րդ կետի Աղյուսակ 4-ի 25-րդ և 28-րդ կետերի իմաստով՝ իրացվելիության գիծը ցանկացած հետհաշվեկշռային պայմանական պարտավորություն է, որն օգտագործվում է հաճախորդի պարտքը վերաֆինանսավորելու համար, երբ հաճախորդն ի վիճակի չի լինում ֆինանսական շուկաներում սպասարկել իր պարտքը: Սույն կետով սահմանված իրացվելիության գծի մեջ ներառվում են միայն հաճախորդի առաջիկա 30-օրյա ժամանակահատվածում մարման ենթակա պարտքը սպասարկելու համար անհրաժեշտ միջոցները:
36. Բանկի դրամական միջոցների արտահոսքի հաշվարկում ընդգրկվող բանկային հաշիվները ներառում են նաև մետաղական հաշիվները:
37. Բանկի դրամական միջոցների արտահոսքը հաշվարկելիս բանկերի` տվյալ բանկում առկա «լորո» թղթակցային հաշիվների և ցպահանջ ու անժամկետ ավանդների մնացորդը նվազեցվում է (համապատասխան արժույթով) նույն բանկում առկա «նոստրո» թղթակցային հաշվի և ներդրված ցպահանջ ու անժամկետ ավանդների մնացորդի չափով, բայց ոչ ավելի, քան համապատասխան «լորո» թղթակցային հաշվի և ցպահանջ ու անժամկետ ավանդների մնացորդն է:
38. Բանկի դրամական միջոցների արտահոսքը հաշվարկելիս չեն ներառվում բանկում ներդրված այն դրամական միջոցները, որոնք բավարարում են հետևյալ բոլոր պայմաններին միաժամանակ.
1) Գրավադրված են ի ապահովումն բանկի կողմից տրամադրված վարկի (փոխառության),
2) Գրավի պայմանագրով հստակ սահմանված է, որ հաճախորդն իրավունք չունի պահանջել բանկից ստանալ բանկում ներդրված դրամական միջոցները` նախքան վարկի ամբողջական մարումը,
3) Գրավադրված դրամական միջոցի մեծությունը չի գերազանցում համապատասխան վարկի (փոխառության) մնացորդային մեծությունը (մայր գումար և հաշվեգրված տոկոս, տույժ, տուգանք), կամ այն դեպքում, երբ գրավադրված դրամական միջոցի մեծությունը գերազանցում է համապատասխան վարկի (փոխառության) մնացորդային մեծությունը, ապա արտահոսքը հաշվարկելիս չի ընդգրկվում միայն վարկի (փոխառության) մնացորդային մեծությունը չգերազանցող մասը: Ընդ որում, արտահոսքի հաշվարկում անհրաժեշտ է ընդգրկել այն դրամական միջոցների մեծությունը, որոնք գրավադրված են ի ապահովումն վարկային գծի չօգտագործված մասի:
39. Ընդ որում, այն դեպքում, երբ գրավադրված դրամական միջոցը և բանկի կողմից տրամադրված վարկը (փոխառությունը) արտահայտված են տարբեր արժույթներով, գրավադրված դրամական միջոցի մեծությունը հաշվարկվում է՝
Գրավադրված դրամական միջոց = Գրավադրված դրամական միջոց*(1-արժույթի տատանման գործակից) բանաձևով, որտեղ արժույթի տատանման գործակիցը 8% է:
ԳԼՈՒԽ 5․ ԲԱՆԿԻ ԴՐԱՄԱԿԱՆ ՄԻՋՈՑՆԵՐԻ ՆԵՐՀՈՍՔԻ ՀԱՇՎԱՐԿԻՆ ՄԱՍՆԱԿՑՈՂ ՏԱՐՐԵՐԸ ԵՎ ԴՐԱՆՑ ԿՇԻՌՆԵՐԸ
40. Բանկի դրամական միջոցների ներհոսքի հաշվարկին մասնակցում են այն ակտիվների գծով ակնկալվող ներհոսքերը (ներառյալ` հաշվետու ժամանակաշրջանի առաջին օրվա դրությամբ հաշվեգրված տոկոսները), որոնք դասակարգված են ստանդարտ դասով և որոնց գծով չկա որևէ հիմք կասկածելու, որ այդ ակտիվի գծով պայմանագրով սահմանված վճարումները չեն իրականացվի առաջիկա 30 օրվա ընթացքում:
41. Բանկի դրամական միջոցների ներհոսքի հաշվարկին մասնակցում են հաշվեկշռային և հետհաշվեկշռային ակտիվները` համաձայն սույն կետի Աղյուսակ 5-ով սահմանված ներհոսքի կշիռների:
Աղյուսակ 5
|
Դրամական միջոցների ներհոսք առաջացնող հաշվեկշռային կամ հետհաշվեկշռային ակտիվներ |
Ներհոսքի ժամկետը |
Ներհոսքի կշիռ |
|
1. Հակադարձ ռեպո համաձայնագրերի և արժեթղթերի փոխառության պայմանագրեր, որոնք ապահովված են սույն հավելվածով սահմանված առաջին մակարդակի բարձր իրացվելի ակտիվների տեսակներով |
Մինչև մարմանը մնացած ժամկետը չի գերազանցում 30 օրը |
0% |
|
2. Հակադարձ ռեպո համաձայնագրերի և արժեթղթերի փոխառության պայմանագրեր, որոնք ապահովված են սույն հավելվածով սահմանված երկրորդ (ա) մակարդակի բարձր իրացվելի ակտիվների տեսակներով |
Մինչև մարմանը մնացած ժամկետը չի գերազանցում 30 օրը |
15% |
|
3. Հակադարձ ռեպո համաձայնագրերի և արժեթղթերի փոխառության պայմանագրեր, որոնք ապահովված են Հայաստանի Հանրապետության կենտրոնական բանկի կողմից լիցենզավորված վերաֆինանսավորում իրականացնող վարկային կազմակերպությունների կողմից թողարկված ապահովված բնակարանային հիփոթեքային պարտատոմսերով |
Մինչև մարմանը մնացած ժամկետը չի գերազանցում 30 օրը |
25% |
|
4. Հակադարձ ռեպո համաձայնագրերի և արժեթղթերի փոխառության պայմանագրեր, որոնք ապահովված են սույն հավելվածով սահմանված երկրորդ (բ) մակարդակի բարձր իրացվելի ակտիվների տեսակներով (բացառությամբ` Հայաստանի Հանրապետության կենտրոնական բանկի կողմից լիցենզավորված վերաֆինանսավորում իրականացնող վարկային կազմակերպությունների կողմից թողարկված ապահովված բնակարանային հիփոթեքային պարտատոմսերի) |
Մինչև մարմանը մնացած ժամկետը չի գերազանցում 30 օրը |
50% |
|
5. Հակադարձ ռեպո համաձայնագրերի և արժեթղթերի փոխառության պայմանագրեր, որոնք նշված չեն սույն աղյուսակի այլ ենթակետերում |
Մինչև մարմանը մնացած ժամկետը չի գերազանցում 30 օրը |
100% |
|
6. Այլ անձանց կողմից բանկին տրամադրված և բանկի կողմից դեռևս չօգտագործված վարկային գծերը և միջոցների ներգրավման հնարավորություն տվող այլ հետհաշվեկշռային գործիքները, բացառությամբ այն չօգտագործված վարկային գծերի, որոնց պայմանագիրը պարունակում է դրույթ, որով տրամադրող կողմը պայմանագրի գործողության ընթացքում պարտավորվում է չօգտագործված վարկային գիծը հասանելի դարձնել առանց որևէ սահմանափակման |
0% | |
|
7. Սույն Աղյուսակի 6-րդ կետում չընդգրկված չօգտագործված վարկային գծերը |
100% | |
|
8. Ֆիզիկական անձանց, անհատ ձեռնարկատերերի, Հայաստանի Հանրապետության կենտրոնական բանկի խորհրդի 2014 թվականի դեկտեմբերի 30-ի թիվ 377-Ն որոշմամբ հաստատված «Բանկերից համապարփակ տվյալների ստացման կարգի» հավելված 5-ի համաձայն գերփոքր, փոքր և միջին դասակարգված սուբյեկտների նկատմամբ ունեցած պահանջների գծով ստացման ենթակա մայր գումարի, տոկոսների և այլ վճարների հանրագումարը |
Առաջիկա 30 օրվա ընթացքում |
50% |
|
9. Սույն Աղյուսակի 8-րդ կետում չընդգրկված ոչ ֆինանսական կազմակերպությունների, ՀՀ կառավարության, ՀՀ տեղական ինքնակառավարման մարմինների, Ստանդարտ և Փուրզ կամ Ֆիթչ (կամ Մուդիզ) վարկանիշային կազմակերպությունների կողմից տրամադրված Ա-(կամ Ա3) և բարձր վարկանիշ ունեցող օտարերկրյա կառավարությունների, Ստանդարտ և Փուրզ կամ Ֆիթչ (կամ Մուդիզ) վարկանիշային կազմակերպությունների կողմից տրամադրված ԱԱ-(կամ Աա3) և բարձր վարկանիշ ունեցող տեղական ինքնակառավարման մարմինների, սույն Կանոնակարգի Աղյուսակ 1-ի 6.6-րդ կետով սահմանված կազմակերպությունների և միջազգային զարգացման բանկերի (multilateral development banks) նկատմամբ սույն աղյուսակի 1-6-րդ կետերում չընդգրկված պահանջների հանրագումարը |
Առաջիկա 30 օրերի ընթացքում |
50% |
|
10. Հայաստանի Հանրապետության կենտրոնական բանկի և Ստանդարտ և Փուրզ կամ Ֆիթչ (կամ Մուդիզ) վարկանիշային կազմակերպությունների կողմից տրամադրված Ա-(կամ Ա3) և բարձր վարկանիշ ունեցող կենտրոնական բանկերի, ՀՀ ֆինանսական կազմակերպությունների, ԲԲԲ-(կամ Բաա3) և բարձր վարկանիշ ունեցող բանկերի և Ա-(կամ Ա3) և բարձր վարկանիշ ունեցող վարկանիշ ունեցող ոչ բանկ ֆինանսական կազմակերպությունների նկատմամբ սույն աղյուսակի 1-6-րդ կետերում չընդգրկված պահանջների հանրագումարը |
Առաջիկա 30 օրվա ընթացքում, այդ թվում՝ ցպահանջ |
100% |
|
11. Սույն հավելվածի 11-րդ կետի Աղյուսակ 1-ում ներառված բարձր իրացվելի ակտիվներում չընդգրկած արժեթղթերի գծով ներհոսքեր |
Մինչև մարմանը մնացած ժամկետը չի գերազանցում 30 օրը |
100% |
|
12. Ածանցյալ գործիքների գծով դրամական ներհոսքեր |
100% | |
|
13. Սույն աղյուսակում չնշված այլ միջոցներ |
Առաջիկա 30 օրվա ընթացքում (այդ թվում` ցպահանջ): |
0% |
(41-րդ կետը փոփ. 12.10.21 թիվ 153-Ն)
42. Սույն հավելվածի 41-րդ կետի Աղյուսակ 5-ի 12-րդ կետով սահմանված ածանցյալ գործիքների գծով առաջիկա 30 օրվա ընթացքում ստացման ենթակա դրամական միջոցները հաշվարկելիս տվյալ գործընկերոջ գծով ածանցյալ գործիքի ներհոսքի գումարը հաշվարկվում է զուտ մեծությամբ, եթե գործարքի կողմերը պարտավորություն ունեն իրենց պարտավորությունները կատարել հաշվանցով և (կամ) զուտացմամբ: Օպցիոնների գծով դրամական միջոցների ներհոսքը ներառվում է միայն այն դեպքում, երբ օպցիոնը թողարկվել է (written) հաշվետու բանկի կողմից, և օպցիոնը դրական արժեք ունի օպցիոնի գնորդի համար հաշվետու ժամանակահատվածի առաջին օրվա վերջի դրությամբ (in the money), և այն կարող է իրականացվել (exercise) առաջիկա 30 օրվա ընթացքում:
(42-րդ կետը խմբ. 12.10.21 թիվ 153-Ն)
43. Սույն հավելվածի 41-րդ կետի Աղյուսակ 5-ի 12-րդ կետով սահմանված ածանցյալ գործիքների գծով առաջիկա 30 օրվա ընթացքում ստացման ենթակա դրամական միջոցները հաշվարկելիս տվյալ ածանցյալ գործիքի գծով ներհոսքի գումարը հաշվարկվում է զուտ մեծությամբ, եթե Կենտրոնական բանկի ֆինանսական վերահսկողության համար պատասխանատու ստորաբաժանման հիմնավոր կարծիքով բանկը պարբերաբար կնքում է ածանցյալ գործիքներ և դրանք չի կատարում:
(43-րդ կետը խմբ. 12.10.21 թիվ 153-Ն)
44. Բանկի դրամական միջոցների ներհոսքի հաշվարկում ընդգրկվող բանկային հաշիվները ներառում են նաև մետաղական հաշիվները:
45. Բանկի դրամական միջոցների ներհոսքը հաշվարկելիս բանկերի թղթակցային հաշիվների, ցպահանջ և անժամկետ ավանդների մնացորդները նվազեցվում են (համապատասխան արժույթով) նույն բանկի նկատմամբ ունեցած «լորո» թղթակցային հաշիվների, ցպահանջ և անժամկետ ավանդային պարտավորությունների չափով, բայց ոչ ավելի, քան համապատասխան «նոստրո» թղթակցային հաշվի, ցպահանջ և անժամկետ ավանդի մնացորդն է:
46. Այն ակտիվների գծով, որոնք անժամկետ են, դրամական միջոցների ներհոսքը հաշվի չի առնվում, բացառությամբ մայր գումարի, տոկոսների և այլ վճարների այն նվազագույն չափի, որը պայմանագրի համաձայն ենթակա է մարման պարտապանի կողմից առաջիկա 30 օրվա ընթացքում:
(հավելվածը լրաց. 17.04.20 թիվ 55-Ն, խմբ, լրաց., փոփ. 12.10.21 թիվ 153-Ն)
|
ՀԱՎԵԼՎԱԾ 13 Հայաստանի Հանրապետության կենտրոնական բանկի խորհրդի 2007 թվականի փետրվարի 9-ի թիվ 39-Ն որոշմամբ հաստատված «Բանկերի գործունեության կարգավորումը, բանկային գործունեության hիմնական տնտեսական նորմատիվները» կանոնակարգ 2-ի |
ԶՈՒՏ ԿԱՅՈՒՆ ՖԻՆԱՆՍԱՎՈՐՄԱՆ ՆՈՐՄԱՏԻՎԻ (Ն24) ՀԱՇՎԱՐԿԻՆ ՄԱՍՆԱԿՑՈՂ ՏԱՐՐԵՐԸ ԵՎ ԴՐԱՆՑ ՀԱՇՎԱՐԿՄԱՆ ԿԱՐԳԸ
ԳԼՈՒԽ 1․ ԸՆԴՀԱՆՈՒՐ ԴՐՈՒՅԹՆԵՐ
1. Ն24 նորմատիվի հաշվարկին մասնակցող բանկին հասանելի կայուն միջոցները բանկի հաշվեկշռի պասիվային մասում գրանցված բանկի կապիտալի այն գործիքներն ու պարտավորություններն են, որոնք, սպասվում են, որ հասանելի կլինեն բանկին առաջիկա մեկ տարվա ընթացքում:
2. Ն24 նորմատիվի հաշվարկին մասնակցող բանկին անհրաժեշտ կայուն միջոցների չափը որոշվում է` ելնելով բանկի հաշվեկշռային և հետհաշվեկշռային ակտիվների իրացվելիության մակարդակից և ժամկետայնությունից:
3. Ն24 նորմատիվը հաշվարկելիս վարկանշային գործակալության կողմից տրված վարկանիշներն օգտագործելու դեպքում անհրաժեշտ է առաջնորդվել սույն կանոնակարգի հավելված 3-ի 4-րդ գլխով:
4. Ն24 նորմատիվը հաշվարկվում է յուրաքանչյուր ամսվա վերջին օրացուցային օրվա (այսուհետ՝ հաշվետու ժամանակահատվածի առաջին օր) դրությամբ առկա տվյալների հիման վրա:
ԳԼՈՒԽ 2․ ԲԱՆԿԻՆ ՀԱՍԱՆԵԼԻ ԿԱՅՈՒՆ ՄԻՋՈՑՆԵՐԻ ՀԱՇՎԱՐԿԻՆ ՄԱՍՆԱԿՑՈՂ ՏԱՐՐԵՐԸ ԵՎ ԴՐԱՆՑ ԿՇԻՌՆԵՐԸ
5. Բանկին հասանելի կայուն միջոցների կազմում ընդգրկվում են բանկի կապիտալի գործիքները, հաշվեկշռային և հետհաշվեկշռային պարտավորությունները` համաձայն սույն կետի Աղյուսակ 1-ով սահմանված կշիռների.
Աղյուսակ 1
|
Հասանելի կայուն միջոցներ |
Հասանելի կայուն միջոցների ժամկետը |
Կշիռը |
|
1. Առաջին մակարդակի կապիտալի տարրերի հանրագումարը. այն է՝ սույն Կանոնակարգի 28.2-րդ կետով և 28.5-րդ կետով սահմանված տարրերի հանրագումարը, որը նվազեցվում է սույն Կանոնակարգի 28.3-րդ կետի 1-ին ենթակետով և 28.6-րդ կետով սահմանված տարրերով: |
100% | |
|
2. Երկրորդ մակարդակի կապիտալի տարրերի հանրագումարը, ընդ որում՝ ստորադաս փոխառությունը ներառվում է, եթե դրա մարմանը մնացած ժամկետը հավասար է կամ գերազանցում է մեկ տարին: |
100% | |
|
3. Բանկի հետ չկապված իրավաբանական անձանցից և ֆինանսական կազմակերպություններից ներգրաված ավանդներ, վարկեր, փոխառություններ և այլ պարտավորություններ (ներառյալ՝ բանկի կողմից թողարկված պարտատոմսեր) |
Մարմանը մնացած ժամկետը հավասար է կամ գերազանցում է 1 տարին |
100% |
|
4. Բանկի հետ չկապված ֆիզիկական անձանցից և անհատ ձեռնարկատերերից ներգրավված միջոցները |
Անկախ Ժամկետից |
90% |
|
5. Բանկի հետ չկապված, Հայաստանի Հանրապետության կենտրոնական բանկի խորհրդի 2014 թվականի դեկտեմբերի 30-ի թիվ 377-Ն որոշմամբ հաստատված «Բանկերից համապարփակ տվյալների ստացման կարգի» Հավելված 5-ի համաձայն գերփոքր, փոքր և միջին դասակարգված սուբյեկտներից բանկային ավանդներով և բանկային հաշիվներով ներգրավված միջոցները |
Մարմանը մնացած ժամկետը չի գերազանցում մեկ տարին (ներառյալ՝ ցպահանջ և անժամկետ) |
90% |
|
6. Սույն աղյուսակի 5-րդ կետում չընդգրկված, բանկի հետ չկապված ոչ ֆինանսական կազմակերպություններից ներգրաված միջոցները |
Մարմանը մնացած ժամկետը չի գերազանցում 1 տարին (ներառյալ` ցպահանջ և անժամկետ միջոցները) |
50% |
|
7. Հայաստանի Հանրապետության կառավարությունից, Հայաստանի Հանրապետության տեղական ինքնակառավարման մարմիններից, օտարերկրյա պետական մարմիններից, սույն Կանոնակարգի Հավելված 3-ի Աղյուսակ 1-ի 6.6-րդ կետով սահմանված կազմակերպություններից և միջազգային զարգացման բանկերից (multilateral development banks) ներգրաված միջոցները (այդ թվում` հետաձգված հարկային պարտավորությունները) |
Մարմանը մնացած ժամկետը չի գերազանցում 1 տարին (ներառյալ` ցպահանջ և անժամկետ միջոցները) |
50% |
|
8. Կենտրոնական բանկերից և ֆինանսական կազմակերպություններից ներգրաված միջոցները |
Մարմանը մնացած ժամկետը հավասար է կամ գերազանցում է 6 ամիսը, բայց չի գերազանցում 1 տարին |
50% |
|
9. Սույն աղյուսակում չնշված այլ միջոցներ (ներառյալ բանկի կողմից թողարկված պարտատոմսեր) |
Մարմանը մնացած ժամկետը հավասար է կամ գերազանցում է 6 ամիսը, բայց չի գերազանցում 1 տարին |
50% |
|
10. Բանկի մասնակից հանդիսացող և բանկի հետ կապված ֆիզիկական անձանցից և անհատ ձեռնարկատերերից ավանդներով, վարկերով և փոխառություններով ներգրավված միջոցներ (բացառությամբ սույն աղյուսակի երկրորդ կետում ներառվող ստորադաս փոխառությունների) |
Անկախ ժամկետից |
0% |
|
11. Ածանցյալ գործիքների գծով զուտ պարտավորության և բանկի ակտիվներում արտացոլված ածանցյալ գործիքների հաշվեկշռային արժեքի դրական տարբերությունը |
0% | |
|
12. Ռեպո համաձայնագրերով ներգրավված միջոցները և ռեպո համաձայնագրերով ձեռք բերված արժեթղթերի գծով պարտավորությունները |
0% | |
|
13. Ռեզիդենտ և օտարերկրյա բանկերի` հաշվետու բանկում առկա «լորո» թղթակցային հաշիվների և ցպահանջ ավանդների մնացորդը |
0% | |
|
14. Սույն Կանոնակարգի 28.2-րդ կետի «դ» պարբերությամբ սահմանված ստորադաս փոխառությունները |
Մարմանը մնացած ժամկետը չի գերազանցում 6 ամիսը |
0% |
|
15. Այլ անձանց կողմից բանկին տրամադրված և դեռևս բանկի կողմից չօգտագործված վարկային գծերը, երաշխիքները, ակրեդիտիվները և իրացվելիության տրամադրման նմանատիպ այլ գործիքներ, բացառությամբ այն չօգտագործված վարկային գծերի, որոնց պայմանագիրը պարունակում է դրույթ, որով տրամադրող կողմը պայմանագրի գործողության ընթացքում պարտավորվում է չօգտագործված վարկային գիծը հասանելի դարձնել առանց որևէ սահմանափակման |
0% | |
|
16. Պարտավորությունները, որոնք հաշվետու բանկի կողմից չեն կատարվել պայմանագրով սահմանված ժամկետում, ինչպես նաև դատարանի կամ միջնորդ դատարանի վարույթում գտնվող գործերով պարտավորությունները |
0% | |
|
17. Սույն աղյուսակում չնշված այլ միջոցներ |
Մարմանը մնացած ժամկետը չի գերազանցում 6 ամիսը |
0% |
(աղյուսակը խմբ. 15.11.22 թիվ 195-Ն)
(5-րդ կետը լրաց., փոփ. 12.10.21 թիվ 153-Ն, խմբ. 15.11.22 թիվ 195-Ն)
6. Բանկի հետ կապված և բանկի մասնակից հանդիսացող իրավաբանական անձանցից ներգրաված միջոցները (բացառությամբ սույն հավելվածի 5-րդ կետի Աղյուսակ 1-ի 2-րդ կետով սահմանված միջոցների) հասանելի կայուն միջոցների կազմում ընդգրկվում են սույն հավելվածի 5-րդ կետի Աղյուսակ 1-ի համապատասխան հոդվածների համար սահմանված կշիռներից 50 տոկոսով ավելի ցածր կշռով:
(6-րդ կետը լրաց. 12.10.21 թիվ 153-Ն)
7. Հասանելի կայուն միջոցների հաշվարկման ժամանակ հիմք են ընդունվում հասանելի կայուն միջոցների համախառն հաշվեկշռային արժեքները:
8. Հասանելի կայուն միջոցների ժամկետների հաշվարկը սկսվում է հաշվետու ժամանակահատվածի առաջին օրվան հաջորդող օրվանից:
9. Այն դեպքում, երբ սույն հավելվածի 5-րդ կետի Աղյուսակ 1-ով սահմանված ներգրավված միջոցների գծով պայմանագրով մասնակի մարումներ են նախատեսված, ապա տվյալ մասի նկատմամբ կիրառվում են սույն հավելվածի 5-րդ կետի Աղյուսակ 1-ի այն համապատասխան կետի պահանջները, որի ժամկետայնությանը համապատասխանում է տվյալ գումարը:
10. Սույն հավելվածի 5-րդ կետի Աղյուսակ 1-ի 7-րդ կետով սահմանված հետաձգված հարկային պարտավորությունները բանկին հասանելի կայուն միջոցների կազմում ընդգրկվում են` ըստ հարկային պարտավորությունների հետագա մարման ամենամոտ հավանական ժամկետի:
11. Սույն հավելվածի 5-րդ կետի Աղյուսակ 1-ով սահմանված «լորո» թղթակցային հաշվի և ցպահանջ ավանդի մեծությունը նվազեցվում է (համապատասխան արժույթով) նույն բանկում առկա «նոստրո» թղթակցային հաշվի և ներդրված ցպահանջ ավանդների չափով, բայց ոչ ավելի, քան համապատասխան «լորո» թղթակցային հաշվի և ցպահանջ ավանդի մնացորդն է:
ԳԼՈՒԽ 3․ ԲԱՆԿԻՆ ԱՆՀՐԱԺԵՇՏ ԿԱՅՈՒՆ ՄԻՋՈՑՆԵՐԻ ՀԱՇՎԱՐԿԻՆ ՄԱՍՆԱԿՑՈՂ ՏԱՐՐԵՐԸ ԵՎ ԴՐԱՆՑ ԿՇԻՌՆԵՐԸ
12. Բանկին անհրաժեշտ կայուն միջոցների կազմում ընդգրկվում են բանկի հաշվեկշռային և հետհաշվեկշռային ակտիվները՝ համաձայն սույն կետի Աղյուսակ 2-ով սահմանված կշիռների.
Աղյուսակ 2
|
Անհրաժեշտ կայուն միջոցներ |
Միջոցների ժամկետայնությունը |
Կշիռ |
|
1. Կանխիկ դրամական միջոցները (ներառյալ՝ բանկոմատներում գտնվող դրամական միջոցները), կանխիկին հավասարեցված և վճարային քարտում առկա դրամական միջոցները (բացառությամբ՝ ճանապարհին գտնվող անկանխիկ դրամական միջոցների) |
0% | |
|
2. Հայաստանի Հանրապետության կենտրոնական բանկում թղթակցային հաշվի միջոցները, ներդրված ավանդները, բանկի կանոնադրական կապիտալի համալրման համար բացված հաշվի մնացորդները |
0% | |
|
3. Կենտրոնական բանկի նկատմամբ այլ պահանջներ (բացառությամբ՝ Կենտրոնական բանկում սառեցված հաշիվների) |
Մինչև մարման ժամկետը չի գերազանցում 6 ամիսը |
0% |
|
4. Մեկ աշխատանքային օրանոց (օվերնայթ) վարկային պայմանագրերով տրամադրված միջոցներ, եթե վարկառուն հանդիսանում է Ստանդարտ և Փուրզ կամ Ֆիթչ (կամ Մուդիզ) վարկանշային գործակալությունների կողմից տրամադրված երկարաժամկետ ավանդների ներգրավման ԲԲԲ+(Բաա1) և ԲԲԲ+(Բաա1)-ից բարձր վարկանիշ ունեցող ոչ ռեզիդենտ բանկ |
0% | |
|
5. Ֆինանսական գործիքների, արժույթի (արտարժույթի) և թանկարժեք մետաղների վաճառքից ստացվելիք գումարները |
Ենթակա են ստացման գործարքի կնքման օրվանից առավելագույնը երկու աշխատանքային օրվա ընթացքում և ժամկետանց չեն |
0% |
|
6. Հայաստանի Հանրապետության կառավարության, կենտրոնական բանկի, տեղական ինքնակառավարման մարմինների կողմից թողարկված կամ ամբողջությամբ երաշխավորված ազատ շրջանառելի արժեթղթեր (այդ թվում` ռեպո համաձայնագրով վաճառված)՝ ընթացիկ (շուկայական) արժեքով |
5% | |
|
7. Ստանդարտ և Փուրզ կամ Ֆիթչ (կամ Մուդիզ) վարկանիշային կազմակերպությունների կողմից տրամադրված ԱԱ-(Աա3) և բարձր վարկանիշ ունեցող պետությունների (կառավարությունների), կենտրոնական բանկերի, տեղական ինքնակառավարման մարմինների, Սույն Կանոնակարգի Հավելված 3-ի Աղյուսակ 1-ի 6.6-րդ կետով սահմանված կազմակերպությունների, միջազգային զարգացման բանկերի (multilateral development banks), Միջազգային հաշվարկների բանկի, Եվրոպական կոմիտեի (European community) կողմից թողարկված կամ ամբողջությամբ երաշխավորված ազատ շրջանառելի արժեթղթեր (այդ թվում` ռեպո համաձայնագրով վաճառված)՝ ընթացիկ (շուկայական) արժեքով |
5% | |
|
8. Չվերականգնվող վարկային գծերի չօգտագործված մասը |
5% | |
|
9. Բանկի այն ռեպո համաձայնագրերի և արժեթղթերի փոխառության պայմանագրերի գումարը, որոնք ամբողջությամբ ապահովված են սույն աղյուսակի 6-7-րդ կետերով սահմանված արժեթղթերի տեսակներով |
Մարմանը մնացած ժամկետը չի գերազանցում 6 ամիսը |
10% |
|
10. Ստանդարտ և Փուրզ կամ Ֆիթչ (կամ Մուդիզ) վարկանիշային կազմակերպությունների կողմից տրամադրված Ա-(Ա3)-ից Ա+(Ա1) վարկանիշ ունեցող պետությունների (կառավարությունների) և կենտրոնական բանկերի կողմից թողարկված կամ ամբողջությամբ երաշխավորված ազատ շրջանառելի արժեթղթեր (այդ թվում` ռեպո համաձայնագրով վաճառված)` ընթացիկ (շուկայական) արժեքով |
15% | |
|
11. Ստանդարտ և Փուրզ կամ Ֆիթչ (կամ Մուդիզ) վարկանիշային կազմակերպությունների կողմից ԱԱ-(Աա3) և բարձր վարկանիշ ունեցող կորպորատիվ պարտատոմսերը (այդ թվում` ռեպո համաձայնագրով վաճառված)՝ ընթացիկ (շուկայական) արժեքով |
15% | |
|
12. Ֆինանսական կազմակերպությունների նկատմամբ ունեցած պահանջներ |
Մարմանը մնացած ժամկետը չի գերազանցում 6 ամիսը (ներառյալ՝ ցպահանջ կամ անժամկետ) |
15% |
|
13. Վարկային ռիսկ պարունակող հետհաշվեկշռային պայմանական պարտավորություններ (բացառությամբ` երաշխավորությունների (երաշխիքների և չվերականգնվող վարկային գծերի չօգտագործված մասի)) |
20% | |
|
14. Ստանդարտ և Փուրզ կամ Ֆիթչ (կամ Մուդիզ) վարկանիշային կազմակերպությունների կողմից ԱԱ (Աա2) և բարձր վարկանիշ ունեցող ապահովված բնակարանային հիփոթեքային պարտատոմսերը |
50% | |
|
15. Հայաստանի Հանրապետության կենտրոնական բանկի կողմից լիցենզավորված վերաֆինանսավորում իրականացնող վարկային կազմակերպությունների կողմից թողարկված ապահովված բնակարանային հիփոթեքային պարտատոմսերը (այդ թվում` ռեպո համաձայնագրով վաճառված)` ընթացիկ (շուկայական) արժեքով |
50% | |
|
16. Ազատ շրջանառելի սովորական բաժնետոմսերը, որոնք թողարկված չեն ֆինանսական կազմակերպության կամ ֆինանսական կազմակերպության հետ փոխկապակցված կազմակերպության կողմից |
50% | |
|
17. Ստանդարտ և Փուրզ կամ Ֆիթչ (կամ Մուդիզ) վարկանիշային կազմակերպությունների կողմից ԲԲԲ-(Բաա3)-ից Ա+(Ա1) վարկանիշ ունեցող կորպորատիվ պարտատոմսերը (այդ թվում` ռեպո համաձայնագրով վաճառված)՝ ընթացիկ (շուկայական) արժեքով |
50% | |
|
18. Կենտրոնական բանկերին և ֆինանսական կազմակերպություններին տրված վարկեր |
Մարմանը մնացած ժամկետը հավասար է կամ գերազանցում է 6 ամիսը, բայց չի գերազանցում 1 տարին |
50% |
|
19. Հայաստանի Հանրապետությանը վարկանշային գործակալությունների (Ստանդարտ և Փուրզ կամ Ֆիթչ կամ Մուդիզ) կողմից տրված վարկանիշին համապատասխան, վարկանիշից բարձր կամ մեկ վարկանիշ ցածր վարկանիշ ստացած ՀՀ ռեզիդենտ ոչ ֆինանսական կազմակերպությունների կողմից թողարկված պարտատոմսեր` ընթացիկ (շուկայական) արժեքով, որոնք ցուցակված են Հայաստանի Հանրապետության տարածքում գործող կարգավորվող շուկայում |
50% | |
|
20. Ֆինանսական կազմակերպություն չհանդիսացող անձանց (ներառյալ` ֆիզիկական անձանց և անհատ ձեռնարկատերերի), կառավարություններին, տեղական ինքնակառավարման մարմիններին տրամադրված վարկերի և այլ պահանջների գումարը, որոնք նշված չեն սույն աղյուսակի այլ կետերում և դասակարգված են ստանդարտ դասում |
Մարմանը մնացած ժամկետը չի գերազանցում 1 տարին |
50% |
|
21. Ֆինանսական կազմակերպություն չհանդիսացող անձանց տրամադրված վարկերի և այլ պահանջների գումարը, որոնք սահմանված չեն սույն աղյուսակի այլ կետերում, դասակարգված են ստանդարտ դասում, գրավադրված չեն և սույն Կանոնակարգի Հավելված 3-ի Աղյուսակ 1-ի համաձայն` ունեն 35% կամ ավելի ցածր ռիսկի կշիռ |
Մարմանը մնացած ժամկետը հավասար է կամ գերազանցում է 1 տարին |
65% |
|
22. Ներդրումներ բարձր իրացվելի ակտիվ չհամարվող արժեթղթերում, որոնք դասակարգված են որպես ոչ ռիսկային և գրավադրված չեն |
Մարմանը մնացած ժամկետը հավասար է կամ գերազանցում է 1 տարին |
85% |
|
23. Բանկի թանկարժեք մետաղները՝ հաշվեկշռային արժեքով, ներառյալ բանկային ոսկին, ստանդարտացված ձուլակտորները |
85% | |
|
24. Ֆինանսական կազմակերպություն չհանդիսացող անձանց (ներառյալ` ֆիզիկական անձանց և անհատ ձեռնարկատերերի), կառավարություններին, տեղական ինքնակառավարման մարմիններին տրամադրված վարկերի և այլ պահանջների գումարը, որոնք նշված չեն սույն աղյուսակի այլ կետերում, դասակարգված են ստանդարտ դասում և գրավադրված չեն |
Մարմանը մնացած ժամկետը հավասար է կամ գերազանցում է 1 տարին |
85% |
|
25. Հիմնական միջոցներ (բացառությամբ նորմատիվային կապիտալից նվազեցվող հիմնական միջոցների) |
100% | |
|
26. Չաշխատող ակտիվներ |
100% | |
|
27. Ֆինանսական կազմակերպություններին տրամադրված միջոցները |
Մարմանը մնացած ժամկետը հավասար է կամ գերազանցում է 1 տարին |
100% |
|
28. Նորմատիվային կապիտալից նվազեցվող ակտիվներ |
100% | |
|
29. Բանկի ակտիվներում արտացոլված ածանցյալ գործիքների հաշվեկշռային արժեքի և ածանցյալ գործիքների գծով զուտ պարտավորության դրական տարբերությունը |
100% | |
|
30. Բանկի կողմից տրված երաշխիքների, երաշխավորությունների գումարը |
20% | |
|
31. Այլ ռեպո համաձայնագրերի, արժեթղթերի փոխառության պայմանագրերի գումարը |
Մարմանը մնացած ժամկետը չի գերազանցում 6 ամիսը |
15% |
|
32. Սույն աղյուսակում չնշված այլ միջոցներ |
100% |
13. Բանկին անհրաժեշտ կայուն միջոցների ժամկետների հաշվարկը սկսվում է հաշվետու ժամանակահատվածի առաջին օրվան հաջորդող օրվանից:
14. Բանկին անհրաժեշտ կայուն միջոցների հաշվարկման ժամանակ հիմք են ընդունվում բանկին անհրաժեշտ կայուն միջոցների համախառն հաշվեկշռային արժեքները:
15. Սույն հավելվածի 12-րդ կետի Աղյուսակ 2-ով սահմանված «նոստրո» թղթակցային հաշվի, ցպահանջ և անժամկետ ավանդի մեծությունը նվազեցվում է (համապատասխան արժույթով) նույն բանկի նկատմամբ ունեցած «լորո» թղթակցային հաշիվների, ցպահանջ և անժամկետ ավանդային պարտավորությունների չափով, բայց ոչ ավելի, քան համապատասխան «նոստրո» թղթակցային հաշվի, ցպահանջ և անժամկետ ավանդի մնացորդն է:
16. Այն դեպքում, երբ սույն հավելվածի 12-րդ կետի Աղյուսակ 2-ով սահմանված ակտիվների գծով պայմանագրով մասնակի մարումներ են նախատեսված, ապա տվյալ մասի նկատմամբ կիրառվում են սույն հավելվածի 12-րդ կետի Աղյուսակ 2-ի այն համապատասխան կետի պահանջները, որի ժամկետայնությանը համապատասխանում է տվյալ գումարը:
17. Սույն հավելվածի 12-րդ կետի Աղյուսակ 2-ի 29-րդ կետով սահմանված ածանցյալ գործիքների գծով զուտ պարտավորությունը որոշվում է որպես պասիվներում արտացոլված ածանցյալ գործիքների հաշվեկշռային արժեքի և այդ ածանցյալ գործիքների գծով բանկի կողմից դեպոնացված (սառեցված) մարժայի (initial or maintenance margin) տարբերություն:
(հավելվածը լրաց. 17.04.20 թիվ 55-Ն, լրաց., փոփ. 12.10.21 թիվ 153-Ն, խմբ. 15.11.22 թիվ 195-Ն)
|
Հավելված 14 ՀՀ կենտրոնական բանկի խորհրդի 2007 թվականի փետրվարի 9-ի թիվ 39-Ն որոշմամբ հաստատված «Բանկերի գործունեության կարգավորումը, բանկային գործունեության հիմնական տնտեսական նորմատիվները» կանոնակարգ 2-ի |
ԳԼՈՒԽ 1
ԲԱՆԿԻ ՇԱՀՈՒՅԹԻ՝ ԱՌԱՋԻՆ ՄԱԿԱՐԴԱԿԻ ՀԻՄՆԱԿԱՆ ԿԱՊԻՏԱԼՈՒՄ ԸՆԴԳՐԿՄԱՆ ՍԿԶԲՈՒՆՔՆԵՐԸ
1. Բանկի չբաշխված շահույթը ընթացիկ ժամանակաշրջանի չբաշխված շահույթ/վնասի և նախորդ ժամանակաշրջանների չբաշխված շահույթ/վնասի դրական հանրագումարն է:
2. Բանկի չբաշխված շահույթը ներառվում է առաջին մակարդակի հիմնական կապիտալի կազմում՝ սույն հավելվածի 3-րդ կետի համաձայն՝ հաշվի առնելով սույն գլխի 4-րդ և 5-րդ կետերով սահմանված պահանջները:
3. Բանկի չբաշխված շահույթը առաջին մակարդակի հիմնական կապիտալի կազմում ներառվում է հետևյալ բանաձևով հաշվարկված չափով՝
Շ = Շահույթ - ՎՀՇ
որտեղ՝
Շ-ն – առաջին մակարդակի հիմնական կապիտալի կազմում ներառվող չբաշխված շահույթի մեծությունն է,
Շահույթ-ը – նորմատիվային կապիտալի հաշվարկման պահի դրությամբ չբաշխված շահույթն է,
ՎՀՇ-ն – տվյալ տարվա ընթացքում վճարման ենթակա հավանական շահաբաժինների չափն է, որը հաշվարկվում է հետևյալ բանաձևով՝
ՎՀՇ = Max ((Շահույթ + ՇԲ) * Բաշխման դրույք – ՇԲ ; 0),
որտեղ՝
ՇԲ –ն – տվյալ տարվա ընթացքում արդեն վճարված շահութաբաժինների չափն է (առկայության դեպքում),
Բաշխման դրույք–ը – հաշվարկվում է հետևյալ բանաձևով՝
Բաշխման դրույք = Max (Դ-1 ; (Դ-1 + Դ-2 + Դ-3)/3),
որտեղ՝
Դ-i (i=1,2,3) – տվյալ տարվան անմիջապես նախորդող i-րդ տարվա Բաշխման դրույքն է, որը ցույց է տալիս, թե i-րդ տարվա հունվարի 1-ից դեկտեմբերի 31-ն ընկած ժամանակահատվածում բանկի շահույթի (նախորդող տարվա վերջին օրվա դրությամբ բանկի չբաշխված շահույթի և տվյալ տարվա զուտ շահույթի գումարի) որ մասն է փաստացի վճարվել շահութաբաժինների տեսքով:
4. Այն դեպքում, երբ բանկի կողմից շահութաբաժնի բաշխումից հետո գումարը մինչև տվյալ բաշխման օրացուցային տարվա ավարտը ուղղվել է բանկի առաջին մակարդակի կապիտալի տարր(եր)ի (բացառությամբ՝ չբաշխված շահույթի կամ վնասի) համալրմանը, ապա սույն գլխի 3-րդ կետով նախատեսված բաշխման դրույքի հաշվարկում փաստացի վճարված շահութաբաժնի գումարից տվյալ գումարը նվազեցվում է:
5. Այն դեպքում, երբ բանկը խախտում է կամ վճարման ենթակա հավանական շահաբաժինների նվազեցման դեպքում կարող է խախտել «Հայաստանի Հանրապետության տարածքում գործող առևտրային բանկերի կապիտալի համարժեքության նորմատիվի սահմանաչափից բարձր շեմերի սահմանման և հաշվարկման կարգի» համաձայն սահմանված համախմբված շեմը, ապա բանկը ամբողջությամբ կամ մասնակի նվազեցնում է վճարման ենթակա հավանական շահաբաժինների չափը (ՎՀՇ) համապատասխանաբար մինչև խախտման վերացումը կամ մինչև բանկի կապիտալի համարժեքության նորմատիվի սահմանաչափը հավասարվի համախմբված շեմին:
ԳԼՈՒԽ 2
ԵՐԿՐՈՐԴ ՄԱԿԱՐԴԱԿԻ ԿԱՊԻՏԱԼԻ ԿԱԶՄՈՒՄ ԵՐԿԱՐԱԺԱՄԿԵՏ ՍՏՈՐԱԴԱՍ ՓՈԽԱՌՈՒԹՅՈՒՆՆԵՐԸ ՆԵՐԱՌԵԼՈՒ ՀԱՇՎԱՐԿ
Բանկի կողմից ներգրավված երկարաժամկետ ստորադաս փոխառությունները երկրորդ մակարդակի կապիտալի կազմում ներառելիս օրական ամորտիզացվում են՝ սկսած դրանց մարման օրվան նախորդող հինգերորդ տարվա առաջին օրվանից և բանկի երկրորդ մակարդակի կապիտալի կազմում ներառվող ստորադաս փոխառության չափը հաշվարկվում է հետևյալ բանաձևով՝
Որտեղ՝
|
ՍՓկ – |
ստորադաս փոխառության՝ երկրորդ մակարդակի կապիտալի կազմում ներառման ենթակա |
|
ՍՓ – |
ստորադաս փոխառության մայր գումարն է՝ մարման օրվան նախորդող 5-րդ տարվա առաջին օրվա դրությամբ, |
|
Օ – |
մարման օրվան նախորդող 5-րդ տարվա առաջին օրվանից մինչև մարման օրն ընկած ժամանակահատվածի օրացուցային օրերի քանակն է, |
|
ՄՕ – |
տվյալ օրվա դրությամբ՝ ստորադաս փոխառության մինչև մարում մնացած օրերի քանակն է: |
Դեպք 1.
Դիցուք՝ բանկը 15/11/2020 թվականին ներգրավել է 10.000 միավոր երկարաժամկետ ստորադաս փոխառություն 8 տարի մարման ժամկետով և փոխառությունն ամբողջությամբ պետք է մարվի 15/11/2028 թվականին:
Այս դեպքում՝ փոխառության սկզբնական մարման օրը 2028 թվականի նոյեմբերի 15-ն է և նախորդող 5-րդ տարին է 2023 թվականի նոյեմբերի 15-ը, արդյունքում, բանկը պետք է 2023 թվականի նոյեմբերի 15-ից իր երկրորդ մակարդակի կապիտալը նվազեցնի օրական ամորտիզացնելու միջոցով (տե՛ս Աղյուսակ 1-ը):
Աղյուսակ 1
|
Ամսաթիվ |
Փոխառության մայր գումար |
Նորմատիվի հաշվարկին մասնակցող մաս |
Ամորտիզացիայի չափ |
Մարվող գումար |
Նշումներ |
|
15/11/2020 |
10,000.00 |
10,000.00 |
- |
փոխառության ներգրավման օր | |
|
……… |
|||||
|
15/11/2021 |
10,000.00 |
10,000.00 |
- |
||
|
……… |
|||||
|
15/11/2022 |
10,000.00 |
10,000.00 |
- |
||
|
……… |
|||||
|
15/11/2023 |
10,000.00 |
9,994.53 |
5.47 |
սկզբնական մարման օրվան նախորդող 5-րդ տարվա 1-ին օր | |
|
16/11/2023 |
10,000.00 |
9,989.05 |
10.95 |
||
|
17/11/2023 |
10,000.00 |
9,983.58 |
16.42 |
||
|
……… |
|||||
|
13/11/2028 |
10,000.00 |
10.95 |
9,989.05 |
||
|
14/11/2028 |
10,000.00 |
5.47 |
9,994.53 |
||
|
15/11/2028 |
10,000.00 |
- |
- |
10,000.00 |
Ամբողջական |
Դեպք 2.
Դիցուք՝ բանկը 15/11/2020 թվականին ներգրավել է 10.000 միավոր երկարաժամկետ ստորադաս փոխառություն 5 տարի մարման ժամկետով և փոխառությունն ամբողջությամբ պետք է մարվի 15/11/2025 թվականին:
Այս դեպքում՝ փոխառության սկզբնական մարման օրը 2025 թվականի նոյեմբերի 15-ն է և արդյունքում, բանկը պետք է 2020 թվականի նոյեմբերի 15-ից իր երկրորդ մակարդակի կապիտալը նվազեցնի օրական ամորտիզացնելու միջոցով (տե՛ս Աղյուսակ 2-ը):
Աղյուսակ 2
|
Ամսաթիվ |
Փոխառության մայր գումար |
Նորմատիվի հաշվարկին մասնակցող մաս |
Ամորտիզացիայի չափ |
Մարվող գումար |
Նշումներ |
|
15/11/2020 |
10,000.00 |
9,994.53 |
5.47 |
փոխառության ներգրավման օրն է, ինչպես նաև սկզբնական մարման օրվան նախորդող 5-րդ տարվա 1-ին օրը | |
|
16/11/2020 |
10,000.00 |
9,989.05 |
10.95 |
||
|
17/11/2020 |
10,000.00 |
9,983.58 |
16.42 |
||
|
18/11/2020 |
10,000.00 |
9,978.11 |
21.89 |
||
|
19/11/2020 |
10,000.00 |
9,972.63 |
27.37 |
||
|
20/11/2020 |
10,000.00 |
9,967.16 |
32.84 |
||
|
……… |
|||||
|
10/11/2025 |
10,000.00 |
27.37 |
9,972.63 |
||
|
11/11/2025 |
10,000.00 |
21.89 |
9,978.11 |
||
|
12/11/2025 |
10,000.00 |
16.42 |
9,983.58 |
||
|
13/11/2025 |
10,000.00 |
10.95 |
9,989.05 |
||
|
14/11/2025 |
10,000.00 |
5.47 |
9,994.53 |
||
|
15/11/2025 |
10,000.00 |
- |
- |
10,000.00 |
Ամբողջական մարման օր |