«Գրանցված է»
ՀՀ արդարադատության
նախարարության կողմից
20 ապրիլի 2005 թ.
Պետական գրանցման թիվ 60005169
ՀԱՅԱՍՏԱՆԻ ՀԱՆՐԱՊԵՏՈՒԹՅԱՆ
ՀԱՆՐԱՅԻՆ ԾԱՌԱՅՈՒԹՅՈՒՆՆԵՐԸ ԿԱՐԳԱՎՈՐՈՂ ՀԱՆՁՆԱԺՈՂՈՎ
|
5 ապրիլի 2005 թ. |
N 33-Ն |
Ո Ր Ո Շ ՈՒ Մ
ԽՄԵԼՈՒ ՋՐԻ ՄԱՏԱԿԱՐԱՐՄԱՆ, ՋՐԱՀԵՌԱՑՄԱՆ ԵՎ ԿԵՂՏԱՋՐԵՐԻ ՄԱՔՐՄԱՆ ԾԱՌԱՅՈՒԹՅՈՒՆՆԵՐԻ ՄԱՏՈՒՑՄԱՆ ՍԱԿԱԳՆԵՐԻ ՄՇԱԿՄԱՆ ՄԵԹՈԴԻԿԱՆ ՀԱՍՏԱՏԵԼՈՒ ՄԱՍԻՆ
(վերնագիրը փոփ. 06.11.17 N 477-Ն)
Հիմք ընդունելով Հայաստանի Հանրապետության ջրային օրենսգրքի 14-րդ հոդվածը` Հայաստանի Հանրապետության հանրային ծառայությունները կարգավորող հանձնաժողովը որոշում է.
1. Հաստատել խմելու ջրի մատակարարման, ջրահեռացման և կեղտաջրերի մաքրման ծառայությունների մատուցման սակագների մշակման մեթոդիկան (հավելված)։
(1-ին կետը փոփ. 06.11.17 N 477-Ն)
2. Սույն որոշումն ուժի մեջ է մտնում պաշտոնական հրապարակման օրվան հաջորդող տասներորդ օրը։
| ՀՀ հանրային ծառայությունները կարգավորող հանձնաժողովի նախագահ` |
Ռ. Նազարյան |
|
Հավելված | |
|
|
ԽՄԵԼՈՒ ՋՐԻ ՄԱՏԱԿԱՐԱՐՄԱՆ, ՋՐԱՀԵՌԱՑՄԱՆ ԵՎ ԿԵՂՏԱՋՐԵՐԻ ՄԱՔՐՄԱՆ ԾԱՌԱՅՈՒԹՅՈՒՆՆԵՐԻ ՄԱՏՈՒՑՄԱՆ ՍԱԿԱԳՆԵՐԻ ՄՇԱԿՄԱՆ ՄԵԹՈԴԻԿԱ
(վերնագիրը փոփ. 06.11.17 N 477-Ն)
Սույն մեթոդիկան սահմանում է խմելու ջրի մատակարարման, ջրահեռացման և կեղտաջրերի մաքրման ծառայություններ (այսուհետ՝ Ծառայություններ) մատուցող անձանց (այսուհետ՝ Անձինք) կողմից մատուցվող ծառայությունների սակագնային համակարգի մշակման սկզբունքները։
(պարբերությունը փոփ. 06.11.17 N 477-Ն)
Սույն մեթոդիկան չի կիրառվում այն Անձանց նկատմամբ, որոնց համար ջրային համակարգի օգտագործման իրավունքի փոխանցման արդյունքում տրված լիցենզիայով սահմանվել են սակագների սահմանման և վերանայման այլ սկզբունքներ։
(պարբերությունը փոփ. 06.11.17 N 477-Ն)
1. Սակագնային համակարգի մշակման փուլերը
1.1 Սակագնային համակարգի մշակումը իրականացվում է հետևյալ փուլերով՝
ա) Անձանց տարեկան անհրաժեշտ հասույթների որոշում,
բ) ծախսերի վերլուծություն և սպառողներին ու սպառողական խմբերին մատուցվող ծառայությունների արժեքի որոշում,
գ) սակագների կառուցվածքների մշակում և սակագնային դրույքների որոշում։
(1.1-ին կետը փոփ. 06.11.17 N 477-Ն)
2. Անհրաժեշտ հասույթի որոշումը
2.1 Սակագների մշակման գործընթացն իրականացնելիս Անձինք առաջնորդվում են անհրաժեշտ տարեկան հասույթի ապահովման սկզբունքով, համաձայն որի անհրաժեշտ հասույթը բավարարում է իրականացնելու Անձանց հուսալի, անվտանգ և շարունակական գործունեության համար պահանջվող բոլոր գործառնական ծախսերը և ապահովելու ներգրավված կապիտալի դիմաց ողջամիտ շահույթը:
Անհրաժեշտ հասույթը (ԱՀ) հաշվարկվում է հետևյալ բանաձևով՝
ԱՀ = ԹԾ + Մ + ԹՇ - ԱԵ,
որտեղ՝
ԹԾ - թույլատրելի տարեկան ծախսերն են,
Մ - հիմնական միջոցների տարեկան մաշվածության գումարն է,
ԹՇ - թույլատրելի շահույթն է,
ԱԵ - այլ եկամուտներն են։
(2.1-ին կետը փոփ. 06.11.17 N 477-Ն)
2.2 Թույլատրելի ծախսերում (ԹԾ) ներառվում են սակագների հաշվարկման 12 ամսյա ժամանակաշրջանի (այսուհետ` հաշվարկային տարի) ընթացքում Ծառայություններ մատուցելու համար կատարվող ողջամիտ և անհրաժեշտ ընթացիկ ծախսերը, այդ թվում՝
ա) շահագործման և պահպանման ծախսերը, այդ թվում` աշխատավարձերը, նպաստները, ինչպես նաև ջրային համակարգերի շահագործման և ընթացիկ վերանորոգման համար պահանջվող ծախսերը,
բ) հարկերը (բացի շահութահարկից և ավելացված արժեքի հարկից) և Հայաստանի Հանրապետության օրենսդրությամբ սահմանված տուրքերն ու պարտադիր այլ վճարները,
գ) Հայաստանի Հանրապետության օրենսդրությամբ նախատեսված հիմնավորված և անհրաժեշտ այլ ծախսերը,
դ) Հայաստանի Հանրապետության կառավարությունից կամ Հայաստանի Հանրապետության կառավարության երաշխավորմամբ ստացված արտոնյալ վարկերի սպասարկման և մարման հետ կապված ծախսերը:
Ծառայությունների մատուցման հետ չառնչվող ծախսերը չեն ընդգրկվում անհրաժեշտ հասույթի հաշվարկում։
2.3 Հիմնական միջոցների տարեկան մաշվածության (Մ) գումարները հաշվարկվում են գծային մեթոդով` ելնելով Ծառայությունների մատուցման համար Հայաստանի Հանրապետության հանրային ծառայությունները կարգավորող հանձնաժողովի (այսուհետ՝ Հանձնաժողով) կողմից օգտակար և օգտագործվող ճանաչված հիմնական միջոցների սկզբնական (ձեռքբերման) արժեքից կամ ֆինանսական հաշվետվություններում դրան փոխարինող այլ գումարից և օգտակար ծառայության ժամանակահատվածից:
2.4 Թույլատրելի է համարվում շահույթի (ԹՇ) այն մեծությունը, որն Անձանց հնարավորություն է տալիս կատարել ակտիվների ֆինանսավորման համար ներգրավված կապիտալի հետ կապված պարտավորությունները և չխոչընդոտել Անձանց զարգացման համար անհրաժեշտ լրացուցիչ սեփական կամ փոխառու միջոցների ներգրավումը:
Անձի ակտիվների ֆինանսավորման աղբյուրներից, պայմաններից և հնարավորություններից ելնելով` թույլատրելի շահույթի որոշման համար օգտագործվում են հետևյալ եղանակները.
ա) զուտ ակտիվների շահույթի նորմայի եղանակ,
բ) անհրաժեշտ ֆինանսական ծախսերի հատուցման եղանակ:
(2.4-րդ կետը փոփ. 06.11.17 N 477-Ն)
2.5 Զուտ ակտիվների շահույթի նորմայի եղանակի կիրառման դեպքում թույլատրելի շահույթը հաշվարկվում է որպես շահույթի հաշվարկման բազայի (ՇԲ) և թույլատրելի շահույթի նորմայի (ՇՆ) արտադրյալ`
ԹՇ = ՇԲ * ՇՆ:
Շահույթի հաշվարկման բազա է հանդիսանում Անձի զուտ ակտիվների արժեքը, որը հաշվարկվում է հետևյալ բանաձևով`
ՇԲ = ՕՕՈԸԱ - ԿՄ + ՇԿ,
որտեղ`
ՕՕՈԸԱ - Ծառայությունների մատուցման համար Հանձնաժողովի կողմից օգտակար և օգտագործվող ճանաչված ոչ ընթացիկ ակտիվների, այդ թվում` հողի, շենքերի, կառուցվածքների և սարքավորումների, մեքենա-մեխանիզմների և այլ նյութական ակտիվների արժեքն է,
ԿՄ - ոչ ընթացիկ ակտիվների կուտակված մաշվածությունն է, որը հաշվարկվում է սույն մեթոդիկայի 2.3 կետով սահմանված սկզբունքով,
ՇԿ - շրջանառու կապիտալի՝ Հանձնաժողովի կողմից թույլատրելի համարվող մեծությունն է, որի մեջ մտնում են Ծառայությունների իրականացման գծով Անձանց ընթացիկ պարտավորությունների կատարման համար պահանջվող կանխիկ միջոցները, նյութերը և պահեստամասերը:
Շահույթի թույլատրելի նորման Անձի փոխառու և սեփական կապիտալի միջին արժեքն է՝ հաշվարկված կապիտալի կառուցվածքում նրանց բաժնեմասերին համապատասխան`
որտեղ`
ՍԿ և rս - համապատասխանաբար սեփական կապիտալի մեծությունն է հաշվարկային տարվա սկզբում և նրա թույլատրելի (ողջամիտ) շահույթի նորման մինչև հարկումը,
ՓԿi և rՓi - համապատասխանաբար i-րդ փոխառության չմարված մնացորդն է հաշվարկային տարվա սկզբում և նրա սպասարկման արժեքը:
Այս եղանակի կիրառման դեպքում ներգրավված կապիտալի նկատմամբ պարտավորություններն ամբողջությամբ իրականացվում են շահույթի և մաշվածության գումարների հաշվին: Հանձնաժողովի կողմից հաստատված ներդրումային ծրագրերի համաձայնեցման կարգի պահանջներին համապատասխան կատարված ներդրումները հաշվի են առնվում դրանց իրականացումից հետո` շահույթի և մաշվածության բազայում ներառման միջոցով:
(2.5-րդ կետը փոփ. 06.11.17 N 477-Ն)
2.6 Շահույթի և մաշվածության հաշվարկման բազայում, ինչպես նաև շահույթի թույլատրելի նորմայի հաշվարկում չեն ընդգրկվում այն ներդրումները, որոնք իրականացվում են դրամաշնորհների, Հայաստանի Հանրապետության կառավարությունից կամ Հայաստանի Հանրապետության կառավարության երաշխավորմամբ ստացված արտոնյալ վարկերի հաշվին:
2.7 Անհրաժեշտ ֆինանսական ծախսերի հատուցման եղանակի կիրառման դեպքում թույլատրելի շահույթը հաշվարկվում է` հաշվի առնելով Անձի փաստացի ֆինանսական պարտավորությունները և սույն մեթոդիկայի 2.2 կետում նշված թույլատրելի ծախսերի կազմում չընդգրկված այն լրացուցիչ ծախսերը, որոնք անհրաժեշտ են ջրային համակարգի պահպանման և համալրման համար: Հաշվի առնելով, որ այդպիսի ծախսերի ֆինանսավորման աղբյուր են նաև մաշվածության գումարները, անհրաժեշտ հասույթի հաշվարկում մաշվածության և շահույթի փոխարեն ընդգրկվում են հետևյալ մեծությունները`
ա) Հանձնաժողովի հետ համաձայնեցված փոխառու միջոցների սպասարկման (տոկոսավճարներ) և մարման ծախսերը, որոնք որոշվում են Անձի առկա պարտքերի սպասարկման և մարման ժամանակացույցից,
բ) փոխառու միջոցներով և շահագործման ծախսերով չֆինանսավորվող տարեկան կապիտալ ծախսերը, որոնք Անձը կատարում է հիմնական միջոցների համալրման համար` Ծառայությունների անխափանությունն ապահովելու նպատակով, և որի ֆինանսավորումը պետք է իրականացվի տվյալ տարվա հասույթից:
Նշված ծախսերը ներառվում են անհրաժեշտ հասույթի կազմում` Հանձնաժողովի հետ նախապես համաձայնեցված ներդրումային ծրագրերում նախատեսված չափերով:
(2.7-րդ կետը փոփ. 06.11.17 N 477-Ն)
2.8 Այլ եկամուտները ներառում են Ծառայությունների մատուցման համար ներգրավված ակտիվների այլ նպատակներով օգտագործումից (օտարումից) ստացվող լրացուցիչ հասույթների և դրանց պատճառով առաջացող լրացուցիչ ծախսերի տարբերությունը:
2.9 Անհրաժեշտ հասույթի հաշվարկում ընդգրկված ծախսերի որոշման համար հիմք են հանդիսանում հաշվարկային տարվան նախորդող 12-ամսյա ժամանակաշրջանում Ծառայությունների մատուցման համար Անձանց կողմից կատարված փաստացի ծախսերը, որոնց վերաբերյալ գոյություն ունի սպառիչ տեղեկատվություն։
Նշված փաստացի ծախսերը ճշգրտվում են՝ հաշվի առնելով սակագնային հայտի ներկայացման պահին արդեն հայտնի և նոր սակագնի գործողության ընթացքում կանխատեսվող ողջամիտ փոփոխությունները։
(2.9-րդ կետը փոփ. 06.11.17 N 477-Ն)
3. Ծախսերի վերլուծություն և Ծառայությունների արժեքի որոշում
3.1 Սակագների մշակման հաջորդ փուլը ծախսերի վերլուծությունն է, որի միջոցով որոշվում է տարբեր սպառողների խմբերի մասնաբաժինը ընդհանուր ծախսերում և կատարվում այդ ծախսերի բաշխումը բոլոր սպառողական խմբերի միջև:
Ծախսերի վերլուծությունը բաղկացած է հետևյալ քայլերից՝
ա) ծախսերի տարանջատում ըստ գործառույթների,
բ) ծախսերի դասակարգում,
գ) սպառողների խմբավորում,
դ) բաշխման գործակիցների որոշում և ծախսերի բաշխում։
3.2 Ծառայությունների մատուցման համար Անձանց կողմից իրականացվող ծախսերի յուրաքանչյուր տարր բաժանվում է հետևյալ ֆունկցիոնալ տիրույթների միջև` ջրառ (կապտաժ), մայրուղային ջրատարներով ջրի տեղափոխում, ջրի բաշխում և կարգավարում, ջրահեռացում և կեղտաջրերի մաքրում:
(3.2-րդ կետը փոփ. 06.11.17 N 477-Ն)
3.3 Ծախսերը դասակարգվում են հաստատուն, փոփոխական և սպառողների սպասարկման ծախսերի:
Հաստատուն են այն ծախսերը, որոնք Անձը կատարում է անկախ մատակարարված ջրի և սպառողների քանակից: Դրանք հիմնականում Անձի հիմնական միջոցների սպասարկման հետ կապված ծախսերն են և այլ ծախսերը, որոնք պետք է հատուցվեն անկախ սպառված ջրի քանակից (ԾQ):
Փոփոխական են այն ծախսերը, որոնք փոփոխվում են՝ կախված խմելու ջրի մատակարարման, ջրահեռացման ու կեղտաջրերի մաքրման ծավալներից: Այդ ծախսերն ընդգրկում են գնովի ջրի արժեքը, պոմպակայաններում ծախսված էլեկտրաէներգիայի արժեքը և ջրի քանակի հետ կապված այլ ծախսերը (ԾV):
Սպառողների սպասարկման ծախսերն անմիջականորեն կապված են սպառողների սպասարկման հետ և ընդգրկում են ջրաչափերի ցուցմունքները վերցնելու, հաշիվները ներկայացնելու և վճարները հավաքագրելու ծախսերը (Ծn):
(3.3-րդ կետը փոփ. 06.11.17 N 477-Ն)
3.4 Սպառողների խմբավորումն Անձինք իրականացնում են այնպես, որ նույն խմբում ընդգրկվեն սպառողներ, որոնց սպասարկումը գրեթե միանման ծախսային բեռնվածք է ստեղծում։ Սպառողների խմբավորման ժամանակ հաշվի են առնվում ջրամատակարարման ծավալը և պահանջվող ելքը, տեսակը (ինքնահոս, թե մեխանիկական), ջրի կեղտոտման աստիճանը, հաշվառման տեսակը և այլն:
Խմբավորման ժամանակ տարանջատվում են մանրածախ և մեծածախ Ծառայություններից օգտվող սպառողները (սպառողական խմբերը): Մեծածախ են այն Ծառայությունները, որոնք մատուցվում են Ծառայությունների մատուցման լիցենզիա ունեցող այլ անձանց կամ համայնքներին:
(3.4-րդ կետը փոփ. 06.11.17 N 477-Ն)
3.5 Դասակարգված ծախսերը բաշխման գործակիցների միջոցով բաշխվում են սպառողական խմբերի միջև: Գործակիցները որոշվում են այնպես, որ հնարավորինս ճշգրիտ արտացոլեն սպառողական խմբերի ծախսերի առաջացման պատճառները:
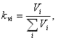
Հաստատուն ծախսերի բաշխման գործակիցները որոշվում են հետևյալ բանաձևով`
որտեղ`
kQi - i-րդ սպառողական խմբի հաստատուն ծախսերի բաշխման գործակիցն է,
Qi - i-րդ սպառողական խմբի՝ տարվա ընթացքում առավելագույն սպառումով ամսվա միջին օրական սպառումն է:
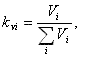
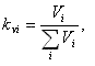
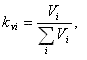
Փոփոխական ծախսերի բաշխման գործակիցները որոշվում են հետևյալ բանաձևով`
որտեղ՝
kVi - i-րդ սպառողական խմբի փոփոխական ծախսերի բաշխման գործակիցն է,
Vi - i-րդ սպառողական խմբի կողմից խմելու ջրի սպառման կամ ջրահեռացման տարեկան ծավալն է:
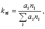
Սպառողների սպասարկման ծախսերի բաշխման գործակիցները որոշելիս՝ նկատի ունենալով, որ տարբեր սպառողական խմբերում ընդգրկված սպառողների սպասարկումն Անձի մեջ տարբեր ծախսեր է առաջացնում և որպես միավոր ընդունելով մեկ բնակիչ-սպառողը, մնացած խմբերի սպառողների համար կիրառվում են «բերման» գործակիցներ, որոնք այս կամ այն ճշտությամբ արտացոլում են այդ տարբերությունները:
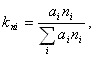
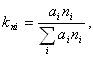
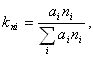
Հաշվի առնելով նշվածը՝ սպառողների սպասարկման ծախսերի բաշխման գործակիցները որոշվում են հետևյալ բանաձևով՝
որտեղ`
ni - i-րդ սպառողական խմբի բաժանորդների քանակն է,
a i - i-րդ սպառողական խմբի մեկ սպառողի բնակիչ-սպառողին «բերման» գործակիցն է, որը ցույց է տալիս, թե տվյալ խմբի մեկ սպառողի սպասարկման ծախսերը մոտավորապես քանի բնակիչ-սպառողի սպասարկման ծախսերին են համարժեք:
Դասակարգված ծախսերի բաշխումը կատարվում է սույն ենթակետով որոշված բաշխման գործակիցների հիման վրա՝ հետևյալ բանաձևերով`
ԾQi = kQi *ԾQ,
ԾVi = kVi *ԾV,
Ծni = kni *Ծn,
որտեղ`
ԾQ, ԾV և Ծn - համապատասխանաբար հաստատուն, փոփոխական և սպառողների սպասարկման ծախսերն են,
ԾQi, ԾVi և Ծni - i-րդ սպառողական խմբի կողմից հատուցվող համապատասխան ծախսերի մասնաբաժիններն են:
(3.5-րդ կետը փոփ. 06.11.17 N 477-Ն)
4. Սակագների մշակումը
4.1 Սակագների մշակումը ենթադրում է մանրածախ և մեծածախ սակագների հետևյալ տեսակների հաշվարկը`
ա) ջրամատակարարման սակագներ,
բ) ջրահեռացման սակագներ,
գ) կեղտաջրերի մաքրման սակագներ:
4.2 Սպառողական տարբեր խմբերի համար սակագների կառուցվածքը կարող է լինել տարբեր, բայց նրանք պետք է ընտրվեն այնպես, որ առավելագույն չափով համապատասխանեն ծախսերի ուսումնասիրության արդյունքում որոշված տարբեր սպառողական խմբերի Ծառայությունների մատուցման ծախսերին:
Ծառայության տեսակից, նրա տեխնիկական ցուցանիշներից և հաշվառման հնարավորություններից կախված՝ սպառողական տարբեր խմբերի համար կարող են կիրառվել մեկ կամ բազմադրույք սակագներ: Սակագնային դրույքների հաշվարկի հիմք են հանդիսանում տարբեր սպառողական խմբերի միջև բաշխված ծախսերը (ԾVi, ԾQi և Ծni):
4.3 Սակագնային դրույքների հաշվարկներն իրականացվում են՝
ա) միադրույք սակագնային համակարգում,
բ) երկդրույք սակագնային համակարգում:
Անձանց կողմից կարող են առաջարկվել սակագնի կառուցվածքի և սակագնային դրույքի հաշվարկների այլ մոտեցումներ։
(4.3-րդ կետը փոփ. 06.11.17 N 477-Ն)
4.4 Միադրույք սակագնային համակարգում տվյալ սպառողական խմբի սակագնային դրույքը որոշվում է հետևյալ բանաձևով`
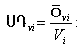
որտեղ՝
ՉՄՔi - տվյալ սպառողական խմբին մատուցվող Ծառայությունները չափելու համար օգտագործվող հաշվարկային մեծությունն է: Եթե տվյալ խմբի բոլոր սպառողների մոտ տեղադրված են ջրաչափական սարքեր, ապա այդ խմբի համար մատուցված Ծառայությունների չափման միավոր է հանդիսանում ջրի մեկ խորանարդ մետրը և այդ դեպքում ՉՄՔ-ն հանդիսանում է սպառողների տվյալ խմբի կողմից տարվա ընթացքում ծախսվող ջրի ծավալը:
Այդ խմբի սպառողներին մատուցված Ծառայությունների դիմաց ամսական վճարը (ԱՎ) որոշվում է հետևյալ բանաձևով՝
ԱՎ= Ui *Vա ,
որտեղ՝ Vա - ջրաչափական սարքերով հաշվառված ամսական ջրի ծախսն է:
Ջրաչափական սարքերի բացակայության կամ ընդհանուր բակային ծորակներից օգտվելու դեպքերում միադրույք սակագինը հաստատագրված ամսական բաժանորդային վճարն է: Նման դեպքերում Ծառայության չափման միավորը բաժանորդն է կամ բնակիչը, և ՉՄՔ-ն տվյալ խմբի բաժանորդների կամ բնակիչների քանակն է:
Եթե նույն սպառողական խմբում ընդգրկված են ջրաչափական սարքեր ունեցող և չունեցող սպառողներ (օրինակ, բնակչության խմբում), ապա սակագնային հաշվարկից առաջ տվյալ խմբի ծախսերը (Ծi = ԾQi + ԾVi + Ծni ) բաժանվում են տարբեր ջրամատակարարման կամ հաշվառման համակարգ ունեցող սպառողների ենթախմբերի միջև, և միայն բաշխված ծախսերով հաշվարկվում ամսական և բաժանորդային վճարները:
Ծախսերի բաշխումը կարելի է իրականացնել բաշխման գործակիցների միջոցով, որոնք որոշվում են հետևյալ բանաձևով՝
որտեղ`
kij - i-րդ խմբի j-րդ ենթախմբի բաշխման գործակիցն է,
Vij - i-րդ խմբի j-րդ ենթախմբի տարեկան օգտագործվող ջրի ծավալն է,
Vi - i-րդ խմբի բոլոր սպառողների տարեկան գումարային օգտագործված ջրի ծավալն է:
Ենթախմբերի տարեկան օգտագործվող ջրի ծավալները Անձինք որոշում են համապատասխան հետազոտությունների միջոցով:
Բաշխման գործակիցների որոշման համար Անձինք կարող են կիրառել Հանձնաժողովի հետ համաձայնեցված այլ մոտեցումներ:
(4.4-րդ կետը փոփ. 06.11.17 N 477-Ն)
4.5 Երկդրույք սակագնային համակարգում սահմանվում են սակագնային հետևյալ դրույքները`
ա) օգտագործված ջրի քանակի դրույք,
բ) ամսական բաժանորդային վճար:
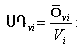
Օգտագործված ջրի քանակի սակագնային դրույքը (ՍԴvi) յուրաքանչյուր սպառողական խմբի համար որոշվում է տվյալ խմբին վերագրված փոփոխական ծախսերի (Ծvi) և այդ խմբի սպառողների կողմից տարվա ընթացքում օգտագործվող ջրի քանակի (Vi) հարաբերությամբ՝
Ամսական բաժանորդային վճարը կարող է լինել երկու տեսակ՝
ա) մեկ բաժանորդի ամսական հաստատագրված բաժանորդային վճար (դրամ/ամիս), որը որոշվում է հետևյալ բանաձևով՝
որտեղ` ni - տվյալ խմբի բաժանորդների քանակն է:
Ամսական հաստատագրված բաժանորդային վճարի դրույքը կարող է օգտագործվել բնակչության և օրական փոքր սպառում ունեցող այլ սպառողների համար: Այս դեպքում երկդրույք սակագնային համակարգում Ծառայությունների դիմաց սպառողների ամսական վճարը որոշվում է հետևյալ բանաձևով՝
ԱՎ= ԲՎ+ՍԴv *Vամս ,
որտեղ՝ Vամս - տվյալ սպառողի ամսական ջրի ծախսն է.
Օրվա մեկ խորանարդ մետր առավելագույն սպառման համար սակագնային դրույքը որոշվում է հետևյալ բանաձևով`
Այս դեպքում ամսական բաժանորդային վճարը որոշվում է հետևյալ բանաձևով՝
(հավելվածը փոփ. 06.11.17 N 477-Ն)