ՀԱՅԱՍՏԱՆԻ ՀԱՆՐԱՊԵՏՈՒԹՅԱՆ ԿԱՌԱՎԱՐՈՒԹՅՈՒՆ
Ո Ր Ո Շ ՈՒ Մ
8 հունիսի 2023 թվականի N 925-Ն
ՀԱՅԱՍՏԱՆԻ ՀԱՆՐԱՊԵՏՈՒԹՅԱՆ ՏԱՐԱԾՔՈՒՄ ՏԱՐԲԵՐ ԻՆՏԵՆՍԻՎՈՒԹՅԱՆ ԵՐԱՇՏԱՅԻՆ ՊԱՅՄԱՆՆԵՐԻ ՀԱՇՎԱՐԿՄԱՆ ՑՈՒՑԱՆԻՇՆԵՐԸ ԵՎ ՄԵԹՈԴԱԲԱՆՈՒԹՅՈՒՆԸ ՍԱՀՄԱՆԵԼՈՒ ՄԱՍԻՆ
Ղեկավարվելով Հայաստանի Հանրապետության ջրային օրենսգրքի 92-րդ հոդվածի 3-րդ մասով` Հայաստանի Հանրապետության կառավարությունը որոշում է.
1. Սահմանել Հայաստանի Հանրապետության տարածքում տարբեր ինտենսիվության երաշտային պայմանների հաշվարկման ցուցանիշները և մեթոդաբանությունը` համաձայն հավելվածի:
2. Սույն որոշումն ուժի մեջ է մտնում պաշտոնական հրապարակմանը հաջորդող օրվանից:
Հայաստանի Հանրապետության |
Տ. Խաչատրյան |
Երևան |
08.06.2023 ՀԱՎԱՍՏՎԱԾ Է ԷԼԵԿՏՐՈՆԱՅԻՆ ՍՏՈՐԱԳՐՈՒԹՅԱՄԲ |
Հավելված ՀՀ կառավարության 2023 թվականի հունիսի 8-ի N 925-Ն որոշման |
ՀԱՅԱՍՏԱՆԻ ՀԱՆՐԱՊԵՏՈՒԹՅԱՆ ՏԱՐԱԾՔՈՒՄ ՏԱՐԲԵՐ ԻՆՏԵՆՍԻՎՈՒԹՅԱՆ ԵՐԱՇՏԱՅԻՆ ՊԱՅՄԱՆՆԵՐԻ ՀԱՇՎԱՐԿՄԱՆ ՑՈՒՑԱՆԻՇՆԵՐԸ ԵՎ ՄԵԹՈԴԱԲԱՆՈՒԹՅՈՒՆԸ
1. Սույն հավելվածով սահմանվում են Հայաստանի Հանրապետության տարածքում տարբեր ինտենսիվության երաշտային պայմանների հաշվարկման ցուցանիշները և կիրառվող մեթոդաբանությունը։
2. Համաշխարհային օդերևութաբանական կազմակերպության չորայնության ցուցիչների տեղեկագրում ընդգրկված Սելյանինովի հիդրոթերմիկ խոնավության գործակիցը և մեթոդաբանությունը կիրառելի են Հայաստանի Հանրապետության տարածքում տարբեր ինտենսիվության երաշտային պայմանների հաշվարկման համար։
3. Սույն հավելվածի իմաստով կիրառվող հասկացություններն են՝
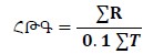
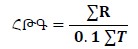
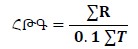
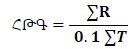
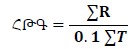
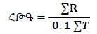
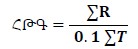
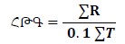
1) Սելյանինովի հիդրոթերմիկ խոնավության գործակից (այսուհետ՝ ՀԹԳ, [մմ/0C])՝ գործակից, որը հաշվարկվում է չորրորդ ենթակետում բերված բանաձևով.
2) ցուցանիշ՝ օդերևութաբանական պարամետրեր, որոնք օգտագործվում են երաշտի պայմանների հաշվարկման համար.
3) երաշտի ինտենսիվություն՝ որոշակի ժամանակահատվածում կոնկրետ տեղանքի չորության վիճակ, որը գնահատվում է օդերևութաբանական կայանների դիտարկումներից ստացված համապատասխան ցուցանիշների կիրառմամբ.
4) հարակից տարածքներ՝ օդերևութաբանական կայանների դիտարկումներից դուրս տարածքներ:
4. Երաշտային պայմանների հաշվարկման հիմնական ցուցանիշներն են տեղումները և ջերմաստիճանը։
5. ՀԹԳ-ն հաշվարկվում է հետևյալ բանաձևով՝
Որտեղ`
∑R – մթնոլորտային տեղումների քանակի գումարն է գնահատվող տասնօրյակի և դրան նախորդող երկու տասնօրյակների համար,
∑T 10°C -ից մեծ կամ հավասար միջին օրական ջերմաստիճանների գումարն է գնահատվող տասնօրյակի և դրան նախորդող երկու տասնօրյակների համար։
6. Սելյանինովի ՀԹԳ-ի արժեքների հիման վրա Հայաստանի կլիմայական պայմաններում առանձնացվում է երաշտի ինտենսիվության 5 կարգ՝
1) շատ ուժեղ 0-0.19 (կարգ 1).
2) ուժեղ 0.2-0.39 (կարգ 2).
3) միջին 0.4-0.6 (կարգ 3).
4) թույլ 0.61-0.75 (կարգ 4).
5) երաշտի բացակայություն 0.76-5.0 (կարգ 5)։
7. Հայաստանի կլիմայական պայմաններում տարվա տաք ժամանակահատվածում՝ պայմանավորված Հայաստանի լեռնային ռելիեֆով, տեղային տեղումներով և կոնվեկտիվ պրոցեսներով, երաշտի ինտենսիվության ճշգրիտ գնահատման համար լրացուցիչ իրականացվում է սինօպտիկական իրավիճակի, օդերևութաբանական ռադարի և արբանյակային դիտարկումների վերլուծություն։
Հայաստանի Հանրապետության |
Բ. Բադալյան |
08.06.2023 ՀԱՎԱՍՏՎԱԾ Է ԷԼԵԿՏՐՈՆԱՅԻՆ ՍՏՈՐԱԳՐՈՒԹՅԱՄԲ |
Պաշտոնական հրապարակման օրը՝ 8 հունիսի 2023 թվական:
