«Վավերացնում եմ»
Հայաստանի Հանրապետության
Նախագահ Ռ. Քոչարյան
19 նոյեմբերի 2005 թ.
ՀԱՅԱՍՏԱՆԻ ՀԱՆՐԱՊԵՏՈՒԹՅԱՆ ԿԱՌԱՎԱՐՈՒԹՅՈՒՆ
Ո Ր Ո Շ ՈՒ Մ
28 սեպտեմբերի 2005 թվականի N 1905-Ն
ՀԱՅԱՍՏԱՆԻ ՀԱՆՐԱՊԵՏՈՒԹՅԱՆ ՇԻՐԱԿԻ ՄԱՐԶԻ ԲԵՐԴԱՇԵՆԻ ԳՅՈՒՂԱԿԱՆ ՀԱՄԱՅՆՔԻ ՎԱՐՉԱԿԱՆ ՍԱՀՄԱՆՆԵՐԻ ՆԿԱՐԱԳԻՐԸ ՀԱՍՏԱՏԵԼՈՒ ԵՎ ԲԵՐԴԱՇԵՆԻ ԳՅՈՒՂԱԿԱՆ ՀԱՄԱՅՆՔԻ ՎԱՐՉԱԿԱՆ ՍԱՀՄԱՆՆԵՐՈՒՄ ԳՏՆՎՈՂ` ՊԵՏԱԿԱՆ ՍԵՓԱԿԱՆՈՒԹՅՈՒՆ ՀԱՆԴԻՍԱՑՈՂ ՀՈՂԱՄԱՍԵՐՆ ԱՆՀԱՏՈՒՅՑ ՍԵՓԱԿԱՆՈՒԹՅԱՆ ԻՐԱՎՈՒՆՔՈՎ ՀԱՄԱՅՆՔԻՆ ՓՈԽԱՆՑԵԼՈՒ ՄԱՍԻՆ
Հայաստանի Հանրապետության հողային օրենսգրքի 34-րդ ու 56-րդ, «Տեղական ինքնակառավարման մասին» Հայաստանի Հանրապետության օրենքի 6-րդ, 47-րդ ու 84-րդ և «Հայաստանի Հանրապետության վարչատարածքային բաժանման մասին» Հայաստանի Հանրապետության օրենքի 6-րդ հոդվածների պահանջներին համապատասխան` Հայաստանի Հանրապետության կառավարությունը որոշում է.
1. Հաստատել Հայաստանի Հանրապետության Շիրակի մարզի Բերդաշենի գյուղական համայնքի վարչական սահմանների նկարագիրը` համաձայն NN 1 և 2 հավելվածների:
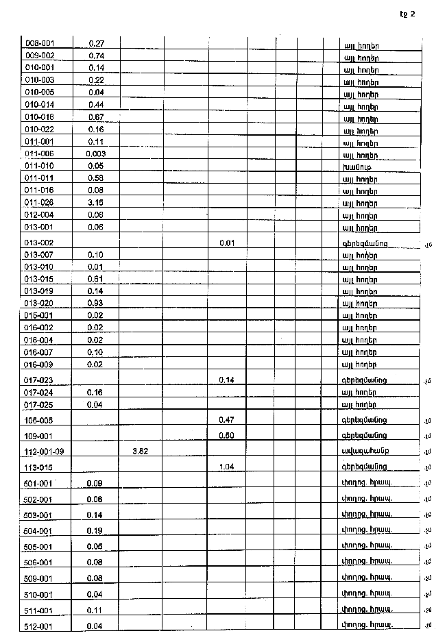
2. Հայաստանի Հանրապետության Շիրակի մարզի Բերդաշենի գյուղական համայնքի վարչական սահմաններում գտնվող` պետական սեփականություն հանդիսացող 1410.28 հեկտար հողամասերից 1351.94 հեկտարը, որից` գյուղատնտեսական նշանակության` 1314.67 հեկտար, բնակավայրերի հողերի` 22.37 հեկտար, արդյունաբերության, ընդերքօգտագործման և այլ արտադրական նշանակության օբյեկտների` 12.66 հեկտար, էներգետիկայի, տրանսպորտի, կապի և կոմունալ ենթակառուցվածքների օբյեկտների` 0.08 հեկտար, հատուկ պահպանվող տարածքների` 2.16 հեկտար, անհատույց սեփականության իրավունքով փոխանցել Բերդաշենի գյուղական համայնքին` համաձայն NN 3, 4, 5 և 6 հավելվածների:
3. Սահմանել, որ Հայաստանի Հանրապետության հողային օրենսգրքի 60-րդ հոդվածի պահանջներին համապատասխան`
ա) Հայաստանի Հանրապետության Շիրակի մարզի Բերդաշենի գյուղական համայնքին անհատույց սեփականության իրավունքով փոխանցվող 1351.94 հեկտար հողերից 94.17 հեկտարը մասնավորեցման ենթակա չէ.
բ) Հայաստանի Հանրապետության Շիրակի մարզի Բերդաշենի գյուղական համայնքի վարչական սահմաններում գտնվող հողերից 58.34 հեկտարը համարվում է պետական սեփականություն` համաձայն N 7 հավելվածի:
4. Ընդունել ի գիտություն Հայաստանի Հանրապետության Շիրակի մարզի Բերդաշենի գյուղական համայնքի հողային ֆոնդի առկայության և բաշխման մասին հաշվետվությունը` 2005 թվականի հունվարի 1-ի դրությամբ` համաձայն N 8 հավելվածի:
5. Հայաստանի Հանրապետության կառավարությանն առընթեր անշարժ գույքի կադաստրի պետական կոմիտեի նախագահին` սահմանված կարգով ապահովել սկզբնական հաշվառման նյութերի տրամադրումը Հայաստանի Հանրապետության Շիրակի մարզի Բերդաշենի գյուղական համայնքի ղեկավարին` հողերի ընթացիկ հաշվառումն անցկացնելու և համայնքի հողային հաշվեկշիռը կազմելու համար:
6. Թույլատրել Հայաստանի Հանրապետության կառավարությանն առընթեր անշարժ գույքի կադաստրի պետական կոմիտեի նախագահին Հայաստանի Հանրապետության պետական գեոդեզիական ցանցի հավասարակշռման արդյունքների հիման վրա Հայաստանի Հանրապետության վարչատարածքային միավորների սահմանանիշերի կոորդինատների ժողովածուի հրատարակումից հետո հողային ֆոնդի ընթացիկ հաշվառման ժամանակ Հայաստանի Հանրապետության Շիրակի մարզի Բերդաշենի գյուղական համայնքի հողային հաշվեկշռում սահմանված կարգով կատարել համապատասխան փոփոխություններ:
7. Հայաստանի Հանրապետության Շիրակի մարզպետին` Հայաստանի Հանրապետության կառավարության 2000 թվականի հոկտեմբերի 23-ի N 656 որոշմամբ սահմանված կարգով` սկզբնական հաշվառման տվյալների հիման վրա ապահովել մարզի տարածքում ընթացիկ հաշվառման աշխատանքների իրականացումը:
8. Սույն որոշումն ուժի մեջ է մտնում պաշտոնական հրապարակմանը հաջորդող օրվանից։
|
Հայաստանի Հանրապետության |
Ա. Մարգարյան |
|
|
|
Հավելված N 1 | |
|
| |
Հայաստանի Հանրապետության կառավարության աշխատակազմի ղեկավար-նախարար |
Մ. Թոփուզյան |
|
| |
|
Բերդաշեն գյուղական համայնքը գտնվում է մարզի հյուսիս-արևմտյան մասում։ Հեռավորությունը մարզկենտրոն ք. Գյումրիից 43.0 կմ է։ Համայնքը արևմուտքից և հյուսիսից «Ա»-«Բ» հատվածով սահմանակից է Զորակերտ գյուղական համայնքին, արևելքից «Բ»-«Գ» հատվածով` Արդենիս գյուղական համայնքին, «Գ»-«Դ» հատվածով` մարզի համայնքների վարչական սահմաններից դուրս գտնվող հողերին, «Դ»-«Ե» հատվածով` մարզի համայնքների վարչական սահմաններից դուրս գտնվող /Փ. Սեպասար համայնքի նախկին II հատված/ հողերին, «Ե»-«Զ» հատվածով` մարզի համայնքների վարչական սահմաններից դուրս գտնվող /Բանդիվան համայնքի նախկին II հատված/ հողերին, հարավից «Զ»-«է» հատվածով` Զարիշատ գյուղական համայնքին, հարավ-արևմուտքից «է»-«Ը» հատվածով` մարզի համայնքների վարչական սահմաններից դուրս գտնվող /Ողջի համայնքի նախկին III հատված/ հողերին, «Ը»-«Թ» հատվածով` Զարիշատ գյուղական համայնքին, «Թ»-«Ժ» հատվածով` մարզի համայնքների վարչական սահմաններից դուրս գտնվող /Շաղիկ համայնքի նախկին II հատված/ հողերին, արևմուտքից «Ժ»-«Ի» հատվածով` Արփա լճին, «Ի»-«Ա» հատվածով` Ջրային տնտեսությանը։ ԲԵՐԴԱՇԵՆ-ԶՈՐԱԿԵՐՏ ՍԱՀՄԱՆԱԳԻԾԸ` «Ա»-«Բ» Բերդաշեն, Զորակերտ համայնքների և ջրային տնտեսության հողերի տարածքների բաժանման «Ա» հանգուցային սահմանակետից սահմանագիծը թեքվում է դեպի արևելք, անցնելով 253.2 մ, հասնում թիվ 1 սահմանակետին, այդտեղից թեքվելով հյուսիս-արևելք, թիվ 2 սահմանակետով անցնում 516.2 մ, հասնում է Զորակերտ-Բերդաշեն միջհամայնքային ճանապարհի Եզրին գտնվող թիվ 3 սահմանակետին։ Ապա նույն ուղղությամբ անցնելով թիվ 4 սահմանակետով 778.1 մ, հասնում թիվ 5 սահմանակետին։ Թիվ 5 սահմանակետից սահմանագիծը թեքվելով հյուսիս, թիվ 6 սահմանակետով անցնելով 508.7 մ, հասնում 2121.3 մ նիշ ունեցող գագաթի թիվ 7 սահմանակետին, որտեղից թեքվելով դեպի հարավ-արևելք, թիվ 8 սահմանակետով անցնելով 446.8 մ, հասնում թիվ 9 սահմանակետին, ապա թեքվելով դեպի արևելք, թիվ 10 սահմանակետով անցնելով 799.6 մ, հասնում է Զորակերտ-Արդենիս միջհամայնքային ճանապարհի եզրի թիվ 11 սահմանակետին, և ճանապարհով անցնելով 237.3 մ, հասնում ճանապարհի եզրին գտնվող` Բերդաշեն, Զորակերտ և Արդենիս համայնքների տարածքների բաժանման «Բ» հանգուցային սահմանակետին։ «Ա»-«Բ» սահմանագծի ընդհանուր երկարությունը 3539.9 մ է։ ԲԵՐԴԱՇԵՆ-ԱՐԴԵՆԻՍ ՍԱՀՄԱՆԱԳԻԾԸ` «Բ»-«Գ» Բերդաշեն, Զորակերտ և Արդենիս համայնքների տարածքների բաժանման ճանապարհի եզրին գտնվող «Բ» հանգուցային սահմանակետից սահմանագիծը լանջի վրայով թեքվում է դեպի հարավ, թիվ 1-3 սահմանակետերով անցնելով 1379.8 մ, հասնում Արդենիս-Բերդաշեն միջհամայնքային ճանապարհի եզրի թիվ 4 սահմանակետին, այնուհետև թեքվելով դեպի արևելք, ճանապարհով անցնելով 942.9 մ, հասնում թիվ 5 սահմանակետին, որից հետո թեքվելով դեպի հարավ, թիվ 6-8 սահմանակետերով անցնելով 1212.4 մ, հասնում Ախուրյան գետի ափին գտնվող` Բերդաշեն, Արդենիս համայնքների տարածքների և մարզի համայնքների վարչական սահմաններից դուրս գտնվող հողերի բաժանման «Գ» հանգուցային սահմանակետին։ «Բ»-«Գ» սահմանագծի ընդհանուր երկարությունը 3535.1 մ է։ ԲԵՐԴԱՇԵՆ-ՄԱՐԶԻ ՀԱՄԱՅՆՔՆԵՐԻ ՎԱՐՉԱԿԱՆ ՍԱՀՄԱՆՆԵՐԻՑ ԴՈՒՐՍ ԳՏՆՎՈՂ ՀՈՂԵՐ ՍԱՀՄԱՆԱԳԻԾԸ` «Գ»-«Դ» Բերդաշեն, Արդենիս համայնքների տարածքների և մարզի համայնքների վարչական սահմաններից դուրս գտնվող հողերի բաժանման «Գ» հանգուցային սահմանակետից սահմանագիծը Ախուրյան գետով թեքվում է դեպի արևմուտք, անցնելով 2663.7 մ, հասնում թիվ 1 սահմանակետին, այնուհետև թեքվելով դեպի հարավ-արևելք, անցնելով 1266.9 մ, հասնում թիվ 2 սահմանակետին, ապա թեքվելով դեպի հարավ-արևելք, թիվ 3-6 սահմանակետերով անցնելով 965.4 մ, հասնում Բերդաշեն համայնքի տարածքի, մարզի համայնքների վարչական սահմաններից դուրս գտնվող հողերի և մարզի համայնքների վարչական սահմաններից դուրս գտնվող /Փ. Սեպասար համայնքի նախկին II հատված/ հողերի բաժանման «Դ» հանգուցային սահմանակետին։ «Գ»-«Դ» սահմանագծի ընդհանուր երկարությունը 4895.9 մ Է։ ԲԵՐԴԱՇԵՆ-ՄԱՐԶԻ ՀԱՄԱՅՆՔՆԵՐԻ ՎԱՐՉԱԿԱՆ ՍԱՀՄԱՆՆԵՐԻՑ ԴՈՒՐՍ ԳՏՆՎՈՂ /Փ.ՍԵՊԱՍԱՐ ՀԱՄԱՅՆՔԻ ՆԱԽԿԻՆ II ՀԱՏՎԱԾ/ ՀՈՂԵՐ ՍԱՀՄԱՆԱԳԻԾԸ` «Դ»-«Ե» Բերդաշեն համայնքի տարածքի, մարզի համայնքների վարչական սահմաններից դուրս գտնվող հողերի և մարզի համայնքների վարչական սահմաններից դուրս գտնվող /Փ. Սեպասար համայնքի նախկին II հատված/ հողերի բաժանման «Դ» հանգուցային սահմանակետից սահմանագիծը թեքվելով դեպի հարավ, անցնելով 418.3 մ, հասնում թիվ 1 սահմանակետին, որից հետո թեքվելով դեպի հարավ-արևելք, թիվ 2 սահմանակետով անցնում 841.6 մ, հասնում թիվ 3 սահմանակետին։ Թիվ 3 սահմանակետից սահմանագիծը թեքվելով հարավ-արևմուտք, թիվ 4-7 սահմանակետերով անցնելով 451.5 մ, հասնում Բերդաշեն համայնքի տարածքի, մարզի համայնքների վարչական սահմաններից դուրս գտնվող /Փ. Սեպասար համայնքի նախկին II հատված/ հողերի և մարզի համայնքների վարչական սահմաններից դուրս գտնվող /Բանդիվան համայնքի նախկին II հատված/ հողերի բաժանման «Ե» հանգուցային սահմանակետին։ «Դ»-«Ե» սահմանագծի ընդհանուր երկարությունը 1711,3 մ Է։ ԲԵՐԴԱՇԵՆ-ՄԱՐԶԻ ՀԱՄԱՅՆՔՆԵՐԻ ՎԱՐՉԱԿԱՆ ՍԱՀՄԱՆՆԵՐԻՑ ԴՈՒՐՍ ԳՏՆՎՈՂ /ԲԱՆԴԻՎԱՆ ՀԱՄԱՅՆՔԻ ՆԱԽԿԻՆ II ՀԱՏՎԱԾ/ ՀՈՂԵՐ ՍԱՀՄԱՆԱԳԻԾԸ` «Ե»-«Զ» Բերդաշեն համայնքի տարածքի, մարզի համայնքների վարչական սահմաններից դուրս գտնվող /Փ. Սեպասար համայնքի նախկին II հատված/ հողերի և մարզի համայնքների վարչական սահմաններից դուրս գտնվող /Բանդիվան համայնքի նախկին II հատված/ հողերի բաժանման «Ե» հանգուցային սահմանակետից սահմանագիծը թեքվում Է դեպի հարավ-արևմուտք, թիվ 1, 2 սահմանակետերով անցնելով 536.8 մ, հատելով Բերդաշեն-Ամասիա միջհամայնքային ճանապարհը, հասնում ճանապարհի եզրի թիվ 3 սահմանակետին։ Թիվ 3 սահմանակետից սահմանագիծը թեքվելով նույն ուղղությամբ, թիվ 4-6 սահմանակետերով անցնելով 1145.8 մ, հասնում Բերդաշեն, Զարիշատ համայնքների տարածքների և մարզի համայնքների վարչական սահմաններից դուրս գտնվող /Բանդիվան համայնքի նախկին II հատված/ հողերի բաժանման «Զ» հանգուցային սահմանակետին: «Ե»-«Զ» սահմանագծի ընդհանուր երկարությունը 1682.7 մ Է։ ԲԵՐԴԱՇԵՆ-ԶԱՐԻՇԱՏ ՍԱՀՄԱՆԱԳԻԾԸ` «Զ»-«Է» Բերդաշեն, Զարիշատ համայնքների տարածքների և մարզի համայնքների վարչական սահմաններից դուրս գտնվող /Ողջի համայնքի նախկին III հատված/ հողերի բաժանման «է» հանգուցային սահմանակետից, որը գտնվում Է դաշտային ճանապարհի եզրին, սահմանագիծը թեքվելով դեպի արևելք, թիվ 1 սահմանակետով անցնելով 730.2 մ, հասնում դաշտային ճանապարհի եզրին գտնվող թիվ 2 սահմանակետին։ Թիվ 2 սահմանակետից սահմանագիծը թեքվելով դեպի հարավ-արևելք, անցնելով 692.2 մ, հասնում թիվ 3 սահմանակետին, թեքվելով դեպի հարավ, անցնելով 233.8 մ, հասնում Բերդաշեն, Զարիշատ համայնքների տարածքների և մարզի համայնքների վարչական սահմաններից դուրս գտնվող /Բանդիվան համայնքի նախկին II հատված/ հողերի բաժանման «Զ» հանգուցային սահմանակետին։ «Զ»-«է» սահմանագծի ընդհանուր երկարությունը 1656.2 մ է։ ԲԵՐԴԱՇԵՆ-ՄԱՐԶԻ ՀԱՄԱՅՆՔՆԵՐԻ ՎԱՐՉԱԿԱՆ ՍԱՀՄԱՆՆԵՐԻՑ ԴՈՒՐՍ ԳՏՆՎՈՂ /ՈՂՋԻ ՀԱՄԱՅՆՔԻ ՆԱԽԿԻՆ III ՀԱՏՎԱԾ/ ՀՈՂԵՐ ՍԱՀՄԱՆԱԳԻԾԸ` «է»-«Ը» Բերդաշեն, Զարիշատ համայնքների տարածքների և մարզի համայնքների վարչական սահմաններից դուրս գտնվող /Ողջի համայնքի նախկին III հատված/ հողերի բաժանման «Ը» հանգուցային սահմանակետից սահմանագիծը թեքվում է հարավ-արևմուտք, անցնելով 106.0 մ, հասնում թիվ 1 սահմանակետին, թեքվելով դեպի արևելք, անցնում 225.4 մ, հասնում թիվ 2 սահմանակետին։ Թիվ 2 սահմանակետից սահմանագիծը թեքվելով դեպի հարավ-արևելք, անցնելով 354.5 մ, հասնում թիվ 3 սահմանակետին, թեքվելով նույն ուղղությամբ, անցնելով 551.0 մ, հասնում Բերդաշեն, Զարիշատ համայնքների տարածքների և մարզի համայնքների վարչական սահմաններից դուրս գտնվող /Ողջի համայնքի նախկին III հատված/ հողերի բաժանման «է» հանգուցային սահմանակետին։ «Է»-«Ը» սահմանագծի ընդհանուր երկարությունը 1236.9 մ է։ ԲԵՐԴԱՇԵՆ-ԶԱՐԻՇԱՏ ՍԱՀՄԱՆԱԳԻԾԸ` «Ը»-«Թ» Բերդաշեն, Զարիշատ համայնքների տարածքների և մարզի համայնքների վարչական սահմաններից դուրս գտնվող /Շաղիկ համայնքի նախկին II հատված/ հողերի բաժանման «Թ» հանգուցային սահմանակետից սահմանագիծը թեքվելով դեպի արևելք, անցնելով 182.3 մ, հասնում թիվ 1 սահմանակետին, ապա թեքվելով դեպի հարավ, անցնելով 66.0 մ, հասնում թիվ 2 սահմանակետին, նորից թեքվելով դեպի արևելք, վարելահողի եզրով, անցնելով 212.0 մ, հասնում թիվ 3 սահմանակետին, որից հետո թեքվում է դեպի հարավ, անցնելով 29.4 մ, հասնում թիվ 4 սահմանակետին։ Թիվ 4 սահմանակետից սահմանագիծը թեքվելով դեպի արևելք, հատում դաշտային ճանապարհը, ապա լանջի վրայով, անցնելով 495.0 մ, հասնում թիվ 5 սահմանակետին։ Թիվ 5 սահմանակետից սահմանագիծը թեքվելով հարավ, անցնելով 160.3 մ, հասնում 2209.0 մ նիշ ունեցող Քյաբիր լեռան գագաթի թիվ 6 սահմանակետին։ Թիվ 6, 7 սահմանակետերով թեքվելով դեպի հարավ-արևելք, անցնելով 181.2 մ, հասնում Բերդաշեն, Զարիշատ համայնքների տարածքների և մարզի համայնքների վարչական սահմաններից դուրս գտնվող /Ողջի համայնքի նախկին III հատված/ հողերի բաժանման «Ը» հանգուցային սահմանակետին։ «Ը»-«Թ» սահմանագծի ընդհանուր երկարությունը 1326.3 մ է։
Արփա լճի եզրին գտնվող` Բերդաշեն համայնքի տարածքի, մարզի համայնքների վարչական սահմաններից դուրս գտնվող /Շաղիկ համայնքի նախկին II հատված/ հողերի և Արփա լճի բաժանման «Ժ» հանգուցային սահմանակետից սահմանագիծը թեքվում է դեպի արևելք, անցնելով 124.1 մ, հասնում թիվ 1 սահմանակետին, այնուհետև թեքվելով դեպի հարավ-արևելք, թիվ 2-4 սահմանակետերով անցնելով 1274.3 մ, հասնում Բերդաշեն, Զարիշատ համայնքների տարածքների և մարզի համայնքների վարչական սահմաններից դուրս գտնվող /Շաղիկ համայնքի նախկին II հատված/ հողերի բաժանման «Թ» հանգուցային սահմանակետին։ «Թ»-«Ժ» սահմանագծի ընդհանուր երկարությունը 1398.4 մ է։ ԲԵՐԴԱՇԵՆ-ԱՐՓԱ ԼԻՃ ՍԱՀՄԱՆԱԳԻԾԸ` «Ժ»-«Ի» Արփա լճի եզրին գտնվող` Բերդաշեն համայնքի տարածքի, Ջրային տնտեսության և Արփա լճի բաժանման «Ի» հանգուցային սահմանակետից, սահմանագիծը թեքվում է դեպի հարավ-արևմուտք, Արփա լճի եզրով անցնելով 2847.0 մ, հասնում Արփա լճի եզրին գտնվող` Բերդաշեն համայնքի տարածքի, մարզի համայնքների վարչական սահմաններից դուրս գտնվող /Շաղիկ համայնքի նախկին II հատված/ հողերի և Արփա լճի բաժանման «Ժ» հանգուցային սահմանակետին։ «Ժ»-«Ի» սահմանագծի ընդհանուր երկարությունը 2935.1 մ է։ ԲԵՐԴԱՇԵՆ-ՋՐԱՅԻՆ ՏՆՏԵՍՈՒԹՅԱՆ ՍԱՀՄԱՆԱԳԻԾԸ` «Ի»-«Ա» Բերդաշեն, Զորակերտ համայնքների և ջրային տնտեսության հողերի տարածքների բաժանման «Ա» հանգուցային սահմանակետից սահմանագիծը թեքվում է դեպի հարավ-արևմուտք, հատելով Ախուրյան գետը, անցնելով 178.2 մ, հասնում Ախուրյան գետի եզրին գտնվող` թիվ 1 սահմանակետին, այնուհետև թեքվելով դեպի արևմուտք, անցնելով 56.3 մ, հասնում է Արփա լճի եզրին գտնվող` Բերդաշեն համայնքի տարածքի, Ջրային տնտեսության և Արփա լճի բաժանման «Ի» հանգուցային սահմանակետին։ «Ի»-«Ա» սահմանագծի ընդհանուր երկարությունը 234.5 մ է։ | |
Հայաստանի Հանրապետության կառավարության աշխատակազմի ղեկավար-նախարար |
Մ. Թոփուզյան |
|
| |
|
| |
Հայաստանի Հանրապետության կառավարության աշխատակազմի ղեկավար-նախարար |
Մ. Թոփուզյան |
|
| |
|
ՀԱՅԱՍՏԱՆԻ ՀԱՆՐԱՊԵՏՈՒԹՅԱՆ ՇԻՐԱԿԻ ՄԱՐԶԻ ԲԵՐԴԱՇԵՆԻ ԳՅՈՒՂԱԿԱՆ ՀԱՄԱՅՆՔԻ ՎԱՐՉԱԿԱՆ ՍԱՀՄԱՆՆԵՐՈՒՄ ԳՏՆՎՈՂ` ՊԵՏԱԿԱՆ ՍԵՓԱԿԱՆՈՒԹՅՈՒՆ ՀԱՆԴԻՍԱՑՈՂ ՀՈՂԵՐԻՑ ԲԵՐԴԱՇԵՆԻ ԳՅՈՒՂԱԿԱՆ ՀԱՄԱՅՆՔԻՆ ԱՆՀԱՏՈՒՅՑ ՓՈԽԱՆՑՎՈՂ ՀՈՂԵՐԻ | |
Հայաստանի Հանրապետության կառավարության աշխատակազմի ղեկավար-նախարար |
Մ. Թոփուզյան |
|
| |
|
ՀԱՅԱՍՏԱՆԻ ՀԱՆՐԱՊԵՏՈՒԹՅԱՆ ՇԻՐԱԿԻ ՄԱՐԶԻ ԲԵՐԴԱՇԵՆԻ ԳՅՈՒՂԱԿԱՆ ՀԱՄԱՅՆՔԻ ՎԱՐՉԱԿԱՆ ՍԱՀՄԱՆՆԵՐՈՒՄ ԳՏՆՎՈՂ` ՊԵՏԱԿԱՆ ՍԵՓԱԿԱՆՈՒԹՅՈՒՆ ՀԱՆԴԻՍԱՑՈՂ ՀՈՂԵՐԻՑ ԲԵՐԴԱՇԵՆԻ ԳՅՈՒՂԱԿԱՆ ՀԱՄԱՅՆՔԻՆ ԱՆՀԱՏՈՒՅՑ ՓՈԽԱՆՑՎՈՂ ՀՈՂԵՐԻ | |
Հայաստանի Հանրապետության կառավարության աշխատակազմի ղեկավար-նախարար |
Մ. Թոփուզյան |
|
| |
|
ՀԱՅԱՍՏԱՆԻ ՀԱՆՐԱՊԵՏՈՒԹՅԱՆ ՇԻՐԱԿԻ ՄԱՐԶԻ ԲԵՐԴԱՇԵՆԻ ԳՅՈՒՂԱԿԱՆ ՀԱՄԱՅՆՔԻ ՎԱՐՉԱԿԱՆ ՍԱՀՄԱՆՆԵՐՈՒՄ ԳՏՆՎՈՂ` ՊԵՏԱԿԱՆ ՍԵՓԱԿԱՆՈՒԹՅՈՒՆ ՀԱՆԴԻՍԱՑՈՂ ՀՈՂԵՐԻՑ ԲԵՐԴԱՇԵՆԻ ԳՅՈՒՂԱԿԱՆ ՀԱՄԱՅՆՔԻՆ ԱՆՀԱՏՈՒՅՑ ՓՈԽԱՆՑՎՈՂ ՀՈՂԵՐԻ (ԸՍՏ ՆՊԱՏԱԿԱՅԻՆ ՆՇԱՆԱԿՈՒԹՅԱՆ) | |
Հայաստանի Հանրապետության կառավարության աշխատակազմի ղեկավար-նախարար |
Մ. Թոփուզյան |
|
| |
|
ՀԱՅԱՍՏԱՆԻ ՀԱՆՐԱՊԵՏՈՒԹՅԱՆ ՇԻՐԱԿԻ ՄԱՐԶԻ ԲԵՐԴԱՇԵՆԻ ԳՅՈՒՂԱԿԱՆ ՀԱՄԱՅՆՔԻ ՎԱՐՉԱԿԱՆ ՍԱՀՄԱՆՆԵՐՈՒՄ ԳՏՆՎՈՂ` ՊԵՏԱԿԱՆ ՍԵՓԱԿԱՆՈՒԹՅՈՒՆ ՀԱՆԴԻՍԱՑՈՂ ՀՈՂԵՐԻ (ԸՍՏ ՆՊԱՏԱԿԱՅԻՆ ՆՇԱՆԱԿՈՒԹՅԱՆ) | |
Հայաստանի Հանրապետության կառավարության աշխատակազմի ղեկավար-նախարար |
Մ. Թոփուզյան |
|
| |
|
ՀԱՅԱՍՏԱՆԻ ՀԱՆՐԱՊԵՏՈՒԹՅԱՆ ՇԻՐԱԿԻ ՄԱՐԶԻ ԲԵՐԴԱՇԵՆԻ ԳՅՈՒՂԱԿԱՆ ՀԱՄԱՅՆՔԻ ՀՈՂԱՅԻՆ ՖՈՆԴԻ ԱՌԿԱՅՈՒԹՅԱՆ ԵՎ ԲԱՇԽՄԱՆ ՄԱՍԻՆ | |
Հայաստանի Հանրապետության կառավարության աշխատակազմի ղեկավար-նախարար |
Մ. Թոփուզյան |