ՀԱՅԱՍՏԱՆԻ ՀԱՆՐԱՊԵՏՈՒԹՅԱՆ ԿԱՌԱՎԱՐՈՒԹՅՈՒՆ
Ո Ր Ո Շ ՈՒ Մ
4 հունվարի 2024 թվականի N 32-Ն
ՄԹՆՈԼՈՐՏԱՅԻՆ ՕԴՆ ԱՂՏՈՏՈՂ (ՎՆԱՍԱԿԱՐ) ՆՅՈՒԹԵՐԻ ՍԱՀՄԱՆԱՅԻՆ ԹՈՒՅԼԱՏՐԵԼԻ ԱՐՏԱՆԵՏՈՒՄՆԵՐԻ ՆՈՐՄԱՏԻՎՆԵՐԻ ՆԱԽԱԳԾԵՐԻ ՄՇԱԿՄԱՆ ԵՎ ՍԱՀՄԱՆԱՅԻՆ ԹՈՒՅԼԱՏՐԵԼԻ ԱՐՏԱՆԵՏՈՒՄՆԵՐԻ ՆՈՐՄԱՏԻՎՆԵՐԻ ՆԱԽԱԳԻԾ ՆԵՐԿԱՅԱՑՐԱԾ ԻՐԱՎԱԲԱՆԱԿԱՆ ԱՆՁԱՆՑ ԵՎ ՁԵՌՆԱՐԿԱՏԻՐԱԿԱՆ ԳՈՐԾՈՒՆԵՈՒԹՅԱՄԲ ԶԲԱՂՎՈՂ ՖԻԶԻԿԱԿԱՆ ԱՆՁԱՆՑ ԱՐՏԱՆԵՏՄԱՆ ԹՈՒՅԼՏՎՈՒԹՅՈՒՆՆԵՐԻ ՏՐԱՄԱԴՐՄԱՆ ԿԱՄ ՄԵՐԺՄԱՆ ԿԱՄ ՈՒԺԸ ԿՈՐՑՐԱԾ ՃԱՆԱՉԵԼՈՒ ՄԱՍԻՆ ԿԱՐԳԸ ՀԱՍՏԱՏԵԼՈՒ ՄԱՍԻՆ
Ղեկավարվելով «Մթնոլորտային օդի պահպանության մասին» 1994 թվականի հոկտեմբերի 11-ի ՀՕ-121 օրենքի (այսուհետ՝ օրենք) 5-րդ հոդվածի 1-ին մասի 3-րդ կետով՝ Հայաստանի Հանրապետության կառավարությունը որոշում է.
1. Հաստատել մթնոլորտային օդն աղտոտող (վնասակար) նյութերի սահմանային թույլատրելի արտանետումների նորմատիվների նախագծերի մշակման և սահմանային թույլատրելի արտանետումների նորմատիվների նախագիծ ներկայացրած իրավաբանական անձանց և ձեռնարկատիրական գործունեությամբ զբաղվող ֆիզիկական անձանց արտանետման թույլտվությունների տրամադրման կամ մերժման կամ ուժը կորցրած ճանաչելու մասին կարգը` համաձայն հավելվածի:
2. Սույն որոշումն ուժի մեջ է մտնում պաշտոնական հրապարակման օրվան հաջորդող վաթսուներորդ օրը:
|
Հայաստանի Հանրապետության |
Ն. Փաշինյան |
|
Երևան |
|
08.01.2024 ՀԱՎԱՍՏՎԱԾ Է ԷԼԵԿՏՐՈՆԱՅԻՆ ՍՏՈՐԱԳՐՈՒԹՅԱՄԲ |
|
Հավելված ՀՀ կառավարության 2024 թվականի հունվարի 4-ի N 32-Ն որոշման |
Կ Ա Ր Գ
ՄԹՆՈԼՈՐՏԱՅԻՆ ՕԴՆ ԱՂՏՈՏՈՂ (ՎՆԱՍԱԿԱՐ) ՆՅՈՒԹԵՐԻ ՍԱՀՄԱՆԱՅԻՆ ԹՈՒՅԼԱՏՐԵԼԻ ԱՐՏԱՆԵՏՈՒՄՆԵՐԻ ՆՈՐՄԱՏԻՎՆԵՐԻ ՆԱԽԱԳԾԵՐԻ ՄՇԱԿՄԱՆ ԵՎ ՍԱՀՄԱՆԱՅԻՆ ԹՈՒՅԼԱՏՐԵԼԻ ԱՐՏԱՆԵՏՈՒՄՆԵՐԻ ՆՈՐՄԱՏԻՎՆԵՐԻ ՆԱԽԱԳԻԾ ՆԵՐԿԱՅԱՑՐԱԾ ԻՐԱՎԱԲԱՆԱԿԱՆ ԱՆՁԱՆՑ ԵՎ ՁԵՌՆԱՐԿԱՏԻՐԱԿԱՆ ԳՈՐԾՈՒՆԵՈՒԹՅԱՄԲ ԶԲԱՂՎՈՂ ՖԻԶԻԿԱԿԱՆ ԱՆՁԱՆՑ ԱՐՏԱՆԵՏՄԱՆ ԹՈՒՅԼՏՎՈՒԹՅՈՒՆՆԵՐԻ ՏՐԱՄԱԴՐՄԱՆ ԿԱՄ ՄԵՐԺՄԱՆ ԿԱՄ ՈՒԺԸ ԿՈՐՑՐԱԾ ՃԱՆԱՉԵԼՈՒ ՄԱՍԻՆ ԿԱՐԳԸ ՀԱՍՏԱՏԵԼՈՒ ՄԱՍԻՆ
1. Սույն կարգով կանոնակարգվում են մթնոլորտային օդն աղտոտող (վնասակար) նյութերի սահմանային թույլատրելի արտանետումների նորմատիվների նախագծերի (այսուհետ` ՍԹԱ նախագիծ) մշակման և ՍԹԱ նախագիծ ներկայացրած իրավաբանական անձանց և ձեռնարկատիրական գործունեությամբ զբաղվող ֆիզիկական անձանց (այսուհետ` տնտեսվարող սուբյեկտ) մթնոլորտ արտանետման թույլտվության (այսուհետ` արտանետման թույլտվություն) տրամադրման կամ մերժման կամ ուժը կորցրած ճանաչելու գործընթացները և այդ գործընթացների հետ կապված իրավահարաբերությունները:
2. Արտանետման թույլտվության տրամադրման կամ մերժման կամ ուժը կորցրած ճանաչելու գործընթացներն իրականացվում են շրջակա միջավայրի պահպանության ապահովման բնագավառում պետական կառավարման համակարգի մարմնի (այսուհետ՝ լիազոր մարմին) կողմից` օրենքի և սույն կարգի պահանջների համաձայն:
3. Օրենքի 9-րդ հոդվածի 2-րդ մասի 2-րդ կետի համաձայն պետական հաշվառման ենթակա այն տնտեսվարող սուբյեկտների համար, որոնց արտանետումների առավելագույն նախագծային ցուցանիշների հիման վրա հաշվարկված «օդի պահանջվող օգտագործումը» (այսուհետ` ՕՊՕ) տարեկան կտրվածքով կազմում է երկու հարյուր միլիոնից մինչև երկու միլիարդ խորանարդ մետր, արտանետումների սահմանային չափաքանակներ են հանդիսանում դրանց գործունեության արդյունքում առաջացած փաստացի արտանետումները։
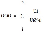
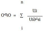
4. ՕՊՕ-ն մեկ տարում կամ մեկ վայրկյանում հաշվարկվում է հետևյալ բանաձևով՝
որտեղ`
Աi-ն յուրաքանչյուրը` i-րդ նյութի առավելագույն արտանետումն է համապատասխանաբար մեկ տարում կամ վայրկյանում ըստ տեխնոլոգիական կանոնակարգի (մգ/տարի կամ մգ/վրկ),
ՍԹԿi-i- րդ նյութի համապատասխանաբար միջին օրական կամ առավելագույն միանվագ սահմանային թույլատրելի խտությունն է (մգ/մ3):
5. Օրենքի 9-րդ հոդվածի 2-րդ մասի 3-րդ կետի համաձայն այն տնտեսվարող սուբյեկտների համար, որոնք ունեն արտանետման այնպիսի աղբյուրներ, որոնց արտանետումների առավելագույն նախագծային ցուցանիշների հիման վրա հաշվարկված ՕՊՕ-ն մեկ տարում գերազանցում է երկու միլիարդ խորանարդ մետր չափանիշը կամ վայրկյանում գերազանցում է երկու հազար խորանարդ մետր չափանիշը, սահմանային թույլատրելի արտանետումների (այսուհետ՝ ՍԹԱ) նորմատիվները որոշվում են ՍԹԱ նախագծերի հիման վրա։
6. Բնակավայրերի սահմաններում ՍԹԱ-ների նորմատիվներ են հանդիսանում Հայաստանի Հանրապետության կառավարության 2006 թվականի փետրվարի 2-ի N 160-Ն որոշմամբ հաստատված առավելագույն միանվագ կոնցենտրացիաները:
7. Տնտեսվարող սուբյեկտի արտադրական տարածքում ՍԹԱ-ների համար նորմատիվներ են հանդիսանում Հայաստանի Հանրապետության առողջապահության նախարարի 2010 թվականի դեկտեմբերի 6-ի N 27-Ն հրամանով հաստատված սահմանային թույլատրելի կոնցենտրացիաները (այսուհետ՝ ՍԹԿ)։
8. ՍԹԱ նախագիծը մշակվում է տնտեսվարող սուբյեկտի կողմից այն վնասակար նյութերի համար, որոնց համար սահմանված է մթնոլորտում դրանց պարունակության առողջապահական, բնապահպանական, արտադրական կամ տեխնիկական նորմատիվներ։
9. Սույն կարգի 5-րդ կետում նշված պայմանին բավարարող տնտեսվարող սուբյեկտները ՍԹԱ նախագիծը մշակում և լիազոր մարմնի քննության է ներկայացնում համաձայն N 1 ձևի։
10. Արտանետման թույլտվությունը տրամադրվում է տնտեսվարող սուբյեկտի կողմից լիազոր մարմին ներկայացրած ՍԹԱ նախագծի հիման վրա։
11. Տնտեսվարող սուբյեկտը ՍԹԱ նախագիծը ներկայացնում է էլեկտրոնային եղանակով՝ «Շրջակա միջավայրի կառավարման ոլորտի թվային ծառայությունների հարթակ» էլեկտրոնային համակարգի միջոցով:
(11-րդ կետը խմբ. 20.06.25 N 816-Ն)
12. Լիազոր մարմինը տնտեսվարող սուբյեկտի կողմից ներկայացված ՍԹԱ նախագծի քննության ընթացքում պարզում է դրա համապատասխանությունը գործող օրենսդրության ու սույն կարգի պահանջներին։
13. Լիազոր մարմինը ՍԹԱ նախագծի քննության արդյունքում 30 աշխատանքային օրվա ընթացքում կայացնում է հետևյալ որոշումները, որոնց մասին տնտեսվարող սուբյեկտը ծանուցվում է նաև իր կողմից տրամադրված էլեկտրոնային փոստի միջոցով՝
1) եթե աղտոտող նյութերի արտանետումները ցրվելու արդյունքում գետնամերձ շերտում` արտանետում իրականացնող տնտեսվարող սուբյեկտների տարածքին ամենամոտ բնակելի տարածքներում, առաջացնում են այնպիսի կոնցենտրացիաներ, որոնք տվյալ տարածքի աղտոտվածության ֆոնային կոնցենտրացիաների հետ համատեղ չեն գերազանցում առավելագույն միանվագ ՍԹԿ-ները, ապա ՍԹԱ նորմատիվները համարվում են ընդունելի, և տնտեսվարող սուբյեկտին լիազոր մարմնի կողմից տրվում է արտանետման թույլտվություն՝ համաձայն N 2 ձևի.
2) եթե տնտեսվարող սուբյեկտի արտանետումներում առկա որոշ նյութերի համար ֆոնային աղտոտվածությունը գերազանցում է միջին օրական ՍԹԿ-ն, ապա ՍԹԱ նորմատիվներն ընդունվում են որպես ժամանակավոր, և տնտեսվարող սուբյեկտին լիազոր մարմնի կողմից տրվում է թույլտվություն 5 տարի ժամկետով՝ համաձայն N 2 ձևի.
3) արտանետման թույլտվություն տրամադրելու վերաբերյալ տնտեսվարող սուբյեկտի դիմումը մերժվում է, եթե՝
ա. տնտեսվարող սուբյեկտի արտանետումներում առկա մեկ կամ մի քանի նյութերի համար արտանետումները ցրվելու արդյունքում գետնամերձ շերտում` արտանետում իրականացնող տնտեսվարող սուբյեկտների տարածքի ամենամոտ բնակելի տարածքներում, առաջանում են այնպիսի կոնցենտրացիաներ, որոնք տվյալ տարածքի աղտոտվածության ֆոնային կոնցենտրացիաների հետ համատեղ գերազանցում են ՍԹԿ-ները,
բ. տնտեսվարող սուբյեկտը սույն կարգի 16-րդ կետում նշված ժամկետում լրամշակված նախագիծը կրկին չի ներկայացնում,
գ. սույն կարգի 16-րդ կետում նշված ժամկետում կրկին ներկայացված լրամշակված նախագիծը չի բավարարում սույն կարգի 13-րդ կետի 1-ին ենթակետին,
դ. ՍԹԱ նախագիծը չի համապատասխանում շրջակա միջավայրի պահպանության ոլորտը կարգավորող օրենսդրական և ենթաօրենսդրական նորմատիվ իրավական ակտերի պահանջներին:
(13-րդ կետը փոփ. 20.06.25 N 816-Ն)
14. (կետն ուժը կորցրել է 20.06.25 N 816-Ն)
14.1. Տրամադրված թույլտվությունը պարունակում է արագ արձագանքման ծածկագիր (QR կոդ) և 16 նիշանոց հսկիչ համար (tracking number): Թույլտվության վավերականությունը հնարավոր է ստուգել՝ մուտքագրելով հսկիչ համարը պաշտոնական փաստաթղթերի իսկության ստուգման կայք (https://verify.e-gov.am/am/) կամ արագ արձագանքման ծածկագրի միջոցով։
(14.1-ին կետը լրաց. 20.06.25 N 816-Ն)
15. ՍԹԱ նախագծի վերաբերյալ դիտողությունների առկայության դեպքում ստանալուց 15 աշխատանքային օրվա ընթացքում այն վերադարձվում է լրամշակման՝ նշելով բոլոր դիտողությունները և դրանց իրավական հիմքերը։ Տնտեսվարող սուբյեկտն այդ մասին ծանուցվում է նաև իր կողմից տրամադրված էլեկտրոնային փոստի միջոցով։ ՍԹԱ նախագծի քննության ժամկետը համարվում է կասեցված, մինչև տնտեսվարող սուբյեկտի կողմից լրամշակված փաթեթը կրկին մուտքագրելու օրը:
(15-րդ կետը խմբ. 20.06.25 N 816-Ն)
16. Տնտեսվարող սուբյեկտը ՍԹԱ նախագիծը լրամշակման ստանալուց հետո պարտավոր է 15 աշխատանքային օրվա ընթացքում լրամշակել այն և կրկին ներկայացնել քննության՝ սույն կարգով նախատեսված ընթացակարգով:
17. (կետն ուժը կորցրել է 20.06.25 N 816-Ն)
18. Եթե 30 աշխատանքային օրվա ընթացքում լիազոր մարմինը չի կայացնում սույն կարգի 13-րդ կետով սահմանված որոշումներից մեկը, ապա արտանետման թույլտվությունը համարվում է տրամադրված՝ համաձայն «Վարչարարության հիմունքների և վարչական վարույթի մասին» Հայաստանի Հանրապետության օրենքի 48-րդ հոդվածի 3-րդ և 4-րդ մասերի։
(18-րդ կետը խմբ. 20.06.25 N 816-Ն)
19. Տրամադրված արտանետման թույլտվությունը մնում է ուժի մեջ, քանի դեռ աղտոտման աղբյուրների և աղտոտող նյութերի մասով քանակական կամ որակական փոփոխություններ տեղի չեն ունեցել, ինչպես նաև տվյալ նյութերով ֆոնային գերնորմատիվային աղտոտվածություն չի առաջացել: Ֆոնային գերնորմատիվային աղտոտվածության առաջացման հետ կապված արտանետման չափաքանակները վերանայվում են տրամադրման պահից 5 տարվանից ոչ շուտ։
20. Տեղանքի ֆոնային աղտոտվածության վերաբերյալ տեղեկատվությունը տրամադրում է լիազոր մարմնի կազմում գործող մասնագիտացված կառույցի կողմից՝ տեղադրելով այն իր պաշտոնական կայքում: Եթե տվյալ տարածքի համար ֆոնային աղտոտվածության տվյալները բացակայում են, ապա ֆոնային աղտոտվածությունը սահմանվում է տվյալ բնակավայրի բնակչության թվից ելնելով:
21. Նոր կառուցվող, ընդլայնվող և վերակառուցվող աղտոտման աղբյուրներ ունեցող օբյեկտների համար արտանետման չափաքանակները սահմանվում են այդ օբյեկտները սահմանված կարգով շահագործման հանձնելու օրվանից 7 օրվա ընթացքում` մեկ տարի ժամկետով դրանց կառուցման, ընդլայնման և վերակառուցման նախագծային լուծումների հիման վրա: Այնուհետև, կապված արտանետումների հզորություններից կամ ծավալից, սույն որոշման 5-րդ կետին համապատասխան:
22. Տրամադրված արտանետման թույլտվությունը կարող է ուժը կորցրած ճանաչվել լիազոր մարմնի ղեկավարի հրամանով հետևյալ դեպքերում՝
1) մթնոլորտային օդի պահպանության ոլորտում վերահսկողություն իրականացնող տեսչական մարմնի կողմից լիազոր մարմնին միջնորդագրի ներկայացման.
2) տնտեսվարողը սուբյեկտի կողմից տրամադրված թույլտվությունն ուժը կորցրած ճանաչելու վերաբերյալ լիազոր մարմնին դիմումի ներկայացման.
3) աղտոտման աղբյուրների և աղտոտող նյութերի մասով քանակական կամ որակական փոփոխությունների առկայության դեպքում նոր արտանետման թույլտվության տրամադրման հետ միաժամանակ։
23. Մթնոլորտ արտանետման թույլտվություն ունեցող տնտեսվարող սուբյեկտի վերակազմակերպման կամ նրա անվանման կամ իրավաբանական հասցեի փոփոխման, սեփականության կամ գործունեության իրավունքի փոխանցման դեպքերում տնտեսվարող սուբյեկտը պարտավոր է այդ փոփոխությունների պետական գրանցումից հետո դիմել լիազոր մարմին՝ թույլտվության վերաձևակերպման համար: Մթնոլորտ արտանետման թույլտվության վերաձևակերպումն իրականացվում է տնտեսվարող սուբյեկտի դիմումը լիազոր մարմին մուտքագրելու օրվանից 15 օրվա ընթացքում:
(23-րդ կետը խմբ. 20.06.25 N 816-Ն)
24. Իրավաբանական անձի առանձնացման կամ բաժանման ձևով վերակազմակերպման ժամանակ արտանետման թույլտվությունը վերաձևակերպվում է սույն կարգի 23-րդ կետի ընթացակարգով:
25. Մթնոլորտային օդի պահպանության ոլորտում վերահսկողություն իրականացնող տեսչական մարմինը լիազոր մարմին արտանետման թույլտվությունն ուժը կորցրած ճանաչելու վերաբերյալ միջնորդագիր է ներկայացնում, եթե աղբյուրներից մթնոլորտ արտանետման թույլտվությամբ սահմանված ՍԹԱ-ների նորմատիվների գերազանցման դեպքում իրավաբանական կամ ձեռնարկատիրական գործունեությամբ զբաղվող ֆիզիկական անձն օրենքով սահմանված կարգով ենթարկվել է վարչական պատասխանատվության և վարչական տույժ նշանակվելու օրվանից հետո՝ մեկ տարվա ընթացքում, կրկին կատարել է նույն խախտումը: Լիազոր մարմինը միջնորդագրի հիման վրա որոշում է կայացնում արտանետման թույլտվությունն ուժը կորցրած ճանաչելու վերաբերյալ:
26. Արտանետման թույլտվության ուժը կորցրած ճանաչելու վերաբերյալ լիազոր մարմնի ընդունած որոշումը կարող է բողոքարկվել Հայաստանի Հանրապետության օրենսդրությամբ սահմանված կարգով։
Ձև N 1
ՍԱՀՄԱՆԱՅԻՆ ԹՈՒՅԼԱՏՐԵԼԻ ԱՐՏԱՆԵՏՈՒՄՆԵՐԻ (ՍԹԱ) ՆՈՐՄԱՏԻՎՆԵՐԻ ՆԱԽԱԳԾԵՐԻ ԿԱԶՄԻ ՈՒ ԲՈՎԱՆԴԱԿՈՒԹՅԱՆ ՈՒՂԵՑՈՒՅՑ
Ուղեցույցը կազմված է հետևյալ գլուխներից՝
● Տիտղոսաթերթ,
● Կատարողների ցուցակ,
● Անոտացիա,
● Բովանդակություն,
● Տնտեսվարող սուբյեկտի մասին ընդհանուր տեղեկություններ,
● Տնտեսվարող սուբյեկտի բնութագիրը որպես մթնոլորտային օդն աղտոտող աղբյուր,
● Վնասակար նյութերի արտանետումների ցրման հաշվարկ,
● ՍԹԱ նորմատիվների որոշումը, արտանետումների չափաքանակների առաջարկ,
● Առաջարկվող արտանետման չափաքանակներ,
● Անբարենպաստ կլիմայական պայմանների ժամանակ արտանետումների կարգավորման միջոցառումներ,
● Գրականության ցանկը:
1. Տիտղոսաթերթը հանդիսանում է նախագծի առաջին էջը և ձևավորվում է համաձայն կցված օրինակելի N 4 ձևի:
2. Կատարողների ցուցակը տեղադրվում է տիտղոսաթերթից հետո՝ 2-րդ էջում: Ցուցակում նշվում են կազմակերպությունների անվանումները և բոլոր պատասխանատու կատարողների, համակատարողների ազգանունները, որոնք մասնակցել են նախագծի մշակման աշխատանքներին: Ձախ մասում նշվում են պաշտոնը, գիտական կոչումը, աջից՝ ազգանունը: Յուրաքանչյուր ազգանվան կողքին, փակագծերի մեջ, նշվում է նրա մշակած բաժնի համարը:
3. Անոտացիան պետք է պարունակի կատարված աշխատանքի հիմնական արդյունքները. աղտոտող նյութերի անվանումները և արտանետման տարեկան քանակները, վնասակար գումարային ազդեցությամբ օժտված նյութերը, նյութերի ՍԹԱ նորմատիվներին հասնելու ժամկետները և դրա համար անհրաժեշտ ծախսերը, տնտեսվարող սուբյեկտների կողմից արտանետումների հետևանքով շրջակա միջավայրին հասցվելիք վնասի մեծությունը:
4. Բովանդակությունը պետք է պարունակի բոլոր բաժինների և հավելվածների անվանումները՝ համապատասխան էջերի նշումով:
5. Ընդհանուր տեղեկություններ տնտեսվարող սուբյեկտների մասին գլուխը ներառում է՝
1) տնտեսվարող սուբյեկտի իրավաբանական և գործունեության հասցեները, արտադրահրապարակների քանակը, արտադրահրապարակի և սահմանակից օբյեկտների, բնակելի տարածքների, արդյունաբերական գոտիների, անտառների, գյուղատնտեսական ցանքատարածությունների, տրանսպորտային մագիստրալների փոխդասավորվածության մասին տեղեկություններ.
2) տնտեսվարող սուբյեկտի քարտեզ-սխեման՝ նշելով նաև մթնոլորտն աղտոտող աղբյուրների կետային կոորդինատային տվյալները՝ ՎԻ ՋԻ ԷՍ-84 (WGS-84) (ARMREF 02)) ազգային գեոդեզիական կոորդինատային համակարգով.
3) տնտեսվարող սուբյեկտի տեղանքի իրավիճակային քարտեզը՝ բնակելի տարածքների, այդ թվում` հանգստի գոտիների, հանգստյան տների, մանկապարտեզների, դպրոցների, հիվանդանոցների նշումով:
6. Տնտեսվարող սուբյեկտի բնութագիրը որպես մթնոլորտային օդն աղտոտող աղբյուր գլուխը ներառում է՝
1) արտադրության տեխնոլոգիայի նկարագրությունը և կիրառվող սարքավորումների հակիրճ բնութագիրը մթնոլորտի աղտոտման տեսակետից, ինչպես նաև տեղեկատվություն արտադրանքի և արտադրողականության, հիմնական հումքի, հիմնական և պահուստային վառելիքի վերաբերյալ.
2) գոյություն ունեցող փոշեգազամաքրման սարքավորումների հակիրճ բնութագիրը, դրանց տեխնիկական վիճակի և աշխատանքի էֆեկտիվության ընդհանրացված վերլուծությունը.
3) օգտագործվող տեխնոլոգիայի, տեխնոլոգիական և փոշեգազամաքրման սարքավորումների արդիականության և տվյալ արտադրության լավագույն հասանելի տեխնոլոգիաների վերաբերյալ տեղեկատվություն.
4) վնասակար նյութերի արտանետումների հաշվարկները և այդ նպատակով օգտագործված եղանակներն ու յուրաքանչյուր հաշվարկի համար օգտագործված մեթոդական փաստաթղթերը.
5) տնտեսվարող սուբյեկտի հեռանկարային զարգացումը՝ ներկայացնելով տեղեկություններ վերակառուցման, ընդլայնման, տեխնիկական կամ տեխնոլոգիական վերազինման, վերապրոֆիլավորման, կոնսերվացման, տեղափոխման կամ լուծարման մասին: Կատարվում է հղում այն փաստաթղթերին, որոնք որոշում են զարգացման հեռանկարը` վերակառուցման, ընդլայնման և նոր շինարարության նախագծի առկայությունը, դրանց բնապահպանական փորձաքննության արդյունքները կամ ընթացքը.
6) մթնոլորտ արտանետվող աղտոտող նյութերի անվանացանկը ներկայացվում է ստորև ներկայացված N 1 աղյուսակում՝
Աղյուսակ N 1
Մթնոլորտ արտանետվող աղտոտող նյութերի անվանացանկը
|
Նյութի անվանումը |
ՍԹԿ միանվագ առավելագույն, մգ/մ3 |
Նյութի արտանետումը, տ/տարի |
|
1 |
2 |
3 |
ա. աղյուսակի տակ նշվում են նաև գումարային վնասակար ազդեցությամբ օժտված նյութերը,
բ. մթնոլորտային օդն աղտոտող նյութերի արտանետումների քանակությունները (3-րդ սյունակ) յուրաքանչյուր նյութի համար հաշվարկվում են՝ ելնելով տնտեսվարող սուբյեկտի առավելագույն արտադրողականության և աշխատանքային ռեժիմից, տեխնոլոգիական գործընթացների և սարքավորումների շահագործման ցուցանիշներից, հումքի և վառելիքի սպառման քանակներից` տարեկան կտրվածքով.
7) զարկային արտանետումների բնութագրերը տրվում են զարկային արտանետումների առաջացման պայմանների կարճ բնութագրերով՝
ա. զարկային արտանետումները նշվում են ստորև ներկայացված N 2 աղյուսակում, դրանք չեն ընդգրկվում N 1 աղյուսակում,
բ. զարկային արտանետումները հաշվի են առնվում միայն արտանետման չափաքանակներում տարեկան կտրվածքով: Դրանց համար չի իրականացվում ցրման հաշվարկ, և դրանք չեն կարող ընդգրկված լինել տվյալ նյութի առավելագույն միանվագ (գ/վրկ) արտանետման չափաքանակում:
Աղյուսակ N 2
Զարկային արտանետումներ ունեցող աղբյուրների թվարկումը և բնութագիրը
|
Արտադրամասի (տեղամասի) և աղբյուրների անվանումները |
Նյութի անվա- նումը |
Նյութի զարկային արտանետումը, գ/զարկ |
Արտանետման պարբերա- կանությունը (անգամ/ տարի) |
Արտանետման տևողությունը, վրկ |
Զարկային արտանետումների տարեկան քանակությունը, տ |
|
1 |
2 |
3 |
4 |
5 |
6 |
8) ՍԹԱ նորմատիվների հաշվարկի համար մթնոլորտ արտանետվող աղտոտող նյութերի պարամետրերը ներկայացվում են N 3 աղյուսակում: Ընդ որում, հաշվի են առնվում մթնոլորտ աղտոտող նյութերի ինչպես կազմակերպված, այնպես էլ անկազմակերպված աղբյուրները, այդ թվում՝ արտանետման աղբյուրի տարածքում շահագործվող շարժական աղբյուրների վառելիքի այրման արդյունքում առաջացող արտանետումներ:
Աղյուսակ N 3
ՍԹԱ ՆՈՐՄԱՏԻՎՆԵՐԻ ՀԱՇՎԱՐԿԻ ՀԱՄԱՐ ԱՂՏՈՏՈՂ ՆՅՈՒԹԵՐԻ ՊԱՐԱՄԵՏՐԵՐԸ
|
Արտադրություն արտադրամասը |
Աղտոտող նյութերի առաջացման աղբյուրները |
Աշխատաժամերի տարեկան քանակը |
Արտանետման աղբյուրի անվանումը |
Աղբյուրների քանակը | |||||
|
անվա- նումը |
քանակը |
||||||||
|
ՆՎ |
Հ |
ՆՎ |
Հ |
ՆՎ |
Հ |
ՆՎ |
Հ | ||
|
1 |
2 |
3 |
4 |
5 |
6 |
7 |
8 |
9 |
10 |
|
Աղբյուրի կարգաթիվը |
Աղբյուրի բարձրությունը, մ |
Աղբյուրի տրամագիծը, մ |
Գազաօդային խառնուրդի պարամետրերն արտանետման աղբյուրի ելքում | ||||||||
|
արագությունը, մ/վրկ |
ծավալը, մ3/վրկ |
ջերմաստիճանը, 0C | |||||||||
|
ՆՎ |
Հ |
ՆՎ |
Հ |
ՆՎ |
Հ |
ՆՎ |
Հ |
ՆՎ |
Հ |
ՆՎ |
Հ |
|
11 |
12 |
13 |
14 |
15 |
16 |
17 |
18 |
19 |
20 |
21 |
22 |
|
Աղբյուրի կարգաթիվը |
Կոորդինատները քարտեզ- սխեմայում, մ |
Գազամաքրման սարքերի անվանումը |
Մաքրման ենթակա նյութերը |
Մաքրման միջին աստիճանը | |||||||
|
կետային աղբյուրի, աղբյուրների խմբի կենտրոնի կամ գծային աղբ. 1-ին ծայրի |
գծային աղբյուրի 2-րդ ծայրի |
Ապահովվածության գործակիցը, % |
Մաքրման առավելագույն չափը, % | ||||||||
|
ՆՎ |
Հ |
X1 |
Y1 |
X2 |
Y2 |
ՆՎ |
Հ |
ՆՎ |
Հ |
ՆՎ |
Հ |
|
11 |
12 |
23 |
24 |
25 |
26 |
27 |
28 |
29 |
30 |
31 |
32 |
|
Աղբյուրի կարգաթիվը |
Նյութի անվանումը |
Աղտոտող նյութերի արտանետումները |
ՍԹԱ հասնելու տարին | ||||||
|
ՆՎ |
Հ (ՍԹԱ) |
||||||||
|
ՆՎ |
Հ |
գ/վրկ |
մգ/մ3 |
տ/տարի |
գ/վրկ |
մգ/մ3 |
տ/տարի |
||
|
11 |
12 |
33 |
34 |
35 |
36 |
37 |
38 |
39 |
40 |
որտեղ`
ՆՎ` ներկա վիճակ, Հ` հեռանկար:
9) ՍԹԱ նորմատիվների հաշվարկի համար անհրաժեշտ ելակետային տվյալների հավաստիության և լիարժեքության հիմնավորումը՝ նկարագրելով ներկայացված տվյալների սկզբնաղբյուրները, այն է` գործիքային չափումներ կամ հաշվարկային ու հաշվեկշռային եղանակ: Նշվում են մեթոդական փաստաթղթերի անվանումները, որոնց հիման վրա կատարվել են աղտոտող նյութերի արտանետումների վերլուծությունը, ընտրությունը և հաշվարկը:
7. Վնասակար նյութերի արտանետումների ցրման հաշվարկ գլուխը ներառում է`
1) օդերևութաբանական բնութագիրը և բնակավայրի մթնոլորտում աղտոտող նյութերի ցրման պայմանները որոշող գործակիցները՝ N 4 աղյուսակում:
Աղյուսակ N 4
Օդերևութաբանական բնութագիրը և գործակիցները, որոնք բնորոշում են բնակելի տարածքի մթնոլորտում վնասակար նյութերի ցրման պայմանները
|
Բնութագրերի անվանումները |
Մեծությունը |
|
Մթնոլորտի ստրատիֆիկացիայի գործակիցը |
200 |
|
Տեղանքի ռելիեֆի գործակիցը (հաշվարկված համաձայն կողմնորոշչի) |
|
|
Տարվա ամենաշոգ ամսվա միջին առավելագույն ջերմաստիճանը T0C* |
|
|
Միջին տարեկան քամիների վարդը 8 ուղղություններով (ռումբ %)* |
|
|
Քամու բազմամյա միջին արագությունը (մ/վրկ), որը հնարավոր է 20 տարին մեկ անգամ (5% ապահովվածությամբ) |
|
|
Քամու բազմամյա միջին առավելագույն արագությունը (մ/վրկ), որը հնարավոր է 20 տարին մեկ անգամ (5% ապահովվածությամբ) * |
* տրամադրվում է լիազոր մարմնի կազմում գործող մասնագիտացված կառույցի կողմից.
2) առանձին հավելվածով ներկայացվում են վնասակար նյութերի ցրման հաշվարկի հակիրճ արդյունքները: Վնասակար նյութերի արտանետումների ցրման հաշվարկը կատարվում է լիազոր մարմնի կողմից հաստատված համակարգչային ծրագրերի հիման վրա: Վնասակար նյութերի ցրման հաշվարկի մակերեսը պետք է ընդգրկի մինչև 0,05 ՍԹԿ աղտոտվածությամբ տարածքները, ընդ որում, արտանետման աղբյուրները պետք է տեղադրվեն ցրման հաշվարկի համար ընդունված մակերեսի կենտրոնական մասում, իսկ ցանցի քայլը պետք է թույլ տա գնահատել աղտոտվածությունն արտանետող կազմակերպության տարածքի եզրին և ամենամոտ բնակելի տարածքներում:
8. ՍԹԱ նորմատիվների որոշումը, արտանետումների չափաքանակների առաջարկը գլուխը ներառում է`
1) տնտեսվարող սուբյեկտի կողմից որոշված ՍԹԱ նորմատիվները, որոնք առաջարկվում են որպես արտանետումների չափաքանակներ, եթե՝
ա. կազմակերպության տարածքի ամենամոտ բնակելի տարածքներում աղտոտող նյութերի արտանետումները ցրվելու արդյունքում գետնամերձ շերտում առաջացած կոնցենտրացիաները տվյալ տարածքի ֆոնային աղտոտվածության կոնցենտրացիաների հետ համատեղ չեն գերազանցում ՍԹԿ-ները,
բ. բնակավայրերի տարածքներից դուրս տեղակայված այն տնտեսվարող սուբյեկտների համար, որոնց տարածքին ամենամոտ բնակելի տները գտնվում են ավելի քան 2 կմ հեռավորության վրա, ֆոնային աղտոտվածությունը հաշվի չի առնվում, իսկ գետնամերձ կոնցենտրացիաները համեմատվում են Հայաստանի Հանրապետության առողջապահության նախարարի 2010 թվականի դեկտեմբերի 6-ի N 27-Ն հրամանով հաստատված ՍԹԿ-ների հետ.
2) արտանետող կազմակերպության տարածքի եզրին և ամենամոտ բնակելի տարածքներում առավելագույն գետնամերձ կոնցենտրացիաները ներկայացվում են N 5 աղյուսակում:
Աղյուսակ N 5
Առավելագույն գետնամերձ կոնցենտրացիաներ
|
NN ը/կ |
Նյութի անվանումը |
| |||||
|
Արտադրահրապարակի եզրին |
Ամենամոտ բնակավայրի եզրին | ||||||
|
ֆոնային կոնցենտրացիայի հետ միասին |
առանց ֆոնային կոնցենտրացիայի |
ֆոնային կոնցենտրացիայի հետ միասին |
առանց ֆոնային կոնցենտրացիայի | ||||
9. Առաջարկվող արտանետման չափաքանակները հանդիսանում են նախագծի անբաժանելի մասը: Ներկայացվում են N 6 աղյուսակում.
Աղյուսակ N 6
ԱՂՏՈՏՈՂ ՆՅՈՒԹԵՐ ՄԹՆՈԼՈՐՏ ԱՐՏԱՆԵՏԵԼՈՒ
(տնտեսվարող սուբյեկտի անվանումը) ՉԱՓԱՔԱՆԱԿՆԵՐ ԱՐՏԱՆԵՏՄԱՆ ԹՈՒՅԼՏՎՈՒԹՅՈՒՆ
|
—————————————————————————— Գործունեության հասցե | |||
|
NN ը/կ |
Աղտոտող նյութի անվանումը |
Ընդհանուր արտանետում | |
|
գ/վրկ |
տ/տարի | ||
Յուրաքանչյուր առանձին աղբյուրից մթնոլորտ արտանետվող աղտոտող նյութերի քանակությունները նշված են սույն ՍԹԱ նախագծում, ինչը հանդիսանում է սույն չափաքանակների անբաժանելի մասը:
10. Անբարենպաստ կլիմայական պայմանների ժամանակ արտանետումների կարգավորման միջոցառումները գլխում ներկայացվում է յուրաքանչյուր կոնկրետ միջոցառման հակիրճ նկարագրությունը` հաշվի առնելով տեխնոլոգիական սարքավորումների շահագործման իրական պայմանները, միջոցառման ժամանակ արտանետումների կարգավորման/նվազեցման հիմնավորմամբ:
11. Գրականության ցանկը ներառում է ՍԹԱ նորմատիվների նախագծի մշակման ընթացքում օգտագործված բոլոր աղբյուրների անվանացանկը:
Կ Ո Ղ Մ Ն Ո Ր Ո Շ Ի Չ
ՏԵՂԱՆՔԻ ՌԵԼԻԵՖԻ ԳՈՐԾԱԿՑԻ ՀԱՇՎԱՐԿԻ
1. Տեղանքի ռելիեֆի գործակիցը` η-ն, ընդունվում է հավասար 1-ի, եթե տվյալ տնտեսվարող սուբյեկտի ամենաբարձր աղտոտման աղբյուրի բարձրության 50-ապատիկ շառավղով (բայց ոչ պակաս, քան 2 կմ) տարածքում բարձրությունների տարբերությունը 1 կմ վրա չի գերազանցում 50 մ-ը: Տարբերության արժեքները որոշվում են տվյալ տեղանքի քարտեզագրական նյութի վերլուծության հիման վրա:
2. Եթե դիտարկվող արտանետման աղբյուրների (տնտեսվարող սուբյեկտի արտադրական հրապարակի) մոտակայքում (ամենաբարձր աղտոտման աղբյուրի բարձրության 50-ապատիկ շառավղով, բայց ոչ պակաս, քան 2 կմ) կարելի է առանձնացնել մեկուսացված արգելքներ, որոնք ձգված են միևնույն ուղղությամբ (լեռնաշղթա, գոգավորություն, խոռոչ, խութ), ապա ռելիեֆի գործակիցը որոշվում է հետևյալ բանաձևով`
η = 1 + φ1 (ηm - 1),
որտեղ ηm-ը որոշվում է ըստ ստորև ներկայացված N 7 աղյուսակի` կախված ռելիեֆի ձևից, որի կտրվածքները ներկայացված են նկար 1-ում, և չափողականություն չունեցող հետևյալ գործակիցներից` n1=H/hօ և n2= aօ/hօ (n1-ը որոշվում է մինչև տասնորդական ճշտությամբ, իսկ n2-ը ամբողջ թվի ճշտությամբ):
Այստեղ H-ը արտանետման աղբյուրի բարձրությունն է, հօ-ն արգելքի բարձրությունն (խորությունն) է, aօ-ն` ակոսի, խոռոչի կամ խութի կողային լանջի կիսալայնությունը, xօ-ն` արգելքի մեջտեղից` ակոսի կամ խոռոչի դեպքում, և լանջի վերին եզրից` խութի դեպքում, մինչև արտանետման աղբյուրը եղած հեռավորությունը, ինչպես նշված է նկար 1-ում:
Աղյուսակ N 7
|
n1 |
Խոռոչ (իջվածք) |
Խութ |
Ակոս (բարձունք) | |||||||||
|
n2 | ||||||||||||
|
4-5 |
6-9 |
10-15 |
16-20 |
4-5 |
6-9 |
10-15 |
16-20 |
4-5 |
6-9 |
10-15 |
16-20 | |
|
< 0.5 |
4.0 |
2.0 |
1.6 |
1.3 |
3.5 |
1.8 |
1.5 |
1.2 |
3.0 |
1.5 |
1.4 |
1.2 |
|
0.6 - 1 |
3.0 |
1.6 |
1.5 |
1.2 |
2.7 |
1.5 |
1.3 |
1.2 |
2.2 |
1.4 |
1.3 |
1.0 |
|
1.1 - 2.9 |
1.8 |
1.5 |
1.4 |
1.1 |
1.6 |
1.4 |
1.2 |
1.1 |
1.4 |
1.3 |
1.2 |
1.0 |
|
3 - 5 |
1.4 |
1.3 |
1.2 |
1.0 |
1.3 |
1.2 |
1.1 |
1.0 |
1.2 |
1.2 |
1.1 |
1.0 |
|
> 5 |
1.0 |
1.0 |
1.0 |
1.0 |
1.0 |
1.0 |
1.0 |
1.0 |
1.0 |
1.0 |
1.0 |
1.0 |
գրաֆիկների (տե՜ս նկար 1), որոնք համապատասխանում են ռելիեֆի տարբեր ձևերին: Եթե աղբյուրը տեղակայված է խութի վերին սարահարթին, որպես φ1 ֆունկցիայի
:
Եթե արգելքներն իրենցից ներկայացնում են մեկ ուղղությամբ ձգված բարձունքներ կամ իջվածքներ, ապա hօ և aօ արժեքները որոշվում են այդ ուղղությանն ուղղահայաց լայնակի կտրվածքի համար: Եթե մեկուսացված արգելքն իրենից ներկայացնում է առանձին բլուր (իջվածք), ապա hօ-ն ընդունվում է հավասար արգելքի առավելագույն բարձրությանը (խորությանը), իսկ n2-ը` հաշվարկվում է աղբյուրի դիմաց ընկած լանջի համար:
Այն արտանետման աղբյուրների համար, որոնք տեղակայված են մի քանի մեկուսացված արգելքների ազդեցության գոտում, գ արժեքները որոշվում են յուրաքանչյուր արգելքի համար, և օգտագործվում է դրանցից առավելագույնը:
Նկար 1.
Առավել բարդ տեղանքի ռելիեֆի կամ բարձրությունների ավելի քան 250 մ 1 կմ-ի վրա տարբերությունների դեպքերում գ արժեքն ընդունել 4:
(ձևը խմբ. 20.06.25 N 816-Ն)
Ձև N 2
ԱՐՏԱՆԵՏՄԱՆ ԹՈՒՅԼՏՎՈՒԹՅՈՒՆ
ԱՂՏՈՏՈՂ ՆՅՈՒԹԵՐ ՄԹՆՈԼՈՐՏ ԱՐՏԱՆԵՏԵԼՈՒ ՉԱՓԱՔԱՆԱԿՆԵՐ ՀԱՅԱՍՏԱՆԻ ՀԱՆՐԱՊԵՏՈՒԹՅԱՆ ՇՐՋԱԿԱ ՄԻՋԱՎԱՅՐԻ ՆԱԽԱՐԱՐՈՒԹՅՈՒՆ
—————————
Թույլտվության համար
——————————————--------------------------------------------------------------------
Կազմակերպության անվանումը, պետական գրանցման համարը, հարկ վճարողի հաշվառման համար (ՀՎՀՀ)
—————————————————————————————————————————
Իրավաբանական հասցե
————————————————————————————————————————
Գործունեության հասցե
|
Տրված է՝ |
Ուժի մեջ է մինչև՝ |
ՀՀ ՇՐՋԱԿԱ ՄԻՋԱՎԱՅՐԻ |
|
—————————— օրը/ամիսը/տարեթիվը |
—————————— օրը/ամիսը/տարեթիվը |
———————— անուն, ազգանուն |
Հսկիչ համար՝
ԱՐՏԱՆԵՏՄԱՆ ԹՈՒՅԼՏՎՈՒԹՅՈՒՆ
ԱՂՏՈՏՈՂ ՆՅՈՒԹԵՐ ՄԹՆՈԼՈՐՏ ԱՐՏԱՆԵՏԵԼՈՒ ՉԱՓԱՔԱՆԱԿՆԵՐ ՀԱՅԱՍՏԱՆԻ ՀԱՆՐԱՊԵՏՈՒԹՅԱՆ ՇՐՋԱԿԱ ՄԻՋԱՎԱՅՐԻ ՆԱԽԱՐԱՐՈՒԹՅՈՒՆ
Հսկիչ համար՝ |
|||||||||||||||||||
(ձևը խմբ. 20.06.25 N 816-Ն)
Ձև N 3
ԱՐՏԱՆԵՏՄԱՆ ԹՈՒՅԼՏՎՈՒԹՅՈՒՆ
ԱՂՏՈՏՈՂ ՆՅՈՒԹԵՐ ՄԹՆՈԼՈՐՏ ԱՐՏԱՆԵՏԵԼՈՒ ՉԱՓԱՔԱՆԱԿՆԵՐ
(ձևն ուժը կորցրել է 20.06.25 N 816-Ն)
Ձև N 4
_______________________________________________
(տնտեսվարող սուբյեկտի անվանումը)
Վնասակար նյութերի սահմանային թույլատրելի արտանետումների (ՍԹԱ) նորմատիվների նախագիծ
|
Տնօրեն
|
___________________ (ստորագրությունը) |
___________________ (անունը, ազգանունը) |
Կ. Տ.
___ ____________ 20 թ.
(հավելվածը խմբ., փոփ., լրաց. 20.06.25 N 816-Ն)
|
Հայաստանի Հանրապետության |
Ա. Հարությունյան |
|
08.01.2024 ՀԱՎԱՍՏՎԱԾ Է ԷԼԵԿՏՐՈՆԱՅԻՆ ՍՏՈՐԱԳՐՈՒԹՅԱՄԲ |
Պաշտոնական հրապարակման օրը՝ 9 հունվարի 2024 թվական: