ՀԱՅԱՍՏԱՆԻ ՀԱՆՐԱՊԵՏՈՒԹՅԱՆ
17 հունվարի 2020 թվականի |
թիվ 2-Ն |
Ո Ր Ո Շ ՈՒ Մ
ՀԱՅԱՍՏԱՆԻ ՀԱՆՐԱՊԵՏՈՒԹՅԱՆ ԿԵՆՏՐՈՆԱԿԱՆ ԲԱՆԿԻ ԽՈՐՀՐԴԻ 2008 ԹՎԱԿԱՆԻ ԴԵԿՏԵՄԲԵՐԻ 16-Ի ԹԻՎ 363-Ն ՈՐՈՇՄԱՆ ՄԵՋ ՓՈՓՈԽՈՒԹՅՈՒՆ ԿԱՏԱՐԵԼՈՒ ՄԱՍԻՆ
Հիմք ընդունելով «Սպառողական կրեդիտավորման մասին» Հայաստանի Հանրապետության օրենքի 14-րդ հոդվածի 4-րդ մասը և «Բնակարանային հիպոտեկային կրեդիտավորման մասին» Հայաստանի Հանրապետության օրենքի 2-րդ հոդվածի 2-րդ մասը,
ղեկավարվելով «Հայաստանի Հանրապետության կենտրոնական բանկի մասին» Հայաստանի Հանրապետության օրենքի 2-րդ հոդվածի 3-րդ մասով և 20-րդ հոդվածի «ե» կետով և «Նորմատիվ իրավական ակտերի մասին» Հայաստանի Հանրապետության օրենքի 33-րդ հոդվածի 1-ին մասով և 34-րդ հոդվածով,
նպատակ ունենալով սույն Կանոնակարգը համահունչ դարձնել օրենսդրական փոփոխությունների արդյունքում սահմանված դրույթներին, արդիականացնել և վերացնել կարգի կիրարկման ընթացքում ի հայտ եկած թերությունները,
գիտակցելով շքեղ ծառայություններով վարկային քարտերի վրա սույն Կանոնակարգի կարգավորումները չկիրառելու անհրաժեշտությունը՝ Հայաստանի Հանրապետության կենտրոնական բանկի խորհուրդը որոշում է.
1. Հայաստանի Հանրապետության կենտրոնական բանկի խորհրդի 2008 թվականի դեկտեմբերի 16-ի ««Տարեկան փաստացի տոկոսադրույքի հաշվարկման բացատրություններ և օրինակներ» կանոնակարգ 8/01-ը հաստատելու մասին» թիվ 363-Ն որոշմամբ հաստատված «Տարեկան փաստացի տոկոսադրույքի հաշվարկման բացատրություններ և օրինակներ» կանոնակարգ 8/01-ը (այսուհետ` Կանոնակարգ) շարադրել նոր խմբագրությամբ՝ համաձայն սույն որոշման Հավելվածի (կցվում է):
2. Սույն որոշումն ուժի մեջ է մտնում պաշտոնական հրապարակման օրվան հաջորդող յոթանասուներորդ օրը:
ՀՀ կենտրոնական բանկի |
Ն. Երիցյան |
2020 թ. հունվարի 22 ք. Երևան |
|
Հավելված Հաստատված էՀայաստանի Հանրապետության կենտրոնական բանկի խորհրդի 2020 թվականի հունվարի 17-ի թիվ 2-Ն որոշմամբ |
«Հավելված Հայաստանի Հանրապետության կենտրոնական բանկի խորհրդի 2008 թվականի դեկտեմբերի 16-ի թիվ 363-Ն որոշման |
Կ Ա Ն Ո Ն Ա Կ Ա Ր Գ 8/01
ՏԱՐԵԿԱՆ ՓԱՍՏԱՑԻ ՏՈԿՈՍԱԴՐՈՒՅՔԻ ՀԱՇՎԱՐԿՄԱՆ ԲԱՑԱՏՐՈՒԹՅՈՒՆՆԵՐ ԵՎ ՕՐԻՆԱԿՆԵՐ
Գ Լ ՈՒ Խ 1
ԸՆԴՀԱՆՈՒՐ ԴՐՈՒՅԹՆԵՐ
1. Սույն կանոնակարգը սահմանում է «Սպառողական կրեդիտավորման մասին» Հայաստանի Հանրապետության օրենքով (այսուհետ` Օրենք) և «Բնակարանային հիպոտեկային կրեդիտավորման մասին» Հայաստանի Հանրապետության օրենքով սահմանված դեպքերում Հայաստանի Հանրապետության տարածքում գործող բանկերի, օտարերկրյա բանկերի մասնաճյուղերի, վարկային կազմակերպությունների և գրավատների կողմից կրեդիտավորման պայմանագրում, գովազդում, հայտարարությունում, առաջարկում, օֆերտայում կամ օֆերտա անելու հրավերում ներառման ենթակա տարեկան փաստացի տոկոսադրույքի հաշվարկման բացատրություններ և օրինակներ:
2․ Սույն կանոնակարգը չի տարածվում բանկերի կողմից տրամադրված այն վարկերի վրա, որոնց համար տրամադրված քարտերը կարող են հնարավորություն տալ օգտվել ֆինանսական գործառնություններ չհանդիսացող «շքեղ» արտոնություններից (օրինակ՝ փոխհատուցման տրամադրում ուղեբեռի կորստի և չվերթի ուշացման դեպքում, բժշկական փոխհատուցում, գնումների ապահովագրություն (գնված ապրանքի կորուստի, վնասման և այլն), ուղեբեռի ապահովագրություն, կոնսիերժ ծառայություն, ավտոքարշակման ծառայություն, անցաթղթի քարտի ծառայություն (Priority Pass), բիզնես սրահների մուտքի հնարավորություն (Lounge Key), ուղեկցում օդանավակայաններում (SpeedPass ծառայություն), վիզա ստանալու աջակցություն, առանց հերթի սպասարկում և այլն)։ Սույն կետով նախատեսված «շքեղ» արտոնություններ չեն համարվում մանրածախ առուվաճառքի ոլորտում ապրանքների և սույն կետում չթվարկված սպասարկման ոլորտում ծառայությունների տրամադրումը (օրինակ՝ քարտով վճարում կատարելիս առաջարկվող զեղչեր, բոնուսներ, cashback և այլն)։
Գ Լ ՈՒ Խ 2
ՀԱՍԿԱՑՈՒԹՅՈՒՆՆԵՐ
3. Սույն կանոնակարգում օգտագործվող հիմնական հասկացություններն են.
1) «Կրեդիտի մարմանն ուղղված վճարներ»` կրեդիտի ստացման և (կամ) գործողության ընթացքում սպառողի կողմից կրեդիտավորման համար կատարվող բոլոր վճարները` կրեդիտի մայր գումարը և կրեդիտավորման ընդհանուր ծախսի մեջ ներառվող վճարումները (տոկոսագումարները և այլ վճարումներ),
2) «Այլ վճարումներ»` սույն կանոնակարգի 5-րդ կետում սահմանված այլ վճարումների մեջ ընդգրկվող տարրեր:
3) «Կրեդիտավորման ընդհանուր ծախս»` բոլոր տոկոսագումարներն ու այլ վճարումները, որոնք սպառողը պարտավոր է վճարել (կատարել) կրեդիտավորման (կրեդիտի ստացման և գործողության ընթացքում) համար,
4) «Տարեկան փաստացի տոկոսադրույք»՝ սպառողի կրեդիտավորման ընդհանուր ծախսը՝ արտահայտված տրամադրված կրեդիտի տարեկան տոկոսով և հաշվարկված՝ հիմք ընդունելով սույն կանոնակարգի 4-րդ կետում նշված բանաձևը:
5) «Կրեդիտավորող»` ըստ «Սպառողական կրեդիտավորման մասին» Հայաստանի Հանրապետության օրենքով սահմանված նշանակության:
6) «Կրեդիտ»` ըստ «Սպառողական կրեդիտավորման մասին» Հայաստանի Հանրապետության օրենքով սահմանված նշանակության:
Գ Լ ՈՒ Խ 3
ՏԱՐԵԿԱՆ ՓԱՍՏԱՑԻ ՏՈԿՈՍԱԴՐՈՒՅՔԻ ՀԱՇՎԱՐԿՄԱՆ ԲԱՆԱՁԵՎԸ ԲԱՑԱՏՐՈՒԹՅՈՒՆՆԵՐ ԵՎ ՕՐԻՆԱԿՆԵՐ
4. Բանկերը, օտարերկրյա բանկերի մասնաճյուղերը, վարկային կազմակերպությունները և գրավատները իրենց կողմից տրամադրած կամ տրամադրվելիք կրեդիտների դիմաց հաշվարկում են տարեկան փաստացի տոկոսադրույք՝ հիմք ընդունելով Օրենքի 13-րդ հոդվածով տրված տարեկան փաստացի տոկոսադրույքի հաշվարկման բանաձևը՝
որտեղ՝
i - տարեկան փաստացի տոկոսադրույքն է, որը համաձայն Օրենքի 2-րդ հոդվածի 5-րդ և 7-րդ մասերի, սպառողի կրեդիտավորման ընդհանուր ծախսն է, արտահայտված տրամադրված կրեդիտի տարեկան տոկոսով, և որն իր մեջ պարունակում է բոլոր տոկոսներն ու այլ վճարումները, որոնք սպառողը պարտավոր է վճարել կրեդիտի ստացման, ինչպես նաև դրա գործողության ողջ ընթացքում:
A - սպառողին տրամադրվող կրեդիտի սկզբնական գումարն է:
Կրեդիտավորման պայմանագրով կրեդիտի առավելագույն սահմանաչափը սահմանված չլինելու դեպքում տրամադրված կրեդիտի առավելագույն չափը մեկ միլիոն դրամ է:
n - սպառողի կողմից կրեդիտի մարմանն ուղղված (կրեդիտի մայր գումար, տոկոսագումարներ և(կամ) այլ վճարումների գումարներ) վճարի (ներառյալ կրեդիտի ստացման պահին կատարվող վճարի) հերթական համարն է: Ընդ որում, մեկ օրվա ընթացքում կրեդիտի մայր գումարի, տոկոսագումարների և(կամ) այլ վճարումների կատարումը համարվում է մեկ վճարում:
N - կրեդիտի մարմանը (կրեդիտի մայր գումար, տոկոսագումարներ և(կամ) այլ վճարումների գումարներ) ուղղված վերջին վճարի համարն է (ներառյալ նաև կրեդիտի ստացման պահին կատարվող վճարը), որից հետո սպառողի կողմից կրեդիտային պայմանագրով ստանձնած պարտավորությունները համարվում են մարված: Օրինակ՝ կրեդիտը տրամադրվել է 12 ամսով, կրեդիտի մայր գումարի ու տոկոսագումարների ամենամսյա միաժամանակ մարումների պայմանով և կրեդիտի տրամադրման պահին նախատեսվող այլ վճարումներով, հետևաբար N=13, քանի որ մեկ վճարում իրականացվում է կրեդիտի տրամադրման պահին և ևս 12-ը՝ համաձայն կրեդիտային պայմանագրի պայմանների:
Kn - սպառողի կողմից մինչև կրեդիտի ստացման պահը, կրեդիտի ստացման պահին և (կամ) կրեդիտի գործողության ընթացքում կատարված հերթական՝ n-րդ վճարի գումարն է (մայր գումար, տոկոսագումարներ և (կամ) այլ վճարումների գումարներ):
Այն դեպքում, երբ կրեդիտավորման պայմանագրով թույլատրվում են տոկոսների և (կամ) սպառողի կրեդիտավորման ընդհանուր ծախսի մեջ ներառվող այլ վճարների քանակի կամ չափի փոփոխություններ, և հնարավոր չէ այդ փոփոխություններին տալ գումարային արտահայտություն, ապա տարեկան փաստացի տոկոսադրույքը պետք է հաշվարկվի` ենթադրելով, որ տոկոսները և (կամ) սպառողի կրեդիտավորման ընդհանուր ծախսի մեջ ներառվող այլ վճարները մնալու են կայուն և կիրառվելու են մինչև կրեդիտավորման պայմանագրի գործողության ավարտը:
Dn - այն թիվն է, որը ցույց է տալիս, թե քանի օր է անցել կրեդիտի ստացման օրից մինչև կրեդիտի գումարի հերթական՝ n-րդ մարման օրը ներառյալ:
Օրինակ՝ կրեդիտը տրամադրվել է սեպտեմբերի 15-ին, կրեդիտի տրամադրման համար կրեդիտի ստացման պահին նախատեսված են այլ վճարումներ, և կրեդիտի առաջին մասնակի մարումը տեղի է ունենալու նույն տարվա հոկտեմբերի 15-ին: Այս դեպքում D1=0, քանի որ այլ վճարումները կատարվելու են կրեդիտի ստացման օրը, D2=30, քանի որ կրեդիտի տրամադրումից մինչև հերթական մարումն ընկած օրերի թիվը 30 է, իսկ D3-ից մինչև Dn ընկած օրերի թիվը հաշվարկվում է նույն սկզբունքով:
Եթե կրեդիտավորման պայմանագրով նախատեսված է, որ սպառողը կարող է կրեդիտի գումարը ստանալ մաս առ մաս կամ կարող է ընտրել կրեդիտի գումարը ստանալու պահը, ապա կրեդիտի ստացման օր է համարվում կրեդիտավորման պայմանագիրը կնքելու օրը:
5. Կրեդիտավորման ընդհանուր ծախսի և, հետևաբար, տարեկան փաստացի տոկոսադրույքի հաշվարկի մեջ ներառվող այլ վճարները ներառում են սպառողի կողմից կրեդիտավորման համար պարտադիր կատարման ենթակա հետևյալ վճարները (դրանց առկայության դեպքում)՝
1) կրեդիտի ձևակերպման վճարը,
2) նախկինում ստացված կրեդիտի ժամկետանց մարումներ ունենալու դեպքում տվյալ կրեդիտավորողից նոր կրեդիտի ձևակերպման վճարը,
3) կրեդիտավորման փաստաթղթերի պատրաստման վճարը,
4) կրեդիտի սպասարկման վճարը,
5) գրավի ձևակերպման համար վճարը,
6) կազմակերպություններին, միություններին կամ այլ խմբերին անդամակցելու կամ բաժանորդագրվելու համար նախատեսված վճարները, եթե կրեդիտավորողը հանդիսանում է այդ կազմակերպությունների, միությունների կամ այլ խմբերի հիմնադիրը կամ մասնակիցը, և կրեդիտի պայմանները կախված են նման անդամակցումից կամ բաժանորդագրումից.
Օրինակ՝ բանկը հայտարարում է կրեդիտային պայմանագրի կնքման արտոնյալ պայմաններ այն անձանց համար, ովքեր կհանդիսանան իր կողմից հիմնադրած միության անդամ: Անդամակցության համար պահանջվում է տարեկան անդամավճար: Կրեդիտի ժամկետի ընթացքում սպառողի կողմից վճարվելիք անդամավճար(ներ)ի գումարը պետք է ներառվի տարեկան փաստացի տոկոսադրույքի հաշվարկի մեջ,
7) ապահովագրության, գնահատման և այլ օժանդակ ծառայությունների դիմաց կատարվող վճարները, եթե այդ ծառայություններից օգտվելը հանդիսանում է կրեդիտավորման պայմանագիրը կնքելու կամ գովազդվող տարեկան փաստացի տոկոսադրույքը ստանալու նախապայման և այդ ծառայությունների շահառուն հանդիսանում է կրեդիտավորողը կամ կրեդիտավորողը սահմանում է այն անձանց շրջանակը, որոնց հետ սպառողն իրավունք ունի կնքել օժանդակ ծառայությունների մատուցման պայմանագրեր. Օրինակներ՝
ա. Բանկը, որպես կրեդիտավորման պայմանագիրը կնքելու նախապայման, պահանջում է գրավադրված գույքի ապահովագրություն` հանդիսանալով կնքվող ապահովագրության պայմանագրի շահառուն,
բ. Բանկը, որպես կրեդիտավորման պայմանագիրը կնքելու նախապայման, պահանջում է գրավադրված գույքի ապահովագրություն, ինչպես նաև սահմանում է այն անձանց շրջանակը, որոնց հետ սպառողն իրավունք ունի կնքել ապահովագրության պայմանագիր,
գ. Բանկը, որպես գովազդվող տարեկան փաստացի տոկոսադրույքը ստանալու նախապայման, պահանջում է գրավադրված գույքի ապահովագրություն` հանդիսանալով կնքվող ապահովագրության պայմանագրի շահառուն,
դ. Բանկը, որպես գովազդվող տարեկան փաստացի տոկոսադրույքը ստանալու նախապայման, պահանջում է գրավադրված գույքի ապահովագրություն, ինչպես նաև սահմանում է այն անձանց շրջանակը, որոնց հետ սպառողն իրավունք ունի կնքել ապահովագրության պայմանագիր,
ե. Բանկը, որպես կրեդիտավորման պայմանագիրը կնքելու նախապայման, պահանջում է գրավադրված գույքի ապահովագրություն` հանդիսանալով կնքվող ապահովագրության պայմանագրի շահառուն, ինչպես նաև սահմանում է այն անձանց շրջանակը, որոնց հետ սպառողն իրավունք ունի կնքել ապահովագրության պայմանագիր,
զ. Բանկը, որպես գովազդվող տարեկան փաստացի տոկոսադրույքը ստանալու նախապայման, պահանջում է գրավադրված գույքի ապահովագրություն` հանդիսանալով կնքվող ապահովագրական պայմանագրի շահառուն, ինչպես նաև սահմանում է այն անձանց շրջանակը, որոնց հետ սպառողն իրավունք ունի կնքել ապահովագրության պայմանագիր,
8) վճարային քարտի հետ կապված բոլոր տեսակի վճարները, երբ սպառողը կրեդիտի ստացման հարցում չունի ողջամիտ այլընտրանք.
Օրինակ՝ բանկը կրեդիտը տրամադրում է միայն իր կողմից տրամադրվող նոր վճարային քարտի միջոցով, որի դեպքում սպառողը չունի ողջամիտ այլընտրանք՝ իրեն պատկանող մեկ այլ գործող վճարային քարտին փոխանցելու հնարավորություն: Ընդ որում, վճարային քարտը գործող է համարվում, եթե այն սպառողին է տրամադրվել նախքան կրեդիտավորման դիմում-հայտ ներկայացնելը և վճարային քարտով մինչև կրեդիտավորման դիմում-հայտ ներկայացնելը սպառողի կողմից իրականացվել են գործարքներ (ելքագրումներ, մուտքագրումներ),
9) Կրեդիտի կանխիկացման համար գանձվող միջնորդավճարը այն ենթադրությամբ, որ սպառողը ամբողջությամբ կրեդիտը կանխիկացնելու է կրեդիտավորողի բանկոմատից, եթե չունի կրեդիտի գումարը օգտագործելու ողջամիտ այլընտրանք (օրինակ՝ Բանկի դրամարկղից առձեռն ստացումը): Ընդ որում, եթե կրեդիտի օգտագործման ընթացքում նախատեսված են պարտադիր համալրումներ, ապա տարեկան փաստացի տոկոսադրույքի հաշվարկի մեջ չեն ներառվում պարտադիր համալրումներից հետո կատարվող ընթացիկ կանխիկացումների միջնորդավճարները,
10) կրեդիտավորման հետ կապված այլ վճարները, որոնք սպառողը պարտավոր է կատարել կրեդիտավորման համար, բացառությամբ Օրենքի 15-րդ հոդվածի 1-ին մասով սահմանված սպառողի կրեդիտավորման ընդհանուր ծախսի մեջ չներառվող վճարների:
6. Սույն կանոնակարգի 4-րդ կետում նշված բանաձևով հաշվարկված տարեկան փաստացի տոկոսադրույքի մեծությունը պետք է կլորացնել առնվազն մինչև մեկ հարյուրերորդականը և բազմապատկել 100-ով՝ տոկոսային մեծություն ստանալու համար:
7. Կրեդիտավորման պայմանագրով կրեդիտի վերադարձման ժամանակացույց կամ կրեդիտավորման պայմանագրի դրույթներով վերադարձման ժամկետներ սահմանված չլինելու դեպքում տարեկան փաստացի տոկոսադրույքի հաշվարկում կրեդիտի վերադարձման ժամկետ է համարվում մեկ տարին: Այն դեպքում, երբ կրեդիտավորման պայմանագիրը սահմանում է կրեդիտի վերադարձման մեկից ավելի ժամկետներ, ապա կրեդիտի վերադարձի ժամկետ է համարվում կրեդիտավորման պայմանագրով սահմանված ամենաշուտ ժամկետը, եթե այլ բան նախատեսված չէ կրեդիտավորման պայմանագրով:
8. Արտարժույթով տրամադրվող կրեդիտների տարեկան փաստացի տոկոսադրույքի հաշվարկի ժամանակ կրեդիտի գումարը փոխարկվում է դրամի, իսկ որպես փոխարկման փոխարժեք հիմք է ընդունվում Հայաստանի Հանրապետության կենտրոնական բանկի պաշտոնական կայքէջում հրապարակված արտարժույթի փոխարժեքը: Ընդ որում, կրեդիտավորման պայմանագրում, սպառողական կրեդիտների էական պայմանների անհատական թերթիկներում, փաստացի տոկոսադրույքի հաշվարկման համար հիմք է ընդունվում Հայաստանի Հանրապետության կենտրոնական բանկի պաշտոնական կայքէջում հրապարակված արտարժույթի վերջին փոխարժեքը, իսկ մնացած դեպքերում, այդ թվում՝ տեղեկատվական ամփոփագրերում և ցանկացած գովազդում, դրանց պատրաստման օրվա դրությամբ Հայաստանի Հանրապետության կենտրոնական բանկի պաշտոնական կայքէջում հրապարակված արտարժույթի փոխարժեքը: Վարկի փաստացի մարումների ժամանակ հիմք ընդունվող փոխարժեքը կարող է տարբերվել փաստացի տոկոսադրույքի հաշվարկման ժամանակ հիմք ընդունված փոխարժեքից:
9. Եթե կրեդիտավորման պայմանագրով սպառողին հնարավորություն է տրվում կատարել մարումներ ազատ գրաֆիկով, ապա ենթադրվում է, որ կրեդիտի ամբողջ գումարը մարվում է ժամկետի վերջում և ամբողջությամբ:
10. Եթե կրեդիտը նախատեսում է մարումների տարբեր ձևեր, տարբեր պարտադիր վճարներով կամ տոկոսադրույքներով, որոնց հնարավոր չէ տալ գումարային արտահայտություն և ողջամիտ ձևով հաշվարկել տարեկան փաստացի տոկոսադրույքի չափը, ապա ենթադրվում է, որ կրեդիտի ամբողջ գումարը մարվում է տվյալ/նմանատիպ կրեդիտների համար ֆինանսական կազմակերպության կողմից կիրառվող ամենատարածված մարման ձևով, պարտադիր վճարներով և տոկոսադրույքներով:
11. Եթե կրեդիտավորման պայմանագրով տարբեր ժամանակահատվածների համար նախատեսվում է մարումների տարբեր ձևեր, տարբեր պարտադիր վճարներով կամ տոկոսադրույքներով, որոնք յուրաքանչյուր ժամանակահատվածի համար նախապես հայտնի են, ապա տարեկան փաստացի տոկոսադրույքի հաշվարկում պարտադիր վճարներն ու տոկոսադրույքները ընդգրկվում են տվյալ ժամանակահատվածի համար սահմանված չափով:
12. Վարկային գծի (оվերդրաֆտի) դեպքում ենթադրվում է, որ
1) կրեդիտը սպառողի կողմից ամբողջությամբ օգտագործվելու է կրեդիտավորման պայմանագրի կնքման օրվանից սկսված,
2) վերականգնվող վարկային գծի հերթական մարում իրականացնելուն հաջորդող օրը սպառողը կրկին ամբողջությամբ օգտագործելու է վարկային գիծը` չօգտագործված մասի չափով,
3) վարկային գիծն ամբողջությամբ մարվելու է կրեդիտավորման պայմանագրի մարման ավարտի օրը,
4) մարման արտոնյալ ժամանակահատվածը (առկայության դեպքում) հաշվի չի առնվում տարեկան փաստացի տոկոսադրույքի հաշվարկում:
13.
Օրինակ 1. Պարզ վարկ - Հավասարաչափ մարում | |
13.1 Վարկի պայմաններ |
Գումար՝ 500 000 դրամ Անվանական տոկոսադրույք՝ 10% Մարում՝ ամենամսյա հավասարաչափ Ժամկետ՝ 1 տարի |
13.2 Մարման գրաֆիկ
Մարումների հաճախականություն` n |
Ստացումից մինչև հերթական մարումն ընկած օրերի թիվը` Dn |
Մարվող տոկոսա-գումարներ |
Մայր գումարի մարումներ |
Մարման հերթական ընդհանուր վճար` Kn |
1 |
31 |
4,246.58 |
39,708.87 |
43,955.44 |
2 |
62 |
3,909.32 |
40,046.12 |
43,955.44 |
3 |
90 |
3,223.80 |
40,731.65 |
43,955.44 |
4 |
121 |
3,223.26 |
40,732.18 |
43,955.44 |
5 |
151 |
2,784.50 |
41,170.94 |
43,955.44 |
6 |
182 |
2,527.65 |
41,427.79 |
43,955.44 |
7 |
212 |
2,105.61 |
41,849.83 |
43,955.44 |
8 |
243 |
1,820.36 |
42,135.08 |
43,955.44 |
9 |
274 |
1,462.50 |
42,492.94 |
43,955.44 |
10 |
304 |
1,066.07 |
42,889.38 |
43,955.44 |
11 |
335 |
737.33 |
43,218.11 |
43,955.44 |
12 |
365 |
358.33 |
43,597.11 |
43,955.44 |
Ընդամենը |
27,465.31 |
500,000.00 |
527,465.31 |
13.3 Հաշվարկ |
N=12 i=10.47 (ՏՓՏ=0.1047*100=10.47%) |
14.
Օրինակ 2. Պարզ վարկ - Ոչ հավասարաչափ մարում | |
14.1 Վարկի պայմաններ |
Գումար՝ 500 000 դրամ Անվանական տոկոսադրույք՝ 10% Մարում՝ մայր գումարը հավասարաչափ է, սակայն տոկոսները անհավասարաչափ Ժամկետ՝ 1 տարի |
14.2 Մարման գրաֆիկ
Մարումների հաճախակա-նություն` n |
Ստացումից մինչև հերթական մարումն ընկած օրերի թիվը` Dn |
Մարվող տոկոսագումարներ |
Մայր գումարի մարումներ |
Մարման հերթական ընդհանուր վճար` Kn |
1 |
31 |
4,246.58 |
41,666.67 |
45,913.24 |
2 |
62 |
3,892.69 |
41,666.67 |
45,559.36 |
3 |
90 |
3,196.35 |
41,666.67 |
44,863.01 |
4 |
121 |
3,184.93 |
41,666.67 |
44,851.60 |
5 |
151 |
2,739.73 |
41,666.67 |
44,406.39 |
6 |
182 |
2,477.17 |
41,666.67 |
44,143.84 |
7 |
212 |
2,054.79 |
41,666.67 |
43,721.46 |
8 |
243 |
1,769.41 |
41,666.67 |
43,436.07 |
9 |
274 |
1,415.53 |
41,666.67 |
43,082.19 |
10 |
304 |
1,027.40 |
41,666.67 |
42,694.06 |
11 |
335 |
707.76 |
41,666.67 |
42,374.43 |
12 |
365 |
342.47 |
41,666.67 |
42,009.13 |
Ընդամենը |
27,054.79 |
500,000 |
527,054.79 |
14.3 Հաշվարկ |
N=12 i=10.47 (ՏՓՏ=0.1047*100=10.47%) |
15.
Օրինակ 3. Պարզ վարկ - Եռամսյակային հավասարաչափ մարում | |
15.1 Վարկի պայմաններ |
Գումար՝ 500 000 դրամ Անվանական տոկոսադրույք՝ 10% Մարում՝ եռամսյակային, հավասարաչափ Ժամկետ՝ 1 տարի |
15.2 Մարման գրաֆիկ
Մարումների հաճախա-կանություն` n |
Ստացումից մինչև հերթական մարումն ընկած օրերի թիվը` Dn |
Մարվող տոկոսագումարներ |
Մայր գումարի մարումներ |
Մարման հերթական ընդհանուր վճար` Kn |
1 |
92 |
12,602.74 |
120,293.02 |
132,895.76 |
2 |
181 |
9,258.61 |
123,637.16 |
132,895.76 |
3 |
273 |
6,454.36 |
126,441.40 |
132,895.76 |
4 |
365 |
3,267.35 |
129,628.42 |
132,895.76 |
Ընդամենը |
31,583.06 |
500,000 |
531,583.06 |
15.3 Հաշվարկ |
N=4 i=10.38 (ՏՓՏ=0.1038*100=10.38%) |
16.
Օրինակ 4. Պարզ վարկ - Եռամսյակային ոչ հավասարաչափ մարում | |
16.1 Վարկի պայմաններ |
Գումար՝ 500 000 դրամ Անվանական տոկոսադրույք՝ 10% Մարում՝ եռամսյակային, ոչ հավասարաչափ Ժամկետ՝ 1 տարի |
16.2 Մարման գրաֆիկ
Մարումների հաճախա-կանություն` n |
Ստացումից մինչև հերթական մարումը ընկած օրերի թիվը` Dn |
Մարվող տոկոսագու-մարներ |
Մայր գումարի մարումներ |
Մարման հերթական ընդհանուր վճար` Kn |
1 |
92 |
12,602.74 |
125,000 |
137,602.74 |
2 |
181 |
9,143.84 |
125,000 |
134,143.84 |
3 |
273 |
6,301.37 |
125,000 |
131,301.37 |
4 |
365 |
3,150.68 |
125,000 |
128,150.68 |
Ընդամենը |
31,198.63 |
500,000 |
531,198.63 |
16.3 Հաշվարկ |
N=4 i=10.38 (ՏՓՏ=0.1038*100=10.38%) |
17.
Օրինակ 5. Պարզ վարկ – Տոկոսագումարի միանվագ վճարում | |
17.1 Վարկի պայմաններ |
Գումար՝ 500 000 դրամ Անվանական տոկոսադրույք՝ 10% Մարում՝ տոկոսագումարը ամբողջությամբ վճարվում է վարկի Ժամկետ՝ 1 տարի |
17.2 Մարման գրաֆիկ
Մարումների հաճախակա-նություն` n |
Ստացումից մինչև հերթական մարումն ընկած օրերի թիվը` Dn |
Մարվող տոկոսագումարներ |
Մայր գումարի մարումներ |
Մարման հերթական ընդհանուր վճար` Kn |
1 |
30 |
26,997.72 |
41,666.67 |
68,664.38 |
2 |
61 |
41,666.67 |
41,666.67 | |
3 |
92 |
41,666.67 |
41,666.67 | |
4 |
120 |
41,666.67 |
41,666.67 | |
5 |
151 |
41,666.67 |
41,666.67 | |
6 |
181 |
41,666.67 |
41,666.67 | |
7 |
212 |
41,666.67 |
41,666.67 | |
8 |
242 |
41,666.67 |
41,666.67 | |
9 |
273 |
41,666.67 |
41,666.67 | |
10 |
304 |
41,666.67 |
41,666.67 | |
11 |
334 |
41,666.67 |
41,666.67 | |
12 |
365 |
41,666.67 |
41,666.67 | |
Ընդամենը |
26,997.72 |
500,000 |
526,997.72 |
17.3 Հաշվարկ |
N=12
i=10.82 (ՏՓՏ=0.1082*100=10.82% |
18.
Օրինակ 6. Վարկ միանվագ այլ վճարումներով վարկի ստացման պահին | |
18.1 Վարկի պայմաններ |
Գումար՝ 500 000 դրամ Անվանական տոկոսադրույք՝ 10% Մարում՝ ամենամսյա հավասարաչափ մարումներ (մայր գումարը և տոկոսները միասին նույն գումարն է յուրաքանչյուր ամիս) Ժամկետ՝ 1 տարի Այլ վճարումներ (վարկի ստացման օրը)՝ Փաստաթղթերի պատրաստման համար միանվագ վճար՝ 5000 դրամ Վարկի սպասարկման համար միանվագ վճար՝ 1000 դրամ: |
18.2 Հաշվարկ |
K1 =5000+1000=6000 i=13.01% (ՏՓՏ=0.1301*100=13.01%) |
18.3 Մարման գրաֆիկ
Մարումների հաճախակա-նություն` n |
Ստացումից մինչև հերթական մարումը ընկած օրերի թիվը` Dn |
Այլ վճարներ |
Մարվող տոկոսագու-մարներ |
Մայր գումարի մարումներ |
Մարման հերթական ընդհանուր վճար` Kn |
1 |
0 |
6000 |
6000 | ||
2 |
30 |
4,109.59 |
39,840.90 |
43,950.49 | |
3 |
61 |
3,908.20 |
40,042.29 |
43,950.49 | |
4 |
92 |
3,568.12 |
40,382.37 |
43,950.49 | |
5 |
120 |
2,913.03 |
41,037.46 |
43,950.49 | |
6 |
151 |
2,876.60 |
41,073.88 |
43,950.49 | |
7 |
181 |
2,446.22 |
41,504.27 |
43,950.49 | |
8 |
212 |
2,175.26 |
41,775.23 |
43,950.49 | |
9 |
242 |
1,761.73 |
42,188.76 |
43,950.49 | |
10 |
273 |
1,462.14 |
42,488.35 |
43,950.49 | |
11 |
304 |
1,101.28 |
42,849.21 |
43,950.49 | |
12 |
334 |
713.57 |
43,236.92 |
43,950.49 | |
13 |
365 |
370.13 |
43,580.35 |
43,950.49 | |
Ընդամենը |
6000 |
27,405.86 |
500,000 |
533,405.86 |
19.
Օրինակ 7. Վարկ` այլ փոփոխական վճարումներով վարկի սպասարկման ընթացքում | |
19.1 Վարկի պայմաններ |
Գումար՝ 3 000 000 դրամ Անվանական տոկոսադրույք՝ 10% Մարում՝ ամենամսյա հավասարաչափ մարումներ (մայր գումարը և տոկոսները միասին նույն գումարն է յուրաքանչյուր ամիս) Ժամկետ՝ 2 տարի Այլ վճարումներ՝
|
19.2 Մարման գրաֆիկ
Մարումների հաճախակա-նություն` n |
Ստացումից մինչև հերթական մարումը ընկած օրերի թիվը` Dn |
Այլ վճարներ |
Մարվող տոկոսագու-մարներ |
Մայր գումարի մարումներ |
Մարման հերթական ընդհանուր վճար` Kn |
1 |
0 |
98,000 |
98000 | ||
2 |
31 |
1000 |
25,479.45 |
112,925.24 |
139,404.69 |
3 |
59 |
1000 |
22,147.42 |
116,257.27 |
139,404.69 |
4 |
90 |
1000 |
23,532.97 |
114,871.72 |
139,404.69 |
5 |
120 |
1000 |
21,829.69 |
116,575.00 |
139,404.69 |
6 |
151 |
1000 |
21,567.26 |
116,837.43 |
139,404.69 |
7 |
181 |
1000 |
19,911.23 |
118,493.46 |
139,404.69 |
8 |
212 |
1000 |
19,568.56 |
118,836.13 |
139,404.69 |
9 |
243 |
1000 |
18,559.26 |
119,845.43 |
139,404.69 |
10 |
273 |
1000 |
16,975.55 |
121,429.14 |
139,404.69 |
11 |
304 |
1000 |
16,510.08 |
121,894.61 |
139,404.69 |
12 |
334 |
1000 |
14,975.63 |
123,429.07 |
139,404.69 |
13 |
365 |
1000 |
14,426.51 |
123,978.18 |
139,404.69 |
14 |
375 |
67,500 |
67,500.00 | ||
15 |
396 |
1000 |
13,373.55 |
125,031.15 |
139,404.69 |
16 |
424 |
1000 |
11,120.19 |
127,284.50 |
139,404.69 |
17 |
455 |
1000 |
11,230.59 |
127,174.10 |
139,404.69 |
18 |
485 |
1000 |
9,823.05 |
128,581.64 |
139,404.69 |
19 |
516 |
1000 |
9,058.42 |
129,346.27 |
139,404.69 |
20 |
546 |
1000 |
7,703.09 |
130,701.60 |
139,404.69 |
21 |
577 |
1000 |
6,849.79 |
131,554.90 |
139,404.69 |
22 |
608 |
1000 |
5,732.48 |
132,672.21 |
139,404.69 |
23 |
638 |
1000 |
4,457.10 |
133,947.59 |
139,404.69 |
24 |
669 |
1000 |
3,468.04 |
134,936.66 |
139,404.69 |
25 |
699 |
1000 |
2,247.10 |
136,157.60 |
139,404.69 |
26 |
730 |
1000 |
1,165.59 |
137,239.10 |
139,404.69 |
Ընդամենը |
189,500 |
321,712.61 |
3,000,000 |
3,511,212.61 |
19.3 Հաշվարկ |
K1 =15,000+3,000+5,000+75,000=98,000 i=17.37% (ՏՓՏ=0.1737*100=17.37%) |
20.
Օրինակ 8. Կարճաժամկետ վարկ | |
20.1 Վարկի պայմաններ |
Գումար՝ 800 000 դրամ Անվանական տոկոսադրույք՝ 10%, եթե սպառողը հանդիսանում է կրեդիտավորողի կողմից հիմնադրած որևէ միության անդամ, և 25%, եթե սպառողը չի հանդիսանում այդ միության անդամ Մարում՝ եռամսյակային հավասարաչափ մարումներ (մայր գումարը և տոկոսները միասին նույն գումարն է յուրաքանչյուր ամիս) Ժամկետ՝ 9 ամիս Այլ վճարումներ՝
|
20.2 Հաշվարկ |
K1 =3,000+15,000=18,000 i=17.27%: (ՏՓՏ=0.1727*100=17.27%) |
20.3 Մարման Գրաֆիկ
Մարումների հաճախակա-նություն` n |
Ստացումից մինչև հերթական մարումը ընկած օրերի թիվը` Dn |
Այլ վճարներ |
Մարվող տոկոսագու-մարներ |
Մայր գումարի մարումներ |
Մարման հերթական ընդհանուր վճար` Kn |
1 |
0 |
18,000 |
0 |
18,000 |
18,000 |
2 |
92 |
2,000.00 |
20,164.38 |
259,908.80 |
282,073.18 |
3 |
181 |
2,000.00 |
13,169.35 |
266,903.84 |
282,073.18 |
4 |
273 |
2,000.00 |
6,885.82 |
273,187.36 |
282,073.18 |
Ընդամենը |
24,000 |
40,219.55 |
800,000.00 |
846,219.55 |
21.
Օրինակ 9. Վարկային գիծ (Օվերդրաֆտ) | |
21.1 Վարկի պայմաններ |
Տեսակ՝ վերականգնվող Գումար՝ 1 500 000 դրամ Անվանական տոկոսադրույք՝ 20% Մարում՝ մայր գումարի և տոկոսագումարների մարումը ամբողջությամբ ժամկետի վերջում Ժամկետ՝ 12 ամիս Արտոնյալ ժամանակահատված՝ նախատեսված չէ Նվազագույն ամսեկան մարման/համալրման սահմանաչափ (կամ շարժ)՝ վարկի 10% Սպասարկման վճար՝ 5000 դրամ տարեկան Կանխիկացման միջնորդավճարը բանկի բանկոմատներում՝ 3%: |
21.2 Հաշվարկ |
Ki = 5,000+45,000=50,000 դրամ: i=24.14% (ՏՓՏ=0.2414*100=24.14%) |
21.3 Մարման գրաֆիկ
Մարումների հաճախակա-նություն` n |
Ստացումից մինչև հերթական մարումը ընկած օրերի թիվը` Dn |
Այլ վճարներ |
Մարվող տոկոսագու-մարներ |
Մայր գումարի մարումներ |
Մարման հերթական ընդհանուր վճար` Kn |
1 |
0 |
50,000 |
0 |
0 |
50,000 |
2 |
31 |
0 |
0 |
0 |
0 |
3 |
59 |
0 |
0 |
0 |
0 |
4 |
90 |
0 |
0 |
0 |
0 |
5 |
120 |
0 |
0 |
0 |
0 |
6 |
151 |
0 |
0 |
0 |
0 |
7 |
181 |
0 |
0 |
0 |
0 |
8 |
212 |
0 |
0 |
0 |
0 |
9 |
243 |
0 |
0 |
0 |
0 |
10 |
273 |
0 |
0 |
0 |
0 |
11 |
304 |
0 |
0 |
0 |
0 |
12 |
334 |
0 |
0 |
0 |
0 |
13 |
365 |
0 |
300,000 |
1,500,000 |
1,800,000 |
Ընդամենը |
300,000 |
1,500,000 |
1,850,000 |
22.
Օրինակ 12. Վերականգնվող վարկային գիծ՝ օգտագործված մասի և տոկոսագումարների ամենամսյա վճարումներով | |
22.1 Վարկի պայմաններ |
Գումար՝ 750 000 դրամ Անվանական տոկոսադրույք՝ 15% Մարում՝ օգտագործված մասի 10% և տոկոսագումարների ամենամսյա վճարումներով Կանխիկացում՝ 1% Այլ վճարումներ՝
|
22.2 Հաշվարկ |
Վարկային գծի կանխիկացման վճար՝ 7500 դրամ: i=20.14% (ՏՓՏ=0.2014*100=20.14%) |
22.3 Մարման գրաֆիկ
Մարումների հաճախակա-նություն` n |
Ստացումից մինչև հերթական մարումը ընկած օրերի թիվը` Dn |
Այլ վճարներ |
Մարվող տոկոսագու-մարներ |
Մայր գումարի մարումներ |
Մարման հերթական ընդհանուր վճար` Kn |
1 |
0 |
23,750 |
0 |
0 |
23,750.00 |
2 |
31 |
0 |
9,554.79 |
9,554.79 | |
3 |
59 |
0 |
8,630.14 |
8,630.14 | |
4 |
90 |
0 |
9,554.79 |
9,554.79 | |
5 |
120 |
0 |
9,246.58 |
9,246.58 | |
6 |
151 |
0 |
9,554.79 |
9,554.79 | |
7 |
181 |
0 |
9,246.58 |
9,246.58 | |
8 |
212 |
0 |
9,554.79 |
9,554.79 | |
9 |
243 |
0 |
9,554.79 |
9,554.79 | |
10 |
273 |
0 |
9,246.58 |
9,246.58 | |
11 |
304 |
0 |
9,554.79 |
9,554.79 | |
12 |
334 |
0 |
9,246.58 |
9,246.58 | |
13 |
365 |
0 |
9,554.79 |
750,000 |
759,554.79 |
Ընդամենը |
23,750 |
112,500 |
750,000 |
886,250 |
23.
Օրինակ 10. Արտարժույթով տրամադրված գյուղատնտեսական վարկ | |
23. 1. Վարկի պայմաններ |
Գումար՝ 2000 ԱՄՆ դոլար Անվանական տոկոսադրույք՝ 11% Մարում՝ ամենամսյա հավասարաչափ Ժամկետ՝ 18 ամիս Այլ վճարումներ՝
ԱՄՆ դոլարի ԿԲ հաշվարկային փոխարժեքը կազմում է 475 դրամ |
23.2 Հաշվարկ |
Տրամադրվող վարկի մեծություն՝ 2000*475=950,000 դրամ Վարկի տրամադրման միանվագ վճար՝ 2000*4/100*475=38,000 դրամ: i=24.06% (ՏՓՏ=0.2406*100=24.06%) |
23.3
Մարումների հաճախա-կանություն` n |
Ստացումից մինչև հերթական մարումը ընկած օրերի թիվը` Dn |
Այլ վճարներ |
Մարվող տոկոսագու-մարներ |
Մայր գումարի մարումներ |
Մարման հերթական ընդհանուր վճար` Kn |
1 |
0 |
43,000 |
0 |
0 |
43,000.00 |
2 |
31 |
2000 |
8,875.34 |
48,601.80 |
59,477.14 |
3 |
59 |
2000 |
7,606.32 |
49,870.83 |
59,477.14 |
4 |
90 |
2000 |
7,955.37 |
49,521.78 |
59,477.14 |
5 |
120 |
2000 |
7,251.01 |
50,226.13 |
59,477.14 |
6 |
151 |
2000 |
7,023.47 |
50,453.67 |
59,477.14 |
7 |
181 |
2000 |
6,340.75 |
51,136.39 |
59,477.14 |
8 |
212 |
2000 |
6,074.37 |
51,402.77 |
59,477.14 |
9 |
243 |
2000 |
5,594.14 |
51,883.00 |
59,477.14 |
10 |
273 |
2000 |
4,944.61 |
52,532.54 |
59,477.14 |
11 |
304 |
2000 |
4,618.64 |
52,858.50 |
59,477.14 |
12 |
334 |
2000 |
3,991.76 |
53,485.39 |
59,477.14 |
13 |
365 |
2000 |
3,625.13 |
53,852.01 |
59,477.14 |
14 |
396 |
2000 |
3,122.02 |
54,355.12 |
59,477.14 |
15 |
424 |
2000 |
2,361.22 |
55,115.92 |
59,477.14 |
16 |
455 |
2000 |
2,099.29 |
55,377.85 |
59,477.14 |
17 |
485 |
2000 |
1,530.90 |
55,946.25 |
59,477.14 |
18 |
516 |
2000 |
1,059.25 |
56,417.90 |
59,477.14 |
19 |
546 |
2000 |
515.00 |
56,962.14 |
59,477.14 |
Ընդամենը |
79,000 |
84,588.60 |
950,000 |
1,113,588.60 |
24.
Օրինակ 11. Փուլային վարկ գյուղատնտեսական նպատակով | |
24.1 Վարկի պայմաններ |
Գումար՝ 2000 ԱՄՆ դոլար Անվանական տոկոսադրույք՝ 10% Մարում՝ մայր գումարը վճարվում է ժամկետի վերջում, իսկ տոկոսագումարները և վարկի ամսական սպասարկման վճարները յուրաքանչյուր ամիս հավասարաչափ Ժամկետ՝ 24 ամիս Այլ վճարումներ՝
Վարկառուին գումարը տրվում է փուլերով 1-ին տարին նրան հասանելի է լինելու 1000 ԱՄՆ դոլար, 2-րդ տարին նրան հասանելի է լինելու ևս 1000 ԱՄՆ դոլար:
ԱՄՆ դոլարի ԿԲ հաշվարկային փոխարժեքը կազմում է 475 դրամ |
24.2 Հաշվարկ |
Տրամադրվող վարկի մեծություն՝ 2000*475=950000 դրամ, Վարկի տրամադրման միանվագ վճար՝ 2000*4/100*475=38000 դրամ:
i=12.94% (ՏՓՏ=0.1294*100=12.94%) |
24.3 Մարման գրաֆիկ
Մարումների հաճախակա-նություն` n |
Ստացումից մինչև հերթական մարումը ընկած օրերի թիվը` Dn |
Այլ վճարներ |
Մարվող տոկոսագու-մարներ |
Մայր գումարի մարումներ |
Մարման հերթական ընդհանուր վճար` Kn |
1 |
0 |
43000 |
0 |
0 |
43,000.00 |
2 |
31 |
2000 |
4,034.25 |
0 |
6,034.25 |
3 |
59 |
2000 |
3,643.84 |
0 |
5,643.84 |
4 |
90 |
2000 |
4,034.25 |
0 |
6,034.25 |
5 |
120 |
2000 |
3,904.11 |
0 |
5,904.11 |
6 |
151 |
2000 |
4,034.25 |
0 |
6,034.25 |
7 |
181 |
2000 |
3,904.11 |
0 |
5,904.11 |
8 |
212 |
2000 |
4,034.25 |
0 |
6,034.25 |
9 |
243 |
2000 |
4,034.25 |
0 |
6,034.25 |
10 |
273 |
2000 |
3,904.11 |
0 |
5,904.11 |
11 |
304 |
2000 |
4,034.25 |
0 |
6,034.25 |
12 |
334 |
2000 |
3,904.11 |
0 |
5,904.11 |
13 |
365 |
2000 |
4,034.25 |
0 |
6,034.25 |
14 |
396 |
2000 |
4,034.25 |
0 |
6,034.25 |
15 |
424 |
2000 |
7,287.67 |
0 |
9,287.67 |
16 |
455 |
2000 |
8,068.49 |
0 |
10,068.49 |
17 |
485 |
2000 |
7,808.22 |
0 |
9,808.22 |
18 |
516 |
2000 |
8,068.49 |
0 |
10,068.49 |
19 |
546 |
2000 |
7,808.22 |
0 |
9,808.22 |
20 |
577 |
2000 |
8,068.49 |
0 |
10,068.49 |
21 |
608 |
2000 |
8,068.49 |
0 |
10,068.49 |
22 |
638 |
2000 |
7,808.22 |
0 |
9,808.22 |
23 |
669 |
2000 |
8,068.49 |
0 |
10,068.49 |
24 |
699 |
2000 |
7,808.22 |
0 |
9,808.22 |
25 |
730 |
2000 |
8,068.49 |
950,000 |
960,068.49 |
Ընդամենը |
91,000 |
138,465.75 |
950,000 |
1,179,465.75 |
25.
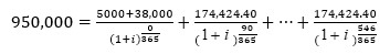
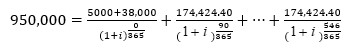
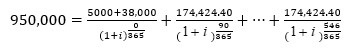
Օրինակ 11. Գյուղատնտեսական վարկ եռամսյակային մարումով | |
25.1 Վարկի պայմաններ |
Գումար՝ 2000 ԱՄՆ դոլար Անվանական տոկոսադրույք՝ 10% Մարում՝ եռամսյակային հավասարաչափ Ժամկետ՝ 18 ամիս Այլ վճարումներ՝
ԱՄՆ դոլարի ԿԲ հաշվարկային փոխարժեքը կազմում է 475 դրամ |
25.2 Հաշվարկ |
Տրամադրվող վարկի մեծություն՝ 2000*475=950000 դրամ Վարկի տրամադրման միանվագ վճար՝ 2000*4/100*475=38000 դրամ: i=18.18% (ՏՓՏ=0.1818*100=18.18%) |
25.3 Մարման գրաֆիկ
Մարումների հաճախակա-նություն` n |
Ստացումից մինչև հերթական մարումը ընկած օրերի թիվը` Dn |
Այլ վճարներ |
Մարվող տոկոսագու-մարներ |
Մայր գումարի մարումներ |
Մարման հերթական ընդհանուր վճար` Kn |
0 |
0 |
43,000 |
0 |
0 |
43,000.00 |
1 |
90 |
2000 |
23,424.66 |
148,999.75 |
174,424.40 |
2 |
181 |
2000 |
19,970.14 |
152,454.26 |
174,424.40 |
3 |
273 |
2000 |
16,346.91 |
156,077.49 |
174,424.40 |
4 |
365 |
2000 |
12,412.90 |
160,011.50 |
174,424.40 |
5 |
455 |
2000 |
8,197.57 |
164,226.83 |
174,424.40 |
6 |
546 |
2000 |
4,194.23 |
168,230.17 |
174,424.40 |
Ընդամենը |
55,000 |
84,546.42 |
950,000 |
1,089,546.42 |
26.
Օրինակ 13. Հիպոտեկային վարկ դրամով, հաստատուն տոկոսադրույքով | |
26.1 Վարկի պայմաններ |
Գումար՝ 15,000,000 դրամ Անվանական տոկոսադրույք՝ 12% Մարում՝ ամենամսյա հավասարաչափ Ժամկետ՝ 120 ամիս Այլ վճարումներ՝
|
26.2 Հաշվարկ |
N=121, որից մեկ վճարումը կրեդիտի ստացման պահին վճարն է և մյուս 120-ը՝ մայր գումարի և տոկոսների վճարումներն են: Այն վճարները, որոնք սպառողի կողմից ենթակա են վճարման` գույքը վարկով կամ առանց վարկ ձեռք բերելու հանգամանքից անկախ (օրինակ՝ կադաստրի կամ նոտարի վճար), չեն ներառվում ՏՓՏ-ի հաշվարկի մեջ։ Կրեդիտի ստացման պահին կատարվող այլ վճարումները (K1) ստացվում է՝ K1 =10,000+20,000+75,000+45,000=150,000 դրամ i=13.39% (ՏՓՏ=0.1339*100=13.39%) |
26.3 Մարման գրաֆիկ
Մարումների հաճախակա-նություն` n |
Ստացումից մինչև հերթական մարումը ընկած օրերի թիվը` Dn |
Այլ վճարներ |
Մարվող տոկոսագու-մարներ |
Մայր գումարի մարումներ |
Մարման հերթական ընդհանուր վճար` Kn |
1 |
0 |
150,000 |
0 |
0 |
150,000 |
2 |
30 |
0 |
147,945.21 |
70,618.65 |
218,563.86 |
3 |
61 |
0 |
152,156.98 |
66,406.87 |
218,563.86 |
4 |
92 |
0 |
151,480.18 |
67,083.68 |
218,563.86 |
5 |
120 |
0 |
136,203.27 |
82,360.59 |
218,563.86 |
6 |
151 |
0 |
149,957.07 |
68,606.78 |
218,563.86 |
7 |
181 |
0 |
144,443.08 |
74,120.78 |
218,563.86 |
8 |
212 |
0 |
148,502.43 |
70,061.43 |
218,563.86 |
9 |
242 |
0 |
143,021.01 |
75,542.85 |
218,563.86 |
10 |
273 |
0 |
147,018.46 |
71,545.40 |
218,563.86 |
11 |
304 |
0 |
146,289.29 |
72,274.57 |
218,563.86 |
12 |
334 |
0 |
140,857.43 |
77,706.43 |
218,563.86 |
13 |
365 |
45,000 |
144,760.71 |
28,803.15 |
218,563.86 |
14 |
395 |
0 |
139,806.93 |
78,756.93 |
218,563.86 |
15 |
426 |
0 |
143,664.48 |
74,899.37 |
218,563.86 |
16 |
457 |
0 |
142,901.12 |
75,662.73 |
218,563.86 |
17 |
485 |
0 |
128,375.47 |
90,188.38 |
218,563.86 |
18 |
516 |
0 |
141,210.81 |
77,353.05 |
218,563.86 |
19 |
546 |
0 |
135,892.69 |
82,671.17 |
218,563.86 |
... |
218,563.86 | ||||
119 |
3591 |
0 |
6,550.14 |
212,013.72 |
218,563.86 |
120 |
3621 |
0 |
4,247.75 |
214,316.10 |
218,563.86 |
121 |
3652 |
0 |
2,205.08 |
216,358.78 |
218,563.86 |
Ընդամենը |
555,000 |
10,822,663 |
15,000,000 |
26,377,663 |
27.
Օրինակ 14. Հիպոտեկային վարկ դրամով, ոչ հավասարաչափ | |
27.1 Վարկի պայմաններ |
Գումար՝ 15,000,000 դրամ Անվանական տոկոսադրույք՝ 12% Մարում՝ մայր գումարը հավասարաչափ է, սակայն տոկոսները անհավասարաչափ Ժամկետ՝ 120 ամիս Այլ վճարումներ՝
|
27.2 Հաշվարկ |
N=121, որից մեկ վճարումը կրեդիտի ստացման պահին վճարն է և մյուս 120-ը՝ մայր գումարի և տոկոսների վճարումներն են: Այն վճարները, որոնք սպառողի կողմից ենթակա են վճարման` գույքը վարկով կամ առանց վարկ ձեռք բերելու հանգամանքից անկախ (օրինակ՝ կադաստրի կամ նոտարի վճար), չեն ներառվում ՏՓՏ-ի հաշվարկի մեջ։ Կրեդիտի ստացման պահին կատարվող այլ վճարումները (K1) ստացվում է՝ K1 =10,000+20,000+75,000+45,000=150,000 դրամ i=13.50% (ՏՓՏ=0.1350*100=13.50%) |
27.3 Մարման գրաֆիկ
Մարումների հաճախակա-նություն` n |
Ստացումից մինչև հերթական մարումը ընկած օրերի թիվը` Dn |
Այլ վճարներ |
Մարվող տոկոսագու-մարներ |
Մայր գումարի մարումներ |
Մարման հերթական ընդհանուր վճար` Kn |
1 |
0 |
150,000 |
0 |
0 |
150,000 |
2 |
30 |
0 |
147,945.21 |
125,000.00 |
272,945.21 |
3 |
61 |
0 |
151,602.74 |
125,000.00 |
276,602.74 |
4 |
92 |
0 |
150,328.77 |
125,000.00 |
275,328.77 |
5 |
120 |
0 |
134,630.14 |
125,000.00 |
259,630.14 |
6 |
151 |
0 |
147,780.82 |
125,000.00 |
272,780.82 |
7 |
181 |
0 |
141,780.82 |
125,000.00 |
266,780.82 |
8 |
212 |
0 |
145,232.88 |
125,000.00 |
270,232.88 |
9 |
242 |
0 |
139,315.07 |
125,000.00 |
264,315.07 |
10 |
273 |
0 |
142,684.93 |
125,000.00 |
267,684.93 |
11 |
304 |
0 |
141,410.96 |
125,000.00 |
266,410.96 |
12 |
334 |
0 |
135,616.44 |
125,000.00 |
260,616.44 |
13 |
365 |
45,000 |
138,863.01 |
125,000.00 |
308,863.01 |
14 |
395 |
0 |
133,150.68 |
125,000.00 |
258,150.68 |
15 |
426 |
0 |
136,315.07 |
125,000.00 |
261,315.07 |
16 |
457 |
0 |
135,041.10 |
125,000.00 |
260,041.10 |
17 |
485 |
0 |
120,821.92 |
125,000.00 |
245,821.92 |
18 |
516 |
0 |
132,493.15 |
125,000.00 |
257,493.15 |
19 |
546 |
0 |
126,986.30 |
125,000.00 |
251,986.30 |
... |
|||||
119 |
3591 |
0 |
3,821.92 |
125,000.00 |
128,821.92 |
120 |
3621 |
0 |
2,465.75 |
125,000.00 |
127,465.75 |
121 |
3652 |
0 |
1,273.97 |
125,000.00 |
126,273.97 |
Ընդամենը |
555,000 |
9,076,603 |
15,000,000 |
24,631,603 |
28.
Օրինակ 15. Հիպոտեկային վարկ արտարժույթով, հաստատուն տոկոսադրույքով | |
28.1 Վարկի պայմաններ |
Գումար՝ 40,000 ԱՄՆ դոլար Անվանական տոկոսադրույք՝ 9% Մարում՝ ամենամսյա հավասարաչափ Ժամկետ՝ 120 ամիս Այլ վճարումներ՝
ԱՄՆ դոլարի ԿԲ հաշվարկային փոխարժեքը կազմում է 475 դրամ |
28.2 Հաշվարկ |
Հաշվի առնելով վարկի պայմանները, ինչպես նաև այն հանգամանքը, որ արտարժույթով արտահայտված մեծությունները փոխարկվում են վարկի տրամադրման (ձևակերպման) օրվա ԿԲ հաշվարկային փոխարժեքով՝ կստանանք հետևյալ ցուցանիշները՝ Տրամադրվող վարկի մեծություն՝ 40,000*475=19,000,000 դրամ, Վարկի տրամադրման միանվագ վճար՝ 40,000*1/100*475=190,000 դրամ: Այն վճարները, որոնք սպառողի կողմից ենթակա են վճարման` գույքը վարկով կամ առանց վարկ ձեռք բերելու հանգամանքից անկախ (օրինակ՝ կադաստրի կամ նոտարի վճար), չեն ներառվում ՏՓՏ-ի հաշվարկի մեջ։ Կրեդիտի ստացման պահին կատարվող այլ վճարումները (K1) ստացվում է՝ K1 =10,000+20,000+190,000+45,000=265,000 դրամ i=10,1% (ՏՓՏ=0.101*100=10.1%) |
28.3 Մարման գրաֆիկ
Մարումների հաճախակա-նություն` n |
Ստացումից մինչև հերթական մարումը ընկած օրերի թիվը` Dn |
Այլ վճարներ |
Մարվող տոկոսագու-մարներ |
Մայր գումարի մարումներ |
Մարման հերթական ընդհանուր վճար` Kn |
1 |
0 |
265,000 |
0 |
0 |
265,000 |
2 |
30 |
0 |
140,547.95 |
103,508.92 |
244,056.86 |
3 |
61 |
0 |
144,441.67 |
99,615.19 |
244,056.86 |
4 |
92 |
0 |
143,680.23 |
100,376.63 |
244,056.86 |
5 |
120 |
0 |
129,082.68 |
114,974.18 |
244,056.86 |
6 |
151 |
0 |
142,034.12 |
102,022.74 |
244,056.86 |
7 |
181 |
0 |
136,697.69 |
107,359.17 |
244,056.86 |
8 |
212 |
0 |
140,433.64 |
103,623.22 |
244,056.86 |
9 |
242 |
0 |
135,137.00 |
108,919.86 |
244,056.86 |
10 |
273 |
0 |
138,809.00 |
105,247.86 |
244,056.86 |
11 |
304 |
0 |
138,004.50 |
106,052.36 |
244,056.86 |
12 |
334 |
0 |
132,768.25 |
111,288.62 |
244,056.86 |
13 |
365 |
45,000 |
136,343.18 |
62,713.68 |
244,056.86 |
14 |
395 |
0 |
131,481.11 |
112,575.76 |
244,056.86 |
... |
244,056.86 | ||||
119 |
3591 |
0 |
5,513.01 |
238,543.85 |
244,056.86 |
120 |
3621 |
0 |
3,570.60 |
240,486.26 |
244,056.86 |
121 |
3652 |
0 |
1,851.38 |
242,205.48 |
244,056.86 |
Ընդամենը |
670,000 |
9,881,823 |
19,000,000 |
29,551,823 |
29.
Օրինակ 16. Հիպոտեկային վարկ արտարժույթով, լողացող տոկոսադրույքով | |
29.1 Վարկի պայմաններ |
Գումար՝ 40,000 ԱՄՆ դոլար Անվանական տոկոսադրույք՝ 7% + 1 տարվա ԼԻԲՈՐ տոկոսադրույք, որը տրման պահին կազմում է 3% Մարում՝ ամենամսյա հավասարաչափ Ժամկետ՝ 120 ամիս Այլ վճարումներ՝
ԱՄՆ դոլարի ԿԲ հաշվարկային փոխարժեքը կազմում է 475 դրամ |
29.2 Հաշվարկ |
Տրամադրվող վարկի մեծություն՝ 40,000*475=19,000,000 դրամ, Վարկի տրամադրման միանվագ վճար՝ 40,000*1/100*475=190,000 դրամ: Այն վճարները, որոնք սպառողի կողմից ենթակա են վճարման` գույքը վարկով կամ առանց վարկ ձեռք բերելու հանգամանքից անկախ (օրինակ՝ կադաստրի կամ նոտարի վճար), չեն ներառվում ՏՓՏ-ի հաշվարկի մեջ։
K1 =10,000+20,000+190,000+45,000=265,000 դրամ i=11,19% (ՏՓՏ=0.1119*100=11,19%)
● 1-60 ամիսների համար կազմել է 10% ● 61-120 ամիսների համար կազմել է 13%
Եթե կրեդիտավորողը 110-րդ ամսին պահանջի հաշվարկել և իրեն տրամադրել նոր ՏՓՏ, այն կկազմի՝ 11.86%: |
29.3 Մարման գրաֆիկ
Մարումների հաճախակա-նություն` n |
Ստացումից մինչև հերթական մարումը ընկած օրերի թիվը` Dn |
Այլ վճարներ |
Մարվող տոկոսագու-մարներ |
Մայր գումարի մարումներ |
Մարման հերթական ընդհանուր վճար` Kn |
1 |
0 |
265,000 |
0 |
0 |
265,000 |
2 |
30 |
0 |
156,164.38 |
98,291.04 |
254,455.42 |
3 |
61 |
0 |
160,535.06 |
93,920.36 |
254,455.42 |
4 |
92 |
0 |
159,737.38 |
94,718.04 |
254,455.42 |
5 |
120 |
0 |
143,552.32 |
110,903.10 |
254,455.42 |
6 |
151 |
0 |
157,991.01 |
96,464.41 |
254,455.42 |
7 |
181 |
0 |
152,101.67 |
102,353.75 |
254,455.42 |
8 |
212 |
0 |
156,302.42 |
98,153.00 |
254,455.42 |
9 |
242 |
0 |
150,453.67 |
104,001.75 |
254,455.42 |
10 |
273 |
0 |
154,585.49 |
99,869.93 |
254,455.42 |
11 |
304 |
0 |
153,737.28 |
100,718.14 |
254,455.42 |
12 |
334 |
0 |
147,950.19 |
106,505.23 |
254,455.42 |
13 |
365 |
45,000 |
151,977.30 |
57,478.12 |
254,455.42 |
14 |
395 |
146,602.38 |
107,853.04 |
254,455.42 | |
... |
|||||
119 |
3591 |
0 |
8,824.98 |
263,444.47 |
272,269.44 |
120 |
3621 |
0 |
5,725.42 |
266,544.03 |
272,269.44 |
121 |
3652 |
0 |
2,973.32 |
269,296.12 |
272,269.44 |
Ընդամենը |
670,000 |
12,198,492 |
19,000,000 |
31,868,492 |
30.
Օրինակ 13. Ծրագրային հիպոտեկային վարկ դրամով, հաստատուն տոկոսադրույքով | |
30.1 Վարկի պայմաններ |
Գումար՝ 15,000,000 դրամ Անվանական տոկոսադրույք՝ 12%, որից սուբսիդավորվում է 4%-ը Մարում՝ ամենամսյա հավասարաչափ Ժամկետ՝ 120 ամիս Այլ վճարումներ՝
|
30.2 Հաշվարկ |
N=121, որից մեկ վճարումը կրեդիտի ստացման պահին վճարն է և մյուս 120-ը՝ մայր գումարի և տոկոսների վճարումներն են: ՏՓՏ-ի հաշվարկում որպես կրեդիտի տարեկան անվանական տոկոսադրույք հիմք է ընդունվում 8%-ը, քանի որ 12%-ից 4%-ը սուբսիդավորվում է:
Այն վճարները, որոնք սպառողի կողմից ենթակա են վճարման` գույքը վարկով կամ առանց վարկ ձեռք բերելու հանգամանքից անկախ (օրինակ՝ կադաստրի կամ նոտարի վճար), չեն ներառվում ՏՓՏ-ի հաշվարկի մեջ։
Կրեդիտի ստացման պահին կատարվող այլ վճարումները (K1) ստացվում է՝ K1 =10,000+20,000+75,000+45,000=150,000 դրամ i=9.01% (ՏՓՏ=0.0901*100=9.01%) |
30.3 Մարման գրաֆիկ
|
»: |
