ՀԱՅԱՍՏԱՆԻ ՀԱՆՐԱՊԵՏՈՒԹՅԱՆ ԿԱՌԱՎԱՐՈՒԹՅՈՒՆ
Ո Ր Ո Շ ՈՒ Մ
3 հոկտեմբերի 2019 թվականի N 1368-Ն
ՀԱՅԱՍՏԱՆԻ ՀԱՆՐԱՊԵՏՈՒԹՅԱՆ ԿԱՌԱՎԱՐՈՒԹՅԱՆ 2018 ԹՎԱԿԱՆԻ ԱՊՐԻԼԻ 12-Ի N 451-Ն ՈՐՈՇՄԱՆ ՄԵՋ ՓՈՓՈԽՈՒԹՅՈՒՆՆԵՐ ԵՎ ԼՐԱՑՈՒՄ ԿԱՏԱՐԵԼՈՒ ՄԱՍԻՆ
Հիմք ընդունելով «Նորմատիվ իրավական ակտերի մասին» Հայաստանի Հանրապետության օրենքի 34-րդ հոդվածը` Հայաստանի Հանրապետության կառավարությունը որոշում է.
1. Հայաստանի Հանրապետության կառավարության 2018 թվականի ապրիլի 12-ի «Գիտության և կրթության բնագավառներում նշանակալի նվաճումներ ունեցող քաղաքացիներին պարտադիր զինվորական ծառայության զորակոչից տարկետում տալու կարգը և պայմանները սահմանելու, Հայաստանի Հանրապետության կառավարության 2002 թվականի օգոստոսի 29-ի N 1394-Ն և 2015 թվականի փետրվարի 5-ի N 117-Ն որոշումներում փոփոխություններ կատարելու, ինչպես նաև Հայաստանի Հանրապետության կառավարության 2000 թվականի հունվարի 13-ի N 15 որոշումն ուժը կորցրած ճանաչելու մասին» N 451-Ն որոշման՝
1) 2-րդ կետի 2-րդ ենթակետում «11» թիվը փոխարինել «7» թվով, իսկ «կրթության և գիտության» բառերը՝ «կրթության, գիտության, մշակույթի և սպորտի» բառերով.
2) 2-րդ կետի 4-րդ ենթակետում «կրթության և գիտության» բառերը փոխարինել «կրթության, գիտության, մշակույթի և սպորտի» բառերով.
3) հավելվածի՝
ա. ամբողջ տեքստում «Հայաստանի Հանրապետության կրթության և գիտության բնագավառի պետական լիազոր մարմին» բառերը՝ համապատասխան հոլովաձևերով, փոխարինել «Կրթության, գիտության, մշակույթի և սպորտի նախարարություն» բառերով, իսկ «Հայաստանի Հանրապետության կրթության և գիտության բնագավառի պետական լիազոր մարմնի ղեկավար» բառերը՝ համապատասխան հոլովաձևերով, փոխարինել «Կրթության, գիտության, մշակույթի և սպորտի նախարար» բառերով,
բ. 3-րդ կետում «քաղաքացին» բառից առաջ լրացնել «դիմումը ներկայացնելու պահին 17 տարին լրացած» բառերը, իսկ «մինչև տվյալ տարվա մայիսի 1-ը (իսկ 2018 թվականի համար՝ մինչև հունիսի 8-ը) կամ նոյեմբերի 1-ը» բառերը փոխարինել «տվյալ տարվա ապրիլի 1-ից մինչև մայիսի 1-ը կամ հոկտեմբերի 1-ից մինչև նոյեմբերի 1-ը» բառերով,
գ. 6-րդ կետից հանել «գիտության և կրթության բնագավառների զարգացման համար Հայաստանի Հանրապետության կառավարության կողմից գերակայություն ճանաչված ոլորտներում գործունեություն իրականացնող և» բառերը,
դ. 7-րդ կետից հանել «Հայաստանի Հանրապետության կառավարության կողմից գերակայություն ճանաչված յուրաքանչյուր ոլորտի մասնագիտություններով» բառերը,
ե. 8-րդ կետից հանել «Գերակայություն ճանաչված յուրաքանչյուր ոլորտի մասնագիտություններով» բառերը,
զ. 8-րդ կետի 4-րդ ենթակետից հանել «մագիստրատուրայի և ասպիրանտուրայի ընդունելության մրցույթների արդյունքների և» բառերը,
է. 8-րդ կետի 4-րդ ենթակետում «90» թիվը փոխարինել «80» թվով,
ը. 8-րդ կետի 5-րդ ենթակետն ուժը կորցրած ճանաչել,
թ. 9-րդ կետում «100» թիվը փոխարինել «80» թվով,
ժ. 9-րդ կետում «60» թիվը փոխարինել «49» թվով,
ժա. 9-րդ կետում «65» թիվը փոխարինել «51» թվով,
ժբ. 9.1-ին կետից հանել «Գերակայություն ճանաչված յուրաքանչյուր ոլորտի մասնագիտություններով» բառերը,
ժգ. 9.1-ին կետում «ցանկերի առաջին հինգ տասնյակում ընդգրկված հաստատություններ բակալավրի (դիպլոմավորված մասնագետի, ինտեգրացված), մագիստրատուրայի և ասպիրանտուրայի կրթական ծրագրերով սովորելու կամ դիմորդ հանդիսանալու հանգամանքը` ուսման և կացության համար անհրաժեշտ ֆինանսական աղբյուրների (scholarship) վերաբերյալ փաստաթղթերի առկայությամբ» բառերը փոխարինել «ցանկերի առաջին հինգ տասնյակում ընդգրկված հաստատություններում բակալավրի (դիպլոմավորված մասնագետի, ինտեգրացված), մագիստրատուրայի, ասպիրանտուրայի և այլ կրթական ծրագրերով առկա ուսուցմամբ սովորելու կամ դիմորդ հանդիսանալու հանգամանքը` կրթաթոշակի առնվազն 70 տոկոսի վերաբերյալ փաստաթղթերի առկայությամբ, բացառությամբ՝ անվճար կրթական ծրագրեր իրականացնող բարձրագույն ուսումնական հաստատությունների» բառերով,
ժդ. 11-րդ կետում «զինվորական հաշվառման վայրի զինվորական կոմիսարիատ» բառերը փոխարինել «զինվորական հաշվառումն իրականացրած ստորաբաժանում» բառերով,
ժե. 12-րդ կետը «դեպքերում» բառից հետո լրացնել «Հայաստանի Հանրապետության կրթության և գիտության բնագավառի պետական լիազոր մարմինը Հայաստանի Հանրապետության կառավարություն է ներկայացնում քաղաքացուն տրված տարկետումը դադարեցնելու մասին Հայաստանի Հանրապետության կառավարության որոշման նախագիծ, որի ընդունումից հետո» բառերով.
4) «Նշանակալի նվաճումների ցուցանիշների հաշվարկման մեթոդաբանություն» բաժնի՝
ա. 1-ին պարբերությունում «Գերակայություն ճանաչված յուրաքանչյուր ոլորտի մասնագիտություններով» բառերը հանել,
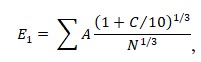
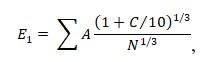
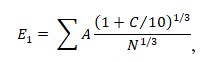
բ. 1-ին կետի բանաձևը շարադրել հետևյալ խմբագրությամբ՝
գ. 4-րդ կետը շարադրել հետևյալ խմբագրությամբ՝
«Միջին որակավորման գնահատականը՝ E4–ը, հաշվարկվում է բարձրագույն ուսումնական հաստատության կողմից տրված փաստաթղթի հիման վրա՝ հետևյալ բանաձևով՝
որտեղ՝
ՄՈԳ-ը՝ հայցորդի միջին որակական գնահատականն է,
ԱՄՈԳ–ը՝ տվյալ ԲՈՒՀ-ի միջին որակական գնահատականի առավելագույն արժեքն է:»,
դ. 5-րդ կետն ուժը կորցրած ճանաչել,
ե. 7-րդ կետից հանել «+ k5 E5», «, E5» և «, k5» բառերը, իսկ աղյուսակը շարադրել հետևյալ խմբագրությամբ՝
| «Կրթական ծրագիրը | Համամասնության գործակցի արժեքը | |||
| K1 | K2 | K3 | K4 | |
| Մագիստրատուրա | 0.5 | 0.5 | 0.6 | 2.4 | 
| Ասպիրանտուրա | 1.0 | 0.5 | 0. 5 | 2.0»: | 
2. Սույն որոշումն ուժի մեջ է մտնում պաշտոնական հրապարակմանը հաջորդող օրվանից:
| Հայաստանի Հանրապետության | Ն. Փաշինյան | 
| 
 2019 թ. հոկտեմբերի 9 Երևան | 
 
                