ՀԱՅԱՍՏԱՆԻ ՀԱՆՐԱՊԵՏՈՒԹՅԱՆ ԿԱՌԱՎԱՐՈՒԹՅՈՒՆ
Ո Ր Ո Շ ՈՒ Մ
25 ապրիլի 2024 թվականի N 607-Ն
ՀԱՅԱՍՏԱՆԻ ՀԱՆՐԱՊԵՏՈՒԹՅԱՆ ԿԱՌԱՎԱՐՈՒԹՅԱՆ 2017 ԹՎԱԿԱՆԻ ԱՊՐԻԼԻ 13-Ի N 381-Ն ՈՐՈՇՄԱՆ ՄԵՋ ՓՈՓՈԽՈՒԹՅՈՒՆՆԵՐ ԵՎ ԼՐԱՑՈՒՄՆԵՐ ԿԱՏԱՐԵԼՈՒ ՄԱՍԻՆ
Հիմք ընդունելով «Նորմատիվ իրավական ակտերի մասին» Հայաստանի Հանրապետության օրենքի 33-րդ և 34-րդ հոդվածները` Հայաստանի Հանրապետության կառավարությունը որոշում է.
1. Հայաստանի Հանրապետության կառավարության 2017 թվականի ապրիլի 13-ի «Հայաստանի Հանրապետության պետական գանձապետական կարճաժամկետ պարտատոմսերի, միջնաժամկետ և երկարաժամկետ արժեկտրոնային պարտատոմսերի թողարկման, տեղաբաշխման, հետգնման, շրջանառության և մարման կարգը, Հայաստանի Հանրապետության պետական գանձապետական խնայողական արժեկտրոնային պարտատոմսերի թողարկման, տեղաբաշխման, հետգնման և մարման կարգը, գանձապետական պահառուի գործունեության կարգը հաստատելու և Հայաստանի Հանրապետության կառավարության 2007 թվականի դեկտեմբերի 27-ի N 1580-Ն, Հայաստանի Հանրապետության կառավարության 2006 թվականի հոկտեմբերի 19-ի N 1606-Ն որոշումներն ուժը կորցրած ճանաչելու մասին» N 381-Ն որոշման (այսուհետ՝ որոշում) մեջ կատարել հետևյալ փոփոխությունները և լրացումները.
1) որոշման 1-ին կետի 1-ին ենթակետը «հետգնման,» բառից հետո լրացնել «փոխանակման,» բառով.
2) որոշման 1-ին կետի 3-րդ ենթակետում «:» կետադրական նշանը փոխարինել «.» կետադրական նշանով.
3) որոշման 1-ին կետը 3-րդ ենթակետից հետո լրացնել հետևյալ բովանդակությամբ նոր՝ 4-րդ ենթակետով՝
«4) Հայաստանի Հանրապետության պետական գանձապետական գնաճին կցված արժեկտրոնային պարտատոմսերի թողարկման, տեղաբաշխման, շրջանառության և մարման կարգը՝ համաձայն N 4 հավելվածի:».
4) N 1 հավելվածի վերնագիրը «ՀԵՏԳՆՄԱՆ,» բառից հետո լրացնել «ՓՈԽԱՆԱԿՄԱՆ,» բառով.
5) N 1 հավելվածի 1-ին կետը «հետգնման,» բառից հետո լրացնել «փոխանակման,» բառով.
6) N 1 հավելվածի 2-րդ կետի 22-րդ ենթակետում հանել «(հավելավճար)» և «(բացասական է)» բառերը, «գնի» բառից առաջ լրացնել «գնման» բառով.
7) N 1 հավելվածի 2-րդ կետը 22-րդ ենթակետից հետո լրացնել հետևյալ բովանդակությամբ նոր՝ 22.1-ին ենթակետով՝
«22.1) հավելավճար` պարտատոմսի անվանական արժեքի և գնման գնի տարբերություն, եթե այն բացասական է.».
8) N 1 հավելվածի 2-րդ կետի 23-րդ ենթակետը «գին՝» բառից առաջ լրացնել «գնման» բառով.
9) N 1 հավելվածի 2-րդ կետը 23-րդ ենթակետից հետո լրացնել հետևյալ բովանդակությամբ նոր՝ 23.1-ին ենթակետով՝
«23.1) գին՝ գնման գնի և անվանական արժեքի հարաբերություն, որը հաշվարկվում է յուրաքանչյուր հարյուր միավոր անվանական արժեքի համար, զրո ամբողջ մեկ տասը հազարերորդական թվի ճշտությամբ` համաձայն թվաբանական կլորացման կանոնների.».
10) N 1 հավելվածի 2-րդ կետի 30-րդ ենթակետում «ռեպո/հակադարձ ռեպո» բառերը փոխարինել «ռեպո, հակադարձ ռեպո» բառերով.
11) N 1 հավելվածի 2-րդ կետի 32-րդ ենթակետը «հետգնման» բառից հետո լրացնել «կամ փոխանակման» բառերով, «հետգնում» բառից հետո լրացնել «կամ փոխանակում» բառերով.
12) N 1 հավելվածի 2-րդ կետի 33-րդ ենթակետը «աճուրդի» բառից հետո լրացնել «(այդ թվում՝ տեղաբաշխման լրացուցիչ աճուրդի), փոխանակման աճուրդի» բառերով.
13) N 1 հավելվածի 2-րդ կետի 34-րդ ենթակետը «յուրաքանչյուր հետգնման» բառերից հետո լրացնել «կամ փոխանակման» բառերով.
14) 1 հավելվածի 2-րդ կետը 36-րդ ենթակետից հետո լրացնել հետևյալ բովանդակությամբ նոր՝ 36.1-ին ենթակետով՝
«36.1) փոխանակում՝ թողարկողի կողմից մեկ արժեթղթերի միջազգային տարբերակիչ ծածկագրով պարտատոմսի տեղաբաշխում՝ միայն մեկ այլ արժեթղթերի միջազգային տարբերակիչ ծածկագրով, ազատ կարգավիճակով պարտատոմսի հետգնման պայմանով.».
15) N 1 հավելվածի 2-րդ կետի 37-րդ ենթակետում «առք և (կամ) վաճառք.» բառերը փոխարինել «առք, վաճառք կամ փոխանակում.» բառերով.
16) N 1 հավելվածի 2-րդ կետը 41-րդ ենթակետից հետո լրացնել հետևյալ բովանդակությամբ նոր՝ 41.1-ին ենթակետով՝
«41.1) փոխանակման աճուրդ` բազմակի գնային մեթոդով տեղաբաշխման և հետգնման աճուրդների միաժամանակյա իրականացում.».
17) N 1 հավելվածի 2-րդ կետի 42-րդ ենթակետում «և (կամ) հետգնման աճուրդ.» բառերը փոխարինել «, հետգնման աճուրդ կամ փոխանակման աճուրդ.» բառերով.
18) N 1 հավելվածի 2-րդ կետը 58-րդ ենթակետից հետո լրացնել հետևյալ բովանդակությամբ նոր՝ 58.1-ին ենթակետով՝
«58.1) միջին կշռված գին՝ կնքված գործարքների միջին կշռված գին, որտեղ կշիռները ներկայացնում են կնքված գործարքների ծավալները զրո ամբողջ մեկ տասը հազարերորդական թվի ճշտությամբ` համաձայն թվաբանական կլորացման կանոնների.».
19) N 1 հավելվածի 5-րդ կետում «ամրագրվում» բառը փոխարինել «սահմանվում» բառով, «հրամանով» բառից հետո լրացնել «(այսուհետ՝ հրաման)» բառերը.
20) N 1 հավելվածի 6-րդ կետում «կատարելուց հետո» բառերից հետո լրացնել «՝ հրամանով սահմանված» բառերով.
21) N 1 հավելվածի 9-րդ կետում «(բացի մարումից) գործառնությունն» բառերը փոխարինել «գործառնությունը, բացի մարումից,» բառերով.
22) N 1 հավելվածի 13-րդ կետում «արժեթղթերի» բառից առաջ լրացնել «7-րդ կետով նշված» բառերով.
23) N 1 հավելվածի 15-րդ կետի 1-ին նախադասությունը «տեղաբաշխման» բառից հետո լրացնել «, փոխանակման,» բառով.
24) N 1 հավելվածի 16-րդ կետում «տվյալ թողարկման» բառերը փոխարինել «աճուրդի առարկա հանդիսացող» բառերով, «աճուրդի ամսաթիվը, եկամտաբերությունը» բառերը փոխարինել «աճուրդի ամսաթիվը, գինը կամ եկամտաբերությունը» բառերով, «(հետգնման)» բառը փոխարինել «, հետգնման կամ փոխանակման» բառերով.
25) N 1 հավելվածի 18-րդ կետի 1-ին ենթակետում «արժեթղթերի» բառից առաջ լրացնել «7-րդ կետով նշված» բառերով.
26) N 1 հավելվածի 18-րդ կետի 2-րդ ենթակետում «(հետգնման)» բառը փոխարինել «, հետգնման կամ փոխանակման» բառերով.
27) N 1 հավելվածի չորրորդ գլխի վերնագիրը «ՏԵՂԱԲԱՇԽՄԱՆ» բառից հետո լրացնել «, ՓՈԽԱՆԱԿՄԱՆ» բառով.
28) N 1 հավելվածի 26-րդ կետում «օրենքով» բառից առաջ հանել «Հայաստանի Հանրապետության» բառերը, 53-րդ կետում «օրենքի» բառից առաջ հանել «Հայաստանի Հանրապետության» բառերը.
29) N 1 հավելվածի 29-րդ կետում «քսան տոկոսը:» բառերը փոխարինել «այն մասը, որը հավասար է տեղաբաշխման լրացուցիչ աճուրդի հայտարարված ծավալի և տեղաբաշխված ծավալի հարաբերությանը:» բառերով.
30) N 1 հավելվածի 36-րդ կետը «հետ գնված» բառերից հետո լրացնել «(այդ թվում՝ նաև փոխանակման արդյունքում)» բառերով.
31) N 1 հավելվածի 36-րդ կետից հետո լրացնել հետևյալ բովանդակությամբ նոր՝ 36.1-ին և 36.2-րդ կետերով՝
«36.1. Թողարկողն իրավունք ունի իր կողմից թողարկված պարտատոմսը մինչև մարման ամսաթիվը փոխանակելու շրջանառությունում առկա այլ թողարկման պարտատոմսով:
36.2. Փոխանակման աճուրդին կարող են մասնակցել միայն գործակալները:».
32) N 1 հավելվածի 38-րդ կետում «հաստատված» բառը փոխարինել «սահմանված» բառով.
33) N 1 հավելվածի 42-րդ կետում հանել «տեղաբաշխման և հետգնման» բառերը.
34) N 1 հավելվածի 44-րդ կետը շարադրել հետևյալ խմբագրությամբ՝
«44. Գործակալն իր կարգավիճակից կարող է զրկվել թողարկողի որոշմամբ` համաձայն պայմանագրի: Կարգավիճակից զրկելու վերաբերյալ որոշման մասին գործակալը, կենտրոնական պահառուն, աճուրդի համակարգի օպերատորը, վերջնահաշվարկ իրականացնողը և օպերատորը տեղեկացվում են որոշման ընդունման պահից մեկ աշխատանքային օրվա ընթացքում: Գործակալի կարգավիճակից զրկելու վերաբերյալ որոշումն ուժի մեջ է մտնում սույն կետում նախատեսված տեղեկացման օրվան հաջորդող օրվանից:».
35) N 1 հավելվածի VI գլուխը «ՊԱՐՏԱՏՈՄՍԵՐԻ» բառից հետո լրացնել «ԳՆՄԱՆ» բառով.
36) N 1 հավելվածի 47-րդ կետը «պարտատոմսերի» բառից հետո լրացնել «գնման» բառով, հանել «(վաճառքի)» բառը.
37) N 1 հավելվածի 48-րդ կետը «պարտատոմսերի» բառից հետո լրացնել «գնման» բառով, «ամբողջ» բառից հետո լրացնել «գնման» բառով, «մաքուր» բառից հետո լրացնել «գնման» բառով.
38) N 1 հավելվածի 2-րդ կետի 20-րդ, 21-րդ, 26-րդ, 30-րդ, 37-րդ, 42-րդ, 46-րդ ենթակետերում, 15-րդ, 17-րդ, 41-րդ, 54-րդ, 58-րդ, 59-րդ և 60-րդ կետերում «և (կամ)» բառերը փոխարինել «կամ» բառով.
39) որոշումը լրացնել նոր՝ N 4 հավելվածով՝ համաձայն հավելվածի:
2. Սույն որոշումն ուժի մեջ է մտնում պաշտոնական հրապարակման օրվան հաջորդող տասներորդ օրը:
| Հայաստանի Հանրապետության | Ն. Փաշինյան | 
| 
 Երևան | 
| 26.04.2024 ՀԱՎԱՍՏՎԱԾ Է ԷԼԵԿՏՐՈՆԱՅԻՆ ՍՏՈՐԱԳՐՈՒԹՅԱՄԲ | 
| Հավելված ՀՀ կառավարության 2024 թվականի ապրիլի 25-ի N 607-Ն որոշման | 
| 
 | «Հավելված N 4 ՀՀ կառավարության 2017 թվականի ապրիլի 13-ի N 381-Ն որոշման | 
Կ Ա Ր Գ
ՀԱՅԱՍՏԱՆԻ ՀԱՆՐԱՊԵՏՈՒԹՅԱՆ ՊԵՏԱԿԱՆ ԳԱՆՁԱՊԵՏԱԿԱՆ ԳՆԱՃԻՆ ԿՑՎԱԾ ԱՐԺԵԿՏՐՈՆԱՅԻՆ ՊԱՐՏԱՏՈՄՍԵՐԻ ԹՈՂԱՐԿՄԱՆ, ՏԵՂԱԲԱՇԽՄԱՆ, ՇՐՋԱՆԱՌՈՒԹՅԱՆ ԵՎ ՄԱՐՄԱՆ
ԳԼՈՒԽ 1
ԸՆԴՀԱՆՈՒՐ ԴՐՈՒՅԹՆԵՐ
1. Սույն կարգով կարգավորվում են Հայաստանի Հանրապետության պետական գանձապետական գնաճին կցված արժեկտրոնային պարտատոմսերի թողարկման, տեղաբաշխման, շրջանառության և մարման կանոնների սահմանման հետ կապված հարաբերությունները:
ԳԼՈՒԽ 2
ՀԱՍԿԱՑՈՒԹՅՈՒՆՆԵՐ
2. Սույն կարգում օգտագործվող հիմնական հասկացություններն են`
1) թողարկող` Հայաստանի Հանրապետության ֆինանսների նախարարություն.
2) պարտատոմս՝ թողարկողի կողմից սույն կարգին և Հայաստանի Հանրապետության օրենսդրությանը համապատասխան թողարկված պետական գանձապետական գնաճին կցված արժեկտրոնային պարտատոմս, որը թողարկվում է 1 տարվանից ավելի մարման ժամկետով, վաճառվում է անվանական արժեքով, զեղչատոկոսով կամ հավելավճարով, կիսամյակային արժեկտրոնների վճարումներով և մարվում մայր գումարով, ընդ որում՝ 1 տարվանից 5 տարի ժամկետով պարտատոմսը համարվում է միջնաժամկետ, իսկ 5-ից ավելին՝ երկարաժամկետ.
3) թողարկում՝ պարտատոմսի հիմնական չափանիշների որոշման, հանրային հրապարակման, պետական արժեթղթերի հաշվառման և հաշվարկների իրականացման համակարգում ամրագրման գործողությունների ամբողջություն.
4) կենտրոնական բանկ` Հայաստանի Հանրապետության կենտրոնական բանկ.
5) վերջնահաշվարկ իրականացնող՝ թողարկողի հետ աճուրդի վերջնահաշվարկի իրականացման պայմանագիր կնքած իրավաբանական անձ.
6) մարման սպասարկում իրականացնող՝ թողարկողի հետ պարտատոմսի մարման, արժեկտրոնների վճարման իրականացման պայմանագիր կնքած իրավաբանական անձ.
7) աճուրդի համակարգի օպերատոր՝ աճուրդի համակարգն ապահովող իրավաբանական անձ, որը թողարկողի հետ կնքել է համապատասխան պայմանագիր.
8) աճուրդի կառավարիչ՝ թողարկողի հետ աճուրդի իրականացման պայմանագիր կնքած իրավաբանական անձ, եթե այն թողարկողը չէ.
9) գործակալ` Հայաստանի Հանրապետության օրենսդրությամբ սահմանված ներդրումային ծառայություններ մատուցող անձ, որը թողարկողի հետ կնքել է պարտատոմսերի շուկայում գործակալի գործառույթների կատարման մասին պայմանագիր.
10) ներդրող` յուրաքանչյուր անձ (այդ թվում՝ պայմանագրային ներդրումային ֆոնդ), որը համաձայն սույն կարգի և գործող օրենսդրության՝ սեփականության իրավունքով ձեռք է բերում պարտատոմսեր և գործակալ չէ.
11) անվանատեր՝ անձ, որի անունով, առանց սեփականության իրավունքի փոխանցման, հաշվառվում են այլ անձանց պատկանող պարտատոմսերը.
12) օպերատոր՝ անձը (անձինք), որը (որոնք) կազմակերպում է (են) պարտատոմսերի կարգավորվող շուկայի գործունեությունը.
13) պետական արժեթղթերի հաշվառման և հաշվարկների իրականացման համակարգ (այսուհետև՝ համակարգ)` կենտրոնական պահառուի մոտ վարվող դեպո հաշիվներում պարտատոմսերի հաշվառումը և դեպո հաշիվներով հաշվարկների իրականացումն ապահովող համակարգ.
14) կենտրոնական պահառու` թողարկողի առջև պարտատոմսերի պաշտոնական ամրագրման, շրջանառության պարտավորությունները կրող պահառուական գործունեություն իրականացնող անձ, որը թողարկողի հետ ունի կնքած պահառության պայմանագիր.
15) ենթապահառու` պահառուական գործունեություն իրականացնող անձ, որի մոտ հաշվառվում են սեփական, անվանատիրոջ կամ ըստ առանձին ներդրողների՝ վերջիններիս սեփականության իրավունքով պատկանող պարտատոմսերը.
16) անվանական արժեք (կամ ծավալ)` դրամական միավոր, տեղաբաշխման աճուրդի արդյունքում թողարկողի կողմից վաճառված պարտատոմսերի ծավալ:
17) մայր գումար՝ գնաճով ճշգրտված դրամական միավոր, որը թողարկողը պարտավոր է վճարել պարտատոմսի սեփականատիրոջը կամ անվանատիրոջը մարման վճարման ամսաթվին, համաձայն սույն կարգի 6-րդ գլխի, այն չի կարող պակաս լինել քան անվանական արժեքը.
18) զեղչատոկոս` պարտատոմսի անվանական արժեքի և գնման գնի տարբերություն, եթե այն դրական է.
19) հավելավճար` պարտատոմսի անվանական արժեքի և գնման գնի տարբերություն, եթե այն բացասական է.
20) գնման գին՝ դրամական միավոր, որը պարտատոմսի գնորդը վերջնահաշվարկի ամսաթվին պարտավոր է վճարել պարտատոմս վաճառողին պարտատոմսի սահմանված անվանական արժեքի համար տասը Հայաստանի Հանրապետության լումայի ճշտությամբ` համաձայն թվաբանական կլորացման կանոնների.
21) գին՝ գնման գնի և անվանական արժեքի հարաբերություն, որը հաշվարկվում է յուրաքանչյուր հարյուր միավոր անվանական արժեքի համար, զրո ամբողջ մեկ տասը հազարերորդական թվի ճշտությամբ` համաձայն թվաբանական կլորացման կանոնների.
22) եկամտաբերություն (կամ մինչև մարում տարեկան եկամտաբերություն)՝ տոկոսադրույք (զրո ամբողջ տասը հազարերորդական նիշի ճշտությամբ՝ թվաբանական կլորացման կանոնի ներքո), որով հաշվարկվում է գինը՝ համաձայն սույն կարգի 6-րդ գլխի.
23) արժեկտրոնի տարեկան եկամտաբերություն՝ պարտատոմսի համար թողարկողի կողմից սահմանված ֆիքսված տոկոսադրույք (զրո ամբողջ մեկ հարյուրերորդական նիշի ճշտությամբ).
24) արժեկտրոն` թողարկողի կողմից պարտատոմսի սեփականատիրոջը կամ անվանատիրոջը մինչև մարման ամսաթիվը ներառյալ, թողարկման ամսաթվից հաշվարկված, կիսամյակային պարբերականությամբ և արժեկտրոնի տարեկան եկամտաբերությամբ պարտատոմսի գնաճով ճշգրտված անվանական արժեքի դիմաց վճարվող տոկոսագումարն է՝ համաձայն սույն կարգի 6-րդ գլխի.
25) արժեկտրոնի վճարման ամսաթիվ՝ թողարկողի կողմից սահմանված օրացուցային օր, երբ թողարկողը պարտավոր է վճարել տվյալ պարտատոմսի արժեկտրոնը.
26) արժեկտրոնի առաջին վճարման ամսաթիվ՝ թողարկողի կողմից սահմանված օրացուցային օր, երբ առաջին անգամ թողարկողը պարտավոր է վճարել տվյալ պարտատոմսի արժեկտրոնը.
27) առաջնային շուկա` շուկա, որտեղ իրականացվում է պարտատոմսերի տեղաբաշխումը.
28) երկրորդային շուկա` առաջնային շուկայից դուրս պարտատոմսերի շրջանառությունն ապահովող գործարքների (առուվաճառք (այդ թվում` նաև ռեպո, հակադարձ ռեպո և իրավական ակտերով սահմանված այլ գործարքներ), ազատ առաքում) իրականացման համար կազմակերպված կամ չկազմակերպված շուկա.
29) թողարկման ծավալ՝ յուրաքանչյուր պարտատոմսի համար թողարկողի կողմից որոշվող և հրապարակվող տվյալ թողարկման պարտատոմսի բոլոր տեղաբաշխումների առավելագույն գումարային անվանական արժեքը.
30) տեղաբաշխման ենթակա ծավալ՝ թողարկողի կողմից նախապես որոշված և հրապարակված՝ յուրաքանչյուր աճուրդին պարտատոմսի համար սահմանված առավելագույն անվանական արժեք, որի չափով կարող է իրականացվել տեղաբաշխում .
31) տեղաբաշխված ծավալ՝ յուրաքանչյուր տեղաբաշխման աճուրդի արդյունքում թողարկողի կողմից վաճառված պարտատոմսերի անվանական արժեքների հանրագումար.
32) տեղաբաշխում` թողարկողի կողմից պարտատոմսի առաջին վաճառք կամ թողարկման վերաբացման միջոցով պարտատոմսի վաճառք.
33) գործարք՝ պարտատոմսի վաճառք.
34) աճուրդ՝ տեղաբաշխման աճուրդ` պարտատոմսի տեղաբաշխման նպատակով կազմակերպվող փակ մրցութային գործընթաց, որի ժամանակ պարտատոմս ձեռք բերելու նպատակով հավանական գնորդները ներկայացնում են հայտեր, որոնք աճուրդի համակարգում գրանցվում, դասակարգվում, համադրվում են և կարող են բավարարվել թողարկողի կողմից.
35) աճուրդի համակարգ` էլեկտրոնային եղանակով աճուրդների կազմակերպման համար օգտագործվող ավտոմատացված ծրագրային ամբողջություն, որը նախատեսված է աճուրդի համակարգի օպերատորի մոտ աճուրդների կազմակերպման, անցկացման և դրա հետ կապված տեղեկատվության մշակման և պահպանման համար.
36) աճուրդի համակարգի մասնակից` գործակալները և կենտրոնական բանկը.
37) բազմակի գնային մեթոդ` աճուրդի իրականացման մեթոդ, երբ յուրաքանչյուր հաղթած հայտ բավարարվում (մասնակի բավարարվում) է հայտում նշված գնով (եկամտաբերությամբ).
38) վերաբացում` յուրաքանչյուր թողարկման պարտատոմսի հերթական մասնաբաժնի տեղաբաշխման մասին որոշման ընդունում.
39) հայտ` աճուրդի համակարգի մասնակցի կողմից ներկայացված և թողարկողին ուղղված անվանական արժեքի և եկամտաբերության (կամ գնի) համախմբությամբ գործարք կնքելու առաջարկ.
40) հայտարարության ամսաթիվ՝ պարտատոմսի թողարկման կամ աճուրդի անցկացման վերաբերյալ հայտարարության հրապարակման օր.
41) թողարկման ամսաթիվ՝ թողարկողի կողմից սահմանված օրացուցային օր, որից հաշվարկվում է առաջին արժեկտրոնը.
42) աճուրդի ամսաթիվ` օրացուցային օր, երբ պետք է կազմակերպվի աճուրդը.
43) մարման ամսաթիվ՝ թողարկողի կողմից սահմանված օրացուցային օր, որ պահից սկսած արգելվում է այդ պարտատոմսի շրջանառությունը երկրորդային շուկայում և դրանցով ցանկացած գործառնության իրականացումը` բացառությամբ պարտատոմսի մարման.
44) մինչև մարում մնացած օրերի թիվ՝ մարման ամսաթվի և վերջնահաշվարկի ամսաթվի միջև օրացուցային օրերի քանակ.
45) մարման ժամկետ՝ թողարկման ամսաթվից մինչև մարման ամսաթիվն ընկած ժամանակահատված.
46) մարման վճարման ամսաթիվ՝ թողարկողի կողմից սահմանված օրացուցային օր, երբ թողարկողը պարտավոր է փաստացի վճարել գնաճին կցված արժեկտրոնային պարտատոմսի վճարման ենթակա մայր գումարը և վերջին արժեկտրոնը.
47) հայտի բավարարում (մասնակի բավարարում), գործարքի կնքում` սույն կարգով, աճուրդի համակարգի օպերատորի կանոններով և համապատասխան պայմանագրերով սահմանված ձևով պարտատոմսի առուվաճառքի էական պայմանների և պարտատոմսի առուվաճառքի արդյունքում ծագող իրավունքների ու պարտավորությունների վերաբերյալ պարտատոմսի գնորդի և պարտատոմս վաճառողի միջև համաձայնության կայացում.
48) միջին կշռված եկամտաբերություն՝ կնքված գործարքների միջին կշռված եկամտաբերություն, որտեղ կշիռները ներկայացնում են կնքված գործարքների ծավալները զրո ամբողջ մեկ տասը հազարերորդական թվի ճշտությամբ` համաձայն թվաբանական կլորացման կանոնների.
49) միջին կշռված գին՝ կնքված գործարքների միջին կշռված գին, որտեղ կշիռները ներկայացնում են կնքված գործարքների ծավալները զրո ամբողջ մեկ տասը հազարերորդական թվի ճշտությամբ` համաձայն թվաբանական կլորացման կանոնների.
50) պարտատոմսի քայլ՝ պարտատոմսի անվանական արժեքի չափ, որին բազմապատիկ պետք է լինեն պարտատոմսով իրականացվող բոլոր գործառնությունները.
51) վերջնահաշվարկ՝ գործողությունների ամբողջություն, որի արդյունքում մարվում են դրամական միջոցների և պարտատոմսերի փոխանցման հետ կապված աճուրդի համակարգի մասնակիցների և թողարկողի միջև գործարքների կնքման արդյունքում ծագած պարտավորությունները.
52) վերջնահաշվարկի ամսաթիվ՝ թողարկողի կողմից սահմանված օրացուցային օր, երբ պետք է իրականացվի կնքված գործարքին համապատասխան դրամական միջոցների և պարտատոմսերի փոխանցման հետ կապված պարտավորությունների մարումը.
53) դեպո հաշիվ՝ պարտատոմսերի հաշվառման համար նախատեսված կենտրոնական պահառուի կամ ենթապահառուի գրառումների բազմություն, որը միավորված է ընդհանուր հատկանիշներով.
54) թվաբանական կլորացման կանոն՝ կլորացման այն մեթոդը, որի դեպքում կլորացման ենթակա միավորը չի փոխվում, եթե կլորացման ենթակա միավորին հաջորդող թիվը հավասար է 0-4-ի, և փոխվում է` մեծանալով մեկ միավորով, եթե կլորացման ենթակա միավորին հաջորդող թիվը հավասար է 5-9-ի:
55) գնաճի ինդեքսավորման գործակից՝ արժեկտրոնի վճարման (մարման) և պարտատոմսի թողարկման ամսաթվերի դրությամբ Հայաստանի Հանրապետության վիճակագրական կոմիտեի կողմից հրապարակված սպառողական գների ինդեքսի ցուցանիշների հարաբերակցությունն է, ընդ որում՝ ցանկացած պահի դրությամբ սպառողական գների ինդեքսը հաշվարկվում է տվյալ ամսվա առաջին օրացուցային օրվան նախորդող հրապարակային ցուցանիշների հիման վրա էքստրապոլացիայի միջոցով՝ համաձայն սույն կարգի 6-րդ գլխի։
ԳԼՈՒԽ 3
ՊԱՐՏԱՏՈՄՍԵՐԻ ԹՈՂԱՐԿՈՒՄԸ ԵՎ ԱՃՈՒՐԴՆԵՐԻ ՀԱՅՏԱՐԱՐՈՒՄԸ
3. Պարտատոմսերը թողարկվում են թողարկողի կողմից` Հայաստանի Հանրապետության անունից, Հայաստանի Հանրապետության ազգային արժույթով, անվանական, ոչ փաստաթղթային ձևով և ապահովված են պետության` սեփականության իրավունքով իրեն պատկանող գույքով:
4. Սույն կարգի համաձայն թողարկված և շրջանառության մեջ գտնվող պարտատոմսերի թողարկման պայմաններում փոփոխություններ չեն կարող կատարվել: Թողարկողն իրավունք ունի թողարկելու պարտատոմսեր միայն սույն կարգի համաձայն:
5. Պարտատոմսերի թողարկման չափանիշները սահմանվում են Հայաստանի Հանրապետության ֆինանսների նախարարի հրամանով (այսուհետ՝ հրաման): Թողարկողը պարտատոմսերի թողարկման չափանիշները սահմանող հրամանում առնվազն ամրագրում է պարտատոմսերի թողարկման ամսաթիվը, թողարկման ծավալը, մարման ամսաթիվը, մարման վճարման ամսաթիվը, արժեկտրոնի առաջին վճարման ամսաթիվը և արժեկտրոնի տարեկան եկամտաբերությունը:
6. Պարտատոմսը համարվում է թողարկված կենտրոնական պահառուի համակարգում տվյալ պարտատոմսի վերաբերյալ համապատասխան գրառումներ կատարելուց հետո՝ հրամանով սահմանված թողարկման ամսաթվին:
7. Պարտատոմսերի յուրաքանչյուր թողարկմանը շնորհվում է ԱյԷսՕ (ISO) 10962 ստանդարտի համաձայն ֆինանսական գործիքների առանձնահատկություններ սահմանող ՍիԷֆԱյ (CFI) ծածկագիր, ինչպես նաև ԱյԷսՕ (ISO) 6166 ստանդարտի արժեթղթերի միջազգային տարբերակիչ ծածկագիր՝ Համարակալման ազգային գործակալությունների ասոցիացիայի կողմից արժեթղթերի միջազգային տարբերակիչ ծածկագրերի շնորհման ուղեցույցին համապատասխան:
8. Թողարկողն ապահովում է իր կողմից թողարկված պարտատոմսերի մարումը և արժեկտրոնների վճարումը:
9. Մարման ամսաթվին պարտատոմսով ցանկացած տիպի գործառնությունը, բացի մարումից, արգելվում է:
10. Պարտատոմսի քայլը մեկ հազար Հայաստանի Հանրապետության դրամ է:
11. Պարտատոմսերով հավաստված իրավունքների պաշտոնական ամրագրումն իրականացվում է դեպո հաշիվներում համապատասխան գրառումներ կատարելու միջոցով:
12. Թողարկողը պարտատոմսերի թողարկման ամսաթվից ոչ ուշ, քան հինգ աշխատանքային օր առաջ` մինչև ժամը 11.00-ն, էլեկտրոնային եղանակով կենտրոնական պահառուին է փոխանցում պարտատոմսի՝ սույն կարգի 5-րդ կետով նշված չափանիշները և 7-րդ կետով նշված արժեթղթերի միջազգային տարբերակիչ ծածկագիրը՝ համակարգում գրանցելու նպատակով:
13. Կենտրոնական պահառուն սույն կարգի 12-րդ կետով սահմանված տեղեկատվության հիման վրա պարտատոմսը համակարգում գրանցելուց հետո նույն օրը մինչև ժամը 15:00-ն էլեկտրոնային եղանակով տեղեկացնում է թողարկողին և աճուրդի համակարգի օպերատորին պարտատոմսի գրանցման հավաստման վերաբերյալ:
14. Թողարկողը պարտատոմսերի տեղաբաշխման աճուրդի ամսաթվից առնվազն երկու աշխատանքային օր առաջ` մինչև ժամը 11.00-ն, էլեկտրոնային եղանակով աճուրդի համակարգի օպերատորին է փոխանցում աճուրդի կազմակերպման մասին հայտարարությունը:
15. Աճուրդի կազմակերպման մասին հայտարարության տեղեկատվությունն առնվազն պետք է ներառի հետևյալ տվյալները՝ հայտարարության ամսաթիվը, աճուրդի առարկա հանդիսացող պարտատոմսին շնորհված արժեթղթերի միջազգային տարբերակիչ ծածկագիրը, թողարկման ամսաթիվը, թողարկման ծավալը, մարման ամսաթիվը, մարման վճարման ամսաթիվը, արժեկտրոնի առաջին վճարման ամսաթիվը, արժեկտրոնի տարեկան եկամտաբերությունը, աճուրդի ամսաթիվը, տեղաբաշխման ենթակա ծավալը, վերջնահաշվարկի ամսաթիվը:
16. Թողարկողն իրավունք ունի չեղյալ համարելու հայտարարված կամ հրապարակված աճուրդը: Աճուրդի չեղյալ համարելու մասին որոշումը թողարկողն աճուրդի համակարգի օպերատորին է փոխանցում աճուրդի ամսաթվից առնվազն մեկ աշխատանքային օր առաջ՝ մինչև ժամը 14.00-ն:
17. Աճուրդի համակարգի օպերատորը պարտավոր է իր պաշտոնական ինտերնետային կայքում տեղադրել (հայտարարություն անել)՝
1) պարտատոմսի՝ սույն կարգի 5-րդ կետով նշված չափանիշները և 7-րդ կետով նշված արժեթղթերի միջազգային տարբերակիչ ծածկագիրը թողարկման ամսաթվից առնվազն հինգ աշխատանքային օր առաջ՝ մինչև ժամը 16.00-ն.
2) տեղաբաշխման աճուրդի կազմակերպման մասին տեղեկատվությունն աճուրդի ամսաթվից առնվազն երկու աշխատանքային օր առաջ ՝ մինչև ժամը 16.00-ն.
3) հայտարարված աճուրդը չեղյալ համարելու մասին թողարկողի որոշումն աճուրդի ամսաթվից առնվազն մեկ աշխատանքային օր առաջ՝ մինչև ժամը 16.00-ն:
ԳԼՈՒԽ 4
ՊԱՐՏԱՏՈՄՍԵՐԻ ՏԵՂԱԲԱՇԽՄԱՆ ԿԱԶՄԱԿԵՐՊՈՒՄԸ
18. Աճուրդներն իրականացվում են աճուրդի համակարգում, աճուրդի ամսաթվին, աճուրդի կառավարչի կողմից:
19. Աճուրդների կազմակերպման կանոնները հաստատվում են աճուրդի համակարգի օպերատորի կողմից՝ համաձայնեցնելով թողարկողի հետ:
20. Պարտատոմսերի տեղաբաշխումն իրականացվում է վաճառքի տեսքով աճուրդի կազմակերպման միջոցով:
21. Աճուրդները կազմակերպում է աճուրդի համակարգի օպերատորը:
22. Աճուրդի ամսաթիվը կարող է տարբեր լինել վերջնահաշվարկի ամսաթվից, սակայն վերջնահաշվարկի ամսաթվի և աճուրդի ամսաթվի տարբերությունն առավելագույնը երկու աշխատանքային օր է: Վերջնահաշվարկի ամսաթիվը սահմանվում է թողարկողի կողմից յուրաքանչյուր աճուրդի համար առանձին:
23. Թողարկողը կարող է թողարկված պարտատոմսերը տեղաբաշխել ամբողջությամբ կամ մաս-մաս` վերաբացման միջոցով:
24. Ցանկացած տեղաբաշխման աճուրդի ժամանակ պարտատոմսի տեղաբաշխման ենթակա ծավալի առավելագույն չափը թողարկման ծավալի և մինչև աճուրդի ամսաթիվը տեղաբաշխված ընդհանուր ծավալի տարբերությունն է:
25. Տեղաբաշխման աճուրդներն իրականացվում են բազմակի գնային մեթոդով: Տեղաբաշխման աճուրդին կարող են մասնակցել միայն գործակալները, ինչպես նաև կենտրոնական բանկը՝ «Հայաստանի Հանրապետության կենտրոնական բանկի մասին» օրենքով սահմանված դեպքում:
ԳԼՈՒԽ 5
ԳՈՐԾԱԿԱԼՆԵՐԸ
26. Գործակալը թողարկողի գործընկերն է պարտատոմսերի առաջնային և երկրորդային շուկաներում:
27. Թողարկողը գործակալների ընտրությունն իրականացնում է՝ համաձայն իր կողմից սահմանված գործակալների վարքագծի գնահատման և ընտրության կարգի:
28. Գործակալին համապատասխան կարգավիճակ շնորհվում է թողարկողի հետ կնքված պայմանագրով: Գործակալների հետ կնքվող պայմանագրի օրինակելի ձևը սահմանում է թողարկողը:
29. Գործակալը պետք է հանդիսանա ենթապահառու:
30. Գործակալն աճուրդին իրավունք ունի հայտեր ներկայացնելու ինչպես իր անունից` իր հաշվին, այնպես էլ իր անունից, ներդրողի կամ անվանատիրոջ հանձնարարությամբ` ներդրողի կամ անվանատիրոջ հաշվին:
31. Գործակալն իրավունք ունի մասնակցելու պարտատոմսերի տեղաբաշխման աճուրդներին՝ համաձայն աճուրդի համակարգի օպերատորի կողմից սահմանված պարտատոմսերի տեղաբաշխման աճուրդների կազմակերպման կանոնների:
32. Գործակալն իր կարգավիճակից կարող է զրկվել թողարկողի որոշմամբ` համաձայն պայմանագրի: Կարգավիճակից զրկելու վերաբերյալ որոշման մասին գործակալը, կենտրոնական պահառուն, աճուրդի համակարգի օպերատորը, վերջնահաշվարկ իրականացնողը և օպերատորը տեղեկացվում են որոշման ընդունման պահից մեկ աշխատանքային օրվա ընթացքում: Գործակալի կարգավիճակից զրկելու վերաբերյալ որոշումն ուժի մեջ է մտնում սույն կետում նախատեսված տեղեկացման օրվան հոջորդող օրվանից:
33. Եթե պարտատոմսերով կնքված գործարքների հետ կապված վերջնահաշվարկի ամսաթվի դրությամբ գործակալը գործարքներ կատարելու համար պարտավորությունները չի իրականացնում, ապա գործակալն անմիջապես զրկվում է իր կարգավիճակից՝ թողարկողի որոշմամբ:
34. Թողարկողը պարբերաբար կազմակերպում է հանդիպումներ գործակալների հետ` պարտատոմսերի շուկայում առաջիկա ծրագրերը քննարկելու նպատակով:
ԳԼՈՒԽ 6
ՊԱՐՏԱՏՈՄՍԵՐԻ ՄԱՅՐ ԳՈՒՄԱՐԻ, ԳՆՄԱՆ ԳՆԻ ԵՎ ԱՐԺԵԿՏՐՈՆԻ ՀԱՇՎԱՐԿՆԵՐԻ ԻՐԱԿԱՆԱՑՈՒՄԸ
35. Պարտատոմսերի մայր գումարը t պահի դրությամբ հաշվարկվում է համաձայն հետևյալ բանաձևի՝
𝐹𝑉t = 𝑚𝑎𝑥{𝐼𝐶t ⋅ 𝐹𝑉0 , 𝐹𝑉0 }
որտեղ՝
t-ն ընթացիկ օրվա ամսաթիվն է,
𝐹𝑉0 -ն պարտատոմսի տեղաբաշխման պահին անվանական արժեքն է,
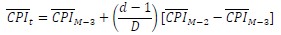
𝐼𝐶tն - ինդեքսավորման գործակիցն է, որը հաշվարկվում է համաձայն հետևյալ բանաձևի՝
|  | ստորակետից հետո չորս նիշի ճշտությամբ՝ համաձայն թվաբանական կլորացման կանոնների: | 
Յուրաքանչյուր ամսվա առաջին օրացուցային օրվա 𝐶𝑃𝐼 -ը 3 ամիս առաջվա սպառողական գների ինդեքսն է, իսկ ամսվա t ընթացիկ օրվա համար 𝐶𝑃𝐼t-ն հաշվարկվում է ստորակետից հետո չորս նիշի ճշտությամբ՝ համաձայն թվաբանական կլորացման կանոնների՝ հետևյալ բանաձևով՝
որտեղ՝
d-ն t ընթացիկ օրը պարունակող ամսվա հերթական օրն է,
𝐷-ն t ընթացիկ օրը պարունակող ամսվա օրացուցային օրերի ընդհանուր քանակն է,
𝐶𝑃𝐼M -ը t ընթացիկ օրը պարունակող ամսվա սպառողական գների ինդեքսն է,
M-ը t ընթացիկ օրը պարունակող տարվա հերթական ամիսն է,
𝐶𝑃𝐼M-3-ը t ընթացիկ օրը պարունակող ամսվան նախորդող՝ 3 ամիս առաջվա հրապարակային սպառողական գների ինդեքսն է։
𝐶𝑃𝐼M-2-ը t ընթացիկ օրը պարունակող ընթացիկ ամսվան նախորդող՝ 2 ամիս առաջվա հրապարակային սպառողական գների ինդեքսն է:
𝐶𝑃𝐼0 - թողարկման օրվա դրությամբ սպառողական գների ինդեքսն է, ընդ որում՝ թողարկման օրը 𝐶𝑃𝐼0 = 𝐶𝑃𝐼t:
36. Պարտատոմսերի արժեկտրոնի հաշվարկն իրականացվում է համաձայն հետևյալ կանոնի`
որտեղ`
𝐴t -ն արժեկտրոնի վճարվելիք գումարն է տասը Հայաստանի Հանրապետության լումայի ճշտությամբ` համաձայն թվաբանական կլորացման կանոնների,
C-ն արժեկտրոնի տարեկան եկամտաբերությունն է:
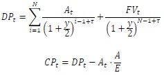
37. Պարտատոմսերի գնման գինը հաշվարկվում է համաձայն հետևյալ բանաձևի՝
որտեղ`
𝐷𝑃t-ն պարտատոմսի գնման գինն է (ներառված կուտակված տոկոսագումարը),
𝐶𝑃t -ն պարտատոմսի մաքուր գնման գինն է (առանց կուտակված տոկոսագումարի),
y-ը եկամտաբերությունն է (%),
DSC-ն գործարքի վերջնահաշվարկի ամսաթվից մինչև առաջիկա արժեկտրոնի վճարումը մնացած փաստացի օրերի թիվն է,
E-ն նախորդ արժեկտրոնի վճարման ամսաթվից (իսկ առաջին արժեկտրոնի դեպքում՝ թողարկման ամսաթվից) մինչև հաջորդ արժեկտրոնի վճարման ամսաթիվը (իսկ վերջին արժեկտրոնի դեպքում՝ մարման ամսաթիվը) մնացած փաստացի օրերի թիվն է համապատասխան պայմանականության դեպքում,
A-ն նախորդ արժեկտրոնի վճարման օրվանից մինչև վերջնահաշվարկի ամսաթիվը փաստացի օրերի թիվն է, իսկ առաջին արժեկտրոնի փուլում գտնվելու դեպքում՝ թողարկման ամսաթվից մինչև գործարքի վերջնահաշվարկի ամսաթիվը փաստացի օրերի թիվը,
N-ն այդ պահին մնացած արժեկտրոնների վճարումների թիվն է:
ԳԼՈՒԽ 7
ԱՃՈՒՐԴԻ ՀԱՄԱԿԱՐԳԻ ՕՊԵՐԱՏՈՐԻ ԿՈՂՄԻՑ ԳՈՐԾԱՌՆՈՒԹՅՈՒՆՆԵՐԻ ԻՐԱԿԱՆԱՑՄԱՆ ԿԱՐԳԸ
38. Գործարքների կնքման, աճուրդների կազմակերպման կանոնները սահմանվում են աճուրդի համակարգի օպերատորի կողմից` համաձայնեցնելով թողարկողի հետ և չեն կարող հակասել սույն կարգին: Այդ կանոններով սահմանվում են աճուրդի համակարգի մասնակիցների կողմից հայտերի կազմման, ներկայացման, ընդունման, ստուգման, բավարարման պայմանները, աճուրդի արդյունքների ամփոփման և հրապարակման կարգը, աճուրդի համակարգի օպերատորի և թողարկողի միջև ներկայացվող տվյալները, արտակարգ իրավիճակներում աճուրդի ընդհատման, վերսկսման, աճուրդը չեղյալ հայտարարելու դեպքերը և կարգը, աճուրդի հետ կապված այլ դրույթներ:
ԳԼՈՒԽ 8
ԵՐԿՐՈՐԴԱՅԻՆ ՇՈՒԿԱՅՈՒՄ ՊԱՐՏԱՏՈՄՍԵՐԻ ՇՐՋԱՆԱՌՈՒԹՅՈՒՆԸ, ՊԱՐՏԱՏՈՄՍԵՐԻ ԳՐԱՎԱԴՐՈՒՄԸ, ՊԱՐՏԱՏՈՄՍԵՐԻ ՎԵՐՋՆԱՀԱՇՎԱՐԿԸ, ՊԱՀԱՌՈՒԹՅԱՆ ԳՈՐԾՈՒՆԵՈՒԹՅՈՒՆԸ, ՊԱՐՏԱՏՈՄՍԵՐԻ ՀԱՇՎԱՌՄԱՆ ԵՎ ՀԱՇՎԱՐԿՆԵՐԻ ԻՐԱԿԱՆԱՑՄԱՆ ՀԱՄԱԿԱՐԳԸ
39. Պարտատոմսերի աճուրդների վերջնահաշվարկն իրականացվում Է հայտարարությունում նշված վերջնահաշվարկի ամսաթվին վերջնահաշվարկ իրականացնողի կողմից:
40. Պարտատոմսերի պահառուի գործունեությունը, պարտատոմսերի հաշվառման և հաշվարկների իրականացման համակարգի գործառույթները կատարում է կենտրոնական պահառուն:
41. Երկրորդային շուկայում պարտատոմսերի շրջանառության, պարտատոմսերի գրավադրման, վերջնահաշվարկի իրականացման, պահառության գործունեության պայմանների, համակարգում մասնակցության չափանիշների, պարտատոմսերով գործառնությունների իրականացման համար հիմք հանդիսացող փաստաթղթերը (առքի ու վաճառքի, ազատ առաքման, գրավադրման մասին հանձնարարականները և այլն) ներկայացնելու, հաշվարկների կանոնների հետ կապված հարաբերությունները կարգավորվում են «Հայաստանի Հանրապետության կենտրոնական բանկի մասին» օրենքի 20-րդ հոդվածի «իգ1» ենթակետի համաձայն հաստատված կարգերով:
ԳԼՈՒԽ 9
ՊԱՐՏԱՏՈՄՍԵՐԻ ՄԱՐՄԱՆ, ԱՐԺԵԿՏՐՈՆՆԵՐԻ ՎՃԱՐՄԱՆ ԿԱՐԳԸ
42. Մարման սպասարկում իրականացնողը թողարկողի անունից, թողարկողի հանձնարարականի հիման վրա, պարտատոմսերի մարման վճարման կամ արժեկտրոնի վճարման ամսաթվին՝ մինչև ժամը 12:00-ն, ապահովում է պարտատոմսի մարումն ու արժեկտրոնի վճարումը:
43. Շրջանառությունում գտնվող պարտատոմսերը համարվում են մարված, եթե վճարվել են բոլոր արժեկտրոնները և պարտատոմսերի մայր գումարը։
44. Կենտրոնական պահառուի մոտ հաշվառվող թողարկողի տեղաբաշխման ենթակա պարտատոմսեր ենթահաշիվներին առկա պարտատոմսերի դիմաց արժեկտրոնի վճարում չի իրականացվում: Այդ պարտատոմսերը համարվում են մարված՝ թողարկման հրամանով սահմանված մարման ամսաթվին:
45. Պարտատոմսերի արժեկտրոնի վճարումն իրականացվում է տվյալ պարտատոմսերի թողարկման ամսաթվին հաջորդող յուրաքանչյուր վեցերորդ ամսվա համապատասխան օրը՝ մինչև պարտատոմսի մարման ժամկետի լրանալը:
46. Եթե պարտատոմսերի մարման կամ արժեկտրոնի վճարման ամսաթիվը լրանում է այն ամսին, որը չունի համապատասխան ամսաթիվ, ապա ժամկետը լրանում է այդ ամսվա վերջին օրացուցային օրը:
47. Եթե պարտատոմսերի մարման կամ արժեկտրոնի վճարման ամսաթիվը Հայաստանի Հանրապետության օրենսդրության համաձայն ոչ աշխատանքային օր է, ապա պարտատոմսերի մարումը կամ արժեկտրոնի վճարումն իրականացվում են հաջորդ աշխատանքային օրը:
48. Պարտատոմսը մարվում է կամ արժեկտրոնը վճարվում է պարտատոմսի մարման կամ արժեկտրոնի վճարման ամսաթվին նախորդող օրացուցային օրվա ժամը 24:00-ի դրությամբ կենտրոնական պահառուի մոտ հաշվառվող պարտատոմսի սեփականատիրոջը կամ անվանատիրոջը: Անվանատերն ապահովում է պարտատոմսերի մարումն ու արժեկտրոնի վճարումն իր մոտ հաշվառվող սեփականատիրոջը:
49. Պարտատոմսերի առաջին արժեկտրոնի վճարման հաշվարկն իրականացվում է թողարկման ամսաթվից սկսած:»:
| Հայաստանի Հանրապետության վարչապետի աշխատակազմի ղեկավար | Ա. Հարությունյան | 
| 26.04.2024 ՀԱՎԱՍՏՎԱԾ Է ԷԼԵԿՏՐՈՆԱՅԻՆ ՍՏՈՐԱԳՐՈՒԹՅԱՄԲ | 
Պաշտոնական հրապարակման օրը՝ 26 ապրիլի 2024 թվական:
 
                