ՀԱՅԱՍՏԱՆԻ ՀԱՆՐԱՊԵՏՈՒԹՅԱՆ ԿԱՌԱՎԱՐՈՒԹՅՈՒՆ
Ո Ր Ո Շ ՈՒ Մ
11 մարտի 1992 թ. N 150
ՀԱՅԱՍՏԱՆԻ ՀԱՆՐԱՊԵՏՈՒԹՅՈՒՆՈՒՄ ԿՈՆՏՐԱԿՏԱՅԻՆ ԵՂԱՆԱԿՈՎ ԱՇԽԱՏԱՆՔԱՅԻՆ ՊԱՅՄԱՆԱԳՐԵՐԻ ԿՆՔՄԱՆ ԿԱՐԳԻ ԵՎ ԿԻՐԱՌՄԱՆ ՊԱՅՄԱՆՆԵՐԻ ՄԱՍԻՆ
Հայաստանի Հանրապետության կառավարությունը որոշում է`
Հաստատել Հայաստանի Հանրապետության էկոնոմիկայի նախարարության ներկայացրած Հայաստանի Հանրապետությունում նախարարությունների, պետական վարչությունների, գերատեսչությունների ենթակա ձեռնարկությունների ղեկավարների հետ կոնտրակտային եղանակով աշխատանքային պայմանագրերի կնքման կարգը և կիրառման պայմանները (կցվում է):
|
ՀԱՅԱՍՏԱՆի հանրապետության փոխնախագահ, վարչապետ |
Գ. ՀԱՐՈՒԹՅՈՒՆՅԱՆ |
|
ՀԱՅԱՍՏԱՆի հանրապետության կԱՌԱՎԱՐՈՒԹՅԱՆ ԳՈՐԾԵՐԻ ԿԱՌԱՎԱՐՉԻ ՊԱՇՏՈՆԱԿԱՏԱՐ |
Հ. ՔՈԹԱՆՅԱՆ |
|
ՀԱՍՏԱՏՎԱԾ Է մարտի 11-ի թիվ 150 որոշմամբ |
ՀԱՅԱՍՏԱՆԻ ՀԱՆՐԱՊԵՏՈՒԹՅՈՒՆՈՒՄ ՆԱԽԱՐԱՐՈՒԹՅՈՒՆՆԵՐԻ, ՊԵՏԱԿԱՆ ՎԱՐՉՈՒԹՅՈՒՆՆԵՐԻ, ԳԵՐԱՏԵՍՉՈՒԹՅՈՒՆՆԵՐԻ ԵՆԹԱԿԱ ՁԵՌՆԱՐԿՈՒԹՅՈՒՆՆԵՐԻ ՂԵԿԱՎԱՐՆԵՐԻ ՀԵՏ ԿՈՆՏՐԱԿՏԱՅԻՆ ԵՂԱՆԱԿՈՎ ԱՇԽԱՏԱՆՔԱՅԻՆ ՊԱՅՄԱՆԱԳՐԵՐԻ ԿՆՔՄԱՆ ԿԱՐԳԸ ԵՎ ԿԻՐԱՌՄԱՆ ՊԱՅՄԱՆՆԵՐԸ
I. Ընդհանուր դրույթներ
1. Կոնտրակտը հանդիսանում է աշխատանքային պայմանագրի հատուկ ձև: Այն ուղղված է արդյունավետ կադրային քաղաքականության իրականացմանը, ղեկավարի նախաձեռնության և ինքնուրույնության ապահովմանը` հաշվի առնելով նրա անհատական ընդունակությունների և մասնագիտական ունակությունները, կողմերի փոխադարձ պատասխանատվության բարձրացմանը, ձեռնարկության ղեկավարի իրավական և սոցիալական պաշտպանվածության ապահովմանը:
2. Կոնտրակտը կնքվում է գրավոր և ստորագրվում է Հայաստանի Հանրապետության նախարարության, պետական վարչության կամ գերատեսչության ղեկավարի և պետական ձեռնարկության ղեկավարի պաշտոնում նշանակվող անձի կողմից:
Կոնտրակտի նախապատրաստման և պետական ձեռնարկության ղեկավարի պաշտոնի թեկնածուների ընտրության ժամանակ կարող են քննարկվել նաև ձեռնարկության աշխատավորական կոլեկտիվի առաջարկությունները:
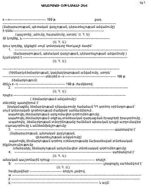
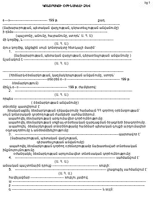
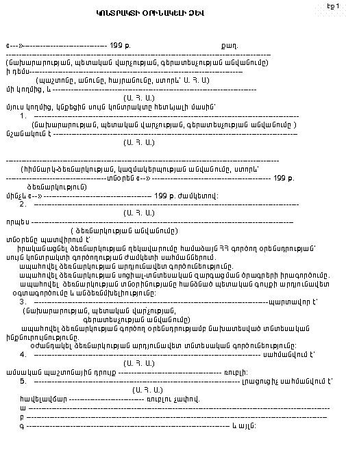
3. Կոնտրակտը կնքվում է 2 օրինակից և պահվում է կողմերից յուրաքանչյուրի մոտ (կոնտրակտի օրինակելի ձևը կցվում է):
4. Կոնտրակտը հիմք է հանդիսանում պաշտոնի նշանակման հրամանի (կարգադրության) արձակման համար` կողմերի համաձայնությամբ սահմանված օրվանից:
5. Կոնտրակտն ուժի մեջ է մտնում ստորագրման պահից և կարող է փոփոխվել միայն կողմերի համաձայնությամբ:
II. Կոնտրակտի բովանդակությունը
6. Կոնտրակտում անհրաժեշտ է արտացոլել`
ա) կոնտրակտի գործողության ժամկետը, կողմերի իրավունքները, պարտականությունները և պատասխանատվությունը, աշխատանքի կազմակերպման ու վարձատրման պայմանները, կոնտրակտի դադարեցման և լուծման հիմքերը, կողմերի ստանձնած պարտավորությունների կատարման համար անհրաժեշտ սոցիալ-կենցաղային և այլ պայմանները` հաշվի առնելով ձեռնարկության, տվյալ ճյուղի առանձնահատկությունները և ֆինանսական հնարավորությունները:
Կոնտրակտում պարտադիր սահմանվում են նաև պետական պատվերով ստանձնած, ինչպես նաև պետական բյուջեի, պետական հատուկ նպատակային ֆոնդերի նկատմամբ պարտավորությունների ճիշտ և ժամանակին կատարման հաշվապահական հաշվառման հաշվետվությունների, այդ թվում վիճակագրության Հայաստանի Հանրապետության օրենսդրությամբ սահմանված կարգով իրականացման և ներկայացման վերաբերյալ ձեռնարկության ղեկավարի պարտավորությունների մասին դրույթներ.
(լրաց. 22.06.95 թիվ 362 որոշում)
բ) կոնտրակտը կարող է կնքվել մինչև 5 տարի ժամկետով: Կոնտրակտի կոնկրետ ժամկետը որոշվում է կողմերի համաձայնությամբ: Կոնտրակտի գործողության ժամկետը լրանալուց հետո կողմերի համաձայնությամբ այն կարող է երկարաձգվել կամ կնքվել նոր ժամկետով.
գ) կոնտրակտի նախատեսված պարտավորությունները չկատարելու կամ ոչ պատշաճ կատարելու դեպքում կոնտրակտը կարող է վաղաժամկետ լուծվել:
Պետական գույքի խնայողաբար և արդյունավետ օգտագործման գործում պետական ձեռնարկությունների ղեկավարների շահագրգռվածությունը բարձրացնելու նպատակով կոնտրակտներում կարող է նախատեսվել ձեռնարկության տրամադրության տակ մնացող շահույթի հաշվին ձեռնարկության ղեկավարին տարեկան պարգևավճար տալու մասին դրույթ.
(լրաց. 22.06.95 թիվ 362 որոշում)
դ) կոնտրակտում աշխատանքի վարձատրության պայմանները պետք է սահմանվեն ելնելով ձեռնարկության շահույթից, արտադրատնտեսական և առևտրական գործունեության արդյունքներից:
Միաժամանակ ղեկավարի պաշտոնային դրույքի չափը չի կարող ցածր լինել տվյալ պաշտոնի համար սահմանված պաշտոնային դրույքի չափից.
ե) կոնտրակտի այն պայմանները, որոնք Հայաստանի Հանրապետության աշխատանքային օրենսդրության համեմատությամբ վատթարացնում են ղեկավարի վիճակը, համարվում են անվավեր.
զ) կոնտրակտի կնքման ժամանակ կողմերը կարող են նախատեսել լրացուցիչ արտոնություններ, որոնք սահմանված չեն գործող օրենսդրությամբ (օրինակ, լրացուցիչ վարձատրության վճարումը, ամենամյա արձակուրդի ժամանակ նյութական օգնությունը և այլն):
Կենսաթոշակի անցնելու կամ խեղում ստանալու դեպքում կոնտրակտի լուծման ժամանակ կարող են նախատեսվել կենսաթոշակների և վնասների փոխհատուցման վճարումներից ավելի դրամական փոխհատուցումներ.
է) եթե կոնտրակտով նախատեսվում է այլ վայր աշխատանքի փոխադրում, ապա կողմերը որոշում են Հայաստանի Հանրապետության գործող օրենսդրությամբ սահմանված երաշխիքների և փոխհատուցումների շրջանակը:
Կողմերի համաձայնությամբ կոնտրակտում կարող են նախատեսվել ղեկավարին և նրա ընտանիքի անդամներին բնակելի տարածությամբ ապահովելու կամ հյուրանոցից օգտվելու համար ծախսերի վճարման պայմաններ.
ը) կոնտրակտում կարող է որոշվել ղեկավարի աշխատաժամանակի և հանգստի ռեժիմն ըստ օրենսդրությամբ սահմանված կարգի:
Ղեկավարի ամենամյա արձակուրդի տևողությունը չի կարող պակաս լինել տվյալ կատեգորիայի աշխատողների համար օրենսդրությամբ սահմանված արձակուրդի տևողությունից.
թ) եթե ծառայական ուղևորությունների համար ղեկավարը պետք է օգտագործի անձնական մեքենա, ապա կողմերը կարող են նախատեսել համապատասխան փոխհատուցման պայմաններ.
ժ) կողմերի համաձայնությամբ ստանձնած պարտավորությունների կատարման համար կարող են որոշվել ղեկավարին անհրաժեշտ աշխատանքի կազմակերպման այլ պայմաններ.
ի) կոնտրակտում կարող են սահմանված կարգով վերապահվել սոցիալ-կենցաղային այլ պայմաններ (օրինակ. այգեգործության համար հողամասի կամ ավտոմեքենայի հատկացում, բնակարանային պայմանների բարելավում, բանկային վարկի մարում).
լ) կոնտրակտը լուծելու հիմքերը, բացի գործող օրենսդրությամբ սահմանվածներից, կարող են որոշվել կողմերի համաձայնությամբ: Միաժամանակ Հայաստանի Հանրապետության նախարարության, պետական վարչության, գերատեսչության նախաձեռնությամբ կոնտրակտի լուծումը պետք է կատարվի` պահպանելով գործող օրենսդրությամբ սահմանված երաշխիքները:
Կոնտրակտով նախատեսված, բայց գործող օրենսդրությամբ չնախատեսված հիմքերով կոնտրակտի լուծման դեպքում աշխատանքից ազատումը կատարվում է համաձայն Հայաստանի Հանրապետության աշխատանքային օրենսգրքի 32 հոդվածի 1-ին կետի (կողմերի համաձայնությունը), որի մասին համապատասխան գրառում է կատարվում ղեկավարի աշխատանքային գրքույկում.
խ) կոնտրակտի կնքման ժամանակ, բացի գործող օրենսդրությամբ սահմանված երաշխիքներից և փոխհատուցումներից, կարող են նախատեսվել լրացուցիչ երաշխիքներ` ղեկավարի կամքից անկախ պատճառներով կոնտրակտի վաղակետ լուծման դեպքում.
ծ) կոնտրակտը կնքող ղեկավարի վրա լիովին տարածվում են ձեռնարկության աշխատողների համար գործող օրենսդրությամբ կամ կոլեկտիվ պայմանագրով սահմանված արտոնություններն ու երաշխիքները.
կ) կոնտրակտը կնքող կողմերի միջև առաջացած վեճերը քննվում են Հայաստանի Հանրապետության գործող օրենսդրությամբ սահմանված
կարգով:
|
ԿՈՆՏՐԱԿՏԻ ՕՐԻՆԱԿԵԼԻ ՁԵՎ |